A control method for attenuation history of shock wave generated by blast simulation shock tube based on high pressure gas driving technic
-
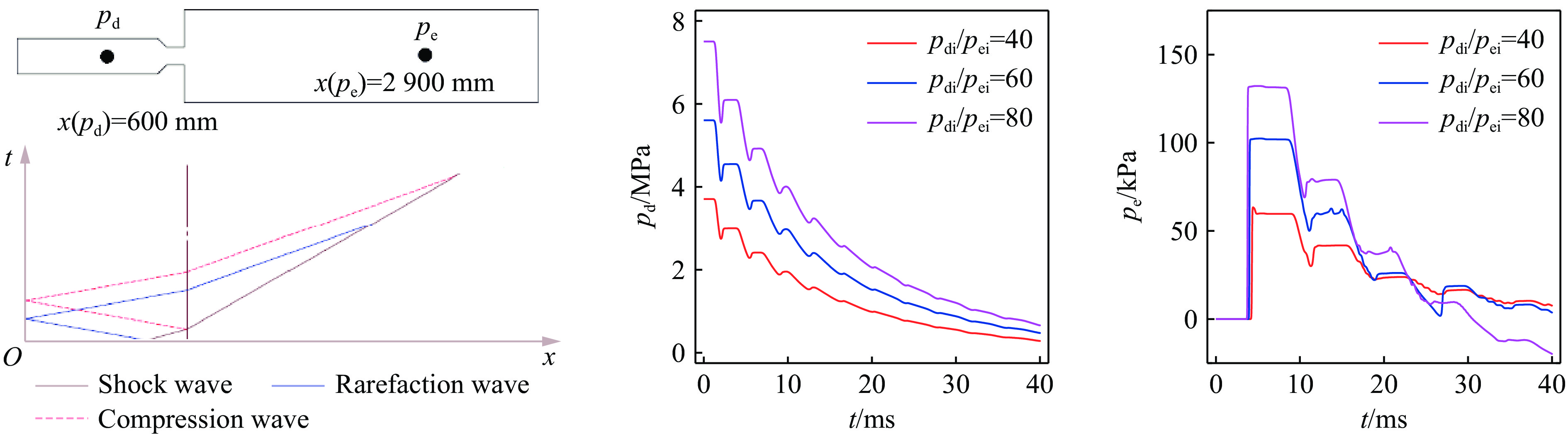
摘要: 基于高压气体驱动的爆炸波模拟激波管,一般采用驱动段、喉部、膨胀段的结构形式,可产生特征与爆炸波接近的模拟冲击波,是实验室中开展长正压作用时间爆炸毁伤效应研究的理想平台。通过调整激波管的变截面结构和驱动段形状,实现冲击波超压衰减历程的控制,是此类爆炸波模拟激波管设计面临的核心问题之一。基于实验室现有的爆炸波模拟激波管结构,建立了激波管内一维流动数值计算模型;参考统计学理论,提出了基于决定系数的激波管模拟冲击波与标准爆炸波相似度评价方法;进而以变截面激波管的流动特性为基础,研究了驱动段形状对冲击波衰减历程的影响机理。研究结果表明:采用距离喉部越远、截面直径越小的驱动段形状,以决定系数为量化标准、优化驱动段形状,控制稀疏波、压缩波在激波管内的运动过程,可以获得接近于爆炸波指数衰减特征的模拟冲击波。Abstract: A high-pressure-gas-driving blast wave simulation shock tube, commonly composed of driving section, throat section and expansion section, is an ideal platform for explosion damage effect research of long positive shock pressure duration time in the laboratory, as the ability of generating simulated shock wave with similar characteristics to real explosion wave. One of the core problems in the design of blast simulation shock tubes, is the control method of the simulated wave attenuation process by modifying the variable section structure and the driving section shape of the shock tube. In this article, a numerical calculation model of one-dimensional flow in the shock tube is established based on the explosion simulation shock tube in the laboratory, a similarity evaluation method of simulated shock wave and standard explosion wave in a shock tube based on determination coefficient is proposed referring to the statistical theory. Then, based on the flow characteristics of the variable section shock tube, the influence of the shape of the driving section on the shock wave attenuation history is studied. The results show that, it is feasible to acquire simulated wave with approximate exponential attenuation history of real blast wave, by using variable cross-section driving tube, of which the section diameter decreases with the growth of distance to the throat, optimizing the variable cross-section structure due to the determination coefficient, and controlling the motion property of expansion and compression wave in the shock tube.
-
表 1 计算模型参数
Table 1. Parameters of calculation model
Model L/mm L1/mm L2/mm D1/mm D2/mm G1/mm G2/mm G3/mm Ref 1000 — — — 50 100 800 1750 1 1000 400 450 45 50 100 800 1750 2 1000 400 450 40 50 100 800 1750 3 1000 550 300 40 50 100 800 1750 4 1000 250 600 40 50 100 800 1750 -
[1] 任辉启, 王世合, 周松柏, 等. 大型爆炸波模拟装置研制及其应用 [C]//第十六届全国激波与激波管学术会议论文集. 河南,洛阳: 中国力学学会激波与激波管专业委员会, 2014. [2] NIAN W M, SUBRAMANIAM K V L, ANDREOPOULOS Y. Experimental investigation on blast response of cellular concrete [J]. International Journal of Impact Engineering, 2016, 96: 105–115. DOI: 10.1016/j.ijimpeng.2016.05.021. [3] RENEER D V, HISEL R D, HOFFMAN J M, et al. A multi-mode shock tube for investigation of blast-induced traumatic brain injury [J]. Journal of Neurotrauma, 2011, 28(1): 95–104. DOI: 10.1089/neu.2010.1513. [4] RESLER E L, LIN S C, KANTROWITZ A. The production of high temperature gases in shock tubes [J]. Journal of Applied Physics, 1952, 23(12): 1390–1399. DOI: 10.1063/1.1702080. [5] CHESTER W. The quasi-cylindrical shock tube [J]. The London, Edinburgh, and Dublin Philosophical Magazine and Journal of Science, 1954, 45(371): 1293–1301. DOI: 10.1080/1478641208561138. [6] CHISNELL R F. The motion of a shock wave in a channel, with applications to cylindrical and spherical shock waves [J]. Journal of Fluid Mechanics, 1957, 2(3): 286–298. DOI: 10.1017/S0022112057000130. [7] WHITHAM G B. On the propagation of shock waves through regions of non-uniform area or flow [J]. Journal of Fluid Mechanics, 1958, 4(4): 337–360. DOI: 10.1017/S0022112058000495. [8] CHESTER W. The propagation of shock waves along ducts of varying cross section [J]. Advances in Applied Mechanics, 1960, 6: 119–152. DOI: 10.1016/S0065-2156(08)70111-X. [9] COULTER G A, BULMASH G, KINGERY C. Feasibility study of shock wave modification in the BRL 2.44 m blast simulator: AD-A139631 [R]. U.S. Army Ballistic Research Laboratory, 1984. [10] HISLEY D M. Computational studies of wave-shaping in a blast simulator by perforated plates in the driver: AD-A188200 [R]. Aberdeen, UK: Ballistic Research Laboratory, 1987. [11] MARK A. Computational design of large-scale blast simulators [C]//19th Aerospace Sciences Meeting. St. Louis: AIAA, 1981. [12] OPALKA K O. Large blast and thermal simulator advanced concept driver design by computational fluid dynamics: AD-A-211364 [R]. Aberdeen, UK: Ballistics Research Laboratory, 1989. [13] JOSEY T, SAWYER T W. High fidelity simulation of free-field blast loading: the importance of dynamic pressure: DRDC-RDDC-2018-P003 [R]. Canada: Defense Research and Development, 2016. [14] GION E J. A multidriver shock tube model of a large blast simulator: AD-A208324 [R]. U.S. Army Ballistic Research Laboratory, 1989. [15] SCHRAML S J. Performance predictions for the large blast/thermal simulator based on experimental and computational results: AD-A-235728 [R]. Aberdeen, UK: Ballistics Research Laboratory, 1991. [16] 张德良. 计算流体力学教程 [M]. 北京: 高等教育出版社, 2010: 151.ZHANG D L. A course in computational fluid dynamics [M]. Beijing: Higher Education Press, 2010: 151. [17] OPALKA K O, MARK A. The BRL-Q1D Code: a tool for the numerical simulation of flows in shock tubes with variable cross-sectional areas: AD-A174254 [R]. U.S. Army Ballistic Research Laboratory, 1986. [18] SCHRAML S J, PEARSON R J. Computer programs for LB/TS test design: technical description, usage instructions and source code listings: AD-A-299247 [R]. Aberdeen, UK: Ballistics Research Laboratory, 1995. [19] 刘剑平, 陆元鸿, 曹宵临. 概率论与数理统计方法 [M]. 2版. 上海: 华东理工出版社, 2004: 186–195. -


下载: