• ISSN 1001-1455  CN 51-1148/O3
  • EI、Scopus、CA、JST、EBSCO、DOAJ收录
  • 力学类中文核心期刊
  • 中国科技核心期刊、CSCD统计源期刊

低温循环老化航空锂离子电池热失控的爆炸危险性

杨娟 魏陟珣 牛江昊 闫晓亮 张青松

杨娟, 魏陟珣, 牛江昊, 闫晓亮, 张青松. 低温循环老化航空锂离子电池热失控的爆炸危险性[J]. 爆炸与冲击, 2025, 45(2): 021432. doi: 10.11883/bzycj-2024-0352
引用本文: 杨娟, 魏陟珣, 牛江昊, 闫晓亮, 张青松. 低温循环老化航空锂离子电池热失控的爆炸危险性[J]. 爆炸与冲击, 2025, 45(2): 021432. doi: 10.11883/bzycj-2024-0352
YANG Juan, WEI Zhixun, NIU Jianghao, YAN Xiaoliang, ZHANG Qingsong. Explosion hazard of thermal runaway in aviation lithium-ion batteries under low-temperature cycling aging conditions[J]. Explosion And Shock Waves, 2025, 45(2): 021432. doi: 10.11883/bzycj-2024-0352
Citation: YANG Juan, WEI Zhixun, NIU Jianghao, YAN Xiaoliang, ZHANG Qingsong. Explosion hazard of thermal runaway in aviation lithium-ion batteries under low-temperature cycling aging conditions[J]. Explosion And Shock Waves, 2025, 45(2): 021432. doi: 10.11883/bzycj-2024-0352

低温循环老化航空锂离子电池热失控的爆炸危险性

doi: 10.11883/bzycj-2024-0352
基金项目: 国家自然科学基金(U2033204);深圳市科技计划(KJZD20240903100707011);天津市城市空中交通系统技术与装备重点实验室开放基金(TJKL-UAM-202302);中央高校基本科研业务费专项资金(3122023025)
详细信息
    作者简介:

    杨 娟(1983- ),女,硕士,副教授,haishi_yj11@126.com

    通讯作者:

    牛江昊(1998- ),男,博士研究生,449076343@qq.com

    张青松(1977- ),男,博士,教授,nkzqsong@126.com

  • 中图分类号: O389

Explosion hazard of thermal runaway in aviation lithium-ion batteries under low-temperature cycling aging conditions

  • 摘要: 鉴于全寿命周期内循环老化后航空锂离子电池热失控反应较新电池有显著差异,且低温环境对锂离子电池系统重大失效危险性影响更加贴近低空实际飞行场景,自主搭建了锂离子电池热失控及气体爆炸测试平台,采用锂离子电池的热失控时间、表面峰值温度和热失控超压及热失控气体的爆炸极限、压力及温度为关键参数,探讨低温(−10 ℃)循环老化对锂离子电池热失控爆炸危险性的影响。实验结果显示,常温循环老化锂离子电池较新电池热失控时间明显提前和电池安全阀开启到完全热失控的时间间隔明显增长,分别为559.86和122.56 s,且热失控气体爆炸下限升高30.95%,气体爆炸压力降低至258.6 kPa;低温环境因素则会使老化锂离子电池热失控的爆炸危险性发生显著变化,导致热失控时间提前至412.38 s,安全阀打开到完全热失控的时间间隔缩短至56.66 s,并使热失控气体爆炸下限降低20.49%,爆炸压力高达319.5 kPa。
  • 电动航空器逐步成为航空业向绿色低碳方向转型的重要载具[1-3],全球已有大量电动航空器构型成功试飞并取证[4-6]。锂离子电池因其超高能量密度和超长使用寿命,成为现有电动航空器的首选电力来源[7-8]。航空动力锂离子电池通常以电池包的形式密集分布在飞机机腹或机翼等关键位置,能量密度大,内部含有多种化学物质,锂离子电池在老化、振动、异物刺穿、失火高温以及短路等工况下,极易发生热失控,进而导致电池包内部出现高温、高压以及可燃气体爆炸的险情,对机体结构和乘员安全构成极大威胁[9-11]。此外,运行环境对于锂离子电池热失控危险性的影响十分显著,其中温度因素尤为突出。中国近43%的陆地冬季气温为−20~0 ℃,美国西北部、北欧及东欧等高纬度地区冬季常会面临−10 ℃以下的低温环境。鉴于电动航空器运行场景的低空化,且系统通常不具备加温功能,因此,系统研究航空锂离子电池在低温环境中的表现对于确保电动航空器的高效性和安全性十分重要[12]

    对锂离子电池热失控危险性的研究已取得了一定的成果。Ng等[13]研究了低温环境下锂离子电池电极镀锂的腐蚀对电池产气情况以及电极结构的影响,发现极端低温会导致电极高应力区域形变更明显,且会造成电池释放易燃有毒气体。Fu等[14]探讨了低气压环境下航空锂离子电池的热失控特性,发现与常压条件相比,低气压环境下航空锂离子电池热失控的发生时间显著延迟,且峰值温度较低。Zhang等[15]测量了不同荷电状态(state of charge, SOC)的锂离子电池在热失控时释放的可燃气体的爆炸极限及其爆炸强度,发现随着电池荷电状态的升高,爆炸下限先上升后降低,爆炸上限持续上升。Deng等[16]结合多种热失控触发模式,针对锂离子电池热失控各类参数进行了危险性分析和比较,发现过充与加热联合作用下的热失控会使安全阀开启时间最早,危险性最高。Baird等[17]对不同包装、阴极材料及荷电状态的锂离子电池热失控气体成分进行了研究分析,并运用Le Chatelier公式和Jones表格等4种方法计算了这些气体的爆炸极限。杨娟等[18]开展了锂离子电池常温循环老化实验,研究了循环老化对电池热失控气体爆炸危险性的影响,并提出了热失控气体的原位检测方法。Zhang等[19]对高温环境中充放电对锂离子电池热失控气体爆炸极限的影响开展了实验研究,发现对锂离子电池在40 ℃的环境下充放电其热失控气体的爆炸下限最低。Yang等[20]通过采用不同的热失控触发方式,实验研究了触发方式对锂离子电池热失控传播蔓延情况的影响,发现整体过热的触发方式所需时间最长,但热失控传播速度最快。杨娟等[21]从电池热失控冲击距离与电池包厚度等角度出发,研究了锂离子电池包体在电池热失控喷射冲击下的受损程度,综合分析了热失控喷射温度和冲击力危害,为航空动力锂离子电池包的电芯间距设计以及轻量化设计提供了重要参考数据。

    综上所述,目前关于锂离子电池热失控危险性的研究多集中于触发方式、气压及荷电状态等常温下新电池的参数,然而,航空动力锂离子电池在实际应用中会经历低温环境下的循环充放电,导致电池老化和内部结构形变,从而对电池的安全性构成显著威胁。本研究以锂离子电池热失控时间、电池表面峰值温度和舱内热失控峰值压力等参数作为热失控特性评价指标,以热失控气体的爆炸极限、爆炸压力及爆炸火球温度等作为表征电池热失控爆炸危险性的关键参数,通过分析实验结果,系统地探讨低温环境下循环老化对航空动力锂离子电池热失控爆炸危险性的影响。

    本研究选用INR18650 MJ1型商用锂离子电池作为实验样品。该电池的正极和负极材料分别为LiNi0.8Co0.1Mn0.1O2和石墨,电解液中的锂盐为LiPF6。电解液的有机溶剂包括二甲基碳酸酯(dimethyl carbonate, DMC)和乙基甲基碳酸酯(ethyl methyl carbonate, EMC)。隔膜为由聚乙烯(polyethylene, PE)和聚丙烯(polypropylene, PP)构成的双层结构。使用HIOKI BT3554电池测试仪测量电池的开路电压和内阻,并使用电子秤来测量去除电池外部绝缘塑料包装后电池的质量。本研究选用的锂离子电池样品的电容量为3.5 A·h,额定电压为3.635 V,内阻为40 mΩ,质量为49.0 g。

    为准确测试热失控气体的爆炸极限等危险性参数,搭建了锂离子电池热失控危险性测试系统,如图1所示,该系统由3个主要部分组成,分别为电池热失控实验舱(电池舱)、热失控气体爆炸测试舱(气体舱)和实验控制与参数记录平台。

    图  1  锂离子电池热失控危险性测试系统
    Figure  1.  Test system for thermal runaway hazard of lithium-ion batteries

    电池热失控实验舱(电池舱)选用半球形不锈钢材质,舱体容积为5 L。舱内集成隔热挡板、铠式热电偶、气压传感器以及加热套筒,用于触发电池热失控并进行参数监控。

    热失控气体爆炸测试舱(气体舱)为椭球形不锈钢压力容器,舱体容积为5 L,内部配备4个热电偶和1个压力传感器,旨在精确测量气体爆炸时的火球温度和爆炸超压。此外,气体舱外部配备了泄压阀、气体传输管路和高能点火器,这些设备用于精确调控气体舱内热失控气体体积分数并控制点火能量。

    实验控制与参数记录平台由直流电源、独立电源、真空泵、高能点火器以及实验记录仪组成,用于控制实验进程,并同步记录电池舱内电池热失控的时间、温度和舱内压力,以及气体舱内部的温度和压力。

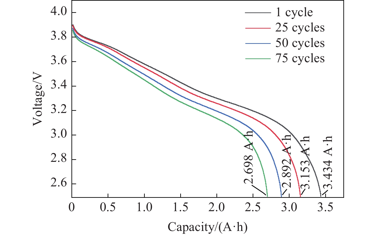
    由于电动航空器在起飞、降落以及快速充电过程中存在大功率需求,选择2C倍率进行充放电循环实验。在常温环境下循环实验的电池电压-容量曲线如图2所示,根据图2可得在常温环境下以2C倍率充放电循环75圈后,电池容量降至81%,接近动力电池行业的通用更换容量,因此实验设计最高循环至75圈。使用充放电测试系统,在可调式恒温箱内对电池进行不同环境温度下的循环充放电老化。将同批次的新电池以2C倍率放电至截止电压2.5 V,随后恒定电流充电至截止电压4.2 V,最后恒定电压充电至截止电流50 mA。定义此时的电池为:在恒温环境下完全充放电老化1圈的电池(新电池)。实验工况设置如表1所示。

    图  2  25 ℃环境锂离子电池放电电压-容量曲线
    Figure  2.  Voltage-capacity curves of lithium-ion battery discharge in 25 °C environment
    表  1  实验工况
    Table  1.  Experimental operating conditions
    充放电环境温度/℃ 充放电循环/圈
    −10 1, 25, 50, 75
    25 1, 25, 50, 75
    下载: 导出CSV 
    | 显示表格

    将充放电循环完成的锂离子电池焊接铠式热电偶,并将其安装于加热套筒内,随后将加热套筒固定于电池热失控实验舱中。为确保收集的气体为原位气体并防止其在高温下与氧气发生反应,实验前对实验舱抽真空至2.0 kPa,随后通入高纯度氮气至400.0 kPa,并通过泄压阀调节至常压。此气体置换过程重复执行3次,以确保舱内环境为无氧高纯氮气。同时,对热失控气体爆炸测试舱抽真空至2.0 kPa,为后续的气体浓度调控提供准备。为防止热失控气体在传输过程中冷凝,将气体舱外壳及连接管路包裹于120 ℃的加热带中。激活加热套筒,以40 W的功率对电池进行加热,直至电池发生热失控,随即切断加热电源。

    依据欧盟标准DIN EN 17624[22],若在点火期间气体舱室内的气压提升不低于初始气压的5%,则认定气体发生爆炸。实验前,确定所需测试的热失控气体浓度,随后开启电池舱的通气阀,利用分压法向气体舱中引入不同比例的热失控气体和空气。待气体混合均匀,启动高能点火器,通过分析气体舱中的压力变化来判断是否发生爆炸。同时,利用数据记录仪记录电池热失控的时间、温度、超压、热失控气体爆炸时的爆炸超压以及火焰温度等关键参数,为后续分析提供量化参考。

    安全阀开启至完全热失控的时间间隔(Δt)体现了锂离子电池在其内部压力过高时,通过安全阀释放气体以延缓热失控进程的能力,热失控起始时间(tTR)标志着电池内部由热积累效应引发的不可逆失控反应的临界时刻[23]。上述2个时间参数作为电池热稳定性的重要表征参数,对电池预警系统设计及安全策略研究具有重要意义。通过实验舱内气压变化的节点确定电池安全阀的开启时间及完全热失控的时间。图3为不同实验工况下电池舱内部气压的变化曲线。

    图  3  不同实验工况下电池舱内部气压变化曲线
    Figure  3.  Pressure fluctuation profiles within the lithium-ion battery enclosure under different operating conditions

    根据图3展示的不同工况下的气压变化曲线,选取电池发生热失控起始时间(tTR)和电池安全阀开启到完全热失控的时间间隔(Δt)为关键时间参数,统计结果如表2所示。

    表  2  不同工况下电池发生热失控的关键时间参数
    Table  2.  Key temporal parameters for thermal runaway of batteries under different operating conditions
    工况 tTR/s Δt/s 工况 tTR/s Δt/s
    充放电环境温度/℃ 充放电循环/圈 充放电环境温度/℃ 充放电循环/圈
    25 1 474.80 96.16 −10 1 523.56 107.70
    25 488.18 99.88 25 495.28 110.42
    50 520.92 101.14 50 419.90 57.32
    75 559.86 122.56 75 412.38 56.66
    下载: 导出CSV 
    | 显示表格

    表2可知,在常温(25 ℃)环境下,不同充放电循环老化程度的锂离子电池,其热失控起始时间(tTR)随着充放电循环圈数的增加表现出延迟的趋势。在锂离子电池经历75圈充放电循环后,其达到完全热失控的用时最长,为559.86 s,相对常温新电池的474.80 s,延后17.91%;电池安全阀开启到完全热失控的时间间隔(Δt)也随老化程度的提高而逐渐增长,经历75圈充放电循环的锂离子电池,其时间间隔最长,长达122.56 s,相对新电池的96.16 s,增长27.45%。因此,在常温环境下,锂离子电池老化会减缓热失控进程,热失控的危险性略有降低。

    低温(−10 ℃)下,不同循环老化程度的锂离子电池表现出与常温下完全相反的热失控特征时间变化趋势,完全热失控的时间(tTR)随循环圈数的增加而显著提前。经历75圈充放电循环的锂离子电池热失控时间最早,为412.38 s,相对低温新电池的523.56 s,提前21.23%;电池安全阀开启到完全热失控的时间间隔也随老化程度的提高而大幅缩短,对于经历75圈充放电循环的锂离子电池,该时间间隔最短,为56.66 s,相对新电池的107.70 s,缩短幅度达47.39%。低温下,电池老化会显著加快热失控进程,大幅提前热失控的关键时间节点,使热失控危险性明显提高。

    常温下,经历充放电循环1圈和经历充放电循环25圈的锂离子电池,其达到完全热失控所需时间以及电池安全阀开启到完全热失控的时间间隔均略短于低温下充放电循环至同等老化程度的锂离子电池。低温下,经历充放电循环至50圈和75圈的锂离子电池达到完全热失控的时间和电池安全阀开启到完全热失控的时间间隔,均显著短于常温下经历相同充放电循环圈数的锂离子电池。经历充放电循环75圈的锂离子电池热失控特征时间差异最大,低温下电池完全热失控比常温下提前147.51 s,相对提前26.34%;电池安全阀开启到完全热失控的时间间隔由122.56 s缩短至56.66 s,相对缩短53.76%。与常温下相比,低温下锂离子电池完全热失控提前了147.51 s,相对提前了26.34%;电池安全阀开启到完全热失控的时间间隔由122.56 s缩短至56.66 s,相对缩短53.76%。与常温下相比,低温下充放电循环老化会显著缩短锂离子电池的热失控特征时间,加快电池热失控进程。

    低温下,锂离子的扩散能力下降,无法充分嵌入负极石墨,导致大量锂离子在负极表面析出,形成锂金属枝晶[24]。充放电循环老化使固体电解质界面(solid electrolyte interface,SEI)膜变硬变脆,低温环境则会加剧这一脆化过程。因此,锂枝晶极易刺穿脆化的SEI膜,导致电池内部短路。内部短路会加剧电池的内部电流和局部过热现象,加速升温,产生大量的欧姆热,从而显著提前热失控进程,导致低温环境下充放电循环老化的锂离子电池相比常温环境,其安全阀打开时间和完全热失控时间大幅提前。

    热失控电池表面峰值温度(Tmax)指电池表面在热失控过程中达到的最高温度,是评估电池在失控状态下安全性的关键参数,直接影响对电池系统安全性评估及热失控蔓延防护措施的设计。不同实验工况下,电池热失控表面温度随时间的变化如图4所示。

    图  4  不同实验工况下热失控锂离子电池表面温度随时间的变化
    Figure  4.  Change of temperature with time at the surface of thermal runaway batteries under different experimental conditions

    图4可以看出,低温(−10 ℃)环境和常温(25 ℃)环境下,锂离子电池经过充放电循环老化,其热失控时的表面峰值温度(Tmax)均随充放电循环圈数增加而上升。在常温环境下,锂离子电池经历75圈充放电循环后,其Tmax比新电池上升了119.9 ℃,相对升幅达29.16%;在低温环境下,锂离子电池经历75圈充放电循环后,其Tmax比新电池上升了85.6 ℃,相对升幅为22.1%。这表明,充放电循环老化会显著提高锂离子电池热失控时的表面峰值温度,且常温环境下老化程度相同的电池比低温环境下表现出更大的峰值温度增幅。

