2021 Vol. 41, No. 4
Display Method:
2021, 41(4): 041401.
doi: 10.11883/bzycj-2020-0342
Abstract:
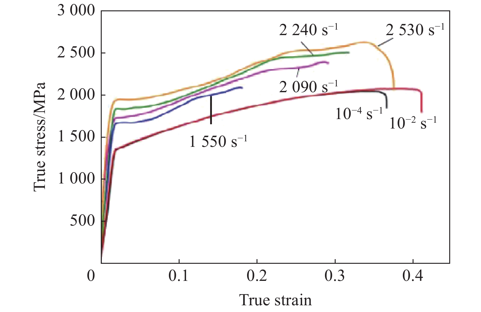
The strain rate during the process of high speed impact surface treatments has a significant effect on the mechanical properties as well as the microstructures of metallic materials. In this paper, the effects of strain rate during the process of high speed impact surface treatments on the variation of both strength and ductility of metallic materials are reviewed from macroscopic and microscopic prospective based on the current research achievements. The emphases are concentrated on the microstructural evolution under various strain rates, including grain structures, adiabatic shear bands, phases, dislocation structures, precipitates and deformation twins. At relatively low strain rates, grains tend to be elongated with respect to the loading direction, and they may be refined when the strain increases to a certain extent. In comparison, with the increment of strain rates, the free path of dislocation motion is remarkably reduced so that grains can be further refined to consume the impact energy and dislocations are multiplied significantly. However, the relatively high strain rates may also bring about adiabatic temperature rise and frictional heat, which may give rise to dynamic recovery and recrystallization in some materials so that the dislocation density would in turn be reduced. Moreover, precipitates can be formed and they may interact with dislocations owing to the combined effects of high strain rates and temperature rise. When the strain rates increase to the extremely high level, the movement of dislocations may be inhibited and deformation twins can be triggered to coordinate the deformation. As a result, the strain rate effects are complicated phenomena which comprehensively affect the microstructural strengthening and softening effects. Based on these, the influences of both microstructural evolution and the transition of microscopic deformation mechanisms with strain rates on the enhancement and deterioration of mechanical properties are analyzed. Finally, the characteristics of deformation mechanisms of the gradient microstructures derived from high velocity impact surface treatments are concluded. Furthermore, a comprehensive model embodying the influences of different microstructures is proposed, which can provide a foundation for the further researches of strain rate effects.
The strain rate during the process of high speed impact surface treatments has a significant effect on the mechanical properties as well as the microstructures of metallic materials. In this paper, the effects of strain rate during the process of high speed impact surface treatments on the variation of both strength and ductility of metallic materials are reviewed from macroscopic and microscopic prospective based on the current research achievements. The emphases are concentrated on the microstructural evolution under various strain rates, including grain structures, adiabatic shear bands, phases, dislocation structures, precipitates and deformation twins. At relatively low strain rates, grains tend to be elongated with respect to the loading direction, and they may be refined when the strain increases to a certain extent. In comparison, with the increment of strain rates, the free path of dislocation motion is remarkably reduced so that grains can be further refined to consume the impact energy and dislocations are multiplied significantly. However, the relatively high strain rates may also bring about adiabatic temperature rise and frictional heat, which may give rise to dynamic recovery and recrystallization in some materials so that the dislocation density would in turn be reduced. Moreover, precipitates can be formed and they may interact with dislocations owing to the combined effects of high strain rates and temperature rise. When the strain rates increase to the extremely high level, the movement of dislocations may be inhibited and deformation twins can be triggered to coordinate the deformation. As a result, the strain rate effects are complicated phenomena which comprehensively affect the microstructural strengthening and softening effects. Based on these, the influences of both microstructural evolution and the transition of microscopic deformation mechanisms with strain rates on the enhancement and deterioration of mechanical properties are analyzed. Finally, the characteristics of deformation mechanisms of the gradient microstructures derived from high velocity impact surface treatments are concluded. Furthermore, a comprehensive model embodying the influences of different microstructures is proposed, which can provide a foundation for the further researches of strain rate effects.
2021, 41(4): 041402.
doi: 10.11883/bzycj-2020-0414
Abstract:
As a kind of multi-principal component alloy, high-entropy alloy breaks through the design idea of traditional single-principal component alloys, and shows excellent properties different from traditional alloy. It has a good application prospect in extreme environments including high temperature, high pressure and high strain rate. Analyzing the impact deformation characteristics of high entropy alloy from micro, meso and macro scale is of great importance for its engineering application, which includes the influences of the element effect, macrostructure and high temperature and high strain rate conditions on the impact damage evolution, microstructure change and impact deformation evolution process of high entropy alloys. In terms of the effect of elements on the mechanical properties of high entropy alloys, the effect of the great difference between the atomic radius of metal and nonmetal elements on the impact deformation is mainly discussed. According to the micro scale structure, the high entropy microstructure of single-phase alloy can be divided into face centered cubic (FCC) structure with better plasticity and body centered cubic (BCC) and hexagonal close-packed (HCP) structure with higher strength. The microstructure of multiphase high entropy alloy is the combination of these three single-phase structures and other phases. The cooperative deformation of multiphase high entropy alloy ensures it to obtain more excellent comprehensive mechanical properties. High temperature and high strain rate as external conditions exhibit similar effect on the high-entropy alloy and other metals. High temperature promotes material softening, while the high strain rate promotes material hardening. Some high entropy alloys have better mechanical properties at high temperature. According to the impact characteristics of high-entropy alloy, the applications of high-entropy alloy in the field of national defense engineering impact are summarized. The existing problems in the research of impact deformation behavior of high-entropy alloy are analyzed, and the applications of high-entropy alloy in extreme conditions are prospected.
As a kind of multi-principal component alloy, high-entropy alloy breaks through the design idea of traditional single-principal component alloys, and shows excellent properties different from traditional alloy. It has a good application prospect in extreme environments including high temperature, high pressure and high strain rate. Analyzing the impact deformation characteristics of high entropy alloy from micro, meso and macro scale is of great importance for its engineering application, which includes the influences of the element effect, macrostructure and high temperature and high strain rate conditions on the impact damage evolution, microstructure change and impact deformation evolution process of high entropy alloys. In terms of the effect of elements on the mechanical properties of high entropy alloys, the effect of the great difference between the atomic radius of metal and nonmetal elements on the impact deformation is mainly discussed. According to the micro scale structure, the high entropy microstructure of single-phase alloy can be divided into face centered cubic (FCC) structure with better plasticity and body centered cubic (BCC) and hexagonal close-packed (HCP) structure with higher strength. The microstructure of multiphase high entropy alloy is the combination of these three single-phase structures and other phases. The cooperative deformation of multiphase high entropy alloy ensures it to obtain more excellent comprehensive mechanical properties. High temperature and high strain rate as external conditions exhibit similar effect on the high-entropy alloy and other metals. High temperature promotes material softening, while the high strain rate promotes material hardening. Some high entropy alloys have better mechanical properties at high temperature. According to the impact characteristics of high-entropy alloy, the applications of high-entropy alloy in the field of national defense engineering impact are summarized. The existing problems in the research of impact deformation behavior of high-entropy alloy are analyzed, and the applications of high-entropy alloy in extreme conditions are prospected.
2021, 41(4): 041403.
doi: 10.11883/bzycj-2020-0369
Abstract:
The Brazilian disk (BD) test is one of the testing methods suggested by the International Society for Rock Mechanics and Rock Engineering (ISRM) for determining the static tensile strength of rocks. Meanwhile, it is also the only method suggested by ISRM to determine the dynamic tensile strength of rock materials. However, it is worth noting that both static and dynamic tensile strengths of rocks tend to be overestimated using the BD specimen. This can be partially attributed to the overload phenomenon, which is particularly pronounced in dynamic BD tests. In this manuscript, the physical interpretation of the load used in BD test is revised based on the Griffith criterion. To systemically investigate the mechanism and the loading rate dependence of the overload phenomenon for rock materials, the dynamic BD tests under different loading rates were conducted using split Hopkinson pressure bar (SHPB) system. A strain gauge was attached 5 mm off the disk center to detect the failure onset. Then the transmitted wave signal was recorded and processed according to the distance of wave propagation on the transmitted bar and the specimen. The so-called nominal tensile strength and the real tensile strength were obtained through analyzing. The overload phenomenon was then quantitatively evaluated using the pre-defined overload ratio. Additionally, numerical simulations were carried out through the particle flow code (PFC) to observe the failure processes of the disk specimens in microscale. The loading rate dependency was introduced to revise the micro parameters to get a better simulation result. The overload phenomenon and the overload ratio were observed and calculated. The results show that: (1) the overload phenomenon of tensile strength can be obviously observed in the dynamic BD tests, and the overload ratio of the tensile strength logarithmically increases with the loading rate. (2) The overload phenomenon inspected by numerical simulation agrees well with the experimental observation. These results have demonstrated that the overload phenomenon does exist in dynamic BD tests. Its intrinsic mechanism is related to the geometry of specimen and the principle of the testing method based on the experimental and numerical tests. The overload ratio can reach 40% under a high loading rate. It is thus necessary to correct the result from the dynamic BD test to determine the real dynamic tensile strength using the method proposed in this work.
The Brazilian disk (BD) test is one of the testing methods suggested by the International Society for Rock Mechanics and Rock Engineering (ISRM) for determining the static tensile strength of rocks. Meanwhile, it is also the only method suggested by ISRM to determine the dynamic tensile strength of rock materials. However, it is worth noting that both static and dynamic tensile strengths of rocks tend to be overestimated using the BD specimen. This can be partially attributed to the overload phenomenon, which is particularly pronounced in dynamic BD tests. In this manuscript, the physical interpretation of the load used in BD test is revised based on the Griffith criterion. To systemically investigate the mechanism and the loading rate dependence of the overload phenomenon for rock materials, the dynamic BD tests under different loading rates were conducted using split Hopkinson pressure bar (SHPB) system. A strain gauge was attached 5 mm off the disk center to detect the failure onset. Then the transmitted wave signal was recorded and processed according to the distance of wave propagation on the transmitted bar and the specimen. The so-called nominal tensile strength and the real tensile strength were obtained through analyzing. The overload phenomenon was then quantitatively evaluated using the pre-defined overload ratio. Additionally, numerical simulations were carried out through the particle flow code (PFC) to observe the failure processes of the disk specimens in microscale. The loading rate dependency was introduced to revise the micro parameters to get a better simulation result. The overload phenomenon and the overload ratio were observed and calculated. The results show that: (1) the overload phenomenon of tensile strength can be obviously observed in the dynamic BD tests, and the overload ratio of the tensile strength logarithmically increases with the loading rate. (2) The overload phenomenon inspected by numerical simulation agrees well with the experimental observation. These results have demonstrated that the overload phenomenon does exist in dynamic BD tests. Its intrinsic mechanism is related to the geometry of specimen and the principle of the testing method based on the experimental and numerical tests. The overload ratio can reach 40% under a high loading rate. It is thus necessary to correct the result from the dynamic BD test to determine the real dynamic tensile strength using the method proposed in this work.
2021, 41(4): 041404.
doi: 10.11883/bzycj-2020-0357
Abstract:
When an aircraft flies over the cloud at high speed, the front surface will be eroded by raindrops. In this paper, a single waterjet impact test platform was established based on the first-stage light gas gun in order to conduct the rain erosion tests on materials. Its principle was that the gas gun launches a metallic projectile to impact the water storage chamber sealed by the rubber piston, and then the liquid was driven from the small nozzle to form a high-speed waterjet. The apparatus could generate stable waterjets with speeds of 200−600 m/s, diameters of 4−7 mm and a smooth circular-arc head, which simulated a waterdrop with the same diameter. A series of single waterjet impact tests were carried out on a symmetrically cross-ply carbon-fiber-reinforced composite (CFRP) laminate under different waterjet velocities and diameters. The results show that the typical damage modes of CFRP laminates impacted by single waterjets are as follows. The impacted surface is depressed, and the surface damage consists of resin removal, matrix cracking, minor fiber fracture and fiber exposure around the rim of a central undamaged region. The internal damage range gradually expands from the impact surface to the bottom ply, mainly composed of intralaminar matrix cracking with a pyramid shape and interlaminar delamination with a diamond shape. Both the surface and internal damage are more extensive in the longitudinal than the transversal direction, thus presenting typical anisotropy due to the anisotropic elastic and strength properties of CFRP materials. With the increase of waterjet velocity and diameter, both the surface annular damage and internal damage expand outwards, and the damage areas also increase correspondingly. Compression and release waves of water hammer pressure, shear stress of lateral jetting and interaction of stress waves are the main mechanisms leading to damage and failure of composites impacted by waterjets. The area of the undamaged center of the surface can be predicted by multiplying the contact boundary diameter of the water hammer pressure by a dimensionless damage function.
When an aircraft flies over the cloud at high speed, the front surface will be eroded by raindrops. In this paper, a single waterjet impact test platform was established based on the first-stage light gas gun in order to conduct the rain erosion tests on materials. Its principle was that the gas gun launches a metallic projectile to impact the water storage chamber sealed by the rubber piston, and then the liquid was driven from the small nozzle to form a high-speed waterjet. The apparatus could generate stable waterjets with speeds of 200−600 m/s, diameters of 4−7 mm and a smooth circular-arc head, which simulated a waterdrop with the same diameter. A series of single waterjet impact tests were carried out on a symmetrically cross-ply carbon-fiber-reinforced composite (CFRP) laminate under different waterjet velocities and diameters. The results show that the typical damage modes of CFRP laminates impacted by single waterjets are as follows. The impacted surface is depressed, and the surface damage consists of resin removal, matrix cracking, minor fiber fracture and fiber exposure around the rim of a central undamaged region. The internal damage range gradually expands from the impact surface to the bottom ply, mainly composed of intralaminar matrix cracking with a pyramid shape and interlaminar delamination with a diamond shape. Both the surface and internal damage are more extensive in the longitudinal than the transversal direction, thus presenting typical anisotropy due to the anisotropic elastic and strength properties of CFRP materials. With the increase of waterjet velocity and diameter, both the surface annular damage and internal damage expand outwards, and the damage areas also increase correspondingly. Compression and release waves of water hammer pressure, shear stress of lateral jetting and interaction of stress waves are the main mechanisms leading to damage and failure of composites impacted by waterjets. The area of the undamaged center of the surface can be predicted by multiplying the contact boundary diameter of the water hammer pressure by a dimensionless damage function.
2021, 41(4): 041405.
doi: 10.11883/bzycj-2020-0391
Abstract:
In order to generate a ramp wave loading, a generalized wave impedance gradient (GWIG) flyer was designed by a solid disc as a base for arrays of cone spikes, termed the “bed of nails” flyer. The “bed of nails” flyer was fabricated by Selective Laser Metaling additive manufacturing. Using a single-stage light-gas gun and a displacement interferometer system for any reflector (DISAR), a series of plate impact and spallation experiments using “bed of nails” flyer impact were performed. The effects of the height of cone and impact velocity on the ramp wave loading profiles and the effects of ramp wave loading on spallation characteristics of stainless-steel target were discussed. The experimental results show that: (1) From the free surface velocity profiles measured by DISAR, it is observed that the rising edge time of the compression wave is significantly prolonged, and the ramp wave loading is formed, which is obviously different from the steep wave front of the usual shock compression; (2) When the impact velocity of the flyer is approximately constant, both the rising edge time and the peak velocity of the ramp wave loading obviously depend on the cone height of the“bed of nails” flyer, with the increase of the height of the small cone, the rising edge time increases linearly, while the peak velocity decreases linearly; (3) When the geometric size of the “bed of nails” flyer remains unchanged, with the increase of the flyer’s velocity, the rising edge time of the ramp wave loading decreases linearly, while the peak velocity increases linearly; (4) Comparing with shock wave loading, the ramp wave loading generated by the “bed of nails” flyer has no obvious effect on the spallation strength of the stainless-steel, but has an influence on the damage evolution rate.
In order to generate a ramp wave loading, a generalized wave impedance gradient (GWIG) flyer was designed by a solid disc as a base for arrays of cone spikes, termed the “bed of nails” flyer. The “bed of nails” flyer was fabricated by Selective Laser Metaling additive manufacturing. Using a single-stage light-gas gun and a displacement interferometer system for any reflector (DISAR), a series of plate impact and spallation experiments using “bed of nails” flyer impact were performed. The effects of the height of cone and impact velocity on the ramp wave loading profiles and the effects of ramp wave loading on spallation characteristics of stainless-steel target were discussed. The experimental results show that: (1) From the free surface velocity profiles measured by DISAR, it is observed that the rising edge time of the compression wave is significantly prolonged, and the ramp wave loading is formed, which is obviously different from the steep wave front of the usual shock compression; (2) When the impact velocity of the flyer is approximately constant, both the rising edge time and the peak velocity of the ramp wave loading obviously depend on the cone height of the“bed of nails” flyer, with the increase of the height of the small cone, the rising edge time increases linearly, while the peak velocity decreases linearly; (3) When the geometric size of the “bed of nails” flyer remains unchanged, with the increase of the flyer’s velocity, the rising edge time of the ramp wave loading decreases linearly, while the peak velocity increases linearly; (4) Comparing with shock wave loading, the ramp wave loading generated by the “bed of nails” flyer has no obvious effect on the spallation strength of the stainless-steel, but has an influence on the damage evolution rate.
2021, 41(4): 043101.
doi: 10.11883/bzycj-2020-0172
Abstract:
Coral sand is widely distributed in the large area of reefs and lagoons in the South China Sea. During the construction of various projects on islands and reefs, the coral sand is extensively used as a local material resource. It is very important to determine the threshold of the reef engineering to resist extreme impact loads when the islands and reefs covered with coral sand was suffered from dynamic disasters such as penetration and explosion. The coral sand dynamic constitutive model is a key component for protection engineering design when engineering calculations are required. Based on the results of SHPB experiment and static compression experiment of coral sand from the previous works, a method was proposed to determine the equation of state of coral sand based on the law of strain rate strengthening effect by comparing the static compression curves and the dynamic compression curves. It has been proved that the average pressure of the compression curve can reach more than 100 MPa by using this fitting method.The parameters of the dynamic constitutive model of coral sand were determined through the processing of a lot of experiment results. Based on the hydrodynamic elasto-plastic model and the Perzyna viscoplastic cap model, combined with the LS-DYNA finite element program, the applicability of the dynamic constitutive models was verified by contrasting the numerical calculations and experimental results of the coral sand suffered from the projectile penetration and the blasting of explosive. According to the established model, numerical calculations of penetration and explosion in coral sand with different compactness levels were carried out using the hydrodynamic elasto-plastic model. The results show that the compactness levels of coral sand have a greater influence on the attenuation of the blasting wave and less on the penetration depth. This is because the poorly graded original coral sand has a smaller measurement difference between the maximum and minimum dry densities.
