Simulation analysis on the initiation mechanism of the explosive charge covered with a thick shell impacted by a rod projectile
-
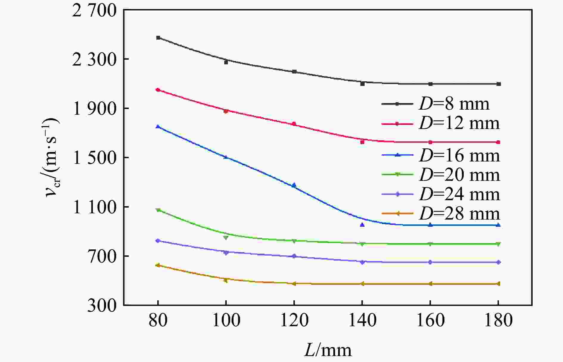
摘要: 为研究高速杆式弹冲击厚壁壳体装药的起爆机制,运用冲击物理显式欧拉型动力学SPEED软件,开展了不同弹径和弹长的钨合金杆式弹与厚壁壳体Comp-B装药相互作用过程的数值模拟,采用升降法获得弹体起爆装药临界着速及装药起爆位置变化。研究结果表明:弹体起爆装药临界着速随弹径增大而显著降低,随弹长增大呈先降低后平缓变化的规律;弹体以临界着速起爆装药时,存在2种装药起爆机制,即弹体贯穿壳体后的宏观剪切起爆和未贯穿壳体的低速冲击起爆,且其机制随弹体着速在临界着速以上继续提高会发生转变,最终均会转变为高速冲击起爆机制;装药起爆位置均发生在炸药壳体交界面后一定距离处,相同机制下此距离随弹体着速提高而减小。Abstract: In order to study the initiation mechanisms of the explosive charge covered with a thick shell impacted by a high- velocity rod projectiles, the shock physical explicit Eulerian dynamic software SPEED was applied to numerically simulate the interactions beween the tungsten rod projectiles with different diameters and lengths and the Comp-B charge covered with a thick shell, the up-down method was used to obtain the critical impact velocity and the change of the detonation position, and the effects of the projectile diameter and length on the critical impact velocity were obtained. The initiation mechanisms of the Comp-B charge detonated by the projectile at the critical impact velocity were analyzed in depth, and the effects of the projectile impact velocity on the initiation mechanism and the detonation position were obtained. The research results show that the critical impact velocity decreases significantly as the projectile diameter increases, the critical impact velocity first decreases and then gradually changes as the projectile length increases. When the Comp-B charge is detonated by the projectile at the critical impact velocity, there are two initiation mechanisms, namely the macro-shear initiation mechanism after the projectile penetrates the shell and the low-velocity impact initiation mechanism without penetrating the shell. The mechanisms will transform as the projectile impact velocity continues to increase above the critical impact velocity. If the macro-shear initiation mechanism dominates when the Comp-B charge is detonated by the projectile at the critical impact velocity, it will transform into the high-velocity impact initiation mechanism; if the low-velocity impact initiation mechanism dominates at this time, it will first transform into the macro-shear initiation mechanism, and then transform into the high-velocity impact initiation mechanism. The detonation position is at a certain distance from the interface between the explosive and the shell, the distance decreases as the impact velocity of the projectile increases if the initiation mechanism remains the same.
-
表 1 金属材料模型
Table 1. Models for metal materials
部件 材料 状态方程 强度模型 失效模型 战斗部壳体 4340钢 Shock Johnson-Cook Johnson-Cook 杆式弹 钨合金 Shock Johnson-Cook Johnson-Cook 表 2 金属Johnson-Cook强度模型参数
Table 2. Johnson-Cook strength model parameters for metal materials
材料 ρ/(g·cm–3) G/ GPa A/MPa B/MPa n C m Tm/K 4340钢 7.83 80.1 792 510 0.26 0.014 1.03 1793 钨合金 17.30 145.0 1506 177 0.12 0.016 1.00 1723 表 3 Comp-B炸药Lee-Tarver状态方程参数
Table 3. Lee-Tarver equation-of-state parameters for Comp-B explosive
IL/μs−1 bL aL xL G1L cL dL yL G2L eL gL zL 4×106 0.667 0.0367 7 140 0.667 0.333 2 1000 0.222 1 3 表 4 Comp-B炸药基本参数及JWL状态方程参数
Table 4. Basic parameters and JWL equation-of-state parameters for Comp-B explosive
ρ/(g·cm−3) DCJ/(m·s−1) pCJ/GPa A/GPa B/GPa R1 R2 ω 1.717 7980 29.5 524.2 7.678 4.2 1.1 0.5 表 5 模拟结果与试验结果的对比
Table 5. Comparison between simulated results and tested ones
序号 弹体形状 D/mm L/mm H/mm vcr/(m·s−1) 模拟 试验 1 圆柱形平头 16.20 16.20 14 2025 1990±40 2 球形 16.67 16.67 12 2600 2650±50 3 6 1950 1910±60 -
[1] 江增荣, 李向荣, 李世才, 等. 预制破片对战斗部冲击起爆数值模拟 [J]. 弹道学报, 2009, 21(1): 9–13.JIANG Z R, LI X R, LI S C, et al. Numerical simulation on shock initiation of performed fragment to warhead [J]. Journal of Ballistics, 2009, 21(1): 9–13. [2] 陈卫东, 张忠, 刘家良. 破片对屏蔽炸药冲击起爆的数值模拟和分析 [J]. 兵工学报, 2009, 30(9): 1187–1191. DOI: 10.3321/j.issn:1000-1093.2009.09.007.CHEN W D, ZHANG Z, LIU J L. Numerical simulation and analysis of shock initiation of shielded explosive impacted by fragments [J]. Acta Armamentarii, 2009, 30(9): 1187–1191. DOI: 10.3321/j.issn:1000-1093.2009.09.007. [3] 王昕, 蒋建伟, 王树有, 等. 钨球对柱面带壳装药的冲击起爆数值模拟研究 [J]. 兵工学报, 2017, 38(8): 1498–1505. DOI: 10.3969/j.issn.1000-1093.2017.08.006.WANG X, JIANG J W, WANG S Y, et al. Numerical simulation on the initiation of cylindrical covered charge impacted by tungsten sphere fragment [J]. Acta Armamentarii, 2017, 38(8): 1498–1505. DOI: 10.3969/j.issn.1000-1093.2017.08.006. [4] 梁争峰, 袁宝慧. 破片撞击起爆屏蔽B炸药的数值模拟和实验 [J]. 火炸药学报, 2006, 29(1): 5–9. DOI: 10.3969/j.issn.1007-7812.2006.01.002.LIANG Z F, YUAN B H. Numerical simulation and experimental study of the initiation of shielded composition B impacted by fragment [J]. Chinese Journal of Explosives amd Propellants, 2006, 29(1): 5–9. DOI: 10.3969/j.issn.1007-7812.2006.01.002. [5] 卢锦钊, 智小琦, 李娟娟, 等. 六棱柱破片冲击起爆带壳B炸药速度阈值研究 [J]. 弹箭与制导学报, 2016, 36(1): 82−84; 120. DOI: 10.15892/j.cnki.djzdxb.2016.01.021.LU J Z, ZHI X Q, LI J J, et al. Threshold velocity of hexagonal prism fragment impacting on Comp B with shell [J]. Journal of Projectiles, Rockets, Missiles and Guidance, 2016, 36(1): 82-84; 120. DOI: 10.15892/j.cnki.djzdxb.2016.01.021. [6] HELD M. Initiation phenomena with shaped charge jets [C]// 9th International Symposium on Detonation. Portland, Oregon, US: OCNR, 1989: 1416−1426. [7] LLOYD R M. Conventional warhead systems physics and engineering design [M]. Virginia: AIAA, 1998: 502−504. [8] ROSLUND L A. Initiation of warhead fragments Ⅰ: normal impacts: NOLTR73-124 [R]. White Oak: Naval Surface Weapons Center, 1973. [9] 方青, 卫玉章, 张克明, 等. 射弹撞击带厚盖板炸药引发爆轰的机制 [J]. 弹道学报, 1997, 9(1): 16–20.FANG Q, WEI Y Z, ZHANG K M, et al. An investigation on the projectile impact initiation mechanism of detonation in explosive charges covered with a thick steel plate [J]. Journal of Ballistics, 1997, 9(1): 16–20. [10] 李小笠, 赵国志, 李文彬. 长杆体垂直冲击带盖板炸药的临界起爆准则 [J]. 弹道学报, 2004, 16(2): 51–55. DOI: 10.3969/j.issn.1004-499X.2004.02.012.LI X L, ZHAO G Z, LI W B. Critical energy criterion used to predict covered explosives impacted by rod [J]. Journal of Ballistics, 2004, 16(2): 51–55. DOI: 10.3969/j.issn.1004-499X.2004.02.012. [11] 李小笠, 赵国志, 李文彬, 等. 长杆体正撞击平面夹层装药引发爆轰的条件 [J]. 弹箭与制导学报, 2005, 25(3): 51–54. DOI: 10.3969/j.issn.1673-9728.2005.03.016.LI X L, ZHAO G Z, LI W B, et al. The initiation condition of long rod projectile impact sandwich explosive [J]. Journal of Projectiles, Rockets, Missiles and Guidance, 2005, 25(3): 51–54. DOI: 10.3969/j.issn.1673-9728.2005.03.016. [12] 李文彬, 赵国志, 王晓鸣, 等. 杆式侵彻体冲击起爆反应装甲影响因素研究 [J]. 南京理工大学学报(自然科学版), 2003, 27(3): 230–233. DOI: 10.14177/j.cnki.32-1397n.2003.03.002.LI W B, ZHAO G Z, WANG X M, et al. Study on effect factors of the impact initiation by rod penetrator into explosive reactive armor [J]. Journal of Nanjing University of Science and Technology, 2003, 27(3): 230–233. DOI: 10.14177/j.cnki.32-1397n.2003.03.002. [13] 马瑾, 卢暤, 张兵, 等. 穿甲弹对反舰导弹毁伤效应研究 [J]. 舰船科学技术, 2019, 41(12): 211–215. DOI: 10.3404/j.issn.1672-7649.2019.12.041.MA J, LU H, ZHANG B, et al. Research on the damage effects of AMDS on anti-ship missile [J]. Ship Science and Technology, 2019, 41(12): 211–215. DOI: 10.3404/j.issn.1672-7649.2019.12.041. [14] 陈浦, 汤文辉, 冉宪文. 弹芯尺寸对于反导穿甲弹引爆能力的影响 [J]. 弹箭与制导学报, 2014, 34(4): 101–106. DOI: 10.3969/j.issn.1673-9728.2014.04.027.CHEN P, TANG W H, RAN X W. Study on influence of core dimensions on initiation ability of anti-missile armor-piercing projectile [J]. Journal of Projectiles, Rockets, Missiles and Guidance, 2014, 34(4): 101–106. DOI: 10.3969/j.issn.1673-9728.2014.04.027. [15] 姜颖资, 王伟力, 傅磊, 等. 钨合金穿甲弹对超音速导弹战斗部冲击起爆研究 [J]. 弹箭与制导学报, 2014, 34(3): 102–105. DOI: 10.3969/j.issn.1673-9728.2014.03.026.JIANG Y Z, WANG W L, FU L, et al. Research on the impact initiation to supersonic missile by tungsten heavy alloy penetrator [J]. Journal of Projectiles, Rockets, Missiles and Guidance, 2014, 34(3): 102–105. DOI: 10.3969/j.issn.1673-9728.2014.03.026. [16] LEE E L, TARVER C M. Phenomenological model of shock initiation in heterogeneous explosives [J]. Physics of Fluids, 1980, 23(12): 2362. DOI: 10.1063/1.862940. [17] 方青, 卫玉章, 张克明, 等. 射弹倾斜撞击带盖板炸药引发爆轰的条件 [J]. 爆炸与冲击, 1997, 17(2): 153–158.FANG Q, WEI Y Z, ZHANG K M. On the projectile oblique-impact initiation conditions for explosive covered with a plate [J]. Explosion and Shock Waves, 1997, 17(2): 153–158. -


下载: