• ISSN 1001-1455  CN 51-1148/O3
  • EI、Scopus、CA、JST、EBSCO、DOAJ收录
  • 力学类中文核心期刊
  • 中国科技核心期刊、CSCD统计源期刊

爆炸加载下装配垫片对金属柱壳膨胀断裂影响研究

张世文 金山 陈艳 郭昭亮 但加坤 刘明涛 汤铁钢

张世文, 金山, 陈艳, 郭昭亮, 但加坤, 刘明涛, 汤铁钢. 爆炸加载下装配垫片对金属柱壳膨胀断裂影响研究[J]. 爆炸与冲击, 2022, 42(8): 083102. doi: 10.11883/bzycj-2021-0456
引用本文: 张世文, 金山, 陈艳, 郭昭亮, 但加坤, 刘明涛, 汤铁钢. 爆炸加载下装配垫片对金属柱壳膨胀断裂影响研究[J]. 爆炸与冲击, 2022, 42(8): 083102. doi: 10.11883/bzycj-2021-0456
ZHANG Shiwen, JIN Shan, CHEN Yan, GUO Zhaoliang, DAN Jiakun, LIU Mingtao, TANG Tiegang. Influence of a cushion on dynamic expansion and fracture of an explosively-driven metallic cylinder[J]. Explosion And Shock Waves, 2022, 42(8): 083102. doi: 10.11883/bzycj-2021-0456
Citation: ZHANG Shiwen, JIN Shan, CHEN Yan, GUO Zhaoliang, DAN Jiakun, LIU Mingtao, TANG Tiegang. Influence of a cushion on dynamic expansion and fracture of an explosively-driven metallic cylinder[J]. Explosion And Shock Waves, 2022, 42(8): 083102. doi: 10.11883/bzycj-2021-0456

爆炸加载下装配垫片对金属柱壳膨胀断裂影响研究

doi: 10.11883/bzycj-2021-0456
基金项目: 国家自然科学基金重点项目(11932018);国家自然科学基金面上项目(12072332)
详细信息
    作者简介:

    张世文(1971- ),男,博士,副研究员,zhangswxueshu@163.com

    通讯作者:

    金 山(1981- ),男,学士,高级工程师,jin9835@163.com

  • 中图分类号: O346.1

Influence of a cushion on dynamic expansion and fracture of an explosively-driven metallic cylinder

  • 摘要: 采用多普勒光纤探针测速技术(Doppler pins system,DPS,又称全光纤位移干涉测速技术)和高速摄影技术,研究装配垫片对金属柱壳膨胀断裂的影响,获得了有无垫片对应柱壳外表面位置的速度曲线和垫片对柱壳膨胀断裂影响明显的高速摄影图像。实验结果表明:与无垫片区域相比,垫片区域的柱壳外表面经历了先凸起后内凹的过程,导致垫片对应柱壳的径向运动位移发生反复错位,最终低于无垫片区域约0.34 mm,该位移差可能导致柱壳发生径向剪切断裂;实验结果还表明,在垫片与间隙交界处两侧(沿垫片方向约7.5°、沿间隙方向约9°)处各增加了一条裂纹,该断裂模式既不同于环向拉伸断裂,也不同于45°的剪切断裂,而是由垫片/间隙边界产生的两束稀疏应力波传到柱壳外表面引起的扰动影响所致,这个新的断裂模式与柱壳材料的动态力学性能密切相关。数值模拟结果表明,装配垫片对柱壳断裂机制影响不仅包含该处附加的质量效应,还应考虑炸药通过垫片后作用在柱壳上的冲击加载幅值变化、冲击加载时序与其他部位不同步的差异,以及垫片/间隙交界处引起的表面波传播对柱壳断裂模式的后续发展行为的影响。
  • 图  1  柱壳实验装置及测点布局

    Figure  1.  The cylindrical shell experimental device and its measuring point layout

    图  2  速度测量和高速摄影的现场布局

    Figure  2.  Field layout of velocity measurement and high-speed photography

    图  3  测点的速度曲线

    Figure  3.  Velocity curves of measuring points

    图  4  点起爆柱状炸药驱动柱壳运动的示意图

    Figure  4.  The diagram of cylindrical shell movement driven by point-initiated cylindrical explosive

