最新录用栏目展示本刊经同行评议确定正式录用的文章,这些文章目前处在编校过程,尚未确定卷期及页码,但可以根据DOI进行引用。
显示方式:
当前状态:
, 最新更新时间: ,
doi: 10.11883/bzycj-2025-0208

摘要:
为研究循环冲击下高温层理砂岩的动力学特性及动态损伤本构模型,首先对高温(300℃~1100℃)作用后层理砂岩的物理特性进行测试;其次利用霍普金森压杆(split Hopkinson pressure bar,SHPB)装置开展了循环冲击下高温层理砂岩动力学特性研究;最后,基于层理岩石粘弹性损伤元件模型,构建了考虑高温-冲击荷载耦合损伤的层理岩石动态本构模型,并通过实验数据对模型进行了验证。结果表明:砂岩主要矿物晶体石英的变晶温度处于500℃~700℃之间。温度越高,砂岩表观颜色越深,质量越小,波速和峰值应力先减小后增大。温度对0°、45°层理砂岩造成的损伤更大,900℃时损伤最为显著。在1300V冲击电压下,层理砂岩的峰值应力随冲击次数的增加呈现先升后降的趋势。冲击荷载使高温后的0°层理砂岩更容易破坏,而45°和60°层理砂岩表现出较强的抗冲击能力。模型预测曲线与试验曲线相差较小,表明该模型在描述高温层理砂岩循环冲击力学特性方面具有良好的适用性。研究结果可为深部地热工程围岩动力灾害防治提供理论参考。
为研究循环冲击下高温层理砂岩的动力学特性及动态损伤本构模型,首先对高温(300℃~1100℃)作用后层理砂岩的物理特性进行测试;其次利用霍普金森压杆(split Hopkinson pressure bar,SHPB)装置开展了循环冲击下高温层理砂岩动力学特性研究;最后,基于层理岩石粘弹性损伤元件模型,构建了考虑高温-冲击荷载耦合损伤的层理岩石动态本构模型,并通过实验数据对模型进行了验证。结果表明:砂岩主要矿物晶体石英的变晶温度处于500℃~700℃之间。温度越高,砂岩表观颜色越深,质量越小,波速和峰值应力先减小后增大。温度对0°、45°层理砂岩造成的损伤更大,900℃时损伤最为显著。在1300V冲击电压下,层理砂岩的峰值应力随冲击次数的增加呈现先升后降的趋势。冲击荷载使高温后的0°层理砂岩更容易破坏,而45°和60°层理砂岩表现出较强的抗冲击能力。模型预测曲线与试验曲线相差较小,表明该模型在描述高温层理砂岩循环冲击力学特性方面具有良好的适用性。研究结果可为深部地热工程围岩动力灾害防治提供理论参考。
当前状态:
, 最新更新时间: ,
doi: 10.11883/bzycj-2025-0278

摘要:
本文考虑二次起爆药柱位于燃料空气炸药(FAE)抛散后形成的云团外围的情况,开展云团起爆裕度研究。设计了含12.5kg 的FAE的样机,通过抛散试验确定了云团的最大半径。将1kg级HMX基炸药作为二次起爆药柱,通过试验研究,基于高速和超压测试得到了药柱距云团边缘的距离和云团起爆状态的关系,并确定了距离阈值。以云团边缘超压峰值作为衡量起爆裕度的指标,通过经验公式和数值模拟研究了满足云团起爆条件的边缘超压峰值的阈值,并基于临界能量流判据对超压峰值进行了辅助验证。结果表明:将1kg级HMX基炸药置于云团外围同样可以使云团产生爆轰现象,但距云团边缘的距离不应超过0.5m;当二次起爆药柱能量足够使云团能够发生稳定爆轰时,二次起爆药柱的位置对爆轰超压的影响不大;为保证云团的起爆性能,二次起爆药柱产生的云团边缘超压峰值不应小于5MPa。本文考虑了云团起爆的严苛条件,研究结果可为二次起爆药柱设计提供支撑。
本文考虑二次起爆药柱位于燃料空气炸药(FAE)抛散后形成的云团外围的情况,开展云团起爆裕度研究。设计了含12.5kg 的FAE的样机,通过抛散试验确定了云团的最大半径。将1kg级HMX基炸药作为二次起爆药柱,通过试验研究,基于高速和超压测试得到了药柱距云团边缘的距离和云团起爆状态的关系,并确定了距离阈值。以云团边缘超压峰值作为衡量起爆裕度的指标,通过经验公式和数值模拟研究了满足云团起爆条件的边缘超压峰值的阈值,并基于临界能量流判据对超压峰值进行了辅助验证。结果表明:将1kg级HMX基炸药置于云团外围同样可以使云团产生爆轰现象,但距云团边缘的距离不应超过0.5m;当二次起爆药柱能量足够使云团能够发生稳定爆轰时,二次起爆药柱的位置对爆轰超压的影响不大;为保证云团的起爆性能,二次起爆药柱产生的云团边缘超压峰值不应小于5MPa。本文考虑了云团起爆的严苛条件,研究结果可为二次起爆药柱设计提供支撑。
当前状态:
, 最新更新时间: ,
doi: 10.11883/bzycj-2025-0100

摘要:
高速破片撞击燃油箱时产生液压水锤效应,其引发的燃油喷溅可能导致燃油箱引燃甚至爆炸,从而降低高价值目标的生存能力。为研究液压水锤效应导致的燃油喷溅特性,进行了高速破片撞击模拟燃油箱的试验,测试并分析了喷溅燃油的速度特性和空间分布特性;提出了液团初始运动速度与液团发散速度的概念,在此基础上建立了描述喷溅燃油时空分布的理论模型;根据侵彻孔口的裂纹情况和孔边缘金属材料的形状变化,并考虑液体内压力分布的影响,对流量系数Cv的取值进行分类:当u0 ≤ 737 m/s时,Cv的取值范围为0.60 ~ 0.70;当737 m/s< u0 < 906 m/s时,Cv的取值范围为0.25 ~ 0.55;当u0 ≥ 906 m/s时,Cv的取值范围为0.75 ~ 0.95。研究表明,燃油喷溅轴向距离的理论计算结果与试验结果平均误差在15%以内,修正后的径向距离理论计算结果与试验结果误差在5%左右,即理论模型计算结果可较好复现试验结果。
高速破片撞击燃油箱时产生液压水锤效应,其引发的燃油喷溅可能导致燃油箱引燃甚至爆炸,从而降低高价值目标的生存能力。为研究液压水锤效应导致的燃油喷溅特性,进行了高速破片撞击模拟燃油箱的试验,测试并分析了喷溅燃油的速度特性和空间分布特性;提出了液团初始运动速度与液团发散速度的概念,在此基础上建立了描述喷溅燃油时空分布的理论模型;根据侵彻孔口的裂纹情况和孔边缘金属材料的形状变化,并考虑液体内压力分布的影响,对流量系数Cv的取值进行分类:当u0 ≤ 737 m/s时,Cv的取值范围为0.60 ~ 0.70;当737 m/s< u0 < 906 m/s时,Cv的取值范围为0.25 ~ 0.55;当u0 ≥ 906 m/s时,Cv的取值范围为0.75 ~ 0.95。研究表明,燃油喷溅轴向距离的理论计算结果与试验结果平均误差在15%以内,修正后的径向距离理论计算结果与试验结果误差在5%左右,即理论模型计算结果可较好复现试验结果。
当前状态:
, 最新更新时间: ,
doi: 10.11883/bzycj-2025-0222

摘要:
基于Hashin等复合材料经典失效准则的宏观有限元模拟虽然考虑了纤维和基体的断裂以及分层等损伤机制,但无法反映碳纤维增强复合材料(Carbon fiber reinforced polymer,CFRP)内部的微观损伤,如纤维和基体之间的界面脱粘。为了解决这个问题,本文建立了一个同时考虑纤维、基体和界面的多相细观力学模型,同时考虑纤维断裂、基体失效和界面脱粘等多种损伤机制,系统研究了横向拉伸/压缩、纵向拉伸/压缩以及面内/外剪切等典型载荷路径下单向碳纤维增强复合材料(Unidirectional carbon fiber reinforced polymer,UD CFRP)的损伤演化规律。结果表明:实验与仿真得到的峰值应力和失效应变的相对误差小于5%,同时模型预测的裂纹扩展路径与扫描电镜的观测结果一致,验证了考虑微观结构的微观力学模型的准确性。在此基础上,模型准确捕捉到了不同载荷条件下UD CFRP的损伤演化过程,这对于构建CFRP损伤容限设计准则和结构完整性评估体系具有重要工程价值。
基于Hashin等复合材料经典失效准则的宏观有限元模拟虽然考虑了纤维和基体的断裂以及分层等损伤机制,但无法反映碳纤维增强复合材料(Carbon fiber reinforced polymer,CFRP)内部的微观损伤,如纤维和基体之间的界面脱粘。为了解决这个问题,本文建立了一个同时考虑纤维、基体和界面的多相细观力学模型,同时考虑纤维断裂、基体失效和界面脱粘等多种损伤机制,系统研究了横向拉伸/压缩、纵向拉伸/压缩以及面内/外剪切等典型载荷路径下单向碳纤维增强复合材料(Unidirectional carbon fiber reinforced polymer,UD CFRP)的损伤演化规律。结果表明:实验与仿真得到的峰值应力和失效应变的相对误差小于5%,同时模型预测的裂纹扩展路径与扫描电镜的观测结果一致,验证了考虑微观结构的微观力学模型的准确性。在此基础上,模型准确捕捉到了不同载荷条件下UD CFRP的损伤演化过程,这对于构建CFRP损伤容限设计准则和结构完整性评估体系具有重要工程价值。
当前状态:
, 最新更新时间: ,
doi: 10.11883/bzycj-2025-0248

摘要:
弹丸超高速撞击薄板时,弹丸材料在复杂的波系作用下通常会发生变形、破碎甚至相变现象,形成二次碎片云。对于杆状弹丸而言,已有研究表明其长径比是影响杆状弹丸破碎的重要因素。本文主要以SPH数值仿真为手段,开展了半球头、锥头等典型弹头形状的杆状弹丸超高速撞击薄板的仿真计算。结果表明,就不同头型而言,大钝角锥头和平头与薄板撞击产生的冲击波最强、弹体破碎较为剧烈、弹体损失质量和损失轴向动能较大,较小钝角锥头、尖锥头及半球头次之。结合弹头与薄板撞击过程中的冲击波分析,对该现象进行了定性的解释;同时预测,对于锥形弹头,存在一临界半锥角(与撞击速度、弹靶材料相关),使得同种工况下杆状弹丸的破碎最为剧烈,该预测和现有的仿真结果吻合。本文可为非球形空间碎片的防护设计等超高速碰撞相关研究提供一定理论的参考。
弹丸超高速撞击薄板时,弹丸材料在复杂的波系作用下通常会发生变形、破碎甚至相变现象,形成二次碎片云。对于杆状弹丸而言,已有研究表明其长径比是影响杆状弹丸破碎的重要因素。本文主要以SPH数值仿真为手段,开展了半球头、锥头等典型弹头形状的杆状弹丸超高速撞击薄板的仿真计算。结果表明,就不同头型而言,大钝角锥头和平头与薄板撞击产生的冲击波最强、弹体破碎较为剧烈、弹体损失质量和损失轴向动能较大,较小钝角锥头、尖锥头及半球头次之。结合弹头与薄板撞击过程中的冲击波分析,对该现象进行了定性的解释;同时预测,对于锥形弹头,存在一临界半锥角(与撞击速度、弹靶材料相关),使得同种工况下杆状弹丸的破碎最为剧烈,该预测和现有的仿真结果吻合。本文可为非球形空间碎片的防护设计等超高速碰撞相关研究提供一定理论的参考。
当前状态:
, 最新更新时间: ,
doi: 10.11883/bzycj-2024-0505

摘要:
针对飞行器常用的碳纤维增强复合材料层合板(CFRP)抗冲击性能研究需求,对T800/3200 CFRP层合板进行球形破片侵彻试验与静爆试验,使用CT扫描技术与毁伤评估理论加以深入分析,研究了T800/3200 CFRP层合板在破片侵彻与爆炸冲击波两种典型载荷下的损伤特性与性能,并与航空制造业常用的2024-T3航空铝进行了试验对比。研究表明:T800/3200 CFRP层合板遭受球形破片侵彻后将产生近似台体的脱层损伤区域,且台体体积随着破片的侵彻速度增加损伤区域不断变小;T800/3200 CFRP层合板抵抗破片冲击载荷的能力不及航空铝板,吸收动能的能力约为航空铝板一半;但其抗爆性能强于航空铝,在航行任务中更有助于保证飞行器的安全。该研究可为航空器安全性和可靠性的提升提供一定理论与数据支持。
针对飞行器常用的碳纤维增强复合材料层合板(CFRP)抗冲击性能研究需求,对T800/3200 CFRP层合板进行球形破片侵彻试验与静爆试验,使用CT扫描技术与毁伤评估理论加以深入分析,研究了T800/3200 CFRP层合板在破片侵彻与爆炸冲击波两种典型载荷下的损伤特性与性能,并与航空制造业常用的2024-T3航空铝进行了试验对比。研究表明:T800/3200 CFRP层合板遭受球形破片侵彻后将产生近似台体的脱层损伤区域,且台体体积随着破片的侵彻速度增加损伤区域不断变小;T800/3200 CFRP层合板抵抗破片冲击载荷的能力不及航空铝板,吸收动能的能力约为航空铝板一半;但其抗爆性能强于航空铝,在航行任务中更有助于保证飞行器的安全。该研究可为航空器安全性和可靠性的提升提供一定理论与数据支持。
当前状态:
, 最新更新时间: ,
doi: 10.11883/bzycj-2025-0294

