• ISSN 1001-1455  CN 51-1148/O3
  • EI、Scopus、CA、JST、EBSCO、DOAJ收录
  • 力学类中文核心期刊
  • 中国科技核心期刊、CSCD统计源期刊

一维理想弹塑性体的SPH-HLLC耦合算法

王展铭 陈龙奎 黄生洪

王展铭, 陈龙奎, 黄生洪. 一维理想弹塑性体的SPH-HLLC耦合算法[J]. 爆炸与冲击, 2024, 44(8): 081431. doi: 10.11883/bzycj-2024-0004
引用本文: 王展铭, 陈龙奎, 黄生洪. 一维理想弹塑性体的SPH-HLLC耦合算法[J]. 爆炸与冲击, 2024, 44(8): 081431. doi: 10.11883/bzycj-2024-0004
WANG Zhanming, CHEN Longkui, HUANG Shenghong. SPH-HLLC coupled method for one-dimentional elastic-perfectly plastic model[J]. Explosion And Shock Waves, 2024, 44(8): 081431. doi: 10.11883/bzycj-2024-0004
Citation: WANG Zhanming, CHEN Longkui, HUANG Shenghong. SPH-HLLC coupled method for one-dimentional elastic-perfectly plastic model[J]. Explosion And Shock Waves, 2024, 44(8): 081431. doi: 10.11883/bzycj-2024-0004

一维理想弹塑性体的SPH-HLLC耦合算法

doi: 10.11883/bzycj-2024-0004
详细信息
    作者简介:

    王展铭(1997- ),男,博士研究生,wangzmrr@mail.ustc.edu.cn

    通讯作者:

    黄生洪(1974- ),男,博士,研究员,博士生导师,hshnpu@ustc.edu.cn

  • 中图分类号: O389

SPH-HLLC coupled method for one-dimentional elastic-perfectly plastic model

  • 摘要: 通过弹塑性波分析求得HLLC(Harten-Lax-van Leer-contact)近似黎曼解,提出了SPH(smoothed particle hydrodynamics)与一维理想弹塑性体模型下近似的HLLC黎曼求解器耦合的一种构造简单的算法。在SPH计算中,支持域内每个粒子对都存在一个黎曼间断问题,它的黎曼解被代入控制方程中计算。其中一维理想弹塑性体的HLLC近似黎曼解的思想是:先假设整体处于弹性状态计算黎曼解,然后对计算结果进行塑性条件修正,最后用修正后的物理变量计算HLLC近似黎曼解。将提出的SPH-HLLC耦合算法与传统SPH算法在一维算例下的计算结果进行对比,结果表明,该算法能有效模拟一维理想弹塑性体材料的碰撞,并能有效抑制在不同材料之间的压强和偏应力震荡,这是传统SPH方法很难做到的。
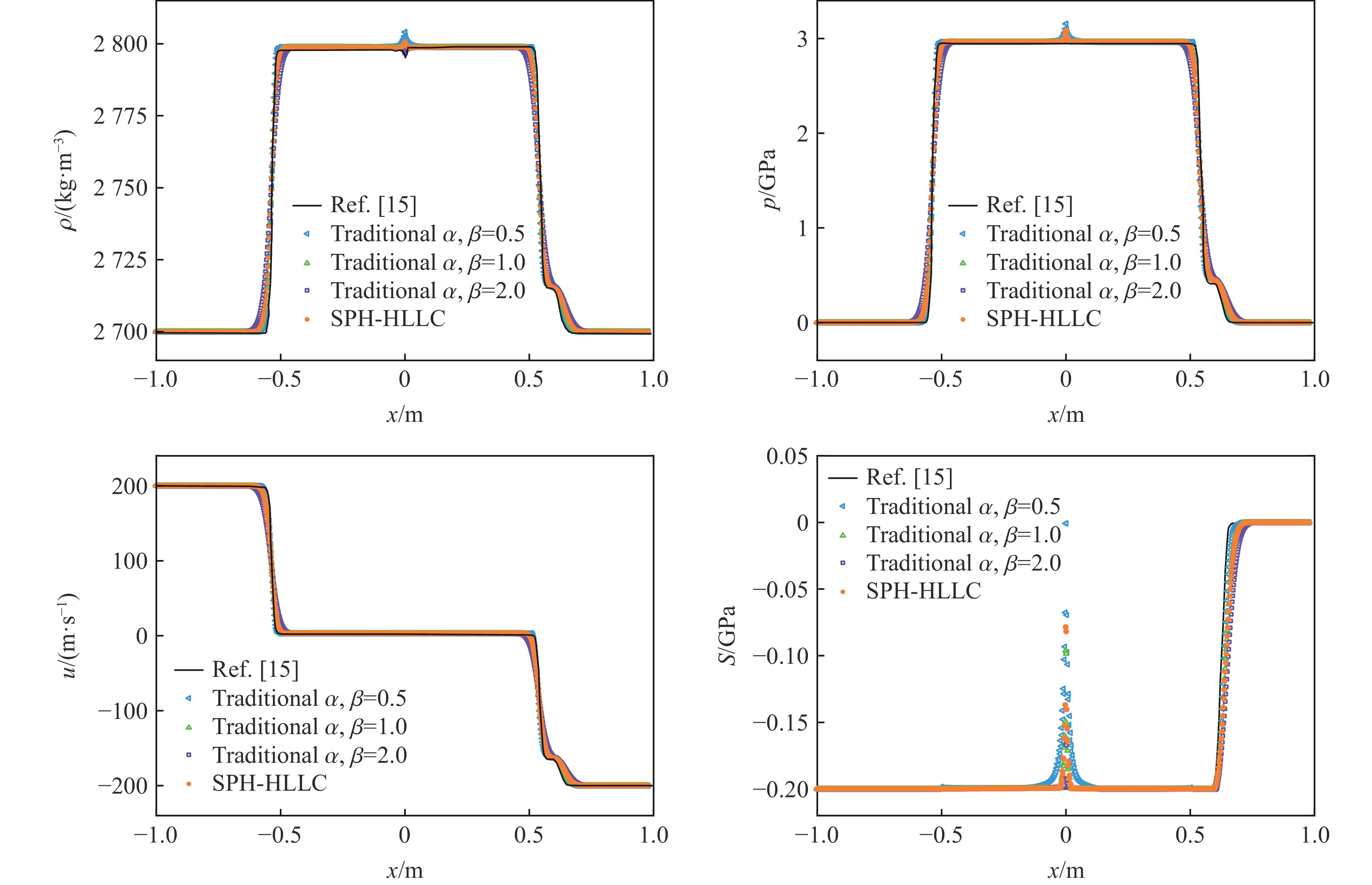
  • 图  1  铝碰撞算例的密度、压强、速度和偏应力计算结果

    Figure  1.  Density, pressure, velocity and deviatoric stress profile of Al collision test

    图  2  Wilkins算例的密度、压强、速度和偏应力计算结果

    Figure  2.  Density, pressure, velocity and deviatoric stress profile of Wilkins test

    图  3  铜铝撞击算例的压强、速度和偏应力计算结果

    Figure  3.  Pressure, velocity and deviatoric stress profile of Cu/Al collision test

    图  4  二维厚壁圆筒铍壳体碰撞测试的初始分布、传统算法结果以及新SPH-HLLC算法结果

    Figure  4.  Initial distribution, traditional algorithm results, and new SPH-HLLC algorithm results of two-dimensional thick walled cylindrical beryllium shell collision test

    图  5  二维厚壁圆筒铍壳体碰撞测试的无量纲能量随无量纲时间的变化

    Figure  5.  Variation of non-dimensional energy with non-dimensional time in collision test of two-dimensional thick walled cylindrical beryllium shells

    表  1  弹塑性碰撞测试

    Table  1.   Parameters related Al impact

    算例 ρ/(kg·m−3) u/(m·s−1) p/MPa S/MPa 坐标区间/m t/ms
    铝碰撞 左侧 2700 200 0 −200 −1~0 0.1
    右侧 2700 −200 0 0 0~1
    下载: 导出CSV

