Application of the neural network equation of state in numerical simulation of intense blast wave
-
摘要: 强爆炸数值模拟的主要挑战在于如何准确地描述爆炸产物状态方程。利用BP神经网络和强爆炸产物状态数据对神经网络产物状态方程进行训练,并将得到的状态方程植入自编的一维球对称数值模拟程序,对强爆炸冲击波参数进行了计算。结果显示,计算得到的冲击波峰值超压、冲击波到时、正压时间与标准值吻合较好,证明将神经网络状态方程应用于强爆炸冲击波数值模拟是可行的。研究结果对确定强爆炸数值模拟方法具有很好的借鉴意义。Abstract: The main challenge of numerical simulation of intense explosion is how to accurately determine the equations of state for the explosive products. The traditional equations of state are mostly empirical or semi-empirical formulas, which can just deal with ordinary explosions, but the treatment of intense explosions is of great limitation. The parameters of intense explosive products span an extremely wide range, which often exceeds the scope of empirical formula. Neural network has an excellent nonlinear fitting function and can realize the function of the equations of state. At the same time, there are a lot of state parameters of material in the sesame library, and the material parameters suitable for intense explosive products were selected as training data of neural network. The tabulated data of intensive explosive product samples were pretreated to make them better used in neural networks, then the data was adopted as training set to train the BP neural network and a one-dimensional spherical numerical code embedded with neural network equation of state was used to calculate the blast wave parameters of the explosion of fission device. In the process of neural network construction, the structure of neural network was optimized by enumeration experiment, and the structure of multi-layer neural network with a simple structure and good precision was obtained. In the process of numerical calculation, the code called the embedded neural network equations of state module, calculated the pressure of the explosive product through the density and the specific internal energy, and the flow field parameters of the whole explosive blast wave were finally obtained. The numerical results show that the calculated peak overpressure, arrival time and positive pressure duration coincide with the standard values, which proves the feasibility of the application of the neural network equation of states in the intense blast wave calculations. The results are of great significance to the numerical simulation of intense explosion.
-
Key words:
- blast wave /
- neural network /
- equation of state /
- numerical simulation /
- sesame EOS data base
-
表 1 芝麻数据库中铁蒸气数据(部分)
Table 1. Iron steam data in sesame data(part)
密度/(kg·m−3) 比内能/(MJ·kg −1) 压力/GPa 密度/(kg·m−3) 比内能/(MJ·kg −1) 压力/GPa 61.328 25.062 384.18 117.01 21.508 704.39 61.328 83.371 1600.9 117.01 77.821 2937.6 61.328 255.24 3982.1 117.01 241.89 7347.0 61.328 848.09 12766 117.01 757.22 22873 61.328 3368.3 54259 117.01 3055.8 97777 表 2 不同隐含层数量对应的理论单层最大节点数
Table 2. The number of the maximum nodes of single layer
隐含层总数 1 2 3 4 5 6 7 8 理论最大节点 275 30 22 18 15 13 12 11 表 3 神经网络结构测试均方误差
Table 3. Mean squared error of different Neural network structure
L N δ1/10−5 δ2/10−5 δ3/10−5 δ4/10−5 δ/10−5 2 5 16.7 2.8 2.0 1.4 5.725 10 13.2 28.5 12.1 2.9 14.175 15 2.6 0.9 1.0 1.6 1.525 20 1.5 1.2 0.9 1.4 1.25 25 1.4 1.8 14.6 2.5 5.075 30* 11.2 5.8 16.9 11.6 11.375 3 5 1.1 5.2 1.8 1.1 2.3 10 0.3 10.1 0.8 0.2 2.85 15 3.8 0.9 0.2 2.1 1.75 20 0.4 0.5 0.9 4.2 1.5 22* 1.1 5.6 0.6 2.7 2.5 4 5 2.6 4.0 0.9 15.6 5.775 10 0.6 1.0 1.1 0.5 0.8** 15 0.7 4.5 1.1 1.0 1.825 18* 2.6 0.7 3.8 24.3 7.85 5 5 7.5 14.3 2.0 1.4 6.3 10 1.4 0.5 0.6 2.0 1.125** 15* 0.7 0.2 1.1 10.0 3 6 5 1.2 0.9 1.7 1.8 1.4 10 0.5 0.5 1.0 0.5 0.625** 13* 0.5 0.5 0.8 0.4 0.55** 7 5 4.1 19.1 1.4 0.9 6.375 9 1.2 2.2 3.3 1.9 2.15 12* 0.4 0.5 0.7 1.3 0.725** 注: * 理论最大节点数;** 平均δ小于1.2×10−5。 表 4 神经网络参数组成
Table 4. Neural network parameter composition
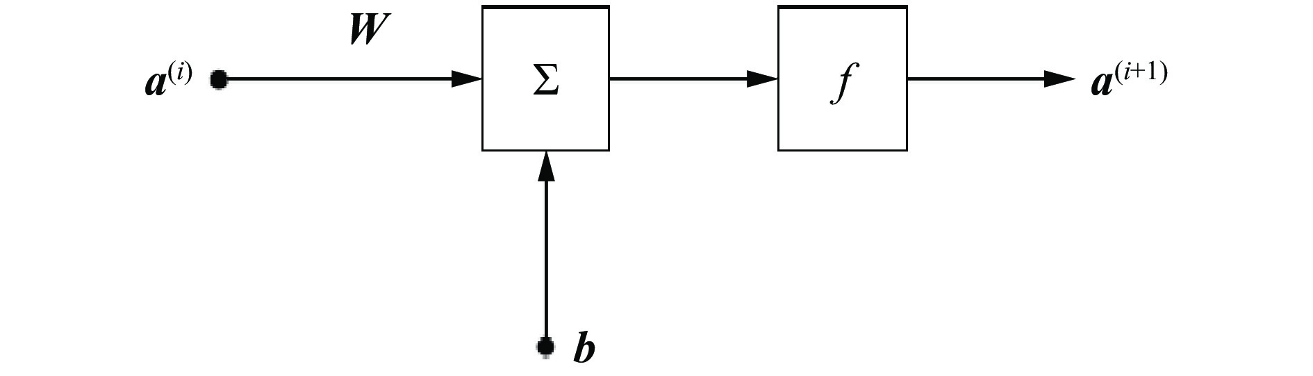
层 节点 权值 阈值 激活函数 输入层 2 − − − 隐含层1 10 10×2 10×1 y=tanhx 隐含层2 10 10×10 10×1 y=tanhx 隐含层3 10 10×10 10×1 y=tanhx 隐含层4 10 10×10 10×1 y=tanhx 输出层 1 1×10 1 y = x 元素总和 43 330 41 − 表 5 装置初始参数
Table 5. Initial device parameter
TNT当量/kt 质量/kg 半径/m 平均密度/(g·cm−3) 比内能/(GJ·kg−1) 15 50 0.2 1.492 1067 表 6 数值计算误差
Table 6. Error of numerical simulation
爆心距/m 峰值超压/GPa 到时/ms 正压作用时间/ms 误差/% 计算值 参考值 计算值 参考值 计算值 参考值 峰值超压 到时 正压作用时间 50 53.57 46.48 2.592 2.944 372.3 405.7 15.3 12.0 8.2 100 7.264 6.139 15.10 16.65 360.2 403.7 18.3 9.3 10.8 200 1.097 0.8511 82.10 88.22 299.1 353.2 28.9 6.9 15.3 300 0.4524 0.3095 207.4 219.8 284.1 320.7 46.2 5.6 11.4 -
[1] BLAZEK J. Computational fluid dynamics: principles and applications [M]. 3rd ed. San Diego: Butterworth-Heineman, 2015. DOI: 10.1016/C2013-0-19038-1. [2] 奥尔连科Л Π. 爆炸物理学 [M]. 孙承纬, 译. 北京: 科学出版社, 2011.ОРЛЕНΚО Л Π. Explosion physics [M]. SUN C W, trans. Beijing: Science Press, 2011. [3] GHABOUSSI J, GARRETT JR J H, WU X. Knowledge-based modeling of material behavior with neural networks [J]. Journal of Engineering Mechanics, 1991, 117(1): 132–153. DOI: 10.1061/(ASCE)0733-9399(1991)117:1(132. [4] JUNG S, GHABOUSSI J. Neural network constitutive model for rate-dependent materials [J]. Computers & Structures, 2006, 84(15/16): 955–963. DOI: 10.1016/j.compstruc.2006.02.015. [5] 曹吉星. 钢纤维混凝土的动态本构模型及其有限元方法 [D]. 成都: 西南交通大学, 2011.CAO J X. Dynamic constitutive model of steel fiber reinforced concrete and its finite element method [D]. Chengdu: Southwest Jiaotong University, 2011. [6] 何龙, 张冉阳, 赵刚要, 等. 基于BP神经网络的GH5188高温合金本构模型 [J]. 特种铸造及有色合金, 2021, 41(2): 223–226. DOI: 10.15980/j.tzzz.2021.02.020.HE L, ZHANG R Y, ZHAO G Y, et al. Constitutive model of GH5188 superalloy based on BP neural network [J]. Special Casting & Nonferrous Alloys, 2021, 41(2): 223–226. DOI: 10.15980/j.tzzz.2021.02.020. [7] 崔浩, 郭锐, 宋浦, 等. BP-GA算法确定未反应炸药的JWL状态方程参数 [J]. 含能材料, 2022, 30(1): 43–49. DOI: 10.11943/CJEM2021133.CUI H, GUO R, SONG P, et al. Determination of parameters of JWL equation of state for unreacted explosives based on BP-GA algorithm [J]. Chinese Journal of Energetic Materials, 2022, 30(1): 43–49. DOI: 10.11943/CJEM2021133. [8] 乔登江. 地下核爆炸现象学概论(上册) [M]. 北京: 国防工业出版社, 2002: 46-47. [9] 夏先贵. SESAME库的引进和开发 [J]. 爆轰波与冲击波, 1992(2): 26–29.XIA X G. Introduction and development of SESAME data [J]. Detonation Wave & Shock Wave, 1992(2): 26–29. [10] 夏先贵. 开发应用SESAME EOS数据库在爆轰物理实验中应用 [J]. 爆轰波与冲击波, 1993(3): 19–28. [11] 周鼎涛. BP神经网络是不是隐含层节点越多越好, 还是只要最优就行? [EB/OL]. (2022-03-22)[2022-04-01]. https://m.jingyanlib.com/resultpage?id=J7SO2K-JQlcCGxGpLzDIEw. [12] 姚成宝, 付梅艳, 韩峰, 等. 欧拉坐标系下具有锐利相界面的可压缩多介质流动数值方法研究 [J]. 力学学报, 2020, 52(4): 1063–1079. DOI: 10.6052/0459-1879-20-054.YAO C B, FU M Y, HAN F, et al. Numerical scheme of multi-material compressible flow with sharp interface on eulerian grids [J]. Chinese Journal of Theoretical and Applied Mechanics, 2020, 52(4): 1063–1079. DOI: 10.6052/0459-1879-20-054. [13] KHAN F A. On Tsar Bomba—the most powerful nuclear weapon ever tested [J]. Physics Education, 2021, 56(1): 013002. DOI: 10.1088/1361-6552/abbcbc. [14] FETTER S, FROLOV V A, MILLER M, et al. Detecting nuclear warheads [J]. Science & Global Security, 1990, 1(3/4): 225–253. DOI: 10.1080/08929889008426333. [15] TAYLOR T B. Verified elimination of nuclear warheads [J]. Science & Global Security, 1989, 1(1/2): 1–26. DOI: 10.1080/08929888908426321. [16] GLASSTONE S, DOLAN P J. The effects of nuclear weapons [M]. Washington: United States Department of Defense and the United States Department of Energy, 1977. -


下载: