Numerical research on the effect of front body on water-entry load of a projectile
-
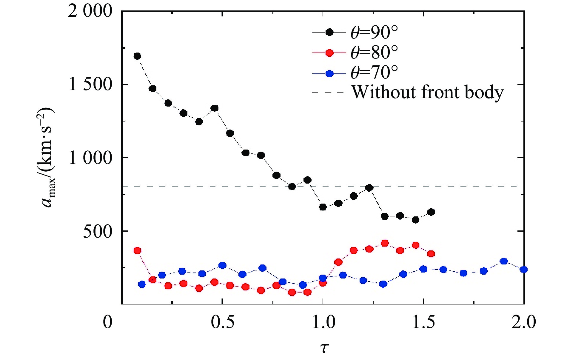
摘要: 弹体穿过气-液界面时因密度突变会遭受强冲击载荷,出现结构损伤或破坏。为降低弹体入水的冲击载荷,基于Rabbi降载思想,提出了一种在主弹体前附加前抛体的结构形式。运用S-ALE (structured arbitrary Lagrange-Euler)算法和罚函数流固耦合方法进行空泡形态和弹体运动状态数值模拟,数值模拟结果与弹体入水实验图像吻合,验证了数值模拟算法的有效性;随后研究了前抛弹体的入水角度、主弹体与前抛体的无量纲入水时间间隔参数、前抛体尺寸、主弹体与前抛体的入水初速度对降载效果的影响。研究结果表明,前抛体垂直入水时存在前抛体和主弹体碰撞现象,不利于降载,甚至可能给主弹体带来更大的载荷;前抛体斜入水时可避免两弹体间的碰撞,具有良好的降载效果,最大降载率可达90%。在此基础上获得了降载效果最佳的无量纲入水时间间隔范围为0.8~0.9,在此范围内主弹体的降载效果随前抛体尺寸的增大和入水初速度增加而提高。Abstract: When the projectile passes through the gas-liquid interface, the sudden change of density may cause a violent impact load and do untold damage to it. It seriously affects the working effect of the projectile. In order to reduce the water entry load of the projectile, based on Rabbi’s idea of load reduction, a kind of structure of projectile with front body was proposed. The S-ALE (structured arbitrary Lagrange-Euler) algorithm and the fluid-structure coupling method with penalty function were used to simulate the shape of the cavitation wall and the projectile motion state, which is coincident by comparing with those of experiments. The validity of the numerical method is verified. Furthermore, the influence of the water entry angle of front body, the dimensionless water entry time interval parameter between main projectile and front body, the size of front body, the initial water entry velocity of main projectile and front body on impact load were researched by numerical simulation. The simulation results show that the front body will impact the main projectile when they both entering water vertically, which increases the impact load due to the collision of them. When the front body enters the water obliquely and the main projectile still enters the water vertically, the collision between main projectile and front body could be avoided and a good load reduction effect is obtained. The maximum load reduction ratio is up to 90%. The dimensionless time interval parameter range for obtaining a good load reduction effect is from 0.8 to 0.9. Within this range, variation laws of the water entry load of main projectile with the size of the front body and the initial velocity of entering water were discussed in detail. The effect of load reduction increases with the increase of the size of the front body and the initial water entry velocity.
