• ISSN 1001-1455  CN 51-1148/O3
  • EI、Scopus、CA、JST、EBSCO、DOAJ收录
  • 力学类中文核心期刊
  • 中国科技核心期刊、CSCD统计源期刊

氩气对乙炔预混气爆轰不稳定性的影响及量化分析

赵焕娟 J.H.S.Lee 张英华 钱新明 严屹然

赵焕娟, J.H.S.Lee, 张英华, 钱新明, 严屹然. 氩气对乙炔预混气爆轰不稳定性的影响及量化分析[J]. 爆炸与冲击, 2017, 37(4): 577-584. doi: 10.11883/1001-1455(2017)04-0577-08
引用本文: 赵焕娟, J.H.S.Lee, 张英华, 钱新明, 严屹然. 氩气对乙炔预混气爆轰不稳定性的影响及量化分析[J]. 爆炸与冲击, 2017, 37(4): 577-584. doi: 10.11883/1001-1455(2017)04-0577-08
Zhao Huanjuan, J.H.S.Lee, Zhang Yinghua, Qian Xinming, Yan Yiran. Effect of argon dilution on detonation instability of C2H2-O2 mixture and its quantitative analysis[J]. Explosion And Shock Waves, 2017, 37(4): 577-584. doi: 10.11883/1001-1455(2017)04-0577-08
Citation: Zhao Huanjuan, J.H.S.Lee, Zhang Yinghua, Qian Xinming, Yan Yiran. Effect of argon dilution on detonation instability of C2H2-O2 mixture and its quantitative analysis[J]. Explosion And Shock Waves, 2017, 37(4): 577-584. doi: 10.11883/1001-1455(2017)04-0577-08

氩气对乙炔预混气爆轰不稳定性的影响及量化分析

doi: 10.11883/1001-1455(2017)04-0577-08
基金项目: 

国家自然科学基金项目 11602017

中央高校基本科研业务费专项资金项目 FRF-TP-15-105A1

中国博士后科学基金项目 2015M580049

详细信息
    作者简介:

    赵焕娟(1985-),女,博士,讲师

    通讯作者:

    张英华,zyhustb@163.com

  • 中图分类号: O381

Effect of argon dilution on detonation instability of C2H2-O2 mixture and its quantitative analysis

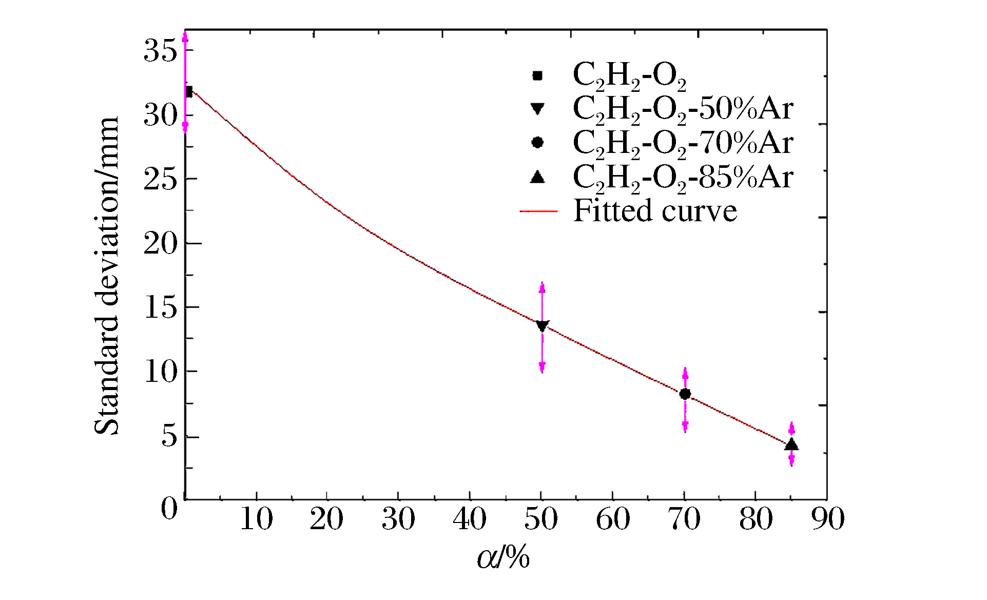
  • 摘要: 为定量研究氩气对预混气爆轰不稳定性的影响,在管径为50.8、63.5 mm的管道内对未稀释及氩气稀释(氩气的体积分数为50%、70%、85%)的C2H2-O2预混气进行了实验研究和量化分析,通过烟膜轨迹获得了不同初始压力下各种预混气的爆轰结构。对烟膜图像进行数字化处理,得到了氩气稀释下C2H2-O2预混气爆轰轨迹的不规则度表征:轨迹间距的柱状图、标准差曲线、自相关函数。结果表明:随着氩气体积分数的升高,三波点轨迹愈加规则,不稳定性在爆轰自持传播过程中逐渐失去主导作用。稀释后预混气爆轰轨迹间距的柱状图和自相关函数的峰值和分布离散情况基本一致,与标准差分布一致。C2H2-O2-85%Ar、C2H2-O2-70%Ar、C2H2-O2预混气的柱状图主胞格尺寸占比分别为33%、23%、20%,标准差分别为2.66~6.60 mm、5.37~10.96 mm、27.63~36.67 mm,自相关函数的第1个最高峰值分别高于其他峰值1/3倍、1/6倍、1/7倍。通过分析标准差数据,拟合得到氩气的体积分数与不稳定度的多项式函数,为选取不稳定度和氩气稀释浓度提供了依据。
  • 图  1  Ø50.8mm爆轰管道结构简图

    Figure  1.  Sketch of Ø50.8 mm detonation tube

    图  2  Ø63.5 mm爆轰管道结构简图

    Figure  2.  Sketch of Ø63.5 mm detonation tube

    图  3  Ø50.8 mm管道内C2H2-O2预混气烟膜

    Figure  3.  Smoked foils of premixed C2H2-O2 in a Ø50.8 mm tube

    图  4  Ø50.8 mm管道内C2H2-O2-70%Ar预混气烟膜

    Figure  4.  Smoked foils of premixed C2H2-O2-70%Ar in a Ø50.8 mm tube

    图  5  Ø50.8 mm管道内C2H2-O2-85%Ar预混气烟膜

    Figure  5.  Smoked foils of premixed C2H2-O2-85%Ar in a Ø50.8 mm tube

    图  6  3种预混气的典型烟膜轨迹线

    Figure  6.  Typical smoked foil patterns of three premixed mixtures

    图  7  预混气爆轰轨迹间距数据的等间距柱状图

    Figure  7.  Equidistant histograms of transverse waves' spacing of premixed mixtures

    图  8  预混气爆轰轨迹间距数据的等比例柱状图

    Figure  8.  Proportional histograms of transverse waves' spacing of premixed mixtures

    图  9  Ar体积分数不同的预混气的爆轰轨迹间距标准差

    Figure  9.  Standard deviation of transverse waves' spacing of premixed mixtures with different Ar dilution

    图  10  标准差-Ar体积分数的拟合曲线

    Figure  10.  Fitted curve of standard deviation versus volume fraction of Ar

    图  11  预混气爆轰轨迹的自相关结果

    Figure  11.  Autocorrelation function results of transverse wave of premixed mixtures

  • [1] Lee J H S. The detonation phenomenon[M]. Cambridge: Cambridge University Press, 2008.
    [2] Lee J H S. Dynamic parameters of gaseous detonations[J]. Annual Review of Fluid Mechanics, 1984, 16(1):311-336. http://cn.bing.com/academic/profile?id=c627ef06b702ea12465db96c2f23f8a9&encoded=0&v=paper_preview&mkt=zh-cn
    [3] Zhang B, Bai C. Critical energy of direct detonation initiation in gaseous fuel-oxygen mixtures[J]. Safety Science, 2013, 53(2):153-159. http://www.wanfangdata.com.cn/details/detail.do?_type=perio&id=47d9ad6d84550c32506192b2085e2611
    [4] Zhang B, Mehrjoo N, Ng H D, et al. On the dynamic detonation parameters in acetylene-oxygen mixtures with varying amount of argon dilution[J]. Combustion & Flame, 2014, 161(5):1390-1397. http://www.wanfangdata.com.cn/details/detail.do?_type=perio&id=c365a26b84dae4bd190904d5fbd329ff
    [5] Denisov Y H, Troshin Y K. Pulsating and spinning detonation of gaseous mixtures in tubes[J]. Doklady Akademii Nauk SSSR, 1959, 125:110-113.
    [6] Teng H, Ng H D, Kang L, et al. Evolution of cellular structures on oblique detonation surfaces[J]. Combustion & Flame, 2015, 162(2):470-477. http://www.wanfangdata.com.cn/details/detail.do?_type=perio&id=b224c2af4563ae320ea208fc4d47dd95
    [7] Sharpe G J. Transverse waves in numerical simulations of cellular detonations[J]. Journal of Fluid Mechanics, 2001, 447:31-51. doi: 10.1017/S0022112001005535
    [8] 张薇, 刘云峰, 姜宗林.气相爆轰波胞格尺度与点火延迟时间关系研究[J].力学学报, 2014, 46(6):977-981. http://www.cnki.com.cn/Article/CJFDTotal-LXXB201406018.htm