摘要:
镁粉作为一类常用的金属材料,在生产过程中燃爆事故频发。为寻求针对镁粉的高效抑爆剂,本文利用共沉淀法合成了6种双金属超分子化合物材料,并利用哈特曼管装置基于火焰形态和火焰传播速度对比分析了不同双金属超分子化合物材料对镁粉火焰的抑制效果,同时与传统抑爆剂碳酸氢钠进行对比。实验中将镁粉与7种抑爆剂以1:6的比例预混后在哈特曼管中点火,利用管长与火焰到达管顶的时间计算火焰传播的平均速度,并通过测量不同时刻的火焰高度计算火焰锋面的传播速度,平均速度越大、锋面传播速度越快则证明该抑爆剂的抑爆效果越差,但将7种抑爆剂分别按照这两种参数进行抑爆性能排序后发现结果并不完全一致,如MgAl-Cl对应的平均速度小于NaHCO3,而锋面最大传播速度却相反,这是因为部分抑爆剂对镁粉火焰的抑制效果较弱,导致火焰在距离管口较近的区域由于氧气充足而出现了快速传播现象,通过对平均速度与最大锋面速度的综合分析,将7种抑爆剂的抑爆效果从弱到强依次排序为:NaHCO3,MgAl-Cl,ZnCr-CO3,CaFe-Cl,MgAl-CO3,CuAl-CO3,CaFe-CO3。同时计算MgAl-Cl与MgAl-CO3、CaFe-Cl与CaFe-CO3四种双金属超分子化合物对镁粉爆燃火焰的平均速度降低百分数,分别为17.95%与27.30%、23.82%与50.76%,因而得出结论:层间阴离子为碳酸根离子的双金属超分子化合物对镁粉爆燃的抑制效果优于层间为氯离子的双金属超分子化合物。从产物的SEM、XRD,双金属超分子化合物的TG-DSC曲线等方面进行分析,发现双金属超分子化合物分解过程中通过层间水分子脱附、层板结构分解吸收热量来降低火焰温度,且分解产生的惰性气体与金属氧化物能够阻隔热量传递,抑制镁粉颗粒表面可燃性气体的挥发,而金属离子与层间阴离子则参与燃烧反应消耗自由基,阻断链式反应的继续,达到抑爆的效果。
镁粉作为一类常用的金属材料,在生产过程中燃爆事故频发。为寻求针对镁粉的高效抑爆剂,本文利用共沉淀法合成了6种双金属超分子化合物材料,并利用哈特曼管装置基于火焰形态和火焰传播速度对比分析了不同双金属超分子化合物材料对镁粉火焰的抑制效果,同时与传统抑爆剂碳酸氢钠进行对比。实验中将镁粉与7种抑爆剂以1:6的比例预混后在哈特曼管中点火,利用管长与火焰到达管顶的时间计算火焰传播的平均速度,并通过测量不同时刻的火焰高度计算火焰锋面的传播速度,平均速度越大、锋面传播速度越快则证明该抑爆剂的抑爆效果越差,但将7种抑爆剂分别按照这两种参数进行抑爆性能排序后发现结果并不完全一致,如MgAl-Cl对应的平均速度小于NaHCO3,而锋面最大传播速度却相反,这是因为部分抑爆剂对镁粉火焰的抑制效果较弱,导致火焰在距离管口较近的区域由于氧气充足而出现了快速传播现象,通过对平均速度与最大锋面速度的综合分析,将7种抑爆剂的抑爆效果从弱到强依次排序为:NaHCO3,MgAl-Cl,ZnCr-CO3,CaFe-Cl,MgAl-CO3,CuAl-CO3,CaFe-CO3。同时计算MgAl-Cl与MgAl-CO3、CaFe-Cl与CaFe-CO3四种双金属超分子化合物对镁粉爆燃火焰的平均速度降低百分数,分别为17.95%与27.30%、23.82%与50.76%,因而得出结论:层间阴离子为碳酸根离子的双金属超分子化合物对镁粉爆燃的抑制效果优于层间为氯离子的双金属超分子化合物。从产物的SEM、XRD,双金属超分子化合物的TG-DSC曲线等方面进行分析,发现双金属超分子化合物分解过程中通过层间水分子脱附、层板结构分解吸收热量来降低火焰温度,且分解产生的惰性气体与金属氧化物能够阻隔热量传递,抑制镁粉颗粒表面可燃性气体的挥发,而金属离子与层间阴离子则参与燃烧反应消耗自由基,阻断链式反应的继续,达到抑爆的效果。
当前状态:
, 最新更新时间: ,
doi: 10.11883/bzycj-2025-0280

摘要:
岩石材料被广泛应用于防护工程和各种隧道等民用工程结构中,其动态力学性能研究具有重要意义。本文以山东济南某石矿的红砂岩为研究对象,利用三轴试验机和分离式霍普金森杆装置分别开展不同围压下和不同应变率下红砂岩的力学特性研究,并基于动静态力学试验对红砂岩的Holmquist-Johnson-Cook(HJC)本构模型的参数进行确定。采用已经确定的红砂岩的HJC本构模型的参数,建立了SHPB动态压缩试验的有限元模型对参数进行验证。结果表明:红砂岩在围压环境下,内部裂纹的扩展方向和程度受到限制,使得裂纹难以快速贯通,从而峰值应力随着静水压力和的增加而增加;红砂岩在不同气压的加载下,存在明显率效应现象,动态抗压和劈拉强度与平均应变率呈现正相关,通过抗压强度因子(DIFc)和抗拉强度因子(DIFl)的研究分析,动态拉伸峰值应力的率效应现象更为明显;确定的HJC本构模型参数在LS-DYAN中可以较好地模拟红砂岩在动态冲击的损伤失效过程,在在未达到最大峰值应力时,数值模拟结果与试验的结果应力-应变曲线基本一致。本文确定的致密、高强度的红砂岩参数可为红砂岩的动态力学性能的研究和工程应用提供参考。
岩石材料被广泛应用于防护工程和各种隧道等民用工程结构中,其动态力学性能研究具有重要意义。本文以山东济南某石矿的红砂岩为研究对象,利用三轴试验机和分离式霍普金森杆装置分别开展不同围压下和不同应变率下红砂岩的力学特性研究,并基于动静态力学试验对红砂岩的Holmquist-Johnson-Cook(HJC)本构模型的参数进行确定。采用已经确定的红砂岩的HJC本构模型的参数,建立了SHPB动态压缩试验的有限元模型对参数进行验证。结果表明:红砂岩在围压环境下,内部裂纹的扩展方向和程度受到限制,使得裂纹难以快速贯通,从而峰值应力随着静水压力和的增加而增加;红砂岩在不同气压的加载下,存在明显率效应现象,动态抗压和劈拉强度与平均应变率呈现正相关,通过抗压强度因子(DIFc)和抗拉强度因子(DIFl)的研究分析,动态拉伸峰值应力的率效应现象更为明显;确定的HJC本构模型参数在LS-DYAN中可以较好地模拟红砂岩在动态冲击的损伤失效过程,在在未达到最大峰值应力时,数值模拟结果与试验的结果应力-应变曲线基本一致。本文确定的致密、高强度的红砂岩参数可为红砂岩的动态力学性能的研究和工程应用提供参考。
当前状态:
, 最新更新时间: ,
doi: 10.11883/bzycj-2025-0238

摘要:
快速准确地评估复杂街区爆炸荷载对实现高效结构抗爆设计及灾后损伤评估具有重要意义,然而传统经验公式、物理模型及数值模拟方法难以兼顾计算效率与预测精度,而现有深度学习爆炸荷载预测模型尚难以用于复杂街区场景。为实现复杂街区爆炸荷载快速准确计算,提出了一种物理信息与数据融合驱动的复杂街区爆炸荷载预测方法,其基本思想是“空间分区、逐步推理”策略,分别针对“起爆街道”和“非起爆街道”构建快速网络预测模型,并通过各街道间的边界压力协同工作。两种网络预测模型通过分别引入镜像爆源方法和信号距离场、能量密度因子融合流场关键物理特征,并分别采用3D-UNet网络、2D-UNet联合3D-UNet组成的级联网络作为架构。基于验证后的数值模拟方法生成了两种网络的目标数据,并开展了对应模型训练。模型预测性能的评估结果表明:该方法能够准确预测复杂街区压力场的时空演化过程,在起爆街道和非起爆街道中的流场预测结果较数值模拟结果的相对误差在20%以内,并有效描述了流场中指定位置的压力时程。双网络协同方法的推理耗时约为对应数值模拟方法计算时间的2%,单一时刻流场数据存储代价小于对应D3PLOT文件的0.2%,显著降低了计算与数据存储代价。研究为大型复杂街区爆炸荷载快速评估提供了新方法,可为城市建筑抗爆设计和评估提供高效决策支持。
快速准确地评估复杂街区爆炸荷载对实现高效结构抗爆设计及灾后损伤评估具有重要意义,然而传统经验公式、物理模型及数值模拟方法难以兼顾计算效率与预测精度,而现有深度学习爆炸荷载预测模型尚难以用于复杂街区场景。为实现复杂街区爆炸荷载快速准确计算,提出了一种物理信息与数据融合驱动的复杂街区爆炸荷载预测方法,其基本思想是“空间分区、逐步推理”策略,分别针对“起爆街道”和“非起爆街道”构建快速网络预测模型,并通过各街道间的边界压力协同工作。两种网络预测模型通过分别引入镜像爆源方法和信号距离场、能量密度因子融合流场关键物理特征,并分别采用3D-UNet网络、2D-UNet联合3D-UNet组成的级联网络作为架构。基于验证后的数值模拟方法生成了两种网络的目标数据,并开展了对应模型训练。模型预测性能的评估结果表明:该方法能够准确预测复杂街区压力场的时空演化过程,在起爆街道和非起爆街道中的流场预测结果较数值模拟结果的相对误差在20%以内,并有效描述了流场中指定位置的压力时程。双网络协同方法的推理耗时约为对应数值模拟方法计算时间的2%,单一时刻流场数据存储代价小于对应D3PLOT文件的0.2%,显著降低了计算与数据存储代价。研究为大型复杂街区爆炸荷载快速评估提供了新方法,可为城市建筑抗爆设计和评估提供高效决策支持。
当前状态:
, 最新更新时间: ,
doi: 10.11883/bzycj-2025-0148

摘要:
针对大载重无人平台吊落式着陆的冲击防护问题,设计了一种实现安全着陆的缓冲气囊系统。基于理论模型初步确定气囊几何参数和排气孔面积,利用控制体积法(CVM)建立有限元仿真模型,模拟气囊缓冲过程。通过单参数分析,揭示了排气孔尺寸、临界排气压力、气囊底面积及高度对缓冲性能的影响规律,发现上述参数在降低最大过载与提升比吸能之间存在冲突。为解决此问题,采用最优拉丁超立方设计采样,结合神经网络构建目标函数代理模型,并集成NSGA-II遗传算法进行多目标优化。优化结果表明,当排气孔尺寸为3952mm2、临界排气压力158kPa、气囊底面积1.08m2时,最大过载从16.8g降至14.5g,比吸能稳定在1529J/kg。试验验证显示最大过载试验值为15.2g,与仿真结果误差仅为4.8%,证实了优化方案的可靠性。本研究为无人平台软着陆系统提供了高效、低成本的设计技术支持,提升了作战部署的安全性与效率。
针对大载重无人平台吊落式着陆的冲击防护问题,设计了一种实现安全着陆的缓冲气囊系统。基于理论模型初步确定气囊几何参数和排气孔面积,利用控制体积法(CVM)建立有限元仿真模型,模拟气囊缓冲过程。通过单参数分析,揭示了排气孔尺寸、临界排气压力、气囊底面积及高度对缓冲性能的影响规律,发现上述参数在降低最大过载与提升比吸能之间存在冲突。为解决此问题,采用最优拉丁超立方设计采样,结合神经网络构建目标函数代理模型,并集成NSGA-II遗传算法进行多目标优化。优化结果表明,当排气孔尺寸为3952mm2、临界排气压力158kPa、气囊底面积1.08m2时,最大过载从16.8g降至14.5g,比吸能稳定在1529J/kg。试验验证显示最大过载试验值为15.2g,与仿真结果误差仅为4.8%,证实了优化方案的可靠性。本研究为无人平台软着陆系统提供了高效、低成本的设计技术支持,提升了作战部署的安全性与效率。
当前状态:
, 最新更新时间: ,
doi: 10.11883/bzycj-2025-0190

摘要:
为了提升活性材料的力学和爆轰性能,将短切钛纤维添加到Al/PTFE基体中制备出Al/PTFE环状活性材料,并与RDX药柱形成Al/PTFE-RDX组合装药。利用万能材料试验机和分离式霍普金森杆研究了不同钛纤维含量对环状活性材料力学行为的影响;采用自由场爆炸测试系统、球形爆炸容器测试系统并结合比色测温技术,深入研究了短切钛纤维含量对组合装药的准静态压力、冲击波参数和热毁伤效应的影响。力学性能测试结果表明,随着钛纤维含量的增加,Al/PTFE环状活性材料在静态压缩条件下的弹性模量、屈服强度、抗压强度等参数以及在高速撞击下的屈服强度和抗压强度均呈现先增加后减小的趋势,并且均在短切钛纤维含量为3%时达到最大值。爆炸性能实验结果表明,短切钛纤维能够显著改善Al/PTFE-RDX组合装药的爆炸性能,当其含量为3%时,爆炸冲击波超压、正相作用时间和正冲量达到峰值分别为37.68 kPa、695.34 µs和12.34 Pa·s;而当含量为5%时后燃效应最显著,其爆炸准静态压力、火球最高平均温度和火球持续时间达到最大值70.50 kPa、2782 K和1668.90 μs。固体爆炸产物分析表明,短切钛纤维通过改善Al/PTFE基体力学强度、延缓Al/PTFE环状活性材料碎裂时间且促进界面反应并参与高温化学反应,产生的协同作用和正反馈效应可以同时增强Al/PTFE活性材料的力学韧性与能量释放效率。
为了提升活性材料的力学和爆轰性能,将短切钛纤维添加到Al/PTFE基体中制备出Al/PTFE环状活性材料,并与RDX药柱形成Al/PTFE-RDX组合装药。利用万能材料试验机和分离式霍普金森杆研究了不同钛纤维含量对环状活性材料力学行为的影响;采用自由场爆炸测试系统、球形爆炸容器测试系统并结合比色测温技术,深入研究了短切钛纤维含量对组合装药的准静态压力、冲击波参数和热毁伤效应的影响。力学性能测试结果表明,随着钛纤维含量的增加,Al/PTFE环状活性材料在静态压缩条件下的弹性模量、屈服强度、抗压强度等参数以及在高速撞击下的屈服强度和抗压强度均呈现先增加后减小的趋势,并且均在短切钛纤维含量为3%时达到最大值。爆炸性能实验结果表明,短切钛纤维能够显著改善Al/PTFE-RDX组合装药的爆炸性能,当其含量为3%时,爆炸冲击波超压、正相作用时间和正冲量达到峰值分别为37.68 kPa、695.34 µs和12.34 Pa·s;而当含量为5%时后燃效应最显著,其爆炸准静态压力、火球最高平均温度和火球持续时间达到最大值70.50 kPa、2782 K和1668.90 μs。固体爆炸产物分析表明,短切钛纤维通过改善Al/PTFE基体力学强度、延缓Al/PTFE环状活性材料碎裂时间且促进界面反应并参与高温化学反应,产生的协同作用和正反馈效应可以同时增强Al/PTFE活性材料的力学韧性与能量释放效率。
当前状态:
, 最新更新时间: ,
doi: 10.11883/bzycj-2025-0144

摘要:
高熵合金作为一种新型高性能金属材料,在毁伤侵彻领域展现出应用潜力。本研究探究了CoCrFeNiCux 高熵合金作为药型罩材料在爆炸成型弹丸领域中的应用潜力,旨在通过优化药型罩结构提升爆炸成形弹丸的成形性能与毁伤效能。通过准静态与动态拉伸试验获取了合金的力学性能,并拟合了Johnson-Cook本构模型参数。结果表明,两种高熵合金(x=0, 1)均表现出优异的塑性、延展性及正应变率敏感性,动态屈服强度随应变率升高显著提升。基基于AUTODYN软件对比分析了紫铜与高熵合金药型罩的成形规律,发现高熵合金因强度高导致初始结构成形困难,弹丸尾部闭合不良。通过对药型罩进行均匀变壁厚优化,使形成的爆炸成型弹丸长径比分别提升至2.0(x=0)和2.5(x=1),速度分别达2260 m/s和2357 m/s。侵彻性能验证表明,优化后的弹丸对100 mm厚4340钢靶的侵彻深度分别为37.8 mm和41.5 mm,对1000 mm厚C35混凝土靶的侵彻深度分别达287.6 mm和303.7 mm,扩孔直径均超过装药口径的260%,显示出优异的侵彻毁伤能力。研究表明,通过优化CoCrFeNiCux 高熵合金药型罩结构可显著改善爆炸成型弹丸的成形质量与侵彻性能,为高效毁伤战斗部设计提供了理论依据与新思路。
高熵合金作为一种新型高性能金属材料,在毁伤侵彻领域展现出应用潜力。本研究探究了CoCrFeNiCux 高熵合金作为药型罩材料在爆炸成型弹丸领域中的应用潜力,旨在通过优化药型罩结构提升爆炸成形弹丸的成形性能与毁伤效能。通过准静态与动态拉伸试验获取了合金的力学性能,并拟合了Johnson-Cook本构模型参数。结果表明,两种高熵合金(x=0, 1)均表现出优异的塑性、延展性及正应变率敏感性,动态屈服强度随应变率升高显著提升。基基于AUTODYN软件对比分析了紫铜与高熵合金药型罩的成形规律,发现高熵合金因强度高导致初始结构成形困难,弹丸尾部闭合不良。通过对药型罩进行均匀变壁厚优化,使形成的爆炸成型弹丸长径比分别提升至2.0(x=0)和2.5(x=1),速度分别达2260 m/s和2357 m/s。侵彻性能验证表明,优化后的弹丸对100 mm厚4340钢靶的侵彻深度分别为37.8 mm和41.5 mm,对1000 mm厚C35混凝土靶的侵彻深度分别达287.6 mm和303.7 mm,扩孔直径均超过装药口径的260%,显示出优异的侵彻毁伤能力。研究表明,通过优化CoCrFeNiCux 高熵合金药型罩结构可显著改善爆炸成型弹丸的成形质量与侵彻性能,为高效毁伤战斗部设计提供了理论依据与新思路。
当前状态:
, 最新更新时间: ,
doi: 10.11883/bzycj-2025-0180

摘要:
舰艇抗爆炸冲击性能评估面临强非线性流固耦合、结构大变形及损伤破坏演化等关键力学问题挑战。通过耦合近场动力学(peridynamics, PD)和光滑粒子流体动力学(smoothed particle hydrodynamics, SPH)的各自优势,构建适用于水下爆炸冲击模拟的高效PD-SPH数值模型。采用SPH模拟水下冲击波传播及其流固耦合效应,通过PD方法精确表征固体结构从弹性变形至渐进损伤破坏的全过程力学行为,建立非药式水下爆炸冲击波加载装置的PD-SPH数值模型。针对大规模粒子计算效率瓶颈,开发基于区域分解与数据通信机制的多GPU并行计算框架。通过系统验证与并行效率测试表明,该方法可准确预测冲击波壁面压力与靶体动态变形,成功复现薄板结构的典型裂纹扩展模式,并可开展复杂夹层板毁伤全过程模拟。在超过500万个粒子的复杂流固耦合场景中,实际计算时间可以压缩到近1个小时。研究成果可为舰艇抗爆结构设计提供了高精度、高效率的数值分析工具,对水下爆炸流固耦合问题的工程应用具有重要参考价值。
舰艇抗爆炸冲击性能评估面临强非线性流固耦合、结构大变形及损伤破坏演化等关键力学问题挑战。通过耦合近场动力学(peridynamics, PD)和光滑粒子流体动力学(smoothed particle hydrodynamics, SPH)的各自优势,构建适用于水下爆炸冲击模拟的高效PD-SPH数值模型。采用SPH模拟水下冲击波传播及其流固耦合效应,通过PD方法精确表征固体结构从弹性变形至渐进损伤破坏的全过程力学行为,建立非药式水下爆炸冲击波加载装置的PD-SPH数值模型。针对大规模粒子计算效率瓶颈,开发基于区域分解与数据通信机制的多GPU并行计算框架。通过系统验证与并行效率测试表明,该方法可准确预测冲击波壁面压力与靶体动态变形,成功复现薄板结构的典型裂纹扩展模式,并可开展复杂夹层板毁伤全过程模拟。在超过500万个粒子的复杂流固耦合场景中,实际计算时间可以压缩到近1个小时。研究成果可为舰艇抗爆结构设计提供了高精度、高效率的数值分析工具,对水下爆炸流固耦合问题的工程应用具有重要参考价值。
当前状态:
, 最新更新时间: ,
doi: 10.11883/bzycj-2025-0250

摘要:
当前状态:
, 最新更新时间: ,
doi: 10.11883/bzycj-2025-0102

摘要:
Mie-Grüneisen多介质混合模型可以很方便地应用于Mie-Grüneisen状态方程下的多介质问题中。在Mie-Grüneisen状态方程中, 等熵与Hugoniot绝热曲线是两种典型的参考状态曲线。然而,这两类曲线存在奇点,利用体积分数进行界面处理时则会造成困难,而传统混合模型却习惯将体积分数作为色函数来使用。其中的难点在于体积分数模型会因界面的扩散形态而产生零碎的流体体积。这些零碎的体积使得部分等熵曲线中会出现声速在界面附近不合理的偏高,并在收敛性条件下需要耗费更多的时间步来计算。另一方面,奇点会使得Hugoniot参考状态曲线下声速出现负值,阻断计算的进行。为了避免产生零碎的体积,这里将质量分数代替体积分数,并将流场中占一定比例的介质密度的倒数定义为比容。重定义后的比容,可以使得相对体积不小于流场整体的相对体积。这样,声速在界面附近形成一个低谷形状并避免出现峰值。另外,Mie-Grüneisen混合模型中部分方程含有参考状态参数的导数项,这些导数项在界面附近被定义成加权平均,但如果用质量分数直接做加权平均容易出现负值。为了保证界面附近不出现负值,对界面处的参考状态进行了优化。数值算例表示,质量分数虽然对计算结果的影响十分微弱,但是它可以在等熵状态曲线下保证声速稳定,从而使用比体积分数更少的时间步。同时,质量分数还能在Hugoniot曲线下很好的处理声速的负值。这样可以保证计算既平稳又准确。
Mie-Grüneisen多介质混合模型可以很方便地应用于Mie-Grüneisen状态方程下的多介质问题中。在Mie-Grüneisen状态方程中, 等熵与Hugoniot绝热曲线是两种典型的参考状态曲线。然而,这两类曲线存在奇点,利用体积分数进行界面处理时则会造成困难,而传统混合模型却习惯将体积分数作为色函数来使用。其中的难点在于体积分数模型会因界面的扩散形态而产生零碎的流体体积。这些零碎的体积使得部分等熵曲线中会出现声速在界面附近不合理的偏高,并在收敛性条件下需要耗费更多的时间步来计算。另一方面,奇点会使得Hugoniot参考状态曲线下声速出现负值,阻断计算的进行。为了避免产生零碎的体积,这里将质量分数代替体积分数,并将流场中占一定比例的介质密度的倒数定义为比容。重定义后的比容,可以使得相对体积不小于流场整体的相对体积。这样,声速在界面附近形成一个低谷形状并避免出现峰值。另外,Mie-Grüneisen混合模型中部分方程含有参考状态参数的导数项,这些导数项在界面附近被定义成加权平均,但如果用质量分数直接做加权平均容易出现负值。为了保证界面附近不出现负值,对界面处的参考状态进行了优化。数值算例表示,质量分数虽然对计算结果的影响十分微弱,但是它可以在等熵状态曲线下保证声速稳定,从而使用比体积分数更少的时间步。同时,质量分数还能在Hugoniot曲线下很好的处理声速的负值。这样可以保证计算既平稳又准确。
当前状态:
, 最新更新时间: ,
doi: 10.11883/bzycj-2024-0470

摘要:
在物理学中,“源”指的是物质或能量的出发点,而“汇”则是指物质或能量的到达点。地下爆炸相当于一个简单的能量源,其能量以径向力做功的形式从各爆炸分区边界向外辐射,而破坏区范围则决定了辐射出地震波能流密度的大小。分析了封闭爆炸和接触爆炸过程中辐射出的弹性特征能量,计算了地下封闭爆炸各个分区所对应的能量因子,发现特征能量因子能很好地表征地下爆炸“扩张中心”的能量源特性。对比地下爆炸,详细分析了理想流体空穴湮灭问题中能量的平衡关系与调整机制,建立了压力做功与能量汇聚、传递和转化的关系,引入了描述能量汇“向心汇聚”问题的特征能量因子,为后续 “能量汇”问题研究提供理论参考。
在物理学中,“源”指的是物质或能量的出发点,而“汇”则是指物质或能量的到达点。地下爆炸相当于一个简单的能量源,其能量以径向力做功的形式从各爆炸分区边界向外辐射,而破坏区范围则决定了辐射出地震波能流密度的大小。分析了封闭爆炸和接触爆炸过程中辐射出的弹性特征能量,计算了地下封闭爆炸各个分区所对应的能量因子,发现特征能量因子能很好地表征地下爆炸“扩张中心”的能量源特性。对比地下爆炸,详细分析了理想流体空穴湮灭问题中能量的平衡关系与调整机制,建立了压力做功与能量汇聚、传递和转化的关系,引入了描述能量汇“向心汇聚”问题的特征能量因子,为后续 “能量汇”问题研究提供理论参考。
当前状态:
, 最新更新时间: ,
doi: 10.11883/bzycj-2024-0465

摘要:
本文采用数值模拟与理论分析相结合的方法,研究了马赫反射波系与平面SF6/N2界面的作用过程,特别关注其中马赫反射波系的入射加载阶段。在入射平面激波马赫数为1.8的情况下,给出了绕刚性圆柱后形成马赫反射波系的数值纹影,定性分析了马赫反射波系入射加载重/轻界面的波系演化过程。在数值模拟的基础上,运用三激波理论对折射过程进行分析求解,结果表明该理论解可以良好预测折射后的激波形态以及界面上的环量沉积和速度扰动。进一步,通过绘制激波极曲线和稀疏波特征线,直观描述了入射加载过程中波系前后的压力变化和气流偏转。理论分析和数值模拟结果均表明,马赫反射波系中激波强度以及入射角的差异诱导了界面上的纵向速度扰动,激波加载带来的切向速度诱导了界面上的环量沉积,速度扰动和环量主导了重/轻界面前期的演化。
本文采用数值模拟与理论分析相结合的方法,研究了马赫反射波系与平面SF6/N2界面的作用过程,特别关注其中马赫反射波系的入射加载阶段。在入射平面激波马赫数为1.8的情况下,给出了绕刚性圆柱后形成马赫反射波系的数值纹影,定性分析了马赫反射波系入射加载重/轻界面的波系演化过程。在数值模拟的基础上,运用三激波理论对折射过程进行分析求解,结果表明该理论解可以良好预测折射后的激波形态以及界面上的环量沉积和速度扰动。进一步,通过绘制激波极曲线和稀疏波特征线,直观描述了入射加载过程中波系前后的压力变化和气流偏转。理论分析和数值模拟结果均表明,马赫反射波系中激波强度以及入射角的差异诱导了界面上的纵向速度扰动,激波加载带来的切向速度诱导了界面上的环量沉积,速度扰动和环量主导了重/轻界面前期的演化。
当前状态:
, 最新更新时间: ,
doi: 10.11883/bzycj-2025-0140