-
Key words:
- projectile water entry /
- impact load /
- load reduction technology /
- front body /
- S-ALE
-
表 1 水的Grüneisen状态方程参数
Table 1. Grüneisen equation of state parameters of water
ρw/(kg·m−3) cw/(m·s−1) S1 S2 S2 γ0 a1 Ew/(J·m−3) μw0 1000 1480 1.979 0 0 0.11 3 3.07×105 1 表 2 空气的多项式状态方程参数
Table 2. Polynomial equation of state parameters of air
ρa/(kg·m−3) C0 C1 C2 C3 C4 C5 C6 Ea/(J·m−3) μa0 1.225 0 0 0 0 0.4 0.4 0 2.5×105 1 -
[1] 路龙龙. 空投鱼雷入水技术研究 [D]. 西安: 西北工业大学, 2006.LU L L. Research on theory and application of torpedo’s water entry [D]. Xi’an: Northwestern Polytechnical University, 2006. [2] BOTTOMLEY G H. The impact of a model seaplane float on water: No 583 [R]. 1919. [3] VON KARMAN T. The impact on seaplane floats during landing: NACA TN321 [R]. Washington, DC: National Advisory Committee on Aeronautics, 1929. [4] WAGNER V H. Phenomena associated with impacts and sliding on liquid surfaces [J]. Zeitschrift fur Angewandet Mathematik und Mechanik, 1932, 12(4): 193–215. DOI: 10.1002/zamm.19320120402. [5] EROSHIN V A, ROMANENKOV N I, SEREBRYAKOV I V, et al. Hydrodynamic forces produced when blunt bodies strike the surface of a compressible fluid [J]. Fluid Dynamics, 1981, 15(6): 829–835. DOI: 10.1007/BF01096631. [6] 石汉成, 蒋培, 程锦房. 头部形状对水雷入水载荷及水下弹道影响的数值仿真分析 [J]. 舰船科学技术, 2010, 32(10): 104–107. DOI: 10.3404/j.issn.1672-7649.2010.10.027.SHI H C, JIANG P, CHENG J F. Research on numerical simulation of mine water-entry impact acceleration and underwater ballistic trajectory under the different mine’s head shape [J]. Ship Science and Technology, 2010, 32(10): 104–107. DOI: 10.3404/j.issn.1672-7649.2010.10.027. [7] 刘华坪, 余飞鹏, 张岳青, 等. 不同头型鱼雷入水冲击载荷研究 [J]. 水下无人系统学报, 2018, 26(6): 527–532. DOI: 10.11993/j.issn.2096-3920.2018.06.003.LIU H P, YU F P, ZHANG Y Q, et al. Analyzing water-entry impact load on torpedo with different head types [J]. Journal of Unmanned Undersea Systems, 2018, 26(6): 527–532. DOI: 10.11993/j.issn.2096-3920.2018.06.003. [8] SHI Y, PAN G, YIM S C, et al. Numerical investigation of hydroelastic water-entry impact dynamics of AUVs [J]. Journal of Fluids and Structures, 2019, 91: 102760. DOI: 10.1016/j.jfluidstructs.2019.102760. [9] SHARKER S I, HOLEKAMP S, MANSOOR M M, et al. Water entry impact dynamics of diving birds [J]. Bioinspiration & Biomimetics, 2019, 14(5): 056013. DOI: 10.1088/1748-3190/ab38cc. [10] HOWARD E A. Protective nose cap for torpedoes: U. S. Patent 2889772 [P]. 1959-06-09. [11] 宣建明, 宋志平, 严忠汉. 鱼雷入水缓冲保护头帽解体试验研究 [J]. 鱼雷技术, 1999, 7(2): 41–46. [12] 权晓波, 包健, 孙龙泉, 等. 基于耦合欧拉-拉格朗日算法的航行体缓冲头帽冲击性能 [J]. 兵工学报, 2022, 43(4): 851–860. DOI: 10.12382/bgxb.2021.0168.QUAN X B, BAO J, SUN L Q, et al. Impact performance of cushion nose cap of underwater vehicle based on CEL method [J]. Acta Armamentarii, 2022, 43(4): 851–860. DOI: 10.12382/bgxb.2021.0168. [13] 孙龙泉, 王都亮, 李志鹏, 等. 基于CEL方法的航行体高速入水泡沫铝缓冲装置降载性能分析 [J]. 振动与冲击, 2021, 40(20): 80–88. DOI: 10.13465/j.cnki.jvs.2021.20.011.SUN L Q, WANG D L, LI Z P, et al. Analysis on load reduction performance of foamed aluminum buffer device for high speed water entry of vehicle based on a CEL method [J]. Journal of Vibration and Shock, 2021, 40(20): 80–88. DOI: 10.13465/j.cnki.jvs.2021.20.011. [14] 魏海鹏, 史崇镔, 孙铁志, 等. 基于ALE方法的航行体高速入水缓冲降载性能数值研究 [J]. 爆炸与冲击, 2021, 41(10): 115–126. DOI: 10.11883/bzycj-2020-0461.WEI H P, SHI C B, SUN T Z, et al. Numerical study on load-shedding performance of a high-speed water-entry vehicle based on an ALE method [J]. Explosion and Shock Waves, 2021, 41(10): 115–126. DOI: 10.11883/bzycj-2020-0461. [15] LI Y, ZONG Z, SUN T Z. Crushing behavior and load-reducing performance of a composite structural buffer during water entry at high vertical velocity [J]. Composite Structures, 2021, 255: 112883. DOI: 10.1016/j.compstruct.2020.112883. [16] 李向阳. 反潜导弹缓冲头帽入水冲击特性的数值研究 [D]. 哈尔滨: 哈尔滨工程大学, 2021. DOI: 10.27060/d.cnki.ghbcu.2021.000904.LI X Y. Numerical study on the impact characteristics of anti-submarine missile's cushion nose cap into water [D]. Harbin: Harbin Engineering University, 2021. DOI: 10.27060/d.cnki.ghbcu.2021.000904. [17] 刘登科. 大尺度航行体高速入水缓冲降载特性研究 [D]. 哈尔滨: 哈尔滨工程大学, 2020. DOI: 10.27060/d.cnki.ghbcu.2020.002187.LIU D K. Research on load-reducing characteristics of water-entry vehicle with large scale and high speed [D]. Harbin: Harbin Engineering University, 2020. DOI: 10.27060/d.cnki.ghbcu.2020.002187. [18] SHI Y, GAO X F, PAN G. Design and load reduction performance analysis of mitigator of AUV during high speed water entry [J]. Ocean Engineering, 2019, 181: 314–329. DOI: 10.1016/j.oceaneng.2019.03.062. [19] 潘龙, 王焕然, 姚尔人, 等. 头部喷气平头圆柱体人水缓冲机制研究 [J]. 工程热物理学报, 2015, 36(8): 1691–1695.PAN L, WANG H R, YAO E R, et al. Mechanism research on the water-entry impact of the head-jetting flat cylinder [J]. Journal of Engineering Thermophysics, 2015, 36(8): 1691–1695. [20] 刘华坪, 余飞鹏, 韩冰, 等. 头部喷气影响航行体入水载荷的数值模拟 [J]. 工程热物理学报, 2019, 40(2): 300–305.LIU H P, YU F P, HAN B, et al. Numerical simulation study on influence of top jet in object water entering impact [J]. Journal of Engineering Thermophysics, 2019, 40(2): 300–305. [21] 赵海瑞, 施瑶, 潘光. 头部喷气航行器高速入水空泡特性数值分析 [J]. 西北工业大学学报, 2021, 39(4): 810–817. DOI: 10.1051/jnwpu/20213940810.ZHAO H R, SHI Y, PAN G. Numerical simulation of cavitation characteristics in high speed water entry of head-jetting underwater vehicle [J]. Journal of Northwestern Polytechnical University, 2021, 39(4): 810–817. DOI: 10.1051/jnwpu/20213940810. [22] RABBI R, SPEIRS N B, KIYAMA A, et al. Impact force reduction by consecutive water entry of spheres [J]. Journal of Fluid Mechanics, 2021, 915: A55. DOI: 10.1017/jfm.2020.1165. [23] LYU X J, YUN H L, WEI Z Y. Influence of time interval on the water entry of two spheres in tandem configuration [J]. Experiments in Fluids, 2021, 62(11): 222. DOI: 10.1007/s00348-021-03300-w. [24] 辛春亮, 涂建, 王俊林, 等. 由浅入深精通LS-DYNA [M]. 北京: 中国水利水电出版社, 2019. [25] 桂蜀旺. 高速弹体入水冲击过程流固耦合分析 [D]. 南京: 南京航空航天大学, 2020. DOI: 10.27239/d.cnki.gnhhu.2020.000018.GUI S W. Analysis of high speed projectile water-entry process based on fluid-solid coupling [D]. Nanjing: Nanjing University of Aeronautics and Astronautics, 2020. DOI: 10.27239/d.cnki.gnhhu.2020.000018. [26] 黄兆铭. 单立柱三桩式海上风机受冰风荷载作用的损伤研究 [D]. 哈尔滨: 哈尔滨工业大学, 2021. DOI: 10.27061/d.cnki.ghgdu.2021.004343.HUANG Z M. Research on the damage of single-column three-piles offshore wind turbines subjected to ice and wind loads [D]. Harbin: Harbin Institute of Technology, 2021. DOI: 10.27061/d.cnki.ghgdu.2021.004343. [27] 王明振, 曹东风, 吴彬, 等. 基于S-ALE流固耦合方法的飞机水上迫降动力学数值分析 [J]. 重庆大学学报, 2020, 43(6): 21–29. DOI: 10.11835/j.issn.1000-582X.2020.06.003.WANG M Z, CAO D F, WU B, et al. Numerical analysis of aircraft dynamic behavior in ditching based on S-ALE fluid-structure interaction method [J]. Journal of Chongqing University, 2020, 43(6): 21–29. DOI: 10.11835/j.issn.1000-582X.2020.06.003. [28] CHEN T, HUANG W, ZHANG W, et al. Experimental investigation on trajectory stability of high-speed water entry projectiles [J]. Ocean Engineering, 2019, 175: 16–24. DOI: 10.1016/j.oceaneng.2019.02.021. -


下载: