Loading [MathJax]/jax/output/HTML-CSS/fonts/TeX/fontdata.js
  • ISSN 1001-1455  CN 51-1148/O3
  • EI、Scopus、CA、JST、EBSCO、DOAJ收录
  • 力学类中文核心期刊
  • 中国科技核心期刊、CSCD统计源期刊

电极表面不平整性对锂电池短路触发行为的影响

贾亦楷 刘子敬 黄庆丹 王璐冰

贾亦楷, 刘子敬, 黄庆丹, 王璐冰. 电极表面不平整性对锂电池短路触发行为的影响[J]. 爆炸与冲击, 2025, 45(2): 021412. doi: 10.11883/bzycj-2024-0339
引用本文: 贾亦楷, 刘子敬, 黄庆丹, 王璐冰. 电极表面不平整性对锂电池短路触发行为的影响[J]. 爆炸与冲击, 2025, 45(2): 021412. doi: 10.11883/bzycj-2024-0339
JIA Yikai, LIU Zijing, HUANG Qingdan, WANG Lubing. Effect of surface roughness of lithium-ion battery electrodes on short-circuit triggering behaviors[J]. Explosion And Shock Waves, 2025, 45(2): 021412. doi: 10.11883/bzycj-2024-0339
Citation: JIA Yikai, LIU Zijing, HUANG Qingdan, WANG Lubing. Effect of surface roughness of lithium-ion battery electrodes on short-circuit triggering behaviors[J]. Explosion And Shock Waves, 2025, 45(2): 021412. doi: 10.11883/bzycj-2024-0339

电极表面不平整性对锂电池短路触发行为的影响

doi: 10.11883/bzycj-2024-0339
基金项目: 国家自然科学基金(12402463);冲击与安全工程教育重点实验室(宁波大学)开放课题(CJ202402)
详细信息
    作者简介:

    贾亦楷(1994- ),男,博士,教授,yjia3@nwpu.edu.cn

  • 中图分类号: O347

Effect of surface roughness of lithium-ion battery electrodes on short-circuit triggering behaviors

  • 摘要: 锂离子电池遭受外部冲击时内部隔膜的形变和失效是引发内部短路的关键因素之一。电池电极表面通常并不平整,易造成隔膜应力集中,影响电池的机械稳定性。因此,基于数值模拟和理论分析,针对电池隔膜在非平整表面压缩条件下的力学行为及其短路安全边界进行了深入探讨。选取包括一段宽度为50 μm的隔膜及其附近的正负极涂层区域作为代表性单胞,进行二维有限元建模与数值计算。通过分析隔膜等效应力-应变曲线,发现受到不平整表面压缩的隔膜相比于理想平面压缩表现出“软化现象”,随着加载的进行,加载面和隔膜之间的空隙逐渐被填充,非平整面和平整面压缩的载荷差异逐渐减小。通过对隔膜失效应力的参数化分析,发现随着颗粒直径的增大或隔膜厚度的减小,隔膜表现出平均应力降低、屈服点后移等行为,短路失效应力也随之降低。通过对不同加载速率分析,发现隔膜的短路失效应力呈现先增大后减小的趋势,进一步通过建立隔膜在非平整表面压缩下的等效压缩本构模型,从理论上解释了粗糙度对失效应力的影响,并推导出了两者的定量关系。
  • 锂离子电池(lithium-ion batteries, LIBs)由于具备高容量密度、长循环寿命等优势,已经成为目前最主要的储能设备之一,在各种载运工具、新能源储能电站以及个人智能设备的应用中呈现爆发式增长[1]。截至2023年,全球锂离子电池出货量达到1206.6 GW∙h,同比增长25.6%。然而,随着应用规模急速扩大,与锂离子电池相关的安全问题逐渐凸显。频发的起火爆炸安全事故加剧了消费者对相关产品安全隐患的担忧以及学术界的密切关注,成为锂离子电相关技术发展和产业化的关键障碍之一[2-4]

    由于新能源装备的工作特征,作为动力来源的锂离子电池系统将不可避免地承受各种类型的动态载荷,尤其是机械滥用载荷(如异物侵彻、跌落以及碰撞等),引发电池内部短路(internal short-circuit, ISC)。通常电池的内短路表现为电压的下降。基于这一力-电耦合失效行为,Greve等[5]提出了短路触发的定量标准,为评价电池机械完整性提供了方法。在此基础上,Wierzbicki等[6]和Avedeev等[7]开展了一系列不同工况的机械加载实验,包括径向压缩、轴向压缩、三点弯、压痕、以及落锤等,表征了锂电池的力学性能以及短路失效行为。

    电池内短路触发与其内部材料的形变与失效有关。Zhu等[8]利用X射线断层扫描(XCT)发现内短路是电极组分中的电极活性涂层的剪切偏移以及伴随的金属集流体延性断裂的综合结果。Zhang等[9]综合离位和原位实验表征手段,研究了隔膜在单轴拉伸、压缩载荷以及双轴载荷下的机械强度和失效行为,解释了隔膜两种短路模式(硬短路、软短路)的原因。

    借助有限元数值建模工具,可以对电池内部更多的物理细节和机理进行分析。Greve等[5]和Wierzbicki等[10]建立了电池的均质化数值模型,将隔膜、阴极和阳极的叠层结构视为一种等效的、单一的均质材料。这有助于研究者初步分析电池内部的应力分布。Xu等[11]在模型中考虑了应变率和电化学状态的相关项,使得模型更准确。Wang等[12]建立了一个更为复杂的细致化模型,该模型对每一层阳极、阴极和隔膜都进行了详细描述,这使得分析内部电极的失效成为可能。

    通过对电池短路失效边界的实验及数值模拟分析,可以建立短路触发的失效准则,实现对短路触发的预测。Sahraei等[13]基于电极材料的拉伸失效点实现了对电池短路触发点的预测。随后,Greve等[14]和Liu等[14]借助力学中的失效准则概念,提出了圆柱形锂电池的短路失效准则。为了更好地反映隔膜失效这一短路的力学机理,Wang等[12]和Yuan等[15]针对圆柱形电池提出了基于隔膜压缩应变的短路失效准则,并利用细致化电池模型实现了对电池短路的准确预测。Wang等[12]和Yuan等[15]随之提出了基于隔膜等效塑性应变的短路准则,进一步提供高了准则的通用性。

    由于电池电极细观结构复杂,且受到电极颗粒形状以及加工工艺的影响,电极涂层表面很难做到完全平整,因此电池在受到挤压时,隔膜受到非均匀压力的作用,一定程度上降低了电池的安全边界。现有研究主要基于理想平面假设开展研究,暂未有考虑表面不平整性的影响。因此,本研究基于已有研究数据和数值建模,开展电池在非平整表面压缩条件下的等效力学行为及短路安全边界研究,建立隔膜受非平整表面压缩条件下的等效压缩本构。本文中,首先介绍研究方法,包括相关假设及数值建模方法,然后给出典型计算结果的对比分析以及对关键参数(如隔膜厚度、颗粒尺寸以及加载速率)的讨论,最后基于数值分析结果建立等效压缩本构,理论推导粗糙度与失效应变/应力的关系。

    从组分材料尺度而言,隔膜作为锂离子电池中最重要的组分材料之一,其失效是电池内部短路最直接的原因(图1)。锂离子电池的电芯由周期性堆叠的正极、负极以及隔膜组成。其中正负极由金属集流体以及涂附在其表面的多孔活性物质组成,主要起导电和储存化学能的作用。隔膜为聚烯烃微孔膜,允许锂离子流通的同时将正负极物理隔开[16-17]。在正负极和隔膜的孔隙中填充有饱和电解液,用以离子传输。因此,隔膜失效会使电池正负极直接或间接接触,从而触发内部短路[18-20]。内部短路将导致瞬时大电流放电并产生集中于短路区域的焦耳热[21-22]。局部累积焦耳热会导致温度急剧升高,进一步触发一系列温度相关的分解反应,并伴随大量产热、产气,引发电池的热失控[23-26]。锂离子电池热失控的触发和蔓延往往也会引发起火甚至爆炸等一系列严重安全事故[27]

    图  1  锂电池的碰撞短路失效问题
    Figure  1.  The collision-induced internal short-circuit in lithium-ion batteries

    隔膜的电导率与其受压缩的程度相关,压应变(绝对值)越大,电导率越大[28],当隔膜被压缩到一定程度,即隔膜的厚度达到临界值,正负极之间会发生短路[29]。由于颗粒形状各异以及工艺因素,电极表面往往很难做到完全平整,有一定的粗糙度,使隔膜在受载的时候有应力集中现象,一定程度上降低了电池的力学安全边界。电极表面的粗糙程度与颗粒尺寸密切相关,且随着工艺的改进和技术的进步,隔膜逐渐变薄,隔膜厚度与电极颗粒直径已经进入同一量级(10 μm)。因此,相关的应力不均现象已经不可忽视。

    电池截面细观形貌如图2所示,正负极涂层均由活性颗粒、黏结剂以及侵润在空隙中的电解液组成。这里选取一段隔膜(50 μm)及其附近的正负极涂层作为代表性单胞进行研究,建立二维数值计算模型。考虑到正极和负极粒径分布的数量级和范围:负极电极颗粒的粒径主要分布在10 μm这一量级[30],而正极电极颗粒的粒径主要分布在0.1~1.0 μm这一量级[31-32],比负极颗粒粒径小一个数量级。且由于表面不平整度主要与颗粒尺寸相关,因此可以忽略正极表面不平整度的影响。由此,假设正极平整,负极粗糙。虽然颗粒表面是不规则的,但颗粒尺寸分布一般有一定的范围,为了便于分析颗粒尺寸的影响,假设颗粒为球形。考虑电极辊压过程中,涂层主要由颗粒和黏结剂组成,由于黏结剂的颗粒尺寸较小、屈服强度低以及颗粒间存在空隙,颗粒产生的形变较小[33]。且由于经历辊压,颗粒排布比较密集,因此,将粗糙面简化为由一组半径为Rp的颗粒密堆积形成(相切部分增加小尺寸圆角以优化模型收敛性)。

    图  2  隔膜压缩加载工况建模方法
    Figure  2.  Modeling methods for separator compression loading conditions

    代表性单胞模型包括上方负极区域,中间隔膜以及下方正极区域(图2)。将活性涂层进行了简化,把粗糙表面与材料内部看成一个整体,对涂层材料整体采用均质化材料属性,包括从表面到内部的5 μm的区域。由于隔膜空隙尺寸远小于颗粒粒径(~0.1 μm量级),对隔膜也采用均质化材料属性。对隔膜采用理想弹塑性模型,将其弹性模量设置为275 MPa,屈服应力设置为11.39 MPa[12]。考虑到正负极颗粒与隔膜刚度差异较大,对正负极表面采用纯弹性模型,将正负极的弹性模量分别设置为720 和300 MPa[12]

    对代表性单胞模型两侧水平位移u11施加限制条件u11=0,底部水平位移u11和垂直位移u22施加固定约束条件u11=u22=0图3(a)),上表面使用强制位移进行加载,加载速度设置为vload。采用面-面接触,罚函数接触模型,摩擦因数设为0.3。网格大小设置为0.05 μm,使用ABAQUS/Explicit 进行建模和解算。3种网格尺寸L的数值模拟中表面网格尺寸的设置具有网格独立性(图3(b))。研究对比了3种形式的表面形貌(图3(c)):(1)理想平面;(2)颗粒密堆积表面;(3)单颗粒凸出平面。其中单颗粒突出平面,即为仅有一个半圆颗粒的表面。考虑到黏结剂与颗粒刚度差异较大,忽略颗粒之间以及颗粒与隔膜之间填充的黏结剂[30]

    图  3  边界条件设置
    Figure  3.  Boundary condition setups

    短路发生与否主要取决于隔膜在面外方向上的形变量或者应变大小,当应变达到临界值时会发生短路。因此,采用隔膜的最大平均压应变(竖直方向平均应变绝对值沿水平方向的最大值),其定义为:

    ˉε22,norm=ubottomuup,maxhsep (1)

    式中:ubottomuup分别为上下表面的位移,hsep为隔膜的厚度。并进一步将隔膜的最大平均压应变转换为真实应变:

    ˉε22=ln(1+ˉε22,norm) (2)

    对应力采用局部平均应力:

    ˉσ22=FWL (3)

    式中:F为载荷大小,W为代表性单胞的宽度,L为平面应力模型的厚度。

    从应力-应变曲线可以发现,表面形貌对隔膜的力学行为影响显著,如图4所示。对于理想平面,其应力-应变曲线为比较平直的弹塑性曲线,有明显的屈服点;对于密堆积平面,应力-应变曲线斜率变缓,进入塑性段的应变变大;对于单颗粒表面,应力-应变曲线上较大一个应变范围内应力缓慢提高,当应变接近0.4时,曲线斜率变大,进而最终进入塑性段。一般情况下,电极表面的粗糙程度介于单颗粒和理想平面之间。根据应变的大小,短路分为微短路和主要短路[29-34]:微短路应变采用0.44,主要短路应变采用0.53[34]。因此,可以得到微短路失效应力分布在6.5~19.8 MPa之间,主要短路失效应力分布在13.2~21.5 MPa之间(图4(a))。

    图  4  不同加载条件下隔膜的等效应力-应变曲线及应变分布
    Figure  4.  Equivalent stress-strain curves and strain distribution of the separator under different loading conditions

    加载面形貌的影响主要体现在隔膜的应力分布状态上,从图4(b)可以看到,对于理想平面的情况,应变分布非常均匀,因此电池的承压能力较大。而对于颗粒密堆积情况,凸出部分下方的区域首先受到压力,而空隙部分没有受到压力。因此,相对于平整表面,在相同加载位移下,受到不平整表面压缩的隔膜的受载面积更小,产生的反力也较小。随着加载的进行,空隙逐渐被填充,受载面积增大并逐渐趋于整个表面受载,二者载荷差逐渐减小。对于单颗粒情况,应变不均匀现象更明显,局部较早地产生剧烈的形变。但由于间隙更大,较大一段应变范围内,只有较小的区域受力,因此平均应力较低,当间隙被压实后,平均应力开始快速升高。

    参数分析了颗粒尺寸Rp对应力-应变曲线以及短路应力的影响,如图5所示。数值模拟结果表明,当颗粒直径变大时,隔膜表现出软化的趋势,屈服点后移,且相同压缩应变条件下应力也更低,如图5(a)所示。假设短路应变不变,则对应的短路失效应力也逐渐降低,表现出线性相关关系,如图5(b)所示。当颗粒尺寸变大时,活性涂层与隔膜表面以及颗粒之间的空隙变大,活性涂层表面的粗糙度也会提高。粗糙度越高,涂层表面凸起的程度越大,其对隔膜压缩时,产生的应力集中也越显著,需要越大的加载位移才能够消除空隙带来的影响。

    图  5  不同颗粒尺寸下隔膜的力学行为及短路失效应力
    Figure  5.  The mechanical behavior and short-circuit failure stress of the separator under different particle sizes

    不同隔膜厚度hsep=6~12 μm下的应力-应变曲线和短路应力,如图6所示。数值模拟结果表明,当隔膜逐渐变薄,隔膜也会表现出整体软化的趋势,如图6(a)所示。同样地,当短路应变不变时,短路失效应力会随着隔膜厚度的增大而提高,如图6(b)所示。当颗粒尺寸不变(涂层表面粗糙度不变)时,涂层表面与隔膜之间的间隙被压实所需的位移也会保持基本一致。因此,当隔膜变薄时,压实所需的应变也会增大。假设粗糙度Ra=Rp,且压实所需的位移ddense=αRa,α(0,1],则压实所需的应变ˉε22,denseαRa/hsep。对于应力-应变曲线中的短路应变附近区间,可以认为Δˉσ22=dˉσ22dˉε22(σISC)Δˉε22,则:

    图  6  不同厚度隔膜的力学行为及短路失效应力
    Figure  6.  The mechanical behavior and short-circuit failure stress of the separator under different separator thicknesses
    Δˉσ22Δˉε22=Δˉε22,denseΔ(Ra/hsep)

    即短路失效应力的变化量正比于颗粒尺寸的变化量,反比于隔膜厚度的变化量。

    进一步的,参数研究了不同加载速率vload=0.000110m/s的情况,如图7所示。考虑到隔膜率增强效应的影响,将隔膜弹性模量和塑性应力设置为与应变率相关[35],即:

    图  7  不同加载速率下隔膜的力学行为及短路失效应力
    Figure  7.  The mechanical behavior and short-circuit failure stress of the separator under different loading rates
    E=E0+32.99 ln(˙ε/˙ε0)     σp=σp,0+0.254 ln(˙ε/˙ε0)

    式中:E0σp,0分别为参考应变率˙ε0下的弹性模量和屈服应力,应变率˙ε=vload/LcellLcell为电池的特征厚度,这里选用一般软包电池的厚度量级,即10 mm。

    结果表明,在加载速率低于1 m/s时,随着加载速率的提高,隔膜会表现出整体强化的趋势。当加载速率达到10 m/s时,载荷曲线表现出波动性,应变在一定范围内波动,如图7(a)所示。隔膜的短路失效应力也呈现先提高后降低的趋势,如图7(b)所示,其中虚线表示可能的最大值。当加载速率较低时,随着加载速率的提高,隔膜主要呈现应变率增强效应,短路失效应力提高。当加载速率足够高时,则隔膜中惯性动态效应起主导作用,使得应力水平在较大范围内波动,短路失效应力下降。因此,加载速率或应变率也是决定隔膜短路失效边界的重要因素。

    为了准确描述隔膜在受非平整表面压缩条件下的力学行为,需要在其压缩本构中等效考虑粗糙度的影响。首先,考虑隔膜受到理想平面压缩的情况,假设如图8所示平面应力问题,根据广义胡克定律:

    图  8  考虑电极表面粗糙度的隔膜压缩本构模型的建立
    Figure  8.  Establishment of the constitutive model for the separator compression considering the roughness of the electrode surface
    {σ11=μE1ν2ε22σ22=E1ν2ε22 (4)

    式中:下标11代表水平加载方向,下标22代表竖直加载方向,μ为泊松比。为了便于计算,令Eeff=E/(1μ2)。根据式(4),可以得到σ11=μσ22。假设隔膜满足von Mises屈服条件,则屈服应力满足:

    σp=12[(σ11σ22)2+σ222+σ211]=12[(μσ22σ22)2+σ222+(μσ22)2] (5)

    得到σ22=(1+μ2)σp。则可以认为隔膜在压缩方向的等效屈服应力σp,eff=(1+μ2)σp。因此,可以将隔膜在压缩方向的等效本构关系写作:

    σ22={Eeffε22σ22σp,effσp,eff+(ε22σp,eff/Eeff)Etanσ22σp,eff (6)

    式中:Etan为压缩曲线塑性段的切线模量。

    对于粗糙表面压缩的情况,考虑如图8所示模型,假设粗糙度为Ra,且曲面的平均面位于Ra/2处。当隔膜与该表面接触时,接触面积将从零逐渐增大,假设加载应变为kRa/hsep时隔膜被压实,根据模拟数据可以拟合待定系数k=0.5。因此,隔膜的等效应变将会有一个增加量,记作εR,其满足:

    ε22ε22=εR=ln(1Ra2hsep) (7)

    考虑到屈服应力不变,则这一变化可以等效地看作隔膜弹性模量的降低,满足如下关系:

    σp,effEeffσp,effEeff=εR (8)

    得到:

    Eeff=σp,effεR+σp,eff/Eeff (9)

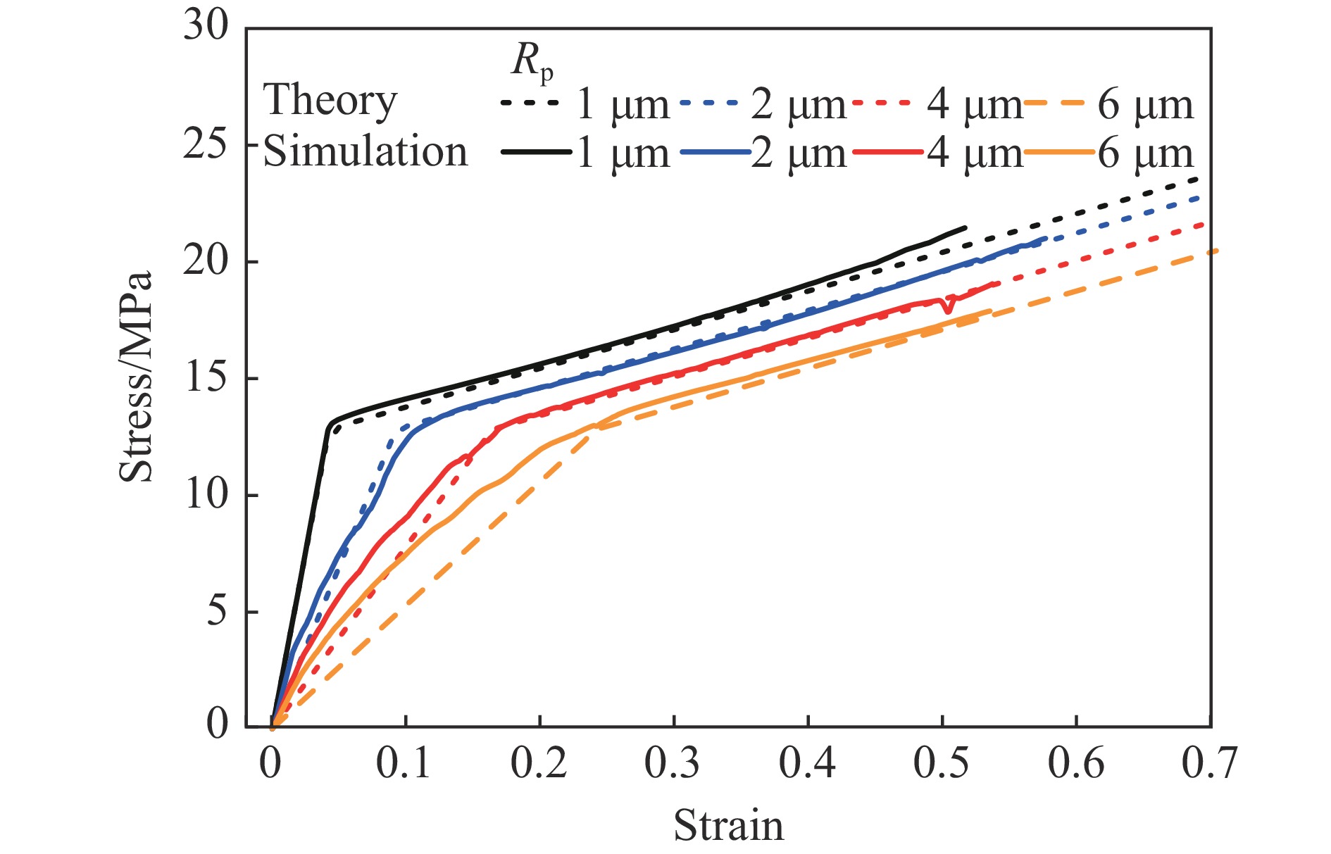
    将式(6)中的Eeff替换为Eeff则可以得到粗糙平面压缩的等效本构,该理论模型可以很好地预测模拟曲线的结果(图9)。

    图  9  理论曲线与数值模拟曲线的对比
    Figure  9.  Comparison between theoretical curves and numerical simulation curves

    假设隔膜的失效应变为εISC,则失效应力可以描述为:

    σISC=σp,eff+(εISCεRσp,eff/Eeff)Etan (10)

    一般情况下,隔膜的失效应变大于屈服应变,满足εISCεRσp,eff/Eeff>0,由此可以得到:

    ΔσISC=EtanΔεR (11)

    因此,ΔσISCΔεR成正比,比例系数为塑性段的切线斜率(短路应变附近区间)。具体地,σISCRa负相关(近似线性ΔσISCΔRa),与hsep正相关(近似反比例ΔσISCΔ(1/hsep))。这个量化关系可以用于不同粗糙度表面加载下隔膜等效失效应力的快速估算。

    在实际情况中,电极粗糙表面与隔膜之间可能已经施加一定的预压,使得它们之间的空隙已经被消除。在这种情况下,隔膜压应变满足:

    ε22=ε22,0+ε22,load (12)

    式中:ε22,0为预应变,ε22,load为加载产生的应变。假设预加载已经使隔膜上表面与电极表面平均面重合,即ε22,0=εR,则隔膜的等效失效应变εISC将会减小,满足如下关系:

    εISC=εISCεR (13)

    因此,在隔膜逐渐变薄的趋势下,为使电池更安全,需要尽量控制εR不变或减小,即尽可能减小电极表面的粗糙度,并改善材料属性的均匀性。

    采用数值建模与理论分析相结合的方法,对电池隔膜在非平整表面压缩条件下的力学行为及其短路安全边界进行了深入探讨。数值模拟结果表明,电极表面形貌显著影响隔膜的等效应力-应变曲线和短路失效应力。在非平整表面压缩初期,由于实际受载面积减少,隔膜表现出软化现象。随着压缩的进行,隔膜中的空隙被逐渐压实,载荷迅速上升,与平整表面压缩载荷的差异逐渐缩小。此外,本文中还通过数值模拟分析了颗粒直径、隔膜厚度以及加载速率对隔膜性能的影响:颗粒直径增大或隔膜厚度减小时,相同压缩应变条件下应力降低,隔膜的屈服点后移,短路失效应力也相应减小;当加载速率提高时,隔膜的短路失效应力呈现先增大后减小的趋势。为了更准确地描述隔膜在非平整表面压缩下的力学行为,本文中建立了隔膜压缩方向的等效本构模型,并量化分析了粗糙度与失效应力之间的关系。这些研究成果可为电池的安全设计和风险评估提供理论支撑。

  • 图  1  锂电池的碰撞短路失效问题

    Figure  1.  The collision-induced internal short-circuit in lithium-ion batteries

    图  2  隔膜压缩加载工况建模方法

    Figure  2.  Modeling methods for separator compression loading conditions

    图  3  边界条件设置

    Figure  3.  Boundary condition setups

    图  4  不同加载条件下隔膜的等效应力-应变曲线及应变分布

    Figure  4.  Equivalent stress-strain curves and strain distribution of the separator under different loading conditions

    图  5  不同颗粒尺寸下隔膜的力学行为及短路失效应力

    Figure  5.  The mechanical behavior and short-circuit failure stress of the separator under different particle sizes

    图  6  不同厚度隔膜的力学行为及短路失效应力

    Figure  6.  The mechanical behavior and short-circuit failure stress of the separator under different separator thicknesses

    图  7  不同加载速率下隔膜的力学行为及短路失效应力

    Figure  7.  The mechanical behavior and short-circuit failure stress of the separator under different loading rates

    图  8  考虑电极表面粗糙度的隔膜压缩本构模型的建立

    Figure  8.  Establishment of the constitutive model for the separator compression considering the roughness of the electrode surface

    图  9  理论曲线与数值模拟曲线的对比

    Figure  9.  Comparison between theoretical curves and numerical simulation curves

  • [1] CHEN Y Q, KANG Y Q, ZHAO Y, et al. A review of lithium-ion battery safety concerns: the issues, strategies, and testing standards [J]. Journal of Energy Chemistry, 2021, 59: 83–99. DOI: 10.1016/j.jechem.2020.10.017.
    [2] 陈文博, 颜健, 孟凌杰, 等. 电动汽车动力锂电池火灾危险性的研究进展 [J]. 电源技术, 2021, 45(2): 270–273. DOI: 10.3969/j.issn.1002-087X.2021.02.030.