摘要:
氢能作为一种零碳能源,凭借其高能量密度和零碳排放的特性,在国防关键系统中具有广阔的应用前景。为提高能源利用效率并保障安全,采用试验与数值模拟相结合的方法,系统研究了受限空间内氢气浓度对爆炸动力学特性的影响。在圆柱形容器中进行试验,使用压力传感器和高速摄像机记录爆炸过程中的压力变化与火焰传播规律。同时,结合CFD数值模拟技术,采用包含19步反应的氢气/空气详细化学反应机理,准确捕捉了预混气体爆炸过程中气流速度的时空演化过程。结果表明:最大爆炸压力出现在氢气浓度为30 vol.%时,峰值达到0.62394 MPa;火焰面积峰值在30 vol.%和45 vol.%条件下最大,相比15 vol.%和60 vol.%时分别提高了14.6%和6.3%,其中30 vol.%时在8.2 ms时最快达到峰值。此外,在圆柱侧壁与端壁交界区域,由于几何约束导致未燃氢气积聚,造成局部密度和压力升高,并在流场中形成四个明显的高速区。在9 ms时,流场中心线上的气流速度呈对称分布,且单侧出现双峰值结构。在45 vol.%氢气浓度下,初期因局部热释放较强而呈现瞬态速度优势;而30 vol.%时则凭借持续稳定的燃烧过程,在后期实现速度反超,体现出近化学计量比条件下的高效燃烧稳定性,为高效氢气燃烧系统的设计与性能提升提供了科学依据。
氢能作为一种零碳能源,凭借其高能量密度和零碳排放的特性,在国防关键系统中具有广阔的应用前景。为提高能源利用效率并保障安全,采用试验与数值模拟相结合的方法,系统研究了受限空间内氢气浓度对爆炸动力学特性的影响。在圆柱形容器中进行试验,使用压力传感器和高速摄像机记录爆炸过程中的压力变化与火焰传播规律。同时,结合CFD数值模拟技术,采用包含19步反应的氢气/空气详细化学反应机理,准确捕捉了预混气体爆炸过程中气流速度的时空演化过程。结果表明:最大爆炸压力出现在氢气浓度为30 vol.%时,峰值达到0.62394 MPa;火焰面积峰值在30 vol.%和45 vol.%条件下最大,相比15 vol.%和60 vol.%时分别提高了14.6%和6.3%,其中30 vol.%时在8.2 ms时最快达到峰值。此外,在圆柱侧壁与端壁交界区域,由于几何约束导致未燃氢气积聚,造成局部密度和压力升高,并在流场中形成四个明显的高速区。在9 ms时,流场中心线上的气流速度呈对称分布,且单侧出现双峰值结构。在45 vol.%氢气浓度下,初期因局部热释放较强而呈现瞬态速度优势;而30 vol.%时则凭借持续稳定的燃烧过程,在后期实现速度反超,体现出近化学计量比条件下的高效燃烧稳定性,为高效氢气燃烧系统的设计与性能提升提供了科学依据。
当前状态:
, 最新更新时间: ,
doi: 10.11883/bzycj-2025-0139

摘要:
结合穿甲试验结果和细观有限元模拟分析,系统开展不同直径钨纤维增强金属玻璃复合材料长杆弹变形和破坏特性研究,讨论不同复合材料弹体的“自锐”行为以及相应侵彻/穿甲性能的异同,之后详细分析长杆弹在不同撞击速度下变形和破坏模式的转变。分析表明:由于不同直径钨纤维在抗弯曲、抗剪切等方面性能的差异,相应复合材料弹体在侵彻过程中表现出不同的破坏特征,从而影响其侵彻/穿甲性能。撞击速度对复合材料弹体的变形和破坏模式及其侵彻/穿甲性能也具有显著影响:速度较低时,在钨纤维直径较小情形下,复合材料弹体头部纤维在侵彻过程中表现出屈曲失稳现象且逐渐分散,使得弹头发生一定程度钝粗,并导致侵彻阻力增加和侵彻性能下降;随撞击速度增大,在纤维直径较小情形下弹体外侧纤维发生回流,而直径较大时纤维则主要发生剪切破坏,使得弹头进一步锐化并导致侵彻/穿甲性能提升;当撞击速度和钨纤维直径达到某一上限阈值时,弹体头部“边缘层”厚度急剧减小,“自锐”性能有所弱化,侵彻/穿甲能力再次降低。相关研究有助于预测不同直径钨纤维增强金属玻璃复合材料长杆弹在不同撞击速度下的侵彻/穿甲性能,以及优化弹体结构设计和撞击速度等。
结合穿甲试验结果和细观有限元模拟分析,系统开展不同直径钨纤维增强金属玻璃复合材料长杆弹变形和破坏特性研究,讨论不同复合材料弹体的“自锐”行为以及相应侵彻/穿甲性能的异同,之后详细分析长杆弹在不同撞击速度下变形和破坏模式的转变。分析表明:由于不同直径钨纤维在抗弯曲、抗剪切等方面性能的差异,相应复合材料弹体在侵彻过程中表现出不同的破坏特征,从而影响其侵彻/穿甲性能。撞击速度对复合材料弹体的变形和破坏模式及其侵彻/穿甲性能也具有显著影响:速度较低时,在钨纤维直径较小情形下,复合材料弹体头部纤维在侵彻过程中表现出屈曲失稳现象且逐渐分散,使得弹头发生一定程度钝粗,并导致侵彻阻力增加和侵彻性能下降;随撞击速度增大,在纤维直径较小情形下弹体外侧纤维发生回流,而直径较大时纤维则主要发生剪切破坏,使得弹头进一步锐化并导致侵彻/穿甲性能提升;当撞击速度和钨纤维直径达到某一上限阈值时,弹体头部“边缘层”厚度急剧减小,“自锐”性能有所弱化,侵彻/穿甲能力再次降低。相关研究有助于预测不同直径钨纤维增强金属玻璃复合材料长杆弹在不同撞击速度下的侵彻/穿甲性能,以及优化弹体结构设计和撞击速度等。
当前状态:
, 最新更新时间: ,
doi: 10.11883/bzycj-2025-0219

摘要:
深部煤岩爆破风险高、水力压裂受限,亟需可控破岩技术。高能产气剂作为一种先进高能气体压裂技术,以其卓越性能在破岩领域展现出显著优势,为煤炭高效安全开采提供了有力技术支撑。试验以高能产气剂外壳材料为突破口,研究不同外壳材料对煤岩破岩孔壁压力的影响,构建了全过程压力监测系统,选用PVC透明、PVC白色和牛皮纸管三种外壳材料,进行孔壁压力试验,选用衰减指数和可信度最为评价指标,对比得到材料物理性质对孔壁压力的影响。结果表明,启动剂点火后产生应力波和少量气体,应力波致第一个峰值,气体扩散致压力下降,应力波反射与气体膨胀波叠加形成第二个峰值,气体膨胀变化形成第三个峰值。因无主药剂,启动剂组压力峰值最小,升压时间最短,加载率最低,能量释放少,传递效率低。含主药剂的三组在距离高能产气剂 10cm处压力峰值在 200MPa左右,升压时间控制在 20ms附近。三组不同外壳材料的压力峰值衰减系数的关系为:PVC透明外壳材料>PVC白色外壳材料>牛皮纸管,升压时间衰减系数的关系为:PVC透明外壳材料>牛皮纸管>PVC白色外壳材料。加载率衰减系数的关系为:PVC白色外壳材料>PVC透明外壳材料>牛皮纸管。PVC白色外壳材料因高弹性模量和低泊松比,在靠近高能产气剂位置的压力峰值、升压时间和加载率方面表现最佳,能量传递效率最高。PVC透明外壳材料在靠近高能产气剂位置的压力峰值和加载率高于纸管,但在远距离处低于纸管,表现出较强的方向性和集中性。纸管外壳材料能量分布均匀,但整体能量集中能力弱,升压时间和加载率均最低。研究结果为优化高能产气剂设计、提高破岩效果提供了理论依据。
深部煤岩爆破风险高、水力压裂受限,亟需可控破岩技术。高能产气剂作为一种先进高能气体压裂技术,以其卓越性能在破岩领域展现出显著优势,为煤炭高效安全开采提供了有力技术支撑。试验以高能产气剂外壳材料为突破口,研究不同外壳材料对煤岩破岩孔壁压力的影响,构建了全过程压力监测系统,选用PVC透明、PVC白色和牛皮纸管三种外壳材料,进行孔壁压力试验,选用衰减指数和可信度最为评价指标,对比得到材料物理性质对孔壁压力的影响。结果表明,启动剂点火后产生应力波和少量气体,应力波致第一个峰值,气体扩散致压力下降,应力波反射与气体膨胀波叠加形成第二个峰值,气体膨胀变化形成第三个峰值。因无主药剂,启动剂组压力峰值最小,升压时间最短,加载率最低,能量释放少,传递效率低。含主药剂的三组在距离高能产气剂 10cm处压力峰值在 200MPa左右,升压时间控制在 20ms附近。三组不同外壳材料的压力峰值衰减系数的关系为:PVC透明外壳材料>PVC白色外壳材料>牛皮纸管,升压时间衰减系数的关系为:PVC透明外壳材料>牛皮纸管>PVC白色外壳材料。加载率衰减系数的关系为:PVC白色外壳材料>PVC透明外壳材料>牛皮纸管。PVC白色外壳材料因高弹性模量和低泊松比,在靠近高能产气剂位置的压力峰值、升压时间和加载率方面表现最佳,能量传递效率最高。PVC透明外壳材料在靠近高能产气剂位置的压力峰值和加载率高于纸管,但在远距离处低于纸管,表现出较强的方向性和集中性。纸管外壳材料能量分布均匀,但整体能量集中能力弱,升压时间和加载率均最低。研究结果为优化高能产气剂设计、提高破岩效果提供了理论依据。
当前状态:
, 最新更新时间: ,
doi: 10.11883/bzycj-2025-0160

摘要:
跨介质结构体在高速入水过程中会受到多次尾拍作用,可能导致主结构及其附件发生破坏,尾拍力矩还会影响入水稳定性。本文基于VOF多相流方法开展了跨介质入水结构体及其附体带攻角倾斜入水工况下自空泡产生、发展至溃灭全过程的载荷研究,分析了入水结构体主体及附体结构入水全过程的载荷特性,揭示了入水倾角对尾拍、空泡溃灭载荷及入水稳定性的影响规律。结果表明:空泡溃灭阶段为结构体入水过程中的最危险工况,随入水倾角增大,空泡溃灭阶段结构体轴、法向受力增大,法向过载系数趋近于常数。当入水倾角由60°增至90°后,结构体的俯仰力矩系数增大了47.1%。大倾角入水能够增益空泡溃灭阶段水平尾舵的轴、法向载荷环境,改善结构体入水稳定性,但同时会恶化垂直尾舵的轴向载荷环境。空泡溃灭阶段尾空泡击打结构体尾部瞬间,结构体三向转动被抑制,处于短暂静止状态。
跨介质结构体在高速入水过程中会受到多次尾拍作用,可能导致主结构及其附件发生破坏,尾拍力矩还会影响入水稳定性。本文基于VOF多相流方法开展了跨介质入水结构体及其附体带攻角倾斜入水工况下自空泡产生、发展至溃灭全过程的载荷研究,分析了入水结构体主体及附体结构入水全过程的载荷特性,揭示了入水倾角对尾拍、空泡溃灭载荷及入水稳定性的影响规律。结果表明:空泡溃灭阶段为结构体入水过程中的最危险工况,随入水倾角增大,空泡溃灭阶段结构体轴、法向受力增大,法向过载系数趋近于常数。当入水倾角由60°增至90°后,结构体的俯仰力矩系数增大了47.1%。大倾角入水能够增益空泡溃灭阶段水平尾舵的轴、法向载荷环境,改善结构体入水稳定性,但同时会恶化垂直尾舵的轴向载荷环境。空泡溃灭阶段尾空泡击打结构体尾部瞬间,结构体三向转动被抑制,处于短暂静止状态。
当前状态:
, 最新更新时间: ,
doi: 10.11883/bzycj-2025-0087

摘要:
为了进一步探索间隙C原子对CoCrNi基中熵合金的应变率效应和温度效应的影响,系统地研究了由FCC基体和三级层级沉淀微观结构组成的CoCrNiSi0.3C0.048中熵合金在宽温域宽应变率范围内的压缩力学行为、微结构演化过程以及变形机理。/t/n℃下,其真应力-真应变曲线上观察到了锯齿流变现象,而且随着应变的增大,锯齿的振幅逐渐减小,直至消失。此外,其准静态下流动应力随温度的变化曲线上出现了反常应力峰(第三型应变时效现象),在高应变率下,第三型应变时效引起的反常应力峰消失。通过微观结构的表征分析,推测其准静态下出现第三型应变时效现象的主要原因可能是由于间隙C原子的存在,在塑性变形的不断进行和发展过程中,产生了一系列由致密位错胞、微带、层错、位错簇和变形孪晶等组成的类似于非均质结构的混合结构。这些混合结构加剧了间隙原子与移动位错之间的相互作用,进而钉扎位错,出现动态应变时效现象。在动态情况下并未出现第三型应变时效的原因可能是溶质原子的运动相较于位错的运动速度较慢,无法及时钉扎位错。另外,大量的纳米级SiC沉淀的析出弱化了动态加载下间隙原子的“钉扎”作用。
为了进一步探索间隙C原子对CoCrNi基中熵合金的应变率效应和温度效应的影响,系统地研究了由FCC基体和三级层级沉淀微观结构组成的CoCrNiSi0.3C0.048中熵合金在宽温域宽应变率范围内的压缩力学行为、微结构演化过程以及变形机理。/t/n℃下,其真应力-真应变曲线上观察到了锯齿流变现象,而且随着应变的增大,锯齿的振幅逐渐减小,直至消失。此外,其准静态下流动应力随温度的变化曲线上出现了反常应力峰(第三型应变时效现象),在高应变率下,第三型应变时效引起的反常应力峰消失。通过微观结构的表征分析,推测其准静态下出现第三型应变时效现象的主要原因可能是由于间隙C原子的存在,在塑性变形的不断进行和发展过程中,产生了一系列由致密位错胞、微带、层错、位错簇和变形孪晶等组成的类似于非均质结构的混合结构。这些混合结构加剧了间隙原子与移动位错之间的相互作用,进而钉扎位错,出现动态应变时效现象。在动态情况下并未出现第三型应变时效的原因可能是溶质原子的运动相较于位错的运动速度较慢,无法及时钉扎位错。另外,大量的纳米级SiC沉淀的析出弱化了动态加载下间隙原子的“钉扎”作用。
当前状态:
, 最新更新时间: ,
doi: 10.11883/bzycj-2025-0138

摘要:
工业电子雷管通常装填相对敏感的起爆药剂,这使得电子雷管在生产与应用过程中,容易因受到冲击或跌落而发生意外爆炸,存在一定的安全风险。目标:为应对行业安全和市场的需求,文章针对一种新型无起爆药电子雷管进行研究。/t/n主要采用了工作机理理论分析、飞片速度数值模拟和高速摄影及水下爆炸等产品起爆能力试验方法。/t/n新型智能无起爆药电子雷管,一次装药药量为400mg、二次主装药药量为200mg、三次主装药药量为320mg的情况下,一装的压药密度为1.56g/cm3,二装的压药密度为1.41g/cm3时,三装散装,雷管的爆轰传递较为稳定,能够形成稳定爆轰;与传统无起爆药雷管做对比,表明该结构的无起爆药电子雷管轴向起爆能力较大;飞片发生器收口直径控制在5.6~5.7mm范围,能实现燃烧转爆轰并获得可靠起爆雷管的飞片速度。该研究的产品结构设计与传统无起爆药雷管结构相比取消了四次药,既简化了生产工艺又提高了安全性。通过铅板试验、水下爆炸试验等辅助验证了该结构的合理性和优势。
工业电子雷管通常装填相对敏感的起爆药剂,这使得电子雷管在生产与应用过程中,容易因受到冲击或跌落而发生意外爆炸,存在一定的安全风险。目标:为应对行业安全和市场的需求,文章针对一种新型无起爆药电子雷管进行研究。/t/n主要采用了工作机理理论分析、飞片速度数值模拟和高速摄影及水下爆炸等产品起爆能力试验方法。/t/n新型智能无起爆药电子雷管,一次装药药量为400mg、二次主装药药量为200mg、三次主装药药量为320mg的情况下,一装的压药密度为1.56g/cm3,二装的压药密度为1.41g/cm3时,三装散装,雷管的爆轰传递较为稳定,能够形成稳定爆轰;与传统无起爆药雷管做对比,表明该结构的无起爆药电子雷管轴向起爆能力较大;飞片发生器收口直径控制在5.6~5.7mm范围,能实现燃烧转爆轰并获得可靠起爆雷管的飞片速度。该研究的产品结构设计与传统无起爆药雷管结构相比取消了四次药,既简化了生产工艺又提高了安全性。通过铅板试验、水下爆炸试验等辅助验证了该结构的合理性和优势。
当前状态:
, 最新更新时间: ,
doi: 10.11883/bzycj-2024-0497

摘要:
层状复合岩体广泛存在于矿山开采、隧道挖掘、交通建设和边坡治理等工程领域,是自然界中常见的一种地质结构。本文通过环氧树脂材料模拟层状复合岩体,利用动态光弹性-数字图像相关综合实验系统对爆炸应力波在梯度介质中的传播过程进行可视化精细化分析,研究爆炸应力波在正向梯度和反向梯度两种情况下的衰减规律和能流密度演化规律。/t/n爆炸应力波在正向传播路径中条纹级数没有明显变化,在节理面处有明显的反射,在反向传播路径中条纹级数呈衰减的规律,在节理面处动光弹条纹具有很好的连续性,爆炸应力波在反向梯度介质中具有更好的穿透性。梯度介质中节理和材料的改变使水平应力衰减的速度发生改变,在正向梯度介质中水平应力的衰减速度更快。通过引入坡印廷矢量对其能流密度进行比较,发现在相同测点处正向梯度材料中能流密度额衰减速度更快,爆炸应力波在正向梯度材料中的传播过程属于“吸能”过程。
层状复合岩体广泛存在于矿山开采、隧道挖掘、交通建设和边坡治理等工程领域,是自然界中常见的一种地质结构。本文通过环氧树脂材料模拟层状复合岩体,利用动态光弹性-数字图像相关综合实验系统对爆炸应力波在梯度介质中的传播过程进行可视化精细化分析,研究爆炸应力波在正向梯度和反向梯度两种情况下的衰减规律和能流密度演化规律。/t/n爆炸应力波在正向传播路径中条纹级数没有明显变化,在节理面处有明显的反射,在反向传播路径中条纹级数呈衰减的规律,在节理面处动光弹条纹具有很好的连续性,爆炸应力波在反向梯度介质中具有更好的穿透性。梯度介质中节理和材料的改变使水平应力衰减的速度发生改变,在正向梯度介质中水平应力的衰减速度更快。通过引入坡印廷矢量对其能流密度进行比较,发现在相同测点处正向梯度材料中能流密度额衰减速度更快,爆炸应力波在正向梯度材料中的传播过程属于“吸能”过程。
当前状态:
, 最新更新时间: ,
doi: 10.11883/bzycj-2025-0052

摘要:
为预防丙烯在生产使用过程中燃爆危险的发生,利用12L爆炸极限测试仪测定了丙烯在空气中不同初始温度(20~180℃)和不同初始压力(0.1~0.9MPa)条件下的爆炸极限。研究发现:随着初始温度、初始压力的增加丙烯爆炸上限显著升高,爆炸下限略微降低,爆炸极限区域明显变宽。在初始温度为180℃时,随着压力的升高,丙烯爆炸上限增幅明显高于线性增幅,爆炸产物中碳粉含量明显增加,丙烯爆炸下限降幅由线性变为滑梯状曲线。初始温度、初始压力的耦合影响明显高于单因素的影响且对爆炸上限的影响明显高于爆炸下限,在测试温度、压力范围内耦合影响:爆炸上限上升108%,爆炸下限下降18.05%。初始温度单因素影响:爆炸上限上升3.8%,爆炸下限下降3.41%。初始压力单因素影响:爆炸上限上升51.3%,爆炸下限下降2.44%。为此,本文给出了丙烯在不同初始温度、压力下爆炸极限数据的曲线、曲面及其拟合公式。
为预防丙烯在生产使用过程中燃爆危险的发生,利用12L爆炸极限测试仪测定了丙烯在空气中不同初始温度(20~180℃)和不同初始压力(0.1~0.9MPa)条件下的爆炸极限。研究发现:随着初始温度、初始压力的增加丙烯爆炸上限显著升高,爆炸下限略微降低,爆炸极限区域明显变宽。在初始温度为180℃时,随着压力的升高,丙烯爆炸上限增幅明显高于线性增幅,爆炸产物中碳粉含量明显增加,丙烯爆炸下限降幅由线性变为滑梯状曲线。初始温度、初始压力的耦合影响明显高于单因素的影响且对爆炸上限的影响明显高于爆炸下限,在测试温度、压力范围内耦合影响:爆炸上限上升108%,爆炸下限下降18.05%。初始温度单因素影响:爆炸上限上升3.8%,爆炸下限下降3.41%。初始压力单因素影响:爆炸上限上升51.3%,爆炸下限下降2.44%。为此,本文给出了丙烯在不同初始温度、压力下爆炸极限数据的曲线、曲面及其拟合公式。
当前状态:
, 最新更新时间: ,
doi: 10.11883/bzycj-2025-0145

摘要:
为有效控制受限空间氢-空气爆炸强度,并揭示含甲基膦酸二甲酯 (O=P(CH3)(OCH3)2) 的微米级水雾的抑爆机理,通过定容燃烧弹试验平台及Chemkin-Pro程序,开展试验研究与化学动力学分析。结果表明:含O=P(CH3)(OCH3)2的细水雾可导致火焰锋面细胞状结构增多促使火焰失稳传播;当Φ=0.8、1.0和1.5时,含O=P(CH3)(OCH3)2的细水雾有效衰减了平均火焰速度(衰减率:24.2%~47.2%)并阻止了郁金香火焰形成,取而代之的是波纹状火焰。含O=P(CH3)(OCH3)2的细水雾通过降低层流燃烧速度抑制升压速率,另一方面增强火焰的失稳特性增大升压速率,最终抑制效果(衰减率:41.0%~65.8%)取决于上述两种作用的耦合效应。含的O=P(CH3)(OCH3)2的细水雾通过降低H∙、O∙和OH∙的浓度实现爆炸的有效抑制,其中H∙、O∙和OH∙浓度衰减80%以上。细水雾基于火焰前沿冷却效应和物理稀释效应实现爆炸抑制,O=P(CH3)(OCH3)2基于分解后产生的HOPO∙、HOPO2∙、HPO2∙、PO(OH)2∙和PO(H)(OH)∙捕捉H∙和OH∙生成H2和H2O等稳定化合物实现氢-空气爆炸的化学动力学抑制。
为有效控制受限空间氢-空气爆炸强度,并揭示含甲基膦酸二甲酯 (O=P(CH3)(OCH3)2) 的微米级水雾的抑爆机理,通过定容燃烧弹试验平台及Chemkin-Pro程序,开展试验研究与化学动力学分析。结果表明:含O=P(CH3)(OCH3)2的细水雾可导致火焰锋面细胞状结构增多促使火焰失稳传播;当Φ=0.8、1.0和1.5时,含O=P(CH3)(OCH3)2的细水雾有效衰减了平均火焰速度(衰减率:24.2%~47.2%)并阻止了郁金香火焰形成,取而代之的是波纹状火焰。含O=P(CH3)(OCH3)2的细水雾通过降低层流燃烧速度抑制升压速率,另一方面增强火焰的失稳特性增大升压速率,最终抑制效果(衰减率:41.0%~65.8%)取决于上述两种作用的耦合效应。含的O=P(CH3)(OCH3)2的细水雾通过降低H∙、O∙和OH∙的浓度实现爆炸的有效抑制,其中H∙、O∙和OH∙浓度衰减80%以上。细水雾基于火焰前沿冷却效应和物理稀释效应实现爆炸抑制,O=P(CH3)(OCH3)2基于分解后产生的HOPO∙、HOPO2∙、HPO2∙、PO(OH)2∙和PO(H)(OH)∙捕捉H∙和OH∙生成H2和H2O等稳定化合物实现氢-空气爆炸的化学动力学抑制。
当前状态:
, 最新更新时间: ,
doi: 10.11883/bzycj-2024-0515

摘要:
深海水下爆炸因极端环境的复杂性,在理论与试验研究中面临诸多挑战。现有研究虽涉及冲击波载荷和气 泡脉动规律,但往往集中在特定环境下,缺乏系统性。随着深海资源开发的推进,系统地研究不同工况下的深海爆炸 冲击波载荷及其气泡脉动的规律,对科学研究与工程实际应用具有重要意义。本文针对深海水下爆炸现象,基于气泡 统一方程(Zhang方程)理论模型,使用数值模拟的方式开展了对于不同水深、爆距和装药量的工况下水下爆炸冲击波 和气泡脉动的研究。模拟结果显示:冲击波压力峰值主要受装药量和爆距控制,并随水深以每千米约1%的幅度增加。 冲击波冲量和比冲击波能会随着水深和爆距的增加而减小,而与装药量呈正相关。气泡脉动半径主要受装药量和水深 控制,深水中的气泡脉动现象会更不显著。同时,在一个完整脉动周期内气泡膨胀阶段时间上要略大于气泡坍缩阶段。
深海水下爆炸因极端环境的复杂性,在理论与试验研究中面临诸多挑战。现有研究虽涉及冲击波载荷和气 泡脉动规律,但往往集中在特定环境下,缺乏系统性。随着深海资源开发的推进,系统地研究不同工况下的深海爆炸 冲击波载荷及其气泡脉动的规律,对科学研究与工程实际应用具有重要意义。本文针对深海水下爆炸现象,基于气泡 统一方程(Zhang方程)理论模型,使用数值模拟的方式开展了对于不同水深、爆距和装药量的工况下水下爆炸冲击波 和气泡脉动的研究。模拟结果显示:冲击波压力峰值主要受装药量和爆距控制,并随水深以每千米约1%的幅度增加。 冲击波冲量和比冲击波能会随着水深和爆距的增加而减小,而与装药量呈正相关。气泡脉动半径主要受装药量和水深 控制,深水中的气泡脉动现象会更不显著。同时,在一个完整脉动周期内气泡膨胀阶段时间上要略大于气泡坍缩阶段。
当前状态:
, 最新更新时间: ,
doi: 10.11883/bzycj-2025-0123

摘要:
当前状态:
, 最新更新时间: ,
doi: 10.11883/bzycj-2025-0046

摘要:
针对现役民用飞机铝合金加筋结构机头端框挡板存在的轻量化不足问题,在深入探究泡沫铝夹芯结构抗鸟体冲击吸能机理的基础上,提出了一种新型泡沫铝夹层挡板结构。该结构采用非对称面板设计,高塑性2024-T3铝合金作为上面板,高强度7075-T6铝合金作为下面板,中间填充泡沫铝芯层,用以替代传统铝合金加筋板,旨在保证优异抗鸟撞性能的同时显著减轻结构重量。首先通过铝合金平板的高速鸟体撞击试验,验证了鸟体本构模型及接触算法的有效性,结合参数反演与仿真算例,验证了泡沫铝材料本构模型的准确性与适用性;进一步,利用Pam-crash软件对加筋板结构与泡沫铝夹芯结构端框进行了鸟撞瞬态冲击动力学仿真,对比分析了二者的冲击响应特性与能量吸收机理差异。研究表明:加筋板主要依靠塑性变形来吸收鸟撞能量,而泡沫铝夹芯结构则通过芯层的压缩坍塌失效、上面板的塑性大变形机制协同吸收能量;优化后的泡沫铝夹芯结构在能量吸收效率方面显著优于传统加筋板结构;进而,基于泡沫铝夹芯结构的吸能特性完成了覆盖挡板全区域的优化设计方案;基于全覆盖鸟撞冲击仿真结果,所提出的泡沫铝夹芯挡板设计方案在保持与现役结构同等抗鸟撞性能的前提下,实现了30%以上的结构重量减轻。本研究为民用飞机机头端框的抗鸟撞轻量化设计提供了可靠的技术参考与创新思路。
针对现役民用飞机铝合金加筋结构机头端框挡板存在的轻量化不足问题,在深入探究泡沫铝夹芯结构抗鸟体冲击吸能机理的基础上,提出了一种新型泡沫铝夹层挡板结构。该结构采用非对称面板设计,高塑性2024-T3铝合金作为上面板,高强度7075-T6铝合金作为下面板,中间填充泡沫铝芯层,用以替代传统铝合金加筋板,旨在保证优异抗鸟撞性能的同时显著减轻结构重量。首先通过铝合金平板的高速鸟体撞击试验,验证了鸟体本构模型及接触算法的有效性,结合参数反演与仿真算例,验证了泡沫铝材料本构模型的准确性与适用性;进一步,利用Pam-crash软件对加筋板结构与泡沫铝夹芯结构端框进行了鸟撞瞬态冲击动力学仿真,对比分析了二者的冲击响应特性与能量吸收机理差异。研究表明:加筋板主要依靠塑性变形来吸收鸟撞能量,而泡沫铝夹芯结构则通过芯层的压缩坍塌失效、上面板的塑性大变形机制协同吸收能量;优化后的泡沫铝夹芯结构在能量吸收效率方面显著优于传统加筋板结构;进而,基于泡沫铝夹芯结构的吸能特性完成了覆盖挡板全区域的优化设计方案;基于全覆盖鸟撞冲击仿真结果,所提出的泡沫铝夹芯挡板设计方案在保持与现役结构同等抗鸟撞性能的前提下,实现了30%以上的结构重量减轻。本研究为民用飞机机头端框的抗鸟撞轻量化设计提供了可靠的技术参考与创新思路。
当前状态:
, 最新更新时间: ,
doi: 10.11883/bzycj-2025-0095

摘要:
新型低当量钻地核弹的多点聚集爆炸对深地工程构成严重威胁。针对传统单点模拟难以复现此类多点协同毁伤爆炸成坑效应的难题,本文创新性地设计并开发了基于真空室的大当量多点聚集爆炸成坑效应模拟试验系统。该系统的核心创新点在于利用利用真空室模拟试验技术可以高效、快捷的模拟大当量多点爆炸成坑效应,并且实验成本低,试验结果可重复。基于真空室爆炸模拟理论,建立了大当量多点聚集爆炸成坑效应的相似律,确定了真空室压力、多点模拟爆腔压力等关键参数,并通过同步性试验验证了多爆源之间的同步性。以美国“Palanquin”地下核爆炸成坑原型试验为参照,开展了深埋(4.3 kt,埋深85 m)与浅埋(5 kt,埋深20 m)两组不同工况下的三点爆源真空室爆炸成坑模拟试验,并与单点爆炸成坑原型试验统计结果及经验公式进行了对比。结果表明:相较于单点爆炸,多点爆炸显著提升了成坑半径、体积及自由面投影面积,极大扩展了毁伤区域;爆源埋深对毁伤效应影响显著。本研究首创的真空室多点爆炸模拟系统及方法,为准确评估钻地核弹多点聚集爆炸对深地下工程的毁伤机制与效能,提供了不可替代的试验平台和坚实的理论基础,具有重要的工程应用价值。
新型低当量钻地核弹的多点聚集爆炸对深地工程构成严重威胁。针对传统单点模拟难以复现此类多点协同毁伤爆炸成坑效应的难题,本文创新性地设计并开发了基于真空室的大当量多点聚集爆炸成坑效应模拟试验系统。该系统的核心创新点在于利用利用真空室模拟试验技术可以高效、快捷的模拟大当量多点爆炸成坑效应,并且实验成本低,试验结果可重复。基于真空室爆炸模拟理论,建立了大当量多点聚集爆炸成坑效应的相似律,确定了真空室压力、多点模拟爆腔压力等关键参数,并通过同步性试验验证了多爆源之间的同步性。以美国“Palanquin”地下核爆炸成坑原型试验为参照,开展了深埋(4.3 kt,埋深85 m)与浅埋(5 kt,埋深20 m)两组不同工况下的三点爆源真空室爆炸成坑模拟试验,并与单点爆炸成坑原型试验统计结果及经验公式进行了对比。结果表明:相较于单点爆炸,多点爆炸显著提升了成坑半径、体积及自由面投影面积,极大扩展了毁伤区域;爆源埋深对毁伤效应影响显著。本研究首创的真空室多点爆炸模拟系统及方法,为准确评估钻地核弹多点聚集爆炸对深地下工程的毁伤机制与效能,提供了不可替代的试验平台和坚实的理论基础,具有重要的工程应用价值。
当前状态:
, 最新更新时间: ,
doi: 10.11883/bzycj-2025-0129

摘要:
为探究入射角与攻角对弹体侵彻混凝土薄靶偏转特性的影响,基于数值模拟方法将弹体分为6段进行受力分析,系统研究了不同入射角(5°~30°)与攻角(-6°~6°)单独及联合作用下弹体的运动特性。研究结果表明:侵彻过程中弹头受力方向反转和弹身向前运动引起的偏转力矩方向变化共同造成了弹体的偏转;正入射角条件下弹道轨迹表现为向上偏转,若带有攻角,则攻角的正负决定弹道的偏转方向;同方向的入射角与攻角会使弹体的姿态角在出靶后先减小后反向增大;两者方向相反时,较小的攻角会使弹体出靶后姿态角持续增大,此时较大的入射角会使弹体在侵彻过程中经历三次偏转,攻角大于2°则会使弹体出靶后姿态角先减小后反向增大。
为探究入射角与攻角对弹体侵彻混凝土薄靶偏转特性的影响,基于数值模拟方法将弹体分为6段进行受力分析,系统研究了不同入射角(5°~30°)与攻角(-6°~6°)单独及联合作用下弹体的运动特性。研究结果表明:侵彻过程中弹头受力方向反转和弹身向前运动引起的偏转力矩方向变化共同造成了弹体的偏转;正入射角条件下弹道轨迹表现为向上偏转,若带有攻角,则攻角的正负决定弹道的偏转方向;同方向的入射角与攻角会使弹体的姿态角在出靶后先减小后反向增大;两者方向相反时,较小的攻角会使弹体出靶后姿态角持续增大,此时较大的入射角会使弹体在侵彻过程中经历三次偏转,攻角大于2°则会使弹体出靶后姿态角先减小后反向增大。
当前状态:
, 最新更新时间: ,
doi: 10.11883/bzycj-2025-0040

摘要:
随着全球恐怖主义和工业事故的增加,对基础设施在爆炸冲击下的安全性研究变得尤为迫切。试验作为探究材料和结构在爆炸冲击下动力响应和损伤特性的关键手段,其安全、高效、准确的模拟爆炸冲击加载技术成为了该领域的研究热点与挑战。综述了模拟远场爆炸荷载的等效加载试验技术研究进展,包括炸药驱动激波管、高压气体驱动激波管、落锤冲击试验机和液压驱动模拟器等。这些技术在模拟爆炸冲击波方面各有优势和局限性,但都致力于提供一个可控和安全的实验环境,以复现爆炸产生的高速气流和冲击波。通过对比分析,揭示了各种技术在模拟爆炸载荷的准确性、适用性和操作便利性方面的性能,并讨论了它们在实际应用中的潜力和挑战。最后,介绍了一种基于液气相变膨胀的新型模拟爆炸加载试验技术并对其后续研究方向进行了展望。
随着全球恐怖主义和工业事故的增加,对基础设施在爆炸冲击下的安全性研究变得尤为迫切。试验作为探究材料和结构在爆炸冲击下动力响应和损伤特性的关键手段,其安全、高效、准确的模拟爆炸冲击加载技术成为了该领域的研究热点与挑战。综述了模拟远场爆炸荷载的等效加载试验技术研究进展,包括炸药驱动激波管、高压气体驱动激波管、落锤冲击试验机和液压驱动模拟器等。这些技术在模拟爆炸冲击波方面各有优势和局限性,但都致力于提供一个可控和安全的实验环境,以复现爆炸产生的高速气流和冲击波。通过对比分析,揭示了各种技术在模拟爆炸载荷的准确性、适用性和操作便利性方面的性能,并讨论了它们在实际应用中的潜力和挑战。最后,介绍了一种基于液气相变膨胀的新型模拟爆炸加载试验技术并对其后续研究方向进行了展望。
当前状态:
, 最新更新时间: ,
doi: 10.11883/bzycj-2025-0164

摘要:
内凹蜂窝的悬链线增强方法通过同步改善中空结构提升承载、增强负泊松比效应、改善变形模式、利用悬链线结构高承载实现耐撞性的显著提升,在此基础上提出增强内凹蜂窝夹层梁以提升抗弯性能。采用“冲压+粘接”方法分别制造传统、增强内凹蜂窝夹层梁金属样件开展三点弯曲实验,结果显示:悬链线结构通过抑制传统内凹蜂窝侧胞壁绕节点的旋转变形将其初始塑性变形后承载力的下降比例由29.3%降低至6.6%。相较于传统内凹蜂窝夹层梁,等相对密度增强内凹蜂窝夹层梁的最大承载力、能量吸收分别提高26.7%、8.9%。开展参数化研究确定面板、芯层壁厚对夹层梁三点弯曲力学行为均具有显著影响。基于参数化研究结果开展以面板、芯层壁厚为变量的夹层梁抗冲击性能多目标优化,相较于夹层梁初始结构,优化后夹层梁最大承载力和能量吸收分别提高64.9%和46.9%。与面内、面外传统蜂窝夹层梁分别进行等壁厚、等质量下的抗冲击性能对比,证明提出增强内凹蜂窝夹层梁更优异的吸能防护性能。本文研究结果可为传统蜂窝夹层结构的强化设计提供有益指导。
内凹蜂窝的悬链线增强方法通过同步改善中空结构提升承载、增强负泊松比效应、改善变形模式、利用悬链线结构高承载实现耐撞性的显著提升,在此基础上提出增强内凹蜂窝夹层梁以提升抗弯性能。采用“冲压+粘接”方法分别制造传统、增强内凹蜂窝夹层梁金属样件开展三点弯曲实验,结果显示:悬链线结构通过抑制传统内凹蜂窝侧胞壁绕节点的旋转变形将其初始塑性变形后承载力的下降比例由29.3%降低至6.6%。相较于传统内凹蜂窝夹层梁,等相对密度增强内凹蜂窝夹层梁的最大承载力、能量吸收分别提高26.7%、8.9%。开展参数化研究确定面板、芯层壁厚对夹层梁三点弯曲力学行为均具有显著影响。基于参数化研究结果开展以面板、芯层壁厚为变量的夹层梁抗冲击性能多目标优化,相较于夹层梁初始结构,优化后夹层梁最大承载力和能量吸收分别提高64.9%和46.9%。与面内、面外传统蜂窝夹层梁分别进行等壁厚、等质量下的抗冲击性能对比,证明提出增强内凹蜂窝夹层梁更优异的吸能防护性能。本文研究结果可为传统蜂窝夹层结构的强化设计提供有益指导。
当前状态:
, 最新更新时间: ,
doi: 10.11883/bzycj-2025-0133

摘要:
为定量评估缺陷的装药的过载安定性,创新性建立了一种能够同时兼顾高过载压力和宽脉冲的装药过载环境力试验装置系统,测试了不同缺陷的装药载荷特征值,通过量化实验系统对装药载荷特征值的影响规律,建立了装药响应行为与图像灰度的关联机制,引入测试装置转换因子,提出了含缺陷装药的过载安定性评估模型,预测了不同缺陷装药的响应临界压力阈值。结果表明:实验系统能够实现大于1GPa的过载峰值和脉冲宽度大于100μs的高冲量脉冲。随着缺陷的直径增加,加载响应的反应等级显著升高,随着装药缺陷直径由0mm增加到12mm,燃烧反应临界压力由0.71GPa向0.26GPa递减。当装药的缺陷直径达到10mm时,出现爆燃反应临界压力,为1.56GPa。随着缺陷直径增加,爆燃反应临界压力递减,在缺陷为Φ12mm时减为1.25GPa。运用模型预测所得反应临界压力均处于由反应最小过载压力和未反应最大过载压力包围成的实验数据置信范围内,验证了模型的可靠性,为含缺陷装药的安全服役提供理论和试验数据支撑。
为定量评估缺陷的装药的过载安定性,创新性建立了一种能够同时兼顾高过载压力和宽脉冲的装药过载环境力试验装置系统,测试了不同缺陷的装药载荷特征值,通过量化实验系统对装药载荷特征值的影响规律,建立了装药响应行为与图像灰度的关联机制,引入测试装置转换因子,提出了含缺陷装药的过载安定性评估模型,预测了不同缺陷装药的响应临界压力阈值。结果表明:实验系统能够实现大于1GPa的过载峰值和脉冲宽度大于100μs的高冲量脉冲。随着缺陷的直径增加,加载响应的反应等级显著升高,随着装药缺陷直径由0mm增加到12mm,燃烧反应临界压力由0.71GPa向0.26GPa递减。当装药的缺陷直径达到10mm时,出现爆燃反应临界压力,为1.56GPa。随着缺陷直径增加,爆燃反应临界压力递减,在缺陷为Φ12mm时减为1.25GPa。运用模型预测所得反应临界压力均处于由反应最小过载压力和未反应最大过载压力包围成的实验数据置信范围内,验证了模型的可靠性,为含缺陷装药的安全服役提供理论和试验数据支撑。
当前状态:
, 最新更新时间: ,
doi: 10.11883/bzycj-2025-0146