    相比于常温环境,低温环境下所有循环老化程度的Tmax普遍较低。经历50圈充放电循环的锂离子电池,其常温下的Tmax与低温下的Tmax相差最大,常温环境下电池的Tmax比低温环境下高107.1 ℃,相对升高13.93%。因此,与低温环境下相比,常温环境下锂离子电池热失控危险性更高,降低电池在充放电循环时所处的环境温度,会在一定程度上降低电池热失控危险性。

    长期充放电循环会导致锂离子电池结构的微小变形,如壳体膨胀和极片弯曲等。这些变形会影响锂离子电池内部的热传导路径,导致热量在局部区域积聚,从而提高热失控时的峰值温度。在低温环境下,充放电循环老化导致大量锂枝晶析出,锂金属在负极表面沉积,造成电池中可循环锂的损失。随着充放电循环次数的增加,锂离子的损耗导致电池内可参与电化学反应的活性锂减少。这一过程在热失控期间直接影响了产热反应的强度,因活性锂不足,导致产热量降低。因此,尽管低温充放电循环工况下锂离子电池热失控加快,但锂损耗显著,电池表面峰值温度低于常温环境下的。

    锂离子电池完全热失控时会出现高温火焰并在极短时间内释放大量可燃气体,造成电池所处封闭环境的气压瞬间升高。基于理想气体状态方程,在温度和容积一定的情况下,气体压力与气体的摩尔数成正比,因此,热失控过程中的环境压力可用于直观反映热失控气体量的动态变化。不同实验工况下电池舱内气压随时间的变化如图5所示,实验舱内的峰值压力(pmax)如表3所示。

    图  5  不同实验工况下电池舱内气压随时间的变化
    Figure  5.  Change of gas pressure with time inside the battery compartment under different experimental conditions
    表  3  不同实验工况下电池舱内气体峰值压力
    Table  3.  Peak gas pressure inside the battery compartment under different experimental conditions
    环境温度/℃ 电池舱内峰值压力/kPa
    循环1圈 循环25圈 循环50圈 循环75圈
    25 580.0 632.7 646.7 651.4
    −10 574.3 559.5 579.3 634.4
    下载: 导出CSV 
    | 显示表格

    图5(a)可以看出,低温(−10 ℃)环境下,电池舱内气体的峰值压力(pmax)随着锂离子电池充放电循环圈数的增加而先降低,充放电循环达到25圈时降至最低559.5 kPa。而后随电池充放电循环圈数的增加而上升,充放电循环达到75圈时达到最高634.4 kPa,相对于最低pmax升高了60.1 kPa,相对升高13%。

    图5(b)可以看出,常温(25 ℃)环境下,电池舱内气体的峰值压力(pmax)随着锂离子电池充放电循环圈数的增加而升高。锂离子电池在经历充放电循环75圈后,热失控pmax最高,相较于新电池热失控pmax升高71.4 kPa,相对升高12.31%。由于锂离子电池在经历充放电循环25圈时pmax的下降不显著,仅有2.5%,且后续再无下降趋势,可认为pmax总体变化趋势是随电池老化程度的提高而升高。表3中,低温环境下各循环老化电池的pmax均小于其常温环境下的pmax,其中充放电循环25圈工况下的pmax差值最大,为73.2 kPa,相对升高13.08%。由此可知:循环老化会导致热失控舱内最大压力显著上升,同时,常温环境下循环老化电池的热失控危险性更高。

    电池循环老化过程中,电解液的稳定性显著降低,导致其在热失控高温环境下分解速率提高,从而生成更多气体。老化电解液中的锂盐(如LiPF6)会逐渐分解为氟化氢(HF)和五氟化磷(PF5),这些气体在电池热失控时会显著增加。此外,SEI膜的劣化也是一个关键因素。随着循环次数的增加,SEI膜会变脆且不均匀,这种膜的增厚和剥离现象促进了电解液与电极材料的直接接触,进而引发更多的电解液发生分解反应生成气体,最终呈现出循环老化会导致热失控超压峰值升高的趋势。在低温环境下,锂离子电池气体释放量显著减少的现象主要源于电解液分解速率的降低和SEI膜的热稳定性增强。同时,电解液的离子电导率大幅下降,导致其化学反应速率降低。锂盐(如LiPF6)的分解反应速率随温度的降低而显著降低,生成气体(HF和PF5等)相对较少。尽管循环老化增加了气体的潜在释放量,但在低温环境下电解液分解减慢,实际气体释放受到抑制。此外,低温下SEI膜表现出更高的化学稳定性,其完整性得到增强,减缓了膜的分解及相关气体的释放。稳定的SEI膜减少了电解液与电极材料的直接接触,进一步抑制气体生成。

    锂离子电池热失控除电池本身剧烈放热会造成高温高压危险以外,还会释放大量可燃气体,可燃气体一旦发生爆炸,会对电池系统造成二次破坏,爆炸极限则是衡量可燃气体爆炸风险的重要指标[25]

    按照1.3节中的实验方法进行操作,选用二分法测定爆炸极限[15]。依次迭代,直到未发生爆炸的热失控气体相对气体舱容积的体积分数与发生爆炸的热失控气体相对气体舱容积的体积分数的差值在1%以内,停止实验,定义此时未发生爆炸的热失控气体体积分数与发生爆炸的热失控气体体积分数的平均值为爆炸极限。不同工况下的热失控气体爆炸极限如图6所示。

    图  6  热失控气体爆炸极限随环境温度和循环圈数的变化
    Figure  6.  Variation of explosion limits for thermal runaway gases with environmental temperature and cycle number