    图  5  有无垫片时柱壳膨胀速度和位移差曲线

    Figure  5.  Expansion velocity and displacement difference curves of the cylindrical shell with or without a cushion

    图  6  垫片对柱壳膨胀断裂的影响

    Figure  6.  Influence of cushion on cylindrical shell expansion fracture

    图  7  垫片对柱壳膨胀断裂爆轰产物的影响

    Figure  7.  Influence of cushion on detonation products of cylindrical shell expansion fracture

    图  8  激光测速谱图

    Figure  8.  Original spectra of laser velocity measurement

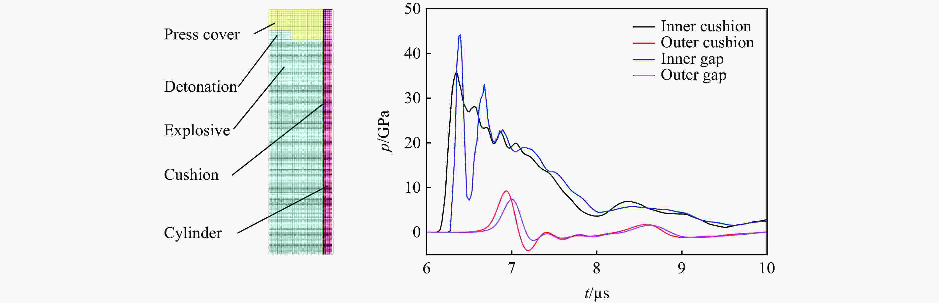
    图  9  轴对称计算模型和柱壳内外表面的冲击压力曲线

    Figure  9.  Axisymmetric calculation model and impact pressure curves on the inner and outer surfaces of the cylindrical shell

    图  10  平面应变计算模型、垫片变形和柱壳外表面速度曲线

    Figure  10.  Plane strain calculation model, cushion deformation and velocity curves of cylindrical shell outer surface

    图  11  垫片/间隙对应柱壳外表面速度曲线和环向表面波传播示意图

    Figure  11.  Velocity curves of the outer surface of cylindrical shell and cushion/gap and propagation of annular surface waves

  • [1] MOTT N F. Fragmentation of rings and shells: a theory of the fragmentation of shells and bombs [M]. Berlin, Germany: Springer Press, 2006: 243−294.
    [2] MOTT N F. Fragmentation of shell cases [J]. Proceedings of the Royal Society A: Mathematical, Physical and Engineering Sciences, 1947, 189(1018): 300–308. DOI: 10.1098/rspa.1947.0042.
    [3] GRADY D. Investigation of explosively driven fragmentation of metals: two-dimensional fracture and fragmentation of metal shells [R]. Livermore, USA: Lawrence Livermore National Laboratory, 2003.
    [4] GURNEY R W. The initial velocities of fragments from bombs, shells and grenades [R]. Aberdeen, UK: Ballistic Research Laboratory, 1943.
    [5] HIROE T, FUJIWARA K, HATA H, et al. Explosively driven expansion and fragmentation behavior for cylinders, spheres and rings of 304 stainless steel [J]. Materials Science Forum, 2010, 638: 1035–1040.
    [6] HIROE T, FUJIWARA K, HATA H, et al. Deformation and fragmentation behaviour of exploded metal cylinders and the effects of wall materials, configuration, explosive energy and initiated locations [J]. International Journal of Impact Engineering, 2008, 35(12): 1578–1586. DOI: 10.1016/j.ijimpeng.2008.07.002.
    [7] 禹富有, 董新龙, 俞鑫炉, 等. 不同填塞装药下金属柱壳断裂特性的实验研究 [J]. 兵工学报, 2019, 40(7): 1418–1424. DOI: 10.3969/j.issn.1000-1093.2019.07.011.

    YU F Y, DONG X L, YU X L, et al. Fracture characteristics of metal cylinder shells with different charges [J]. Acta Armamentarii, 2019, 40(7): 1418–1424. DOI: 10.3969/j.issn.1000-1093.2019.07.011.
    [8] 汤铁钢, 李庆忠, 孙学林, 等. 45钢柱壳膨胀断裂的应变率效应 [J]. 爆炸与冲击, 2006, 26(2): 129–133. DOI: 10.11883/1001-1455(2006)02-0129-05.

    TANG T G, LI Q Z, SUN X L, et al. Strain-rate effects of expanding fracture of 45 steel cylinder shells driven by detonation [J]. Explosion and Shock Waves, 2006, 26(2): 129–133. DOI: 10.11883/1001-1455(2006)02-0129-05.
    [9] 胡八一, 董庆东, 韩长生, 等. TC4钛合金自然破片的引燃机理分析 [J]. 爆炸与冲击, 1995, 15(3): 254–258.

    HU B Y, DONG Q D, HAN C S, et al. Analysis of the firing mechanics for TI-6AL-4V natural fragments [J]. Explosion and Shock Waves, 1995, 15(3): 254–258.
    [10] 沈飞, 王辉, 屈可朋, 等. 不同晶粒度无氧铜管在爆轰加载下的膨胀及断裂特性 [J]. 爆炸与冲击, 2020, 40(2): 022201. DOI: 10.11883/bzycj-2019-0063.

    SHEN F, WANG H, QU K P, et al. Expansion and fracture characteristics of oxygen-free copper tubes with different grain sizes under detonation loading [J]. Explosion and Shock Waves, 2020, 40(2): 022201. DOI: 10.11883/bzycj-2019-0063.
    [11] 汤铁钢, 谷岩, 李庆忠, 等. 爆轰加载下金属柱壳膨胀破裂过程研究 [J]. 爆炸与冲击, 2003, 23(6): 529–533.

    TANG T G, GU Y, LI Q Z, et al. Expanding fracture of steel cylinder shell by detonation driving [J]. Explosion and Shock Waves, 2003, 23(6): 529–533.
    [12] 胡海波, 汤铁钢, 胡八一, 等. 金属柱壳在爆炸加载断裂中的单旋现象 [J]. 爆炸与冲击, 2004, 24(2): 97–107.

    HU H B, TANG T G, HU B Y, et al. A study of uniform shear bands orientation selection tendency on explosively loaded cylindrical shells [J]. Explosion and Shock Waves, 2004, 24(2): 97–107.
    [13] 金山, 张世文, 龙建华. 缺陷对圆管膨胀断裂影响的实验研究 [J]. 高压物理学报, 2011, 25(2): 188–192. DOI: 10.11858/gywlxb.2011.02.017.

    JIN S, ZHANG S W, LONG J H. Experimental study on the influences of defects on expanding fracture of a metal cylinder [J]. Chinese Journal of High Pressure Physics, 2011, 25(2): 188–192. DOI: 10.11858/gywlxb.2011.02.017.
    [14] LIU M T, GUO Z L, FAN C, et al. Modeling spontaneous shear bands evolution in thick-walled cylinders subjected to external high-strain-rate loading [J]. International Journal of Solids and Structures, 2016, 97: 336–354. DOI: 10.1016/j.ijsolstr.2016.07.014.
    [15] 李涛, 刘明涛, 王晓燕, 等. 装配垫层与间隙对爆轰加载下金属飞片运动特征的影响 [J]. 高压物理学报, 2018, 32(4): 044202. DOI: 10.11858/gywlxb.20170576.

    LI T, LIU M T, WANG X Y, et al. Effects of explosive device with foam cushion and air clearance on kinetic characteristic of steel flyer under detonation loading [J]. Chinese Journal of High Pressure Physics, 2018, 32(4): 044202. DOI: 10.11858/gywlxb.20170576.
  • 加载中
图(11)
计量
  • 文章访问数:  705
  • HTML全文浏览量:  215
  • PDF下载量:  102
  • 被引次数: 0
出版历程
  • 收稿日期:  2021-11-04
  • 修回日期:  2022-03-15
  • 网络出版日期:  2022-03-29
  • 刊出日期:  2022-09-09

目录

    /

    返回文章
    返回