    表  2  Wilkins算例的相关参数

    Table  2.   Parameters related to Wilkins test

    算例 ρ/(kg·m−3) u/(m·s−1) Y0/MPa μ/GPa a0/(m·s−1) ρ0/(kg·m−3) s Γ0 坐标区间/mm t/μs
    Wilkins 左侧 2785 800 300 27.6 5328 2785 1.338 2 0 ~ 5 5
    右侧 2785 0 300 27.6 5328 2785 1.338 2 5 ~ 50
    下载: 导出CSV

    表  3  铜铝材料撞击算例的相关参数

    Table  3.   Parameters related to Cu/Al collision

    算例 ρ/(kg·m−3) u/(m·s−1) Y0/MPa μ/GPa a0/(m·s−1) ρ0/(kg·m−3) s Γ0 坐标区间/mm t/μs
    铜铝材料撞击 左侧 8930 60 90 45.0 3940 8930 1.490 2 0 ~ 25 2
    右侧 2785 0 300 27.6 5328 2785 1.338 2 25~50
    下载: 导出CSV

    表  4  二维厚壁圆筒铍壳体碰撞算例的相关参数

    Table  4.   Parameters related to collapse of a thick-walled cylindrical beryllium shell

    算例 ρ0/(kg·m−3) |u|/(m·s−1) Y0/MPa μ/GPa a0/(m·s−1) s Γ t/μs
    铍壳体 1845 417.1 330 151.9 12870 1.124 2 130
    下载: 导出CSV

    表  5  计算前后总能比(结束时刻能量/初始时刻能量)

    Table  5.   Total energy ratio (final total energy/initial total energy)

    方法 总能比/%
    l0 = 0.2 mm l0 = 0.125 mm l0 = 0.08 mm
    传统 90.40 92.75 94.69
    SPH-HLLC 100.59 100.72 100.64
    下载: 导出CSV
  • [1] MONAGHAN J J. Smoothed particle hydrodynamics [J]. Annual Review of Astronomy and Astrophysics, 1992, 30: 543–574. DOI: 10.1146/annurev.aa.30.090192.002551.
    [2] VILA J P. On particle weighted methods and smooth particle hydrodynamics [J]. Mathematical Models and Methods in Applied Sciences, 1999, 9(2): 161–209. DOI: 10.1142/S0218202599000117.
    [3] PARSHIKOV A N, MEDIN S A. Smoothed particle hydrodynamics usinginterparticle contact algorithms [J]. Journal of Computational Physics, 2002, 180(1): 358–382. DOI: 10.1006/jcph.2002.7099.
    [4] LIBERSKY L D, RANDLES P W. Shocks and discontinuities in particle methods [J]. AIP Conference Proceedings, 2006, 845(1): 1089–1092. DOI: 10.1063/1.2263512.
    [5] MEHRA V, CHATURVEDI S. High velocity impact of metal sphere on thin metallic plates: a comparative smooth particle hydrodynamics study [J]. Journal of Computational Physics, 2006, 212(1): 318–337. DOI: 10.1016/j.jcp.2005.06.020.
    [6] LIN X, BALLMANN J. A Riemann solver and a second-order Godunov method for elastic-plastic wave propagation in solids [J]. International Journal of Impact Engineering, 1993, 13(3): 463–478. DOI: 10.1016/0734-743X(93)90118-Q.
    [7] 姚成宝, 付梅艳, 韩峰, 等. 基于多介质Riemann问题的流体-固体耦合数值方法及其在爆炸与冲击问题中的应用 [J]. 兵工学报, 2021, 42(2): 340–355. DOI: 10.3969/j.issn.1000-1093.2021.02.012.