    CHEN W B, YAN J, MENG L J, et al. Analysis of current situation of fire hazard of power lithium ion batteries for electric vehicles [J]. Chinese Journal of Power Sources, 2021, 45(2): 270–273. DOI: 10.3969/j.issn.1002-087X.2021.02.030.
    [3] LIU B H, JIA Y K, YUAN C H, et al. Safety issues and mechanisms of lithium-ion battery cell upon mechanical abusive loading: a review [J]. Energy Storage Materials, 2020, 24: 85–112. DOI: 10.1016/j.ensm.2019.06.036.
    [4] XIA Y, WIERZBICKI T, SAHRAEI E, et al. Damage of cells and battery packs due to ground impact [J]. Journal of Power Sources, 2014, 267: 78–97. DOI: 10.1016/j.jpowsour.2014.05.078.
    [5] GREVE L, FEHRENBACH C. Mechanical testing and macro-mechanical finite element simulation of the deformation, fracture, and short circuit initiation of cylindrical lithium ion battery cells [J]. Journal of Power Sources, 2012, 214: 377–385. DOI: 10.1016/j.jpowsour.2012.04.055.
    [6] SAHRAEI E, MEIER J, WIERZBICKI T. Characterizing and modeling mechanical properties and onset of short circuit for three types of lithium-ion pouch cells [J]. Journal of Power Sources, 2014, 247: 503–516. DOI: 10.1016/j.jpowsour.2013.08.056.
    [7] AVDEEV I, GILAKI M. Structural analysis and experimental characterization of cylindrical lithium-ion battery cells subject to lateral impact [J]. Journal of Power Sources, 2014, 271: 382–391. DOI: 10.1016/j.jpowsour.2014.08.014.
    [8] ZHU X Q, WANG H, WANG X, et al. Internal short circuit and failure mechanisms of lithium-ion pouch cells under mechanical indentation abuse conditions: an experimental study [J]. Journal of Power Sources, 2020, 455: 227939. DOI: 10.1016/j.jpowsour.2020.227939.
    [9] ZHANG X W, SAHRAEI E, WANG K. Li-ion battery separators, mechanical integrity and failure mechanisms leading to soft and hard internal shorts [J]. Scientific Reports, 2016, 6: 32578. DOI: 10.1038/srep32578.
    [10] WIERZBICKI T, SAHRAEI E. Homogenized mechanical properties for the jellyroll of cylindrical lithium-ion cells [J]. Journal of Power Sources, 2013, 241: 467–476. DOI: 10.1016/j.jpowsour.2013.04.135.
    [11] XU J, LIU B H, WANG X Y, et al. Computational model of 18650 lithium-ion battery with coupled strain rate and SOC dependencies [J]. Applied Energy, 2016, 172: 180–189. DOI: 10.1016/j.apenergy.2016.03.108.
    [12] WANG L B, YIN S, XU J. A detailed computational model for cylindrical lithium-ion batteries under mechanical loading: From cell deformation to short-circuit onset [J]. Journal of Power Sources, 2019, 413: 284–292. DOI: 10.1016/j.jpowsour.2018.12.059.
    [13] SAHRAEI E, HILL R, WIERZBICKI T. Calibration and finite element simulation of pouch lithium-ion batteries for mechanical integrity [J]. Journal of Power Sources, 2012, 201: 307–321. DOI: 10.1016/j.jpowsour.2011.10.094.
    [14] XU J, LIU B H, WANG L B, et al. Dynamic mechanical integrity of cylindrical lithium-ion battery cell upon crushing [J]. Engineering Failure Analysis, 2015, 53: 97–110. DOI: 10.1016/j.engfailanal.2015.03.025.
    [15] YUAN C H, WANG L B, YIN S, et al. Generalized separator failure criteria for internal short circuit of lithium-ion battery [J]. Journal of Power Sources, 2020, 467: 228360. DOI: 10.1016/j.jpowsour.2020.228360.
    [16] FRANCIS C F J, KYRATZIS I L, BEST A S. Lithium-ion battery separators for ionic-liquid electrolytes: A review [J]. Advanced Materials, 2020, 32(18): 1904205. DOI: 10.1002/adma.201904205.
    [17] LAGADEC M F, ZAHN R, WOOD V. Characterization and performance evaluation of lithium-ion battery separators [J]. Nature Energy, 2019, 4(1): 16–25. DOI: 10.1038/s41560-018-0295-9.
    [18] ZHAO W, LUO G, WANG C Y. Modeling internal shorting process in large-format Li-ion cells [J]. Journal of the Electrochemical Society, 2015, 162(7): A1352–A1364. DOI: 10.1149/2.1031507jes.
    [19] WANG M, LE A V, NOELLE D J, et al. Internal-short-mitigating current collector for lithium-ion battery [J]. Journal of Power Sources, 2017, 349: 84–93. DOI: 10.1016/j.jpowsour.2017.03.004.
    [20] WU Q, YANG L, LI N, et al. In-situ thermography revealing the evolution of internal short circuit of lithium-ion batteries [J]. Journal of Power Sources, 2022, 540: 231602. DOI: 10.1016/j.jpowsour.2022.231602.
    [21] KIM J, MALLARAPU A, SANTHANAGOPALAN S. Transport processes in a Li-ion cell during an internal short-circuit [J]. Journal of the Electrochemical Society, 2020, 167(9): 090554. DOI: 10.1149/1945-7111/ab995d.
    [22] ZHANG M X, LIU L S, STEFANOPOULOU A, et al. Fusing phenomenon of lithium-ion battery internal short circuit [J]. Journal of the Electrochemical Society, 2017, 164(12): A2738–A2745. DOI: 10.1149/2.1721712jes.
    [23] WANG Q S, PING P, ZHAO X J, et al. Thermal runaway caused fire and explosion of lithium ion battery [J]. Journal of Power Sources, 2012, 208: 210–224. DOI: 10.1016/j.jpowsour.2012.02.038.
    [24] FENG X N, FANG M, HE X M, et al. Thermal runaway features of large format prismatic lithium ion battery using extended volume accelerating rate calorimetry [J]. Journal of Power Sources, 2014, 255: 294–301. DOI: 10.1016/j.jpowsour.2014.01.005.
    [25] LUO Y G, FENG G X, WAN S, et al. Charging scheduling strategy for different electric vehicles with optimization for convenience of drivers, performance of transport system and distribution network [J]. Energy, 2020, 194: 116807. DOI: 10.1016/j.energy.2019.116807.
    [26] COMAN P T, RAYMAN S, WHITE R E. A lumped model of venting during thermal runaway in a cylindrical Lithium Cobalt Oxide lithium-ion cell [J]. Journal of Power Sources, 2016, 307: 56–62. DOI: 10.1016/j.jpowsour.2015.12.088.
    [27] LEE C, SAID A O, STOLIAROV S I. Impact of state of charge and cell arrangement on thermal runaway propagation in lithium ion battery cell arrays [J]. Transportation Research Record, 2019, 2673(8): 408–417. DOI: 10.1177/0361198119845654.
    [28] LI H G, ZHOU D, ZHANG M H, et al. Multi-field interpretation of internal short circuit and thermal runaway behavior for lithium-ion batteries under mechanical abuse [J]. Energy, 2023, 263: 126027. DOI: 10.1016/j.energy.2022.126027.
    [29] LIU B H, DUAN X D, YUAN C H, et al. Quantifying and modeling of stress-driven short-circuits in lithium-ion batteries in electrified vehicles [J]. Journal of Materials Chemistry A, 2021, 9(11): 7102–7113. DOI: 10.1039/d0ta12082k.
    [30] WANG L B, JIA Y K, XU J. Mechanistic understanding of the electrochemo-dependent mechanical behaviors of battery anodes [J]. Journal of Power Sources, 2021, 510: 230428. DOI: 10.1016/j.jpowsour.2021.230428.
    [31] HWANG I, LEE C W, KIM J C, et al. Particle size effect of Ni-rich cathode materials on lithium ion battery performance [J]. Materials Research Bulletin, 2012, 47(1): 73–78. DOI: 10.1016/J.MATERRESBULL.2011.10.002.
    [32] LIU J H, CHEN H Y, XIE J N, et al. Electrochemical performance studies of Li-rich cathode materials with different primary particle sizes [J]. Journal of Power Sources, 2014, 251: 208–214. DOI: 10.1016/j.jpowsour.2013.11.055.
    [33] SCHREINER D, LINDENBLATT J, DAUB R, et al. Simulation of the calendering process of NMC-622 cathodes for lithium-ion batteries [J]. Energy Technology, 2023, 11(5): 2200442. DOI: 10.1002/ente.202200442.
    [34] DUAN X D, WANG H C, JIA Y K, et al. A multiphysics understanding of internal short circuit mechanisms in lithium-ion batteries upon mechanical stress abuse [J]. Energy Storage Materials, 2022, 45: 667–679. DOI: 10.1016/j.ensm.2021.12.018.
    [35] KALNAUS S, WANG Y L, LI J L, et al. Temperature and strain rate dependent behavior of polymer separator for Li-ion batteries [J]. Extreme Mechanics Letters, 2018, 20: 73–80. DOI: 10.1016/j.eml.2018.01.006.
  • 加载中
推荐阅读
受冲击荷载后未失效电池力学性能和电性能的劣化
魏和光 等, 爆炸与冲击, 2025
含碰撞缺陷的锂离子电池的电化学 性能衰退及安全性
高游 等, 爆炸与冲击, 2025
放电状态对锂离子电池在机械滥用条件下力学响应和失效行为的影响
朱烨君 等, 爆炸与冲击, 2025
基于超声导波的锂离子电池碰撞监测方法
舒淙昊 等, 爆炸与冲击, 2025
基于长短时记忆神经网络的锂离子电池多维老化诊断
任宪丰;袁文文;吴学强;时艳茹;姚蒙蒙;张凯旋;杨瑞鑫;潘悦 等, 吉林大学学报, 2024
圆柱形锂电池在局部压痕下的安全性实验研究
李杰 等, 高压物理学报, 2024
锂离子电池制造工艺对动力电池热失控影响及优化策略
岳立福 等, 节能, 2025
Synergism of electrostatic attraction and tandem catalytic effect enabled efficient electrosynthesis of ammonia from a wide-range of nitrate concentrations
Sheng, Youwei et al., CHEMICAL ENGINEERING JOURNAL, 2024
Realizing dendrite-free lithium deposition with three-dimensional soft-rigid nanofiber interlayers
JOURNAL OF COLLOID AND INTERFACE SCIENCE, 2024
Improvement of void growth model and its application in simulating spallation experiments under different impact loading wave forms
ZHANG Fengguo et al., EXPLOSION AND SHOCK WAVES, 2024
Powered by
图(9)
计量
  • 文章访问数:  363
  • HTML全文浏览量:  192
  • PDF下载量:  66
  • 被引次数: 0
出版历程
  • 收稿日期:  2024-09-13
  • 修回日期:  2024-11-05
  • 网络出版日期:  2024-11-07
  • 刊出日期:  2025-02-01

目录

/

返回文章
返回