    Zhang Wei, Liu Yunfeng, Jiang Zonglin. Study on the relationship between ignition delay time and gaseous detonation cell size[J]. Chinese Journal of Theoretical and Applied Mechanics, 2014, 46(6):977-981. http://www.cnki.com.cn/Article/CJFDTotal-LXXB201406018.htm
    [9] Trotsyuk A V, Fomin P A, Vasil'Ev A A. Numerical study of cellular detonation structures of methane mixtures[J]. Journal of Loss Prevention in the Process Industries, 2015, 36:394-403. doi: 10.1016/j.jlp.2015.03.012
    [10] 刘岩, 武丹, 王健平.低马赫数下斜爆轰波的结构[J].爆炸与冲击, 2015, 35(2):203-207. http://d.old.wanfangdata.com.cn/Conference/8699412

    Liu Yan, Wu Dan, Wang Jianping. Structure of oblique detonation wave at low inflow Mach number[J]. Explosion and Shock Waves, 2015, 35(2):203-207. http://d.old.wanfangdata.com.cn/Conference/8699412
    [11] Lee J J, Garinis D, Frost D L, et al. Two-dimensional autocorrelation function analysis of smoked foil patterns[J]. Shock Waves, 1995, 5(3):169-174. http://cn.bing.com/academic/profile?id=6fefe13603f56671a5feb4a62a6a9146&encoded=0&v=paper_preview&mkt=zh-cn
    [12] Strehlow R A, Liaugminas R, Watson R H, et al. Transverse wave structure in detonations[C]// Watson R H, Eyman J R. 11th Symposium (International) on Combustion, 1967: 683-692. https://www.sciencedirect.com/science/article/pii/S0082078467801942
    [13] Takai R, Yoneda K, Hikita T. Study of detonation wave structure[J]. Symposium on Combustion, 1975, 15(1):69-78. http://d.old.wanfangdata.com.cn/Periodical/tjjs201604002
    [14] 徐彬, 陈成光, 糜仲春, 等.H2-O2爆轰时Ar浓度对产生胞格结构的影响[J].实验力学, 1988, 3(1):35-39. http://www.cnki.com.cn/Article/CJFDTotal-SYLX198801007.htm

    Xu Bin, Chen Chengguang, Mi Zhongchun, et al. The effect of concentration of Ar on formation of cellular structure in H2-O2 detonation[J]. Journal of Experimental Mechanics, 1988, 3(1):35-39. http://www.cnki.com.cn/Article/CJFDTotal-SYLX198801007.htm
    [15] 王昌建, 徐胜利, 费立森.气相爆轰波反应区结构的平面激光诱导荧光测量[J].力学学报, 2007, 39(5):661-667. doi: 10.3321/j.issn:0459-1879.2007.05.012

    Wang Changjian, Xu Shengli, Fei Lisen. Study on reaction zone structure of gaseous detonation wave by planar laser induced fluorescence technique[J]. Chinese Journal of Theoretical and Applied Mechanics, 2007, 39(5):661-667. doi: 10.3321/j.issn:0459-1879.2007.05.012
    [16] Radulescu M I, Ng H D, Lee J H S, et al. The effect of argon dilution on the stability of acetylene/oxygen detonations[J]. Proceedings of the Combustion Institute, 2002, 29(2):2825-2831. doi: 10.1016/S1540-7489(02)80345-5
    [17] 徐晓峰, 解立峰, 彭金华, 等.环氧丙烷-空气混合物爆轰波胞格结构的研究[J].爆炸与冲击, 2004, 24(2):158-162. doi: 10.3321/j.issn:1001-1455.2004.02.010

    Xu Xiaofeng, Xie Lifeng, Peng Jinhua, et al. Study on the detonation cellular structure of propylene epoxide-air[J]. Explosion and Shock Waves, 2004, 24(2):158-162. doi: 10.3321/j.issn:1001-1455.2004.02.010
    [18] 程关兵, 李俊仙, 李书明, 等.氢气/丙烷/空气预混气体爆轰性能的实验研究[J].爆炸与冲击, 2015, 35(2):249-254. http://www.wanfangdata.com.cn/details/detail.do?_type=perio&id=bzycj201502016

    Cheng GuanBing, Li JunXian, Li ShuMing, et al. An experimental study on detonation characteristics of binary fuels hydrogen/propane-air mixtures[J]. Explosion and Shock Waves, 2015, 35(2):249-254. http://www.wanfangdata.com.cn/details/detail.do?_type=perio&id=bzycj201502016
    [19] Golovastov S, Golub V, Mikushkin A. Stability of acetylene-propane-butane and acetylene-hydrogen gas mixtures subjected to shock wave action[J]. Fuel, 2014, 126(12):213-218. http://www.wanfangdata.com.cn/details/detail.do?_type=perio&id=5894fef7f386f70a54d7093a59179a73
  • 加载中
图(11)
计量
  • 文章访问数:  4646
  • HTML全文浏览量:  1424
  • PDF下载量:  404
  • 被引次数: 0
出版历程
  • 收稿日期:  2015-11-26
  • 修回日期:  2016-04-06
  • 刊出日期:  2017-07-25

目录

    /

    返回文章
    返回