    YAO C B, FU M Y, HAN F, et al. A numerical scheme for fluid-solid interactions based on multi-medium Riemann problem and its application in explosion andimpact problems [J]. Acta Armamentarii, 2021, 42(2): 340–355. DOI: 10.3969/j.issn.1000-1093.2021.02.012.
    [8] CHENG J B. Harten-Lax-van Leer-contact (HLLC) approximation Riemann solver with elastic waves for one-dimensional elastic-plastic problems [J]. Applied Mathematics and Mechanics, 2016, 37(11): 1517–1538. DOI: 10.1007/s10483-016-2104-9.
    [9] GAO S, LIU T G. 1D exact elastic-perfectly plastic solid Riemann solver and its multi-material application [J]. Advances in Applied Mathematics and Mechanics, 2017, 9(3): 621–650. DOI: 10.4208/aamm.2015.m1340.
    [10] GAO S, LIU T G, YAO C B. A complete list of exact solutions for one-dimensional elastic-perfectly plastic solid Riemann problem without vacuum [J]. Communications in Nonlinear Science and Numerical Simulation, 2018, 63: 205–227. DOI: 10.1016/j.cnsns.2018.02.030.
    [11] LI X, ZHAI J Y, SHEN Z J. An HLLC-type approximate Riemann solver for two-dimensional elastic-perfectly plastic model [J]. Journal of Computational Physics, 2022, 448: 110675. DOI: 10.1016/j.jcp.2021.110675.
    [12] LIU M B, LIU G R. Smoothed particle hydrodynamics (SPH): an overview and recent developments [J]. Archives of Computational Methods in Engineering, 2010, 17(1): 25–76. DOI: 10.1007/s11831-010-9040-7.
    [13] HUI W H, KUDRIAKOV S. On wall overheating and other computational difficulties of shock-capturing methods [J]. Computational Fluid Dynamics Journal, 2001, 10(2): 192–209.
    [14] TORO E F. Riemann solvers and numerical methods for fluid dynamics: a practical introduction [M]. New York: Springer, 1997.
    [15] CHEN Q, LI L, QI J, et al. A cell-centeredLagrangian scheme with an elastic-perfectly plastic solid Riemann solver for wave propagations in solids [J]. Advances in Applied Mathematics and Mechanics, 2022, 14(3): 703–724. DOI: 10.4208/aamm.OA-2020-0344.
    [16] WILKINS M L. Calculation of elastic-plastic flow: NSA-18-002406 [R]. Livermore: Lawrence Radiation Laboratory, 1963.
    [17] LIU L, CHENG J B, LIU Z. A multi-material HLLC Riemann solver with both elastic and plastic waves for 1D elastic-plastic flows [J]. Computers & Fluids, 2019, 192: 104265. DOI: 10.1016/j.compfluid.2019.104265.
    [18] HOWELL B P, BALL G J. A free-Lagrange augmented Godunov method for the simulation of elastic-plastic solids [J]. Journal of Computational Physics, 2002, 175(1): 128–167. DOI: 10.1006/jcph.2001.6931.
    [19] MAIRE P H, ABGRALL R, BREIL J, et al. A nominally second-order cell-centered Lagrangian scheme for simulating elastic-plastic flows on two-dimensional unstructured grids [J]. Journal of Computational Physics, 2013, 235: 626–665. DOI: 10.1016/j.jcp.2012.10.017.
    [20] QUINLAN N J, BASA M, LASTIWKA M. Truncation error in mesh-free particle methods [J]. International Journal for Numerical Methods in Engineering, 2006, 66(13): 2064–2085. DOI: 10.1002/nme.1617.
    [21] ZHANG Z L, LIU M B. Smoothed particle hydrodynamics with kernel gradient correction for modeling high velocity impact in two- and three-dimensional spaces [J]. Engineering Analysis with Boundary Elements, 2017, 83: 141–157. DOI: 10.1016/j.enganabound.2017.07.015.
  • 加载中
图(5) / 表(5)
计量
  • 文章访问数:  487
  • HTML全文浏览量:  154
  • PDF下载量:  114
  • 被引次数: 0
出版历程
  • 收稿日期:  2024-01-02
  • 修回日期:  2024-05-14
  • 网络出版日期:  2024-05-15
  • 刊出日期:  2024-08-05

目录

    /

    返回文章
    返回