    图6可以看出,常温(25 ℃)环境下的锂离子电池,随老化程度的提高,其热失控气体爆炸下限呈现先升高后下降的趋势,但老化电池热失控气体的爆炸下限始终高于新电池热失控气体的爆炸下限,且爆炸上限变化不明显。由此可知,随着锂离子电池老化程度的提高,其热失控气体的爆炸风险逐渐降低。

    低温(−10 ℃)环境下的锂离子电池,随老化程度的提高,其热失控气体的爆炸上限变化趋势不明显,但爆炸下限呈现显著的下降趋势,经历充放电循环75圈的锂离子电池,其热失控气体的爆炸下限相对新电池下降20.49%。这一趋势表明,低温环境下,随老化程度的提高,锂离子电池热失控气体的爆炸风险不断上升。除新电池外,其余电池在低温环境下充放电循环老化后,其热失控气体的爆炸极限均宽于其在常温环境下的爆炸极限,这表明低温会导致老化电池的热失控气体爆炸风险明显升高。

    低温环境下,随着锂离子电池老化程度的提高,电池析锂数量增加。锂枝晶能够直接与电解液中的溶剂(如碳酸乙烯酯和碳酸甲乙酯等)发生反应生成可燃气体,典型的反应生成物包括氢气(H2)和烷烃类气体(如甲烷和乙烷)。同时,金属锂在高温下消耗氧气生成氧化锂,从而使更多可燃气体避免被氧气消耗。此外,热失控反应所需的时间随着低温循环的持续而明显缩短,使得可燃气体与氧气的反应时间缩短,进一步降低可燃气体的消耗,增大了热失控气体中可燃气体的比例,从而使该工况爆炸下限随着老化程度的提高而下降。常温环境下锂离子电池热失控状态持续时间相对较长,可燃气体与氧气反应更充分,消耗可燃气体更多,生成的二氧化碳更多,混合气体中二氧化碳浓度上升会收窄爆炸极限宽度,导致常温环境下热失控气体的爆炸极限范围要窄于低温环境下热失控气体的爆炸极限范围。而循环老化造成常温环境下热失控时间延长,分解产生更多的二氧化碳,导致该工况爆炸下限上升,始终高于新电池的爆炸下限。

    在紧密排布的锂离子电池系统内部,电池发生热失控会迅速释放大量可燃气体,对电池系统造成第1次冲击。由于电池系统空间狭小,可燃气体体积分数会在约0.02 s内迅速升高至70%以上。此时,远超爆炸上限的高浓度气体不会发生爆炸。随着时间的推移,由于电池系统受到首次冲击后密封性能下降以及热失控气体自身的扩散性质,高浓度气体逐渐向外部泄漏或逐渐向电池包内的低浓度空间扩散,电池系统内热失控气体浓度逐渐下降至爆炸上限附近。此时热失控电池附近的高温因素极易引燃热失控气体,使其在爆炸上限发生爆炸,对电池系统造成第2次冲击。热失控气体在气体舱内的爆炸火焰如图7所示。

    图  7  热失控气体在气体舱内的爆炸火焰
    Figure  7.  Explosion flame of thermal runaway gas in the gas chamber

    针对靠近爆炸上限的气体浓度展开爆炸超压以及爆炸火焰温度研究,在气体舱的4个位置设置热电偶,检测爆炸火焰中心、左侧、后部以及右侧的温度,如表4所示。

    表  4  不同工况下爆炸火焰不同位置的温度
    Table  4.  Temperatures at different positions of explosion flame under different conditions
    工况 爆炸火焰温度/℃
    充放电环境温度/℃ 充放电循环/圈 中心 左侧 后部 右侧
    251181.2165.1198.8172.9
    25184.4151.9177.7157.5
    50186.5158.9184.3151.4
    75180.8157.4183.8168.0
    −101188.1154.4179.9155.1
    25174.6152.3173.7145.4
    50189.7163.4182.2169.1
    75175.4146.4169.8152.2
    下载: 导出CSV 
    | 显示表格

    将以4个热电偶测得的温度取平均值,确定爆炸火焰温度,不同工况下气体爆炸火焰温度对比如图8所示,不同工况下爆炸峰值压力对比如图9所示。

    图  8  不同工况下热失控气体爆炸火焰的峰值温度
    Figure  8.  Peak temperatures of explosion flame of thermal runaway gas under different conditions
    图  9  不同工况下热失控气体爆炸峰值压力
    Figure  9.  Peak pressures of thermal runaway gas explosion under different conditions

    图8可以看出,常温环境下老化的电池,其热失控气体的爆炸温度普遍高于或接近低温环境,但电池在充放电循环50圈后,常温环境下老化的电池,其热失控气体的爆炸火焰温度低于低温环境。从图9可以看出,低温(−10 ℃)环境下,热失控气体爆炸压力随电池老化程度的提高先上升后下降,在充放电循环50圈后,热失控气体爆炸压力达到峰值319.5 kPa;而常温(25 ℃)环境下则完全相反,热失控气体爆炸压力随电池老化程度的提高先下降后上升,同样在充放电循环50圈后出现转折点。且除新电池外,常温环境下老化的电池,其热失控气体爆炸压力均低于低温环境下老化的电池的热失控气体爆炸压力。

    常温环境下,锂离子电池热失控时间的延长导致电解液反应生成的二氧化碳增多,可燃气体的比例下降使得爆炸压力下降,但当充放电循环至75圈时,电池内部结构发生较大形变,电解液蒸气等变得更易外泄出电池,使得热失控气体中可燃气体比例有所回升,爆炸压力也因此回升。在低温环境下,析锂与电解液的副反应消耗氧气,保留了更大比例的可燃气体,并随着老化程度加深,析锂数量增加,能够保留的可燃气比例增加,导致气体爆炸压力上升。但随着循环圈数超过50圈,阳极表面的析锂数量达到峰值,难以消耗更多氧气,同时因超长时间的零下低温,电池内部部分活性物质开始显著损失或无法参与反应,导致可燃气体生成量相对下降。电池结构也受低温影响发生硬化,结构形变程度远小于常温环境,导致可燃气体外泄难度变大,从而使得气体爆炸压力出现下降趋势。常温环境下,没有大量锂金属消耗氧气,使得热失控气体中带有更高比例的氧气,爆炸反应更充分,同时生成的热失控气体组分也与低温环境不同,具备更高的反应热,从而导致常温环境下爆炸火焰的温度普遍较高。