Coral sand is widely distributed in the large area of reefs and lagoons in the South China Sea. During the construction of various projects on islands and reefs, the coral sand is extensively used as a local material resource. It is very important to determine the threshold of the reef engineering to resist extreme impact loads when the islands and reefs covered with coral sand was suffered from dynamic disasters such as penetration and explosion. The coral sand dynamic constitutive model is a key component for protection engineering design when engineering calculations are required. Based on the results of SHPB experiment and static compression experiment of coral sand from the previous works, a method was proposed to determine the equation of state of coral sand based on the law of strain rate strengthening effect by comparing the static compression curves and the dynamic compression curves. It has been proved that the average pressure of the compression curve can reach more than 100 MPa by using this fitting method.The parameters of the dynamic constitutive model of coral sand were determined through the processing of a lot of experiment results. Based on the hydrodynamic elasto-plastic model and the Perzyna viscoplastic cap model, combined with the LS-DYNA finite element program, the applicability of the dynamic constitutive models was verified by contrasting the numerical calculations and experimental results of the coral sand suffered from the projectile penetration and the blasting of explosive. According to the established model, numerical calculations of penetration and explosion in coral sand with different compactness levels were carried out using the hydrodynamic elasto-plastic model. The results show that the compactness levels of coral sand have a greater influence on the attenuation of the blasting wave and less on the penetration depth. This is because the poorly graded original coral sand has a smaller measurement difference between the maximum and minimum dry densities.
2021, 41(4): 043102.
doi: 10.11883/bzycj-2020-0130
Abstract:
High-purity (HP) aluminum plates were cold rolled and heat treated to produce recrystallized samples with average grain sizes of 60, 100 and 500 μm, respectively. The effects of grain size on the spall response of HP aluminum plates were investigated by plate impact experiments including real-time measurements of the free surface velocity profiles by a compact all-fiber displacement interferometer system for any reflector, and post-impact fractography of soft-recovered samples by optical microscopy and scanning electron microscopy. The effect of grain size on the spall strength depends on the amplitude of peak stress. At lower peak stress loading, the dependence of the spall strength on the grain size is an inverse Hall-Petch relationship, but at higher peak stress loading, the spall strength is nearly constant with little effect of grain size. With the increase of grain size, the distribution range and size of micro-voids in the damaged sample increase, but the number of micro-voids decreases, and the grain refinement caused by the shock compression process is observed. On the other hand, with the increase of grain size, the mechanism of spallation changes from ductile intergranular fracture to quasi-brittle intergranular fracture. Some randomly distributed small metal balls are observed on the fracture surface, which is attributed to the thermal effect due to the serious plastic deformation during the growth and coalescence of micro-voids.
High-purity (HP) aluminum plates were cold rolled and heat treated to produce recrystallized samples with average grain sizes of 60, 100 and 500 μm, respectively. The effects of grain size on the spall response of HP aluminum plates were investigated by plate impact experiments including real-time measurements of the free surface velocity profiles by a compact all-fiber displacement interferometer system for any reflector, and post-impact fractography of soft-recovered samples by optical microscopy and scanning electron microscopy. The effect of grain size on the spall strength depends on the amplitude of peak stress. At lower peak stress loading, the dependence of the spall strength on the grain size is an inverse Hall-Petch relationship, but at higher peak stress loading, the spall strength is nearly constant with little effect of grain size. With the increase of grain size, the distribution range and size of micro-voids in the damaged sample increase, but the number of micro-voids decreases, and the grain refinement caused by the shock compression process is observed. On the other hand, with the increase of grain size, the mechanism of spallation changes from ductile intergranular fracture to quasi-brittle intergranular fracture. Some randomly distributed small metal balls are observed on the fracture surface, which is attributed to the thermal effect due to the serious plastic deformation during the growth and coalescence of micro-voids.
2021, 41(4): 043103.
doi: 10.11883/bzycj-2020-0104
Abstract:
To study the fracture toughness and microstructure of C/SiC composites at elevated temperature in air, the fracture toughness of C/SiC composites at elevated temperature in air was in-situ measured by SENB (single edge notch beam) under TPB (three point bending) method. The fracture and failure mechanism of the composites at different temperatures were analyzed by SEM (scanning electron microscope) and XRD (X-ray diffraction). The results show that with the increase of temperature, the fracture toughness of C/SiC composites decreases, and the fracture mode gradually changes from brittle fracture to plastic fracture. The fracture toughness of C/SiC composites decreases from 12.504 MPa·m1/2 to 10.958 MPa·m1/2 with a reduction of 12% from room temperature to 1 000 °C. The material exhibits a good high-temperature fracture toughness. Under different temperatures, the material exhibits different modes of fracture morphology. At the normal temperature, the fracture morphology can mainly show the phenomenon of fiber pull-out. With the increase of temperature, the phenomenon basically disappears, the fracture cross section becomes flatter, and the strength of the material mainly depends on the strength of the substrate.
To study the fracture toughness and microstructure of C/SiC composites at elevated temperature in air, the fracture toughness of C/SiC composites at elevated temperature in air was in-situ measured by SENB (single edge notch beam) under TPB (three point bending) method. The fracture and failure mechanism of the composites at different temperatures were analyzed by SEM (scanning electron microscope) and XRD (X-ray diffraction). The results show that with the increase of temperature, the fracture toughness of C/SiC composites decreases, and the fracture mode gradually changes from brittle fracture to plastic fracture. The fracture toughness of C/SiC composites decreases from 12.504 MPa·m1/2 to 10.958 MPa·m1/2 with a reduction of 12% from room temperature to 1 000 °C. The material exhibits a good high-temperature fracture toughness. Under different temperatures, the material exhibits different modes of fracture morphology. At the normal temperature, the fracture morphology can mainly show the phenomenon of fiber pull-out. With the increase of temperature, the phenomenon basically disappears, the fracture cross section becomes flatter, and the strength of the material mainly depends on the strength of the substrate.
2021, 41(4): 043104.
doi: 10.11883/bzycj-2020-0330
Abstract:
In order to investigate the dynamic initiation and evolution of mode Ⅰ crack in surrounding rock under the action of freeze-thaw cycle, taking a cold area tunnel as the engineering background, the freeze-thaw cycle test and large-scale drop weight test were carried out by using tunnel model specimens that were made of green sandstone in Sichuan province. The dynamic mechanical characteristics of specimens after different freeze-thaw cycles were measured and discussed. The elastic modulus and Poisson’s ratio of the specimens were calculated by longitudinal wave velocity, shear wave velocity. The dynamic strain gauges were glued at the incident plate and transmitted plate to collect voltage signals. The voltage signal was applied to calculate the curves of dynamic loading versus time recorded from the incident plate and transmission plate. Crack initiation time was determined by using a crack propagation gauge (CPG) measuring system. A traditional finite element method code was applied to establish some numerical models to calculate the curves of dynamic stress intensity factor under impact loads. The experimental-numerical method was used to determine dynamic fracture initiation toughness according to crack initiation time. A scanning electron microscope (SEM) was applied to analyze the micro-structure of sandstone material after different freeze-thaw cycles, and the mesoscopic damage mechanism of rock materials was obtained. The test results show that the longitudinal wave velocity, shear wave velocity and elastic modulus of sandstone gradually decrease with the number of freeze-thaw cycles, while Poisson’s ratio increases with the number of freeze-thaw cycles. The crack initiation time and dynamic initiation toughness of rock material decrease with the number of the freeze-thaw cycles. The cement material inside the rock will loss due to the effect of freeze-thaw cycles, and the pores and micro-cracks of the sandstone also increase with the number of freeze-thaw cycles.
In order to investigate the dynamic initiation and evolution of mode Ⅰ crack in surrounding rock under the action of freeze-thaw cycle, taking a cold area tunnel as the engineering background, the freeze-thaw cycle test and large-scale drop weight test were carried out by using tunnel model specimens that were made of green sandstone in Sichuan province. The dynamic mechanical characteristics of specimens after different freeze-thaw cycles were measured and discussed. The elastic modulus and Poisson’s ratio of the specimens were calculated by longitudinal wave velocity, shear wave velocity. The dynamic strain gauges were glued at the incident plate and transmitted plate to collect voltage signals. The voltage signal was applied to calculate the curves of dynamic loading versus time recorded from the incident plate and transmission plate. Crack initiation time was determined by using a crack propagation gauge (CPG) measuring system. A traditional finite element method code was applied to establish some numerical models to calculate the curves of dynamic stress intensity factor under impact loads. The experimental-numerical method was used to determine dynamic fracture initiation toughness according to crack initiation time. A scanning electron microscope (SEM) was applied to analyze the micro-structure of sandstone material after different freeze-thaw cycles, and the mesoscopic damage mechanism of rock materials was obtained. The test results show that the longitudinal wave velocity, shear wave velocity and elastic modulus of sandstone gradually decrease with the number of freeze-thaw cycles, while Poisson’s ratio increases with the number of freeze-thaw cycles. The crack initiation time and dynamic initiation toughness of rock material decrease with the number of the freeze-thaw cycles. The cement material inside the rock will loss due to the effect of freeze-thaw cycles, and the pores and micro-cracks of the sandstone also increase with the number of freeze-thaw cycles.
