• ISSN 1001-1455  CN 51-1148/O3
  • EI、Scopus、CA、JST、EBSCO、DOAJ收录
  • 力学类中文核心期刊
  • 中国科技核心期刊、CSCD统计源期刊

冲击载荷作用下黑砂岩动态断裂参数的分形修正

张人凡 朱哲明 王飞 周磊 王蒙 江源峰

张人凡, 朱哲明, 王飞, 周磊, 王蒙, 江源峰. 冲击载荷作用下黑砂岩动态断裂参数的分形修正[J]. 爆炸与冲击, 2022, 42(7): 073101. doi: 10.11883/bzycj-2022-0051
引用本文: 张人凡, 朱哲明, 王飞, 周磊, 王蒙, 江源峰. 冲击载荷作用下黑砂岩动态断裂参数的分形修正[J]. 爆炸与冲击, 2022, 42(7): 073101. doi: 10.11883/bzycj-2022-0051
ZHANG Renfan, ZHU Zheming, WANG Fei, ZHOU Lei, WANG Meng, JIANG Yuanfeng. Fractal correction of dynamic fracture parameters of black sandstone under impact loads[J]. Explosion And Shock Waves, 2022, 42(7): 073101. doi: 10.11883/bzycj-2022-0051
Citation: ZHANG Renfan, ZHU Zheming, WANG Fei, ZHOU Lei, WANG Meng, JIANG Yuanfeng. Fractal correction of dynamic fracture parameters of black sandstone under impact loads[J]. Explosion And Shock Waves, 2022, 42(7): 073101. doi: 10.11883/bzycj-2022-0051

冲击载荷作用下黑砂岩动态断裂参数的分形修正

doi: 10.11883/bzycj-2022-0051
基金项目: 国家自然科学基金(U19A2098);中央高校基本科研业务费专项资金(2021SCU12130);四川省科技计划(2021YJ0511);工程材料与结构冲击振动四川省重点实验室开放基金(20kfgk01)
详细信息
    作者简介:

    张人凡(1996- ),男,硕士,zhangrenfan1996@163.com

    通讯作者:

    周 磊(1990- ),男,博士,助理研究员,zhouleittkx@126.com

  • 中图分类号: O382

Fractal correction of dynamic fracture parameters of black sandstone under impact loads

  • 摘要: 基于分形理论研究了偏折裂纹扩展路径对动载荷作用下黑砂岩的动态断裂力学参数的测试误差影响作用,采用传统的分离式霍普金森压杆(split Hopkinson pressure bar, SHPB)实验装置对修正侧开单裂纹半孔板(improved single cleavage semi-circle specimen, ISCSC)试样进行动态冲击实验,随后采用裂纹扩展计进行裂纹起裂时间与裂纹扩展速度等动态断裂力学参数测试,采用分形理论对测试的裂纹扩展速度与动态应力强度因子进行修正,利用实验-数值法对黑砂岩的动态断裂韧度进行计算。研究结果表明,ISCSC构型构件能够有效应用于岩石材料动态裂纹扩展行为的研究,并发生了止裂现象,经分形修正的裂纹扩展速度与动态断裂韧度更接近实际裂纹动态扩展情况,修正前后得到黑砂岩材料的裂纹扩展速度误差为33.51%,动态断裂韧度最大误差为7.68%,说明利用分形理论对动态断裂韧度等动态断裂参数计算更合理。
  • 图  1  ISCSC试件和SHPB实验装置

    Figure  1.  An ISCSC specimen and an SHPB device

    图  2  裂纹扩展计

    Figure  2.  A crack propagation gauge

    图  3  实验应力波加载曲线

    Figure  3.  Experimental stress wave curves

    图  4  试件裂纹扩展路径

    Figure  4.  Crack propagation trajectories of black sandstone ISCSC specimens

    图  5  试件1中裂纹起裂、扩展、止裂阶段的应力波状态

    Figure  5.  Stress wave states during crack initiation, propagation and crack arrest in the specimen 1

    图  6  CPG 电压信号和裂纹扩展速度

    Figure  6.  CPG voltage signals and crack propagation speed

    图  7  分形原理关于自相似性说明

    Figure  7.  Fractal principle about self-similarity

    图  8  分形盒码法

    Figure  8.  The fractal box dimension method

    图  9  裂纹路径示意图

    Figure  9.  Sketch map of crack path

    图  10  分形维数确定方法

    Figure  10.  Determination of fractal dimension

    图  11  裂纹扩展速度分形修正前后的比较

    Figure  11.  Comparison of crack propagation speeds before and after fractal correction

    图  12  有限单元法模型示意图及位移外推法

    Figure  12.  Finite element method model and displacement extrapolation method

    图  13  裂尖静态应力强度因子

    Figure  13.  Static stress intensity factor at crack tip

    图  14  裂纹动态应力强度因子随裂纹扩展位移的变化

    Figure  14.  Crack dynamic stress intensity factors varied with displacement of propagation crack

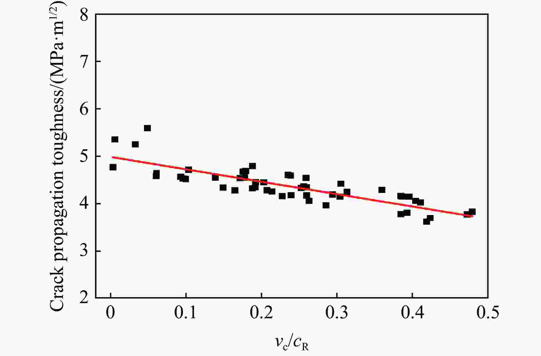
    图  15  修正动态扩展韧度随vc/cR的变化

    Figure  15.  Variation of corrected crack propagation toughness with vc/cR

    表  1  分形修正前后的裂纹扩展速度和动态扩展韧度

    Table  1.   Crack propagation speeds and dynamic crack propagation toughnesses before and after fractal correction

    样品v0/(m·s−1)vc/(m·s−1)ev/%$ K_{\text{I}}^{\text{d}} $/(MPa·m1/2)$ {K_{{\text{I,c}}}^{\text{d}}} $/(MPa·m1/2)eK/%
    1723.56781.25 7.973.9563.7604.94
    476.19518.27 8.844.3554.2362.72
    400.00502.4025.604.4124.1376.22
    357.14388.54 8.794.6814.5971.81
    400.00423.04 5.764.4204.3591.38
    294.12310.91 5.714.8284.7830.91
    238.10296.0624.354.8274.6813.03
    434.78504.6816.084.6134.4124.37
    555.56638.6514.964.3994.1405.89
    357.14394.3910.434.6814.5812.15
    312.50376.0720.344.2964.1443.54
    263.16317.0420.474.4624.3342.87
    322.58335.76 4.094.4734.4400.73
    212.77246.4115.814.4034.3271.71
    128.21158.5723.684.5894.5231.45
    400.00429.20 7.304.4124.3351.75
    200.00229.6714.834.6104.5411.50
    555.56594.27 6.974.3994.2792.72
    384.62486.3226.444.4524.1816.09
    344.83434.5526.024.2674.0465.17
    151.52164.63 8.664.5384.5100.63
    50.25 53.93 7.335.2585.2420.30
    2625.00653.59 4.574.2304.1382.16
    588.24668.1413.584.2984.0465.86
    370.37428.2015.614.7944.5325.48
    588.24692.5017.723.9073.6067.68
    400.00471.7817.954.1323.9534.34
    285.71317.4311.104.5214.4431.72
    555.56635.5414.404.3994.1505.66
    250.00283.3713.354.6074.5271.75
    76.92100.5430.714.9174.6345.76
    2370.37417.4712.724.4444.3222.76
    123.46153.5424.374.6244.5581.43
    370.37429.5115.974.3124.1623.47
    625.00678.86 8.624.1834.0124.10
    714.29792.1810.914.0873.8166.62
    232.56310.4933.514.4924.3094.07
    625.00700.1212.023.9103.6855.74
    588.24635.83 8.093.8993.7643.47
    256.41290.2713.214.7524.6671.79
    555.56649.1716.854.0663.7956.64
    322.58353.43 9.564.3214.2461.73
    263.16293.7711.634.6204.5451.63
    217.39272.1125.174.3934.2692.81
    333.33395.5218.654.3194.1673.53
    156.25170.84 9.344.7404.7060.71
    312.50342.41 9.574.3454.2731.66
    86.96100.0938.114.6594.5741.82
    65.79 80.4737.515.6375.5840.93
    8.73 9.60 9.945.3465.3440.05
    4.98 5.40 8.464.7624.7610.02
    下载: 导出CSV
  • [1] GÓMEZ F J, ELICES M, BERTO F, et al. Local strain energy to assess the static failure of U-notches in plates under mixed mode loading [J]. International Journal of Fracture, 2007, 145(1): 29–45. DOI: 10.1007/s10704-007-9104-3.
    [2] COOK N G W. Natural joints in rock: mechanical, hydraulic and seismic behaviour and properties under normal stress [J]. International Journal of Rock Mechanics and Mining Sciences & Geomechanics Abstracts, 1992, 29(3): 198–223. DOI: 10.1016/0148-9062(92)93656-5.
    [3] SOH A K, YANG C H. Numerical modeling of interactions between a macro-crack and a cluster of micro-defects [J]. Engineering Fracture Mechanics, 2004, 71(2): 193–217. DOI: 10.1016/S0013-7944(03)00097-3.
    [4] MISHURIS G, MOVCHAN A, MOVCHAN N, et al. Interaction of an interfacial crack with linear small defects under out-of-plane shear loading [J]. Computational Materials Science, 2012, 52(1): 226–230. DOI: 10.1016/j.commatsci.2011.01.023.
    [5] 董玉清, 朱哲明, 王蒙, 等. 中低速冲击载荷作用下SCT岩石试样Ⅰ型裂纹的动态扩展行为 [J]. 中南大学学报(自然科学版), 2018, 49(11): 2821–2830. DOI: 10.11817/j.issn.1672-7207.2018.11.024.

    DONG Y Q, ZHU Z M, WANG M, et al. Mode Ⅰ crack dynamic propagation behavior of SCT specimens under medium-low speed impact load [J]. Journal of Central South University (Science and Technology), 2018, 49(11): 2821–2830. DOI: 10.11817/j.issn.1672-7207.2018.11.024.
    [6] 周磊, 朱哲明, 董玉清, 等. 冲击加载下巷道内裂纹的扩展特性及破坏行为 [J]. 爆炸与冲击, 2018, 38(4): 785–794. DOI: 10.11883/bzycj-2016-0383.

    ZHOU L, ZHU Z M, DONG Y Q, et al. Propagation characteristics and failure behaviors of crack in tunnel under impact loads [J]. Explosion and Shock Waves, 2018, 38(4): 785–794. DOI: 10.11883/bzycj-2016-0383.
    [7] WANG F, WANG M, NEZHAD M M, et al. Rock dynamic crack propagation under different loading rates using improved single cleavage semi-circle specimen [J]. Applied Sciences, 2019, 9(22): 4944. DOI: 10.3390/APP9224944.
    [8] THEOCARIS P S, MILIOS J. Crack arrest modes of a transverse crack going through a longitudinal crack or a hole [J]. Journal of Engineering Materials and Technology, 1981, 103(2): 177–182. DOI: 10.1115/1.3224991.
    [9] MILIOS J, SPATHIS G. Dynamic interaction of a propagating crack with a hole boundary [J]. Acta Mechanica, 1988, 72(3/4): 283–295. DOI: 10.1007/BF01178314.
    [10] MURDANI A, MAKABE C, SAIMOTO A, et al. A crack-growth arresting technique in aluminum alloy [J]. Engineering Failure Analysis, 2008, 15(4): 302–310. DOI: 10.1016/j.engfailanal.2007.02.005.
    [11] AYATOLLAHI M R, RAZAVI S M J, YAHYA M Y. Mixed mode fatigue crack initiation and growth in a CT specimen repaired by stop hole technique [J]. Engineering Fracture Mechanics, 2015, 145: 115–127. DOI: 10.1016/j.engfracmech.2015.03.027.
    [12] CHEN N Z. A stop-hole method for marine and offshore structures [J]. International Journal of Fatigue, 2016, 88: 49–57. DOI: 10.1016/j.ijfatigue.2016.03.010.
    [13] WANG Y B, YANG R S, ZHAO G F. Influence of empty hole on crack running in PMMA plate under dynamic loading [J]. Polymer Testing, 2017, 58: 70–85. DOI: 10.1016/j.polymertesting.2016.11.020.
    [14] WANG M, WANG F, ZHU Z M, et al. Modelling of crack propagation in rocks under SHPB impacts using a damage method [J]. Fatigue and Fracture of Engineering Materials and Structures, 2019, 42(8): 1699–1710. DOI: 10.1111/ffe.13012.
    [15] 王飞, 王蒙, 朱哲明, 等. 冲击荷载下岩石裂纹动态扩展全过程演化规律研究 [J]. 岩石力学与工程学报, 2019, 38(6): 1139–1148. DOI: 10.13722/j.cnki.jrme.2018.1172.

    WANG F, WANG M, ZHU Z M, et al. Study on evolution law of rock crack dynamic propagation in complete process under impact loading [J]. Chinese Journal of Rock Mechanics and Engineering, 2019, 38(6): 1139–1148. DOI: 10.13722/j.cnki.jrme.2018.1172.
    [16] FUNATSU T, KURUPPU M, MATSUI K. Effects of temperature and confining pressure on mixed-mode (Ⅰ-Ⅱ) and mode Ⅱ fracture toughness of Kimachi sandstone [J]. International Journal of Rock Mechanics and Mining Sciences, 2014, 67: 1–8. DOI: 10.1016/j.ijrmms.2013.12.009.
    [17] 周磊, 朱哲明, 董玉清, 等. 动态加载率对巷道内裂纹扩展速度及动态起裂韧度的影响 [J]. 振动与冲击, 2019, 38(4): 129–136. DOI: 10.13465/j.cnki.jvs.2019.04.021.

    ZHOU L, ZHU Z M, DONG Y Q, et al. Effect of dynamic loading rate on crack propagation velocity and dynamic fracture toughness in tunnels [J]. Journal of Vibration and Shock, 2019, 38(4): 129–136. DOI: 10.13465/j.cnki.jvs.2019.04.021.
    [18] ZHANG Q B, ZHAO J. Determination of mechanical properties and full-field strain measurements of rock material under dynamic loads [J]. International Journal of Rock Mechanics and Mining Sciences, 2013, 60: 423–439. DOI: 10.1016/j.ijrmms.2013.01.005.
    [19] JIANG F C, VECCHIO K S. Hopkinson bar loaded fracture experimental technique: a critical review of dynamic fracture toughness tests [J]. Applied Mechanics Reviews, 2009, 62(6): 060802. DOI: 10.1115/1.3124647.
    [20] WANG Q Z, FENG F, NI M, et al. Measurement of mode Ⅰ and mode Ⅱ rock dynamic fracture toughness with cracked straight through flattened Brazilian disc impacted by split Hopkinson pressure bar [J]. Engineering Fracture Mechanics, 2011, 78(12): 2455–2469. DOI: 10.1016/j.engfracmech.2011.06.004.
    [21] AVACHAT S, ZHOU M. High-speed digital imaging and computational modeling of dynamic failure in composite structures subjected to underwater impulsive loads [J]. International Journal of Impact Engineering, 2015, 77: 147–165. DOI: 10.1016/j.ijimpeng.2014.11.008.
    [22] LEE D, TIPPUR H, BOGERT P. Dynamic fracture of graphite/epoxy composites stiffened by buffer strips: an experimental study [J]. Composite Structures, 2012, 94(12): 3538–3545. DOI: 10.1016/j.compstruct.2012.05.032.
    [23] MANDELBROT B B. The fractal geometry of nature [M]. New York, USA: W. H. Freeman and Company, 1982.
    [24] THEOCARIS P S, SAKELLARIOU M. A correction model for the incompatible deformations of the shear internal crack [J]. Engineering Fracture Mechanics, 1991, 38(4/5): 231–240. DOI: 10.1016/0013-7944(91)90001-H.
    [25] NAGAHAMA H. Fractal scalings of rock fragmentation [J]. Earth Science Frontiers, 2000, 7(1): 169–177. DOI: 10.3321/j.issn:1005-2321.2000.01.016.
    [26] 谢和平. 动态裂纹扩展中的分形效应 [J]. 力学学报, 1995, 27(1): 18–27. DOI: 10.6052/0459-1879-1995-1-1995-401.

    XIE H P. Fractal effects of dynamic crack propagation [J]. Acta Mechanica Sinica, 1995, 27(1): 18–27. DOI: 10.6052/0459-1879-1995-1-1995-401.
    [27] 谢和平. 脆性材料裂纹扩展的分形运动学 [J]. 力学学报, 1994, 26(6): 757–762. DOI: 10.6052/0459-1879-1994-6-1995-606.

    XIE H P. Fractal kinematics of crack propagation in brittle materials [J]. Acta Mechanica Sinica, 1994, 26(6): 757–762. DOI: 10.6052/0459-1879-1994-6-1995-606.
    [28] 谢和平. 分形-岩石力学导论 [M]. 北京: 科学出版社, 1996: 168−261.
    [29] 程靳, 赵树山. 断裂力学 [M]. 北京: 科学出版社, 2006: 9−55.
    [30] FREUND L B. Dynamic fracture mechanics [M]. Cambridge, UK: Cambridge University Press, 1990.
    [31] ROSE L R F. Recent theoretical and experimental results on fast brittle fracture [J]. International Journal of Fracture, 1976, 12(6): 799–813. DOI: 10.1007/BF00034620.
    [32] RAVI-CHANDAR K, KNAUSS W G. An experimental investigation into dynamic fracture: I. crack initiation and arrest [J]. International Journal of Fracture, 1984, 25: 247–262.10. DOI: 10.1007/BF00963460.
  • 加载中
图(15) / 表(1)
计量
  • 文章访问数:  799
  • HTML全文浏览量:  261
  • PDF下载量:  108
  • 被引次数: 0
出版历程
  • 收稿日期:  2022-02-11
  • 修回日期:  2022-04-15
  • 网络出版日期:  2022-05-06
  • 刊出日期:  2022-07-25

目录

    /

    返回文章
    返回