    航空锂离子电池热失控爆炸危险性研究可为锂离子电池热失控预警系统设计、锂离子电池电芯布局设计以及电池系统热失控包容性设计提供参考。实验结果均由不同温度下的循环老化导致,低温环境中的循环老化会导致电池内部性能变化,包括内部结构形变、电池负极析锂以及SEI膜厚度脆性变化等,从而综合导致电池热失控爆炸危险性显著增大。研究分析了电池热失控时间、电池表面峰值温度、舱内热失控峰值压力以及热失控气体的爆炸极限、爆炸压力和爆炸火球温度等关键参数,总结如下。

    (1)在常温(25 ℃)环境循环老化会减缓电池热失控速度,一定程度上降低热失控爆炸控危险性。电池完全热失控的时间(tTR)随着老化圈数的增加表现出延后的趋势,热失控时间最晚为559.86 s,相对常温新电池的474.80 s延后17.91%;电池安全阀开启到完全热失控的时间间隔(Δt)也随老化圈数的增加而逐渐变大,Δt最大为122.56 s,相对新电池的96.16 s增加27.45%;热失控时电池表面峰值温度(Tmax)随老化圈数增加而上升,最大Tmax比新电池上升了119.9 ℃,增幅达29.16%;舱内峰值压力(pmax)随老化程度的提高而升高,热失控峰值压力最高为651.4 kPa,相较于新电池提高71.4 kPa,相对升高12.31%;热失控气体爆炸下限随老化圈数的增加相对新电池爆炸下限升高30.95%,气体爆炸压力则随老化圈数的增加降低至258.6 kPa;气体爆炸温度始终低于新电池的179.5 ℃。这一现象表明常温下的循环老化会造成电池热失控高温高压的危险性显著上升,但热失控气体的爆炸危险性有所降低。

    (2)低温(−10 ℃)环境下进行循环老化,会显著加快电池热失控速度,大幅缩短热失控时间。低温循环75圈的电池与常温循环75圈的电池相比,其完全热失控时间相对提前26.34%,从安全阀打开到完全热失控的时间间隔缩短至56.66 s,相对缩短53.76%。这一现象表明,对寒冷地区电动航空器进行锂离子电池热失控预警系统设计时,需要将系统动作预留的响应时间大幅缩短,并从系统的处理器性能、处理逻辑、系统结构等角度开展优化,从而应对低温导致的热失控加速。

    (3)低温环境下进行循环老化会导致电池热失控时其表面峰值温度上升,并在低温循环75圈后达到最高值472.9 ℃,比新电池上升了85.6 ℃,相对上升22.1%。虽低于常温老化后热失控峰值温度的最大值531.1 ℃,但仍表现出上升趋势,会导致电池包内发生热失控蔓延的危险性增加,对电池包内电芯的间隔距离以及被动防火技术提出了更高的要求。

    (4)低温环境下的循环老化会造成热失控气体爆炸下限明显下降,电池在循环75圈后,其热失控气体爆炸下限降至8.85%,相比新电池降幅达20.49%。且爆炸极限宽度始终宽于常温环境下循环老化电池的热失控气体爆炸极限。这表明应用于寒冷地区的航空动力锂离子电池,其热失控气体具备更高的爆炸风险,需要为电池系统应用更高效的排气设计。

    (5)低温环境下循环老化的电池,其热失控气体在爆炸上限浓度附近发生爆炸时,爆炸压力及爆炸温度随老化程度的增加而上升,且在电池循环50圈后达到峰值319.5 kPa(176.1 ℃),表明寒冷地区的低温环境会导致航空动力锂离子电池的热失控气体爆炸后果更严重,这可为优化电池包承受气体爆炸冲击的能力提供设计依据。

  • 图  1  锂离子电池热失控危险性测试系统

    Figure  1.  Test system for thermal runaway hazard of lithium-ion batteries

    图  2  25 ℃环境锂离子电池放电电压-容量曲线

    Figure  2.  Voltage-capacity curves of lithium-ion battery discharge in 25 °C environment

    图  3  不同实验工况下电池舱内部气压变化曲线

    Figure  3.  Pressure fluctuation profiles within the lithium-ion battery enclosure under different operating conditions

    图  4  不同实验工况下热失控锂离子电池表面温度随时间的变化

    Figure  4.  Change of temperature with time at the surface of thermal runaway batteries under different experimental conditions

    图  5  不同实验工况下电池舱内气压随时间的变化

    Figure  5.  Change of gas pressure with time inside the battery compartment under different experimental conditions

    图  6  热失控气体爆炸极限随环境温度和循环圈数的变化

    Figure  6.  Variation of explosion limits for thermal runaway gases with environmental temperature and cycle number

    图  7  热失控气体在气体舱内的爆炸火焰

    Figure  7.  Explosion flame of thermal runaway gas in the gas chamber

    图  8  不同工况下热失控气体爆炸火焰的峰值温度

    Figure  8.  Peak temperatures of explosion flame of thermal runaway gas under different conditions

    图  9  不同工况下热失控气体爆炸峰值压力

    Figure  9.  Peak pressures of thermal runaway gas explosion under different conditions

    表  1  实验工况

    Table  1.   Experimental operating conditions

    充放电环境温度/℃ 充放电循环/圈
    −10 1, 25, 50, 75
    25 1, 25, 50, 75
    下载: 导出CSV

    表  2  不同工况下电池发生热失控的关键时间参数

    Table  2.   Key temporal parameters for thermal runaway of batteries under different operating conditions

    工况 tTR/s Δt/s 工况 tTR/s Δt/s
    充放电环境温度/℃ 充放电循环/圈 充放电环境温度/℃ 充放电循环/圈
    25 1 474.80 96.16 −10 1 523.56 107.70
    25 488.18 99.88 25 495.28 110.42
    50 520.92 101.14 50 419.90 57.32
    75 559.86 122.56 75 412.38 56.66
    下载: 导出CSV

    表  3  不同实验工况下电池舱内气体峰值压力

    Table  3.   Peak gas pressure inside the battery compartment under different experimental conditions

    环境温度/℃ 电池舱内峰值压力/kPa
    循环1圈 循环25圈 循环50圈 循环75圈
    25 580.0 632.7 646.7 651.4
    −10 574.3 559.5 579.3 634.4
    下载: 导出CSV

    表  4  不同工况下爆炸火焰不同位置的温度

    Table  4.   Temperatures at different positions of explosion flame under different conditions

    工况 爆炸火焰温度/℃
    充放电环境温度/℃ 充放电循环/圈 中心 左侧 后部 右侧
    251181.2165.1198.8172.9
    25184.4151.9177.7157.5
    50186.5158.9184.3151.4
    75180.8157.4183.8168.0
    −101188.1154.4179.9155.1
    25174.6152.3173.7145.4
    50189.7163.4182.2169.1
    75175.4146.4169.8152.2
    下载: 导出CSV
  • [1] EATON J, NARAGHI M, BOYD J G. Regional pathways for all-electric aircraft to reduce aviation sector greenhouse gas emissions [J]. Applied Energy, 2024, 373: 123831. DOI: 10.1016/j.apenergy.2024.123831.
    [2] 杨凤田, 范振伟, 项松, 等. 中国电动飞机技术创新与实践观点 [J]. 航空学报, 2021, 42(3): 624619. DOI: 10.7527/S1000-6893.2020.24619.

    YANG F T, FAN Z W, XlANG S, et al. Technical innovation and practice of electric aircraft in China [J]. Acta Aeronautica et Astronautica Sinica, 2021, 42(3): 624619. DOI: 10.7527/S1000-6893.2020.24619.
    [3] SISMANIDOU A, TARRADELLAS J, SUAU-SANCHEZ P, et al. Breaking barriers: an assessment of the feasibility of long-haul electric flights [J]. Journal of Transport Geography, 2024, 115: 103797. DOI: 10.1016/j.jtrangeo.2024.103797.
    [4] WEI H L, LOU B C, ZHANG Z Z, et al. Autonomous navigation for eVTOL: review and future perspectives [J]. IEEE Transactions on Intelligent Vehicles, 2024, 9(2): 4145–4171. DOI: 10.1109/TIV.2024.3352613.
    [5] 邓景辉. 电动垂直起降飞行器的技术现状与发展 [J]. 航空学报, 2024, 45(5): 529937. DOI: 10.7527/S1000-6893.2023.29937.

    DENG J H. Technical status and development of electric vertical take-off and landing aircraft [J]. Acta Aeronautica et Astronautica Sinica, 2024, 45(5): 529937. DOI: 10.7527/S1000-6893.2023.29937.
    [6] RAJENDRAN S, SRINIVAS S. Air taxi service for urban mobility: a critical review of recent developments, future challenges, and opportunities [J]. Transportation Research Part E: Logistics and Transportation Review, 2020, 143: 102090. DOI: 10.1016/j.tre.2020.102090.
    [7] BARRERA T P, BOND J R, BRADLEY M, et al. Next-generation aviation Li-ion battery technologies: enabling electrified aircraft [J]. The Electrochemical Society Interface, 2022, 31(3): 69–74. DOI: 10.1149/2.F10223IF.
    [8] BUTICCHI G, WHEELER P, BOROYEVICH D. The more-electric aircraft and beyond [J]. Proceedings of the IEEE, 2023, 111(4): 356–370. DOI: 10.1109/JPROC.2022.3152995.
    [9] LI H G, ZHOU D, ZHANG M H, et al. Multi-field interpretation of internal short circuit and thermal runaway behavior for lithium-ion batteries under mechanical abuse [J]. Energy, 2023, 263: 126027. DOI: 10.1016/j.energy.2022.126027.
    [10] XIAO Y, YANG F Q, GAO Z H, et al. Review of mechanical abuse related thermal runaway models of lithium-ion batteries at different scales [J]. Journal of Energy Storage, 2023, 64: 107145. DOI: 10.1016/j.est.2023.107145.
    [11] 李谦, 于金山, 刘盛终, 等. 不同因素影响下锂离子电池热失控演变特征及危害性综述 [J]. 消防科学与技术, 2023, 42(11): 1482–1487. DOI: 10.3969/j.issn.1009-0029.2023.11.006.

    LI Q, YU J S, LIU S Z, et al. Review on the characteristics and hazards of lithium-ion battery thermal runaway under various conditions [J]. Fire Science and Technology, 2023, 42(11): 1482–1487. DOI: 10.3969/j.issn.1009-0029.2023.11.006.
    [12] WORKU B E, ZHENG S M, WANG B. Review of low-temperature lithium-ion battery progress: new battery system design imperative [J]. International Journal of Energy Research, 2022, 46(11): 14609–14626. DOI: 10.1002/er.8194.
    [13] NG B, COMAN P T, FAEGH E, et al. Low-temperature lithium plating/corrosion hazard in lithium-ion batteries: electrode rippling, variable states of charge, and thermal and nonthermal runaway [J]. ACS Applied Energy Materials, 2020, 3(4): 3653–3664. DOI: 10.1021/acsaem.0c00130.
    [14] FU Y Y, LU S, SHI L, et al. Ignition and combustion characteristics of lithium ion batteries under low atmospheric pressure [J]. Energy, 2018, 161: 38–45. DOI: 10.1016/j.energy.2018.06.129.
    [15] ZHANG Q S, NIU J H, YANG J, et al. In-situ explosion limit analysis and hazards research of vent gas from lithium-ion battery thermal runaway [J]. Journal of Energy Storage, 2022, 56: 106146. DOI: 10.1016/j.est.2022.106146.
    [16] DENG J, CHEN B H, LU J Z, et al. Thermal runaway and combustion characteristics, risk and hazard evaluation of lithium-iron phosphate battery under different thermal runaway triggering modes [J]. Applied Energy, 2024, 368: 123451. DOI: 10.1016/j.apenergy.2024.123451.
    [17] BAIRD A R, ARCHIBALD E J, MARR K C, et al. Explosion hazards from lithium-ion battery vent gas [J]. Journal of Power Sources, 2020, 446: 227257. DOI: 10.1016/j.jpowsour.2019.227257.
    [18] 杨娟, 牛江昊, 张青松. 循环老化锂离子电池热失控气体原位爆炸极限实验分析 [J]. 航空学报, 2023, 44(23): 428529. DOI: 10.7527/S1000-6893.2023.28529.

    YANG J, NIU J H, ZHANG Q S, et al. In-situ explosion limit of thermal runaway gas explosion in cyclic aging lithium-ion batteries: experimental analysis [J]. Acta Aeronautica et Astronautica Sinica, 2023, 44(23): 428529. DOI: 10.7527/S1000-6893.2023.28529.
    [19] ZHANG Q S, YANG K B, NIU J H, et al. Research on the lower explosion limit of thermal runaway gas in lithium batteries under high-temperature and slight overcharge conditions [J]. Journal of Energy Storage, 2024, 79: 109976. DOI: 10.1016/j.est.2023.109976.
    [20] YANG J, LIU W H, ZHAO H Y, et al. Experimental investigation of lithium-ion batteries thermal runaway propagation consequences under different triggering modes [J]. Aerospace, 2024, 11(6): 438. DOI: 10.3390/aerospace11060438.
    [21] 杨娟, 胡佳宁, 佟佳成, 等. 航空锂电池热失控高温喷射冲击实验研究 [J]. 航空学报, 2025, 46(14): 430965. DOI: 10.7527/S1000-6893.2024.30965.

    YANG J, HU J N, TONG J C, et al. Experimental study on high-temperature jet impact induced by thermal runaway in aviation lithium-ion batteries [J]. Acta Aeronautica et Astronautica Sinica, 2025, 46(14): 430965. DOI: 10.7527/S1000-6893.2024.30965.
    [22] German Institute for Standardization. Determination of explosion limits of gases and vapours at elevated pressures, elevated temperatures or with oxidizers other than air: DIN EN 17624: 2022 [S]. German: German Institute for Standardization, 2022-03-01.
    [23] XIAO Y, ZHAO J R, YIN L, et al. Staged thermal runaway behaviours of three typical lithium-ion batteries for hazard prevention [J]. Journal of Thermal Analysis and Calorimetry, 2024, 149(18): 10321–10333. DOI: 10.1007/s10973-024-13080-0.
    [24] 韩鑫. 低温环境下锂离子电池析锂特性及其影响研究[D]. 北京: 北京交通大学, 2021. DOI: 10.26944/d.cnki.gbfju.2021.002428.

    HAN X. Research on the characteristics and influence of lithium plating in lithium-ion batteries at low temperature[D]. Beijing: Beijing Jiaotong University, 2021. DOI: 10.26944/d.cnki.gbfju.2021.002428.
    [25] 张青松, 包防卫, 牛江昊. 环境压力对锂电池热失控产气及爆炸风险的影响 [J]. 储能科学与技术, 2023, 12(7): 2263–2270. DOI: 10.19799/j.cnki.2095-4239.2023.0192.

    ZHANG Q S, BAO F W, NIU J H. Risk analysis method of thermal runaway gas explosion in lithium-ion batteries [J]. Energy Storage Science and Technology, 2023, 12(7): 2263–2270. DOI: 10.19799/j.cnki.2095-4239.2023.0192.
  • 加载中
推荐阅读
受冲击荷载后未失效电池力学性能和电性能的劣化
魏和光 等, 爆炸与冲击, 2025
轻型消费级无人机软包锂离子电池在机械强冲击载荷下的力学响应特性
郭亚周 等, 爆炸与冲击, 2025
航空动力锂离子电池热失控高温与冲击危害的被动防护包容性
杨娟 等, 爆炸与冲击, 2025
冲击载荷下圆柱形锂离子电池的动态响应预测
黄子轩 等, 爆炸与冲击, 2025
锂离子电池老化后性能变化研究进展
宋学伟;于泽平;肖阳;王德平;袁泉;李欣卓;郑迦文 等, 吉林大学学报, 2025
圆柱形锂电池在局部压痕下的安全性实验研究
李杰 等, 高压物理学报, 2024
动力锂离子电池大功率快充热失控主动防控研究进展
刘建超 等, 电器与能效管理技术, 2024
Like-minded sources on facebook are prevalent but not polarizing
Nyhan, Brendan et al., NATURE, 2023
Research on performance constraints and electrolyte optimization strategies for lithium-ion batteries at low temperatures
RSC ADVANCES, 2025
An improved asay foil method for measuring areal density of ejecta under complex loading conditions
WANG Weirong et al., EXPLOSION AND SHOCK WAVES, 2024
Powered by
图(9) / 表(4)
计量
  • 文章访问数:  467
  • HTML全文浏览量:  195
  • PDF下载量:  73
  • 被引次数: 0
出版历程
  • 收稿日期:  2024-09-19
  • 修回日期:  2024-12-04
  • 网络出版日期:  2024-12-17
  • 刊出日期:  2025-02-01

目录

/

返回文章
返回