2021, 41(4): 043201.
doi: 10.11883/bzycj-2020-0132
Abstract:
A bi-directional gradient bionic circular sandwich plate was designed by introducing out-of-plane gradient into in-plane gradient core on the basis of Royal Water-Lily. Based on this, the responses of various bi-directional gradient circular sandwich plates under different blast loadings were simulated by using the finite element software of ABAQUS. The deflections of front and back panels, compression, deformation mode and energy absorption of different cores were analyzed emphatically, and a core arrangement mode with better blast resistant performance was obtained. The results show that: compared with a single out-of-plane gradient sandwich structure, the deflection of the back panel of bi-directional gradient sandwich structures can be effectively reduced, and the energy absorption capacity of the core can be improved through the reasonable bi-directional gradient arrangement.
A bi-directional gradient bionic circular sandwich plate was designed by introducing out-of-plane gradient into in-plane gradient core on the basis of Royal Water-Lily. Based on this, the responses of various bi-directional gradient circular sandwich plates under different blast loadings were simulated by using the finite element software of ABAQUS. The deflections of front and back panels, compression, deformation mode and energy absorption of different cores were analyzed emphatically, and a core arrangement mode with better blast resistant performance was obtained. The results show that: compared with a single out-of-plane gradient sandwich structure, the deflection of the back panel of bi-directional gradient sandwich structures can be effectively reduced, and the energy absorption capacity of the core can be improved through the reasonable bi-directional gradient arrangement.
2021, 41(4): 043301.
doi: 10.11883/bzycj-2020-0143
Abstract:
Experimental tests were designed to study the protection performance of the shear-thickening fluid (STF) cabin penetrated by projectiles. The penetration process and the development of cavitation in fluid cabins during the tests were captured by a high-speed camera. The residual velocities of the projectiles and the deformation of the front and rear targets of the fluid cabins were obtained as well. According to the cavitation images taken by the camera, the cavitation diameter of the STF was obviously smaller than that of water. Furthermore, cavitation collapse phenomenon was not found in the STF which shows that the STF has a significant effect in suppressing the evolution of cavitation during the penetration, and therefore decreasing the damage of the structure. A theoretical model for liquid cavitation evolution was used to find out the main factor in the cavitation suppression effect of the STF. On the one hand, the calculated cavitation diameters based on the theoretical model at two different densities were compared with the experimental results. The two densities are the densities of the STF and water, respectively, and the experimental cavitation diameters are much smaller than the calculated diameters, thus excluding the effect of density of liquid. On the other hand, the calculated cavitation diameter was also compared with the experimental data of common Newton liquid in the literature, and the effect of viscosity of liquid was excluded as well. Since both the density and viscosity may not be the main factor of the cavitation suppression effect of the STF, the assumption that the local density increase and curing effect of the STF particles attribute to the cavitation suppression was made. Besides, the STF also has a significant effect in the velocity attenuation of the projectiles and the deformation reduction of the targets. Hence, filling the STF into broadside liquid cabins of ships can significantly improve the protective performance of the structure.
Experimental tests were designed to study the protection performance of the shear-thickening fluid (STF) cabin penetrated by projectiles. The penetration process and the development of cavitation in fluid cabins during the tests were captured by a high-speed camera. The residual velocities of the projectiles and the deformation of the front and rear targets of the fluid cabins were obtained as well. According to the cavitation images taken by the camera, the cavitation diameter of the STF was obviously smaller than that of water. Furthermore, cavitation collapse phenomenon was not found in the STF which shows that the STF has a significant effect in suppressing the evolution of cavitation during the penetration, and therefore decreasing the damage of the structure. A theoretical model for liquid cavitation evolution was used to find out the main factor in the cavitation suppression effect of the STF. On the one hand, the calculated cavitation diameters based on the theoretical model at two different densities were compared with the experimental results. The two densities are the densities of the STF and water, respectively, and the experimental cavitation diameters are much smaller than the calculated diameters, thus excluding the effect of density of liquid. On the other hand, the calculated cavitation diameter was also compared with the experimental data of common Newton liquid in the literature, and the effect of viscosity of liquid was excluded as well. Since both the density and viscosity may not be the main factor of the cavitation suppression effect of the STF, the assumption that the local density increase and curing effect of the STF particles attribute to the cavitation suppression was made. Besides, the STF also has a significant effect in the velocity attenuation of the projectiles and the deformation reduction of the targets. Hence, filling the STF into broadside liquid cabins of ships can significantly improve the protective performance of the structure.
2021, 41(4): 043901.
doi: 10.11883/bzycj-2020-0141
Abstract:
In order to improve the anti-explosion performance of the bottom protective components of the vehicle and reduce the threat of the body floor deformation to the occupants in the vehicle, topology optimization was conducted based on hybrid cellular automation (HCA) to design the stiffening beams in the protective components, the best material distribution form of the stiffening beams was obtained, the topology optimization results was interpreted and then the stiffening beams was redesigned. In order to further improve the anti-explosion performance of the protective components, the multi-objective optimization method was used to optimize the design of the stiffening beams, the optimal scheme for the parameter combination of the beams was obtained by selecting the peak deflection of test plate, the maximum kinetic energy of test plate and the mass of the protective components as objectives, the mass of the protective components as constraint, the thickness and cross-sectional dimensions of the beams as design variables. The results show that, compared with the original design, the scheme increase the anti-explosion performance of the protective components without increasing the structural mass. After optimization the peak deflection of test plate is reduced by 5%, and the maximum kinetic energy of test plate is reduced by 11.58%.
In order to improve the anti-explosion performance of the bottom protective components of the vehicle and reduce the threat of the body floor deformation to the occupants in the vehicle, topology optimization was conducted based on hybrid cellular automation (HCA) to design the stiffening beams in the protective components, the best material distribution form of the stiffening beams was obtained, the topology optimization results was interpreted and then the stiffening beams was redesigned. In order to further improve the anti-explosion performance of the protective components, the multi-objective optimization method was used to optimize the design of the stiffening beams, the optimal scheme for the parameter combination of the beams was obtained by selecting the peak deflection of test plate, the maximum kinetic energy of test plate and the mass of the protective components as objectives, the mass of the protective components as constraint, the thickness and cross-sectional dimensions of the beams as design variables. The results show that, compared with the original design, the scheme increase the anti-explosion performance of the protective components without increasing the structural mass. After optimization the peak deflection of test plate is reduced by 5%, and the maximum kinetic energy of test plate is reduced by 11.58%.
2021, 41(4): 045401.
doi: 10.11883/bzycj-2020-0086
Abstract:
A connected vessel is a common typical chemical plant, and its explosion hazard is much higher than that of an independent vessel. In an actual explosion accident, the combustible gas volume fraction in the connected device presents a non-uniform state, and there is a volume fraction gradient. A connected device was chosen as the research object. The device was formed by connecting two cylindrical vessels with the volumes of 60 litres and 20 litres, respectively, through a square pipe as long as 3 meters, with a cross section of 35 mm×35 mm. To explore the methane-air explosion characteristics in the connected device with combustible gas volume fraction gradient, the Fluidyn software was applied to numerically simulate the methane-air explosions in the connected devices with uniform and non-uniform combustible gas volume fractions, respectively. The results show as follows. When the volume fraction of the methane in the connected device is uniform and ranges from 6.517% to 8.067% and the ignition is located in the center of the large vessel, the maximum explosion pressure, the maximum explosion pressure rise rate, the maximum temperature and the maximum velocity as well as their arrival times change linearily with the volume fraction of the methane. When the volume fraction of the methane in the large vessel of the connected device is 6.0%, the volume fraction gradient of the methane is 2.0% to 8.0%, and the ignition is located in the center of the large vessel, the maximum values of the parameters, including explosion pressure, explosion pressure rise rate, flame temperature and velocity, increase firstly and then decrease with increasing volume fraction gradient. When the ignition is located in the center of the large vessel, the maximum explosion pressure is in the small vessel, the maximum pressure rising rate is in the pipe connected to the large vessel, and the maximum flame velocity is in the pipe connected to the small vessel, and the flame velocity can reach 400-600 m/s. The research results can provide a theoretical guidance for preventing and controling combustible gas explosion accident in connected devices.
A connected vessel is a common typical chemical plant, and its explosion hazard is much higher than that of an independent vessel. In an actual explosion accident, the combustible gas volume fraction in the connected device presents a non-uniform state, and there is a volume fraction gradient. A connected device was chosen as the research object. The device was formed by connecting two cylindrical vessels with the volumes of 60 litres and 20 litres, respectively, through a square pipe as long as 3 meters, with a cross section of 35 mm×35 mm. To explore the methane-air explosion characteristics in the connected device with combustible gas volume fraction gradient, the Fluidyn software was applied to numerically simulate the methane-air explosions in the connected devices with uniform and non-uniform combustible gas volume fractions, respectively. The results show as follows. When the volume fraction of the methane in the connected device is uniform and ranges from 6.517% to 8.067% and the ignition is located in the center of the large vessel, the maximum explosion pressure, the maximum explosion pressure rise rate, the maximum temperature and the maximum velocity as well as their arrival times change linearily with the volume fraction of the methane. When the volume fraction of the methane in the large vessel of the connected device is 6.0%, the volume fraction gradient of the methane is 2.0% to 8.0%, and the ignition is located in the center of the large vessel, the maximum values of the parameters, including explosion pressure, explosion pressure rise rate, flame temperature and velocity, increase firstly and then decrease with increasing volume fraction gradient. When the ignition is located in the center of the large vessel, the maximum explosion pressure is in the small vessel, the maximum pressure rising rate is in the pipe connected to the large vessel, and the maximum flame velocity is in the pipe connected to the small vessel, and the flame velocity can reach 400-600 m/s. The research results can provide a theoretical guidance for preventing and controling combustible gas explosion accident in connected devices.


Read OL
PDF
Cited by