摘要:
为了探究非线性斜交节理岩体中纵波的传播特性,采用理论分析、对比验证、数值计算相结合的方法,首先引用双曲线节理模型,基于应力波与线性节理的交互作用关系,根据叠加原理推导纵波入射非线性斜交节理的传播方程,其次依据文献的入射纵波参数与节理岩体条件,计算透反射系数发现结果非常接近,验证本文理论模型是准确可行的,然后选取δ 函数的辅助函数作为入射纵波,通过参数研究分析纵波波形、持时以及节理刚度对斜交节理岩体中纵波传播特性的影响规律。研究结果表明:δ 函数的辅助函数入射斜交节理时具有明显地幅值降低、幅值时刻滞后以及持时延长的现象,更能体现纵波短时内的突变特性和非线性衰减特征;斜交节理岩体中入射纵波持时的增加会明显提高P波的透射性能,稍微降低P波和S波的反射特性,但是对S波的透射影响非常薄弱;纵波传播至斜交节理时P波易透射微反射,S波易反射微透射,随着k n0和k s的增加,反射系数R sc呈下凹曲面型衰减,透射系数T pc呈上凸曲面型递增,P波的透射性能与节理法向刚度相关性密切,S波的反射特性受斜交节理中第2条节理影响显著。本文研究成果有益于开展天然节理岩体的力学特性和动力响应研究。
为了探究非线性斜交节理岩体中纵波的传播特性,采用理论分析、对比验证、数值计算相结合的方法,首先引用双曲线节理模型,基于应力波与线性节理的交互作用关系,根据叠加原理推导纵波入射非线性斜交节理的传播方程,其次依据文献的入射纵波参数与节理岩体条件,计算透反射系数发现结果非常接近,验证本文理论模型是准确可行的,然后选取
当前状态:
, 最新更新时间: ,
doi: 10.11883/bzycj-2024-0520

摘要:
为了研究翼身融合(Blended Wing Body, BWB)新构型民机的结构坠撞响应,以美国国家航空航天局提出的拉挤杆缝合一体化(Pultruded Rod Stitched Efficient Unitized Structure, PRSEUS)结构为基础,用临界机动载荷(2.5g过载和-1.0g过载)和客舱增压载荷(2倍客舱增压载荷)共3种典型载荷工况作为评估BWB结构强度、刚度的输入条件,建立了一款450座级的BWB民机结构模型。在垂向26 ft/s-30 ft/s的坠撞工况下,进行了数值模拟研究,重点分析了客舱空间保持情况、客舱地板的加速度响应以及主要承力结构的冲击特性。结果表明:BWB机身在不同冲击速度下客舱区域均基本保持完整,主要破坏发生在客舱地板以下区域,可生存空间得到保持;翼身融合构型民机在坠撞时产生的加速度响应分布呈现由中央过道向机体侧部降低的趋势,且中央过道处的加速度峰值较高;结构吸能方面,隔框是最主要的吸能结构,其次是机身肋板,而货舱立柱未很好的压溃吸能。
为了研究翼身融合(Blended Wing Body, BWB)新构型民机的结构坠撞响应,以美国国家航空航天局提出的拉挤杆缝合一体化(Pultruded Rod Stitched Efficient Unitized Structure, PRSEUS)结构为基础,用临界机动载荷(2.5g过载和-1.0g过载)和客舱增压载荷(2倍客舱增压载荷)共3种典型载荷工况作为评估BWB结构强度、刚度的输入条件,建立了一款450座级的BWB民机结构模型。在垂向26 ft/s-30 ft/s的坠撞工况下,进行了数值模拟研究,重点分析了客舱空间保持情况、客舱地板的加速度响应以及主要承力结构的冲击特性。结果表明:BWB机身在不同冲击速度下客舱区域均基本保持完整,主要破坏发生在客舱地板以下区域,可生存空间得到保持;翼身融合构型民机在坠撞时产生的加速度响应分布呈现由中央过道向机体侧部降低的趋势,且中央过道处的加速度峰值较高;结构吸能方面,隔框是最主要的吸能结构,其次是机身肋板,而货舱立柱未很好的压溃吸能。
当前状态:
, 最新更新时间: ,
doi: 10.11883/bzycj-2025-0103

摘要:
当前状态:
, 最新更新时间: ,
doi: 10.11883/bzycj-2025-0039

摘要:
基于激光驱动方式建立了一种面向金属粉末的冲击压缩特性研究技术。通过靶型优化设计和实验验证,在实现冲击波加载特性调控的同时,解决了粉末材料无固定几何形状对测量带来的技术困难;在靶结构中采用局部镀膜的方法,解决了粘胶对石英标准材料厚度测量的影响,保证了数据的真实性。利用三维CT成像技术表征实验用靶的装配质量,通过靶物理设计和改进装配方法获得了满足激光驱动金属粉末压缩特性研究的微型靶,实现了不同初始密度的研制。实验数据一致性较好,与独立计算的WEOS模拟结果吻合度好且能有效的区分不同初始密度下的数据趋势。该实验技术可拓展到其他粉末颗粒的冲击压缩特性研究中。
基于激光驱动方式建立了一种面向金属粉末的冲击压缩特性研究技术。通过靶型优化设计和实验验证,在实现冲击波加载特性调控的同时,解决了粉末材料无固定几何形状对测量带来的技术困难;在靶结构中采用局部镀膜的方法,解决了粘胶对石英标准材料厚度测量的影响,保证了数据的真实性。利用三维CT成像技术表征实验用靶的装配质量,通过靶物理设计和改进装配方法获得了满足激光驱动金属粉末压缩特性研究的微型靶,实现了不同初始密度的研制。实验数据一致性较好,与独立计算的WEOS模拟结果吻合度好且能有效的区分不同初始密度下的数据趋势。该实验技术可拓展到其他粉末颗粒的冲击压缩特性研究中。
当前状态:
, 最新更新时间: ,
doi: 10.11883/bzycj-2024-0324

摘要:
摘要:基于霍普金森压杆技术,采用新设计的微型纯Ⅰ型断裂试样和配套夹具提出了针对陶瓷材料的新型动态断裂测试方法,试样的起裂时间由应变片法测得。对氧化铝陶瓷开展了不同加载速率下的动态断裂实验,采用实验-数值方法得到了材料的Ⅰ型动态应力强度因子曲线及动态断裂韧性。随着加载速率从0.45TPa·m1/2·s-1提高到1.83TPa·m1/2·s-1,氧化铝陶瓷的Ⅰ型动态断裂韧性值由8.39TPa·m1/2增加至15.76TPa·m1/2,而起裂时间则随着加载速率的增加而不断减小。由断口分析可知,随着加载速率的增加,氧化铝陶瓷由沿晶断裂占主导的失效模式逐步转变为以穿晶-沿晶相混合的断裂模式。这期间,更多的微缺陷被激活并扩展形成微裂纹,从而导致混合型断裂模式的发生。材料失效模式的转变将引起更多的能量耗散,因此是断裂韧性的升高的根本原因。
摘要:基于霍普金森压杆技术,采用新设计的微型纯Ⅰ型断裂试样和配套夹具提出了针对陶瓷材料的新型动态断裂测试方法,试样的起裂时间由应变片法测得。对氧化铝陶瓷开展了不同加载速率下的动态断裂实验,采用实验-数值方法得到了材料的Ⅰ型动态应力强度因子曲线及动态断裂韧性。随着加载速率从0.45TPa·m1/2·s-1提高到1.83TPa·m1/2·s-1,氧化铝陶瓷的Ⅰ型动态断裂韧性值由8.39TPa·m1/2增加至15.76TPa·m1/2,而起裂时间则随着加载速率的增加而不断减小。由断口分析可知,随着加载速率的增加,氧化铝陶瓷由沿晶断裂占主导的失效模式逐步转变为以穿晶-沿晶相混合的断裂模式。这期间,更多的微缺陷被激活并扩展形成微裂纹,从而导致混合型断裂模式的发生。材料失效模式的转变将引起更多的能量耗散,因此是断裂韧性的升高的根本原因。
当前状态:
, 最新更新时间: ,
doi: 10.11883/bzycj-2024-0441

摘要:
该文对钢筋混凝土(RC)墩柱在侧向冲击荷载作用下的动力响应和损伤程度评估进行研究。采用显式动力分析软件LS-DYNA建立RC墩柱侧向冲击的精细化有限元模型,基于RC墩柱侧向冲击试验,验证了有限元模型的有效性。探讨了冲击速度、冲击质量、冲击位置和墩柱轴压比对RC墩柱的动力响应和损伤演变的影响规律。基于剩余承载力和残余位移,提出相对残余位移和相对剩余承载力指标,确定了RC墩柱发生轻度损伤、中度损伤、重度损伤和倒塌对应的相对剩余承载力值,并建立了不同冲击位置和墩柱轴压比下相对残余位移和相对剩余承载力的映射关系,进而提出一种新的RC墩柱损伤评估方法。研究结果表明:RC墩柱在柱中位置遭受冲击的主要表现为弯剪破坏,而柱底位置遭受冲击的主要表现为局部剪切破坏。随着冲击速度和冲击质量的增加,残余位移显著增大,剩余承载力显著下降。轴压比在0.2~0.4范围内对于冲击力和位移峰值的影响有限,但对柱中冲击时的残余位移产生显著影响。柱中位置和柱底位置受侧向冲击时,相对残余位移与相对剩余承载力之间存在着近似线性的关系,相对残余位移越大,相对剩余承载力越小。在相对残余位移相等的情况下,柱底冲击比柱中冲击的相对剩余承载力更低,承载性能下降幅度更大。研究结果可为实际工程中的RC墩柱抗冲击设计和损伤评估提供理论依据。/t/n关键词:桥梁工程;损伤评估;数值仿真;RC墩柱;侧向冲击
该文对钢筋混凝土(RC)墩柱在侧向冲击荷载作用下的动力响应和损伤程度评估进行研究。采用显式动力分析软件LS-DYNA建立RC墩柱侧向冲击的精细化有限元模型,基于RC墩柱侧向冲击试验,验证了有限元模型的有效性。探讨了冲击速度、冲击质量、冲击位置和墩柱轴压比对RC墩柱的动力响应和损伤演变的影响规律。基于剩余承载力和残余位移,提出相对残余位移和相对剩余承载力指标,确定了RC墩柱发生轻度损伤、中度损伤、重度损伤和倒塌对应的相对剩余承载力值,并建立了不同冲击位置和墩柱轴压比下相对残余位移和相对剩余承载力的映射关系,进而提出一种新的RC墩柱损伤评估方法。研究结果表明:RC墩柱在柱中位置遭受冲击的主要表现为弯剪破坏,而柱底位置遭受冲击的主要表现为局部剪切破坏。随着冲击速度和冲击质量的增加,残余位移显著增大,剩余承载力显著下降。轴压比在0.2~0.4范围内对于冲击力和位移峰值的影响有限,但对柱中冲击时的残余位移产生显著影响。柱中位置和柱底位置受侧向冲击时,相对残余位移与相对剩余承载力之间存在着近似线性的关系,相对残余位移越大,相对剩余承载力越小。在相对残余位移相等的情况下,柱底冲击比柱中冲击的相对剩余承载力更低,承载性能下降幅度更大。研究结果可为实际工程中的RC墩柱抗冲击设计和损伤评估提供理论依据。/t/n关键词:桥梁工程;损伤评估;数值仿真;RC墩柱;侧向冲击
当前状态:
, 最新更新时间: ,
doi: 10.11883/bzycj-2025-0125

摘要:
层状岩体在受到爆破等冲击荷载作用后,极易造成层理结构面开裂甚至发生大面积塌方破坏,工程中常采用锚杆或锚索对其进行锚固支护。本研究对无锚、端锚、半锚及全锚层理砂岩进行动态冲击试验研究,分析了不同锚固方式对层状砂岩动态力学特性、能量耗散规律及破裂分形特征的影响。研究结果表明:无锚试样强度随层理倾角增大,曲线表现先减小后增大,呈“V”型特征,试样在锚固后,强度得到明显提高,随锚固长度增大,曲线向倒“V”型特征转化;从能量方面来看,四类试样透射能变化规律均与强度变化规律相似,随层理倾角增大,反射能曲线呈倒“V”型特征,透射能逐渐减小,耗散能则逐渐增大,锚固方式仅影响了曲线整体水平;试样破坏后的碎屑具有明显分形特征,分形维数D受层理倾角影响曲线均表现为倒“V”型特征,全锚试样破碎程度最小,无锚试样最剧烈,在此基础上计算了单位耗散能指数,曲线则呈现"V"型特征,全锚试样的单位耗散能指数曲线整体水平最高,表明其抗破坏能力最强。研究成果可为层状岩体工程锚固支护提供参考。
层状岩体在受到爆破等冲击荷载作用后,极易造成层理结构面开裂甚至发生大面积塌方破坏,工程中常采用锚杆或锚索对其进行锚固支护。本研究对无锚、端锚、半锚及全锚层理砂岩进行动态冲击试验研究,分析了不同锚固方式对层状砂岩动态力学特性、能量耗散规律及破裂分形特征的影响。研究结果表明:无锚试样强度随层理倾角增大,曲线表现先减小后增大,呈“V”型特征,试样在锚固后,强度得到明显提高,随锚固长度增大,曲线向倒“V”型特征转化;从能量方面来看,四类试样透射能变化规律均与强度变化规律相似,随层理倾角增大,反射能曲线呈倒“V”型特征,透射能逐渐减小,耗散能则逐渐增大,锚固方式仅影响了曲线整体水平;试样破坏后的碎屑具有明显分形特征,分形维数D受层理倾角影响曲线均表现为倒“V”型特征,全锚试样破碎程度最小,无锚试样最剧烈,在此基础上计算了单位耗散能指数,曲线则呈现"V"型特征,全锚试样的单位耗散能指数曲线整体水平最高,表明其抗破坏能力最强。研究成果可为层状岩体工程锚固支护提供参考。
当前状态:
, 最新更新时间: ,
doi: 10.11883/bzycj-2025-0045

摘要:
煤尘爆炸因其强大的破坏力和广泛的致灾范围成为煤矿最严重的事故之一。为分析瞬态爆炸反应过程中多因素耦合效应对煤尘爆炸强度的影响,采用Box-Behnken试验设计方法共进行了45组20L球形爆炸试验,观察了煤尘浓度(A)、煤尘粒径(B)、煤挥发分(C)、点火能量(D)和点火延迟(E)5个因素耦合作用下煤尘爆炸强度的宏观特征。通过测量压力变化来监控爆炸过程,并从压力-时间曲线确定最大爆炸压力(响应值Y1)及其上升速率(响应值Y2)。使用Design-Expert软件分析实验结果,以建立响应值Y1和Y2的二次回归模型。结果表明,在方差分析(ANOVA)中,Y1和Y2的决定系数(R)分别为0.9771和0.9258,表明模型和实验数据之间的良好拟合。在模型中,对煤尘最大爆炸压力(Y1)影响最大的单因素是点火能量和点火延迟,对最大爆炸压力上升速率(Y2)影响最大的单因素是煤尘粒径和点火延迟。影响Y1的显著双因素交互作用是AB、AD、AE、BC、CD、CE和DE,而影响Y2的显著双因素交互作用是AE、BC、BE、CE和DE。其中,点火延迟在响应值Y1和Y2中起决定性作用。研究结果可为井下煤尘防爆工作提供理论基础。
煤尘爆炸因其强大的破坏力和广泛的致灾范围成为煤矿最严重的事故之一。为分析瞬态爆炸反应过程中多因素耦合效应对煤尘爆炸强度的影响,采用Box-Behnken试验设计方法共进行了45组20L球形爆炸试验,观察了煤尘浓度(A)、煤尘粒径(B)、煤挥发分(C)、点火能量(D)和点火延迟(E)5个因素耦合作用下煤尘爆炸强度的宏观特征。通过测量压力变化来监控爆炸过程,并从压力-时间曲线确定最大爆炸压力(响应值Y1)及其上升速率(响应值Y2)。使用Design-Expert软件分析实验结果,以建立响应值Y1和Y2的二次回归模型。结果表明,在方差分析(ANOVA)中,Y1和Y2的决定系数(R)分别为0.9771和0.9258,表明模型和实验数据之间的良好拟合。在模型中,对煤尘最大爆炸压力(Y1)影响最大的单因素是点火能量和点火延迟,对最大爆炸压力上升速率(Y2)影响最大的单因素是煤尘粒径和点火延迟。影响Y1的显著双因素交互作用是AB、AD、AE、BC、CD、CE和DE,而影响Y2的显著双因素交互作用是AE、BC、BE、CE和DE。其中,点火延迟在响应值Y1和Y2中起决定性作用。研究结果可为井下煤尘防爆工作提供理论基础。
当前状态:
, 最新更新时间: ,
doi: 10.11883/bzycj-2025-0092

摘要:
为揭示水下接触爆炸气泡脉动特性的变化规律,弥补现有理论对接触爆炸工况研究的不足,研究基于不可压缩无粘流体假设,建立了刚性壁面接触爆炸的半球形气泡动力学模型,推导了气泡最大半径、初始半径以及脉动周期与自由场参数的定量关系。理论分析表明,接触爆炸气泡最大半径、初始半径及脉动周期为自由场工况的1.26倍(理论比例系数)。采用LS-DYNA软件对0.3g TNT装药的水下爆炸进行数值模拟,结果显示接触爆炸工况下气泡最大半径和脉动周期分别为自由场的1.22倍和1.20倍,模拟值与理论预测误差小于10%。进一步通过水箱实验验证,接触爆炸气泡最大半径与周期分别为自由场的1.10倍和1.06倍,实际工况因流体可压缩性、气泡不稳定变形等因素影响,实际比例系数略低于理论比例系数。本文所提出的经验公式及定量关系可为水下接触爆炸毁伤评估提供理论支撑,在舰船防护结构设计与武器效能分析中具有重要应用价值。
为揭示水下接触爆炸气泡脉动特性的变化规律,弥补现有理论对接触爆炸工况研究的不足,研究基于不可压缩无粘流体假设,建立了刚性壁面接触爆炸的半球形气泡动力学模型,推导了气泡最大半径、初始半径以及脉动周期与自由场参数的定量关系。理论分析表明,接触爆炸气泡最大半径、初始半径及脉动周期为自由场工况的1.26倍(理论比例系数)。采用LS-DYNA软件对0.3g TNT装药的水下爆炸进行数值模拟,结果显示接触爆炸工况下气泡最大半径和脉动周期分别为自由场的1.22倍和1.20倍,模拟值与理论预测误差小于10%。进一步通过水箱实验验证,接触爆炸气泡最大半径与周期分别为自由场的1.10倍和1.06倍,实际工况因流体可压缩性、气泡不稳定变形等因素影响,实际比例系数略低于理论比例系数。本文所提出的经验公式及定量关系可为水下接触爆炸毁伤评估提供理论支撑,在舰船防护结构设计与武器效能分析中具有重要应用价值。
当前状态:
, 最新更新时间: ,
doi: 10.11883/bzycj-2024-0474

摘要:
混凝土管道在我国南水北调等重大输水工程中广泛应用,但山区埋地管道易受落石冲击引发泄漏事故。为探究地面混凝土垫层的防护机制,本研究通过全尺寸企口式混凝土管道落石冲击现场试验(埋深2m)结合DH8302动态应变系统与LS-DYNA数值模拟精细化建模,揭示了管道动应变分布规律及垫层参数的影响机制。研究结果表明:在埋深2m的工况下,受落石冲击时,管身裂缝失稳扩展更易导致企口式混凝土管道发生泄漏;管身峰值拉应变随垫层厚度与强度增大呈非线性减小,垫层厚度需超过临界值(15cm)方可显著耗能,且存在强度最优区间(C30-C35),过度提高强度反而会降低防护效能;垫层厚度的防护效能贡献占比达74%,防护设计应遵循“几何优先于材料”原则,建议采用C30-C35强度、厚度≥0.2m的混凝土垫层,可大幅降低管道冲击破坏风险,为山区管道防护提供量化设计依据。
混凝土管道在我国南水北调等重大输水工程中广泛应用,但山区埋地管道易受落石冲击引发泄漏事故。为探究地面混凝土垫层的防护机制,本研究通过全尺寸企口式混凝土管道落石冲击现场试验(埋深2m)结合DH8302动态应变系统与LS-DYNA数值模拟精细化建模,揭示了管道动应变分布规律及垫层参数的影响机制。研究结果表明:在埋深2m的工况下,受落石冲击时,管身裂缝失稳扩展更易导致企口式混凝土管道发生泄漏;管身峰值拉应变随垫层厚度与强度增大呈非线性减小,垫层厚度需超过临界值(15cm)方可显著耗能,且存在强度最优区间(C30-C35),过度提高强度反而会降低防护效能;垫层厚度的防护效能贡献占比达74%,防护设计应遵循“几何优先于材料”原则,建议采用C30-C35强度、厚度≥0.2m的混凝土垫层,可大幅降低管道冲击破坏风险,为山区管道防护提供量化设计依据。
当前状态:
, 最新更新时间: ,
doi: 10.11883/bzycj-2025-0023

摘要:
针对细长薄壁弹冲击下的高强钢-混凝土复合结构厚度极限计算问题,本文开展了细长薄壁弹冲击复合靶试验,基于试验结果分析了复合结构防护机理和弹体结构的破坏模式。在原有厚度极限计算模型的基础上,考虑了弹体结构强度这一关键因素,进而提出了新的厚度极限计算模型,并对相关参数经验性进行了讨论。研究结果表明:高强钢-混凝土复合结构的防护机理在于高强钢提供材料强度,混凝土背板提供支撑刚度,二者优势互补;由于细长薄壁弹体在冲击过程中易发生压缩胀裂破坏,计算模型必须考虑弹体结构强度对冲击效应的影响;复合结构的设计需同时兼顾高强钢力学性能和复合结构厚度极限2个重要方面。此外,本文指出计算模型存在参数具有经验性、计算结果偏保守等不足,后续研究还需对该模型加以修正。本文的研究成果能够为高强钢-混凝土复合结构在防护工程领域的设计应用提供理论依据。
针对细长薄壁弹冲击下的高强钢-混凝土复合结构厚度极限计算问题,本文开展了细长薄壁弹冲击复合靶试验,基于试验结果分析了复合结构防护机理和弹体结构的破坏模式。在原有厚度极限计算模型的基础上,考虑了弹体结构强度这一关键因素,进而提出了新的厚度极限计算模型,并对相关参数经验性进行了讨论。研究结果表明:高强钢-混凝土复合结构的防护机理在于高强钢提供材料强度,混凝土背板提供支撑刚度,二者优势互补;由于细长薄壁弹体在冲击过程中易发生压缩胀裂破坏,计算模型必须考虑弹体结构强度对冲击效应的影响;复合结构的设计需同时兼顾高强钢力学性能和复合结构厚度极限2个重要方面。此外,本文指出计算模型存在参数具有经验性、计算结果偏保守等不足,后续研究还需对该模型加以修正。本文的研究成果能够为高强钢-混凝土复合结构在防护工程领域的设计应用提供理论依据。
当前状态:
, 最新更新时间: ,
doi: 10.11883/bzycj-2024-0332

摘要:
为探究水下接触和近场爆炸下沉箱码头的毁伤机理和荷载特性,基于沉箱码头缩尺模型试验,采用有限元数值模拟开展对比研究,分析了沉箱码头内冲击波荷载传播、衰减规律以及沉箱码头的破坏过程和毁伤机理。研究结果表明:水下接触和近场爆炸下,沉箱码头的毁伤区域、破坏特征基本一致,毁伤程度随爆距的增加而降低,码头迎爆外墙和迎爆侧面板为主要破坏区域,沉箱码头侧墙和仓格内纵横隔墙轻微损伤,沉箱码头毁伤特征在水下爆炸冲击波阶段基本形成,完成时间略大于冲击波在沉箱码头内传播时长的2倍;水下接触和近场爆炸下沉箱码头内冲击波在仓格的隔墙与填砂界面发生反射和透射现象,由于传播介质的不同而产生不同的荷载变化规律,其中码头迎爆外墙、迎爆侧仓格的墙、板及填砂均受到较大载荷,冲击波荷载在码头结构内衰减迅速。
为探究水下接触和近场爆炸下沉箱码头的毁伤机理和荷载特性,基于沉箱码头缩尺模型试验,采用有限元数值模拟开展对比研究,分析了沉箱码头内冲击波荷载传播、衰减规律以及沉箱码头的破坏过程和毁伤机理。研究结果表明:水下接触和近场爆炸下,沉箱码头的毁伤区域、破坏特征基本一致,毁伤程度随爆距的增加而降低,码头迎爆外墙和迎爆侧面板为主要破坏区域,沉箱码头侧墙和仓格内纵横隔墙轻微损伤,沉箱码头毁伤特征在水下爆炸冲击波阶段基本形成,完成时间略大于冲击波在沉箱码头内传播时长的2倍;水下接触和近场爆炸下沉箱码头内冲击波在仓格的隔墙与填砂界面发生反射和透射现象,由于传播介质的不同而产生不同的荷载变化规律,其中码头迎爆外墙、迎爆侧仓格的墙、板及填砂均受到较大载荷,冲击波荷载在码头结构内衰减迅速。
当前状态:
, 最新更新时间: ,
doi: 10.11883/bzycj-2024-0428

摘要:
冲击波作用下建筑表面载荷分布直接影响建筑破坏模式及程度。为深入研究触地爆下建筑表面冲击波载荷分布规律,首先开展了实验室环境下精细化爆缩比实验,获取了球形炸药触地爆下缩比建筑模型表面测点冲击波压力时间曲线,得到了不同工况下冲击波特征参数分布规律;随后发展了冲击波传播数值仿真方法,并使用缩比实验数据对仿真方法进行校核,通过数值方法重点对建筑背爆面载荷分布及冲击波历程进行分析;最后发展了基于冲击波时程分析和叠加法则的理论分析方法,得到了建筑背爆面载荷分布的量化分析模型,并利用仿真结果进行验证。研究结果表明触地爆下建筑迎爆面最大冲击波载荷位于建筑底部,整体载荷分布较均匀;建筑背爆面载荷主要集中在顶角两侧及中轴线区域,由顶边和侧边绕射冲击波叠加形成,最大超压出现在不同绕射冲击波交汇位置,其位置和大小受建筑尺寸和爆心距影响。研究结果可为建筑爆炸破坏后果分析和抗爆设计提供指导。
冲击波作用下建筑表面载荷分布直接影响建筑破坏模式及程度。为深入研究触地爆下建筑表面冲击波载荷分布规律,首先开展了实验室环境下精细化爆缩比实验,获取了球形炸药触地爆下缩比建筑模型表面测点冲击波压力时间曲线,得到了不同工况下冲击波特征参数分布规律;随后发展了冲击波传播数值仿真方法,并使用缩比实验数据对仿真方法进行校核,通过数值方法重点对建筑背爆面载荷分布及冲击波历程进行分析;最后发展了基于冲击波时程分析和叠加法则的理论分析方法,得到了建筑背爆面载荷分布的量化分析模型,并利用仿真结果进行验证。研究结果表明触地爆下建筑迎爆面最大冲击波载荷位于建筑底部,整体载荷分布较均匀;建筑背爆面载荷主要集中在顶角两侧及中轴线区域,由顶边和侧边绕射冲击波叠加形成,最大超压出现在不同绕射冲击波交汇位置,其位置和大小受建筑尺寸和爆心距影响。研究结果可为建筑爆炸破坏后果分析和抗爆设计提供指导。
当前状态:
, 最新更新时间: ,
doi: 10.11883/bzycj-2024-0503

摘要:
为了满足对爆炸产生的压力荷载进行准确快速预测的需求,本文提出了一项基于图神经网络(Graph Neural Network,GNN)的爆炸压力时空分布预测人工智能模型。利用开源软件blastFoam进行计算流体动力学(Computational Fluid Dynamics,CFD)仿真,并通过网格重映射技术,以空间六面体网格划分为基础,将物理状态信息编写到节点特征中,以此将计算结果转化为标准的图格式数据,并由此分别建立了一个TNT自由场爆炸数据集和一个TNT密闭空间内爆炸数据集。将GNN模型分别在两个数据集的训练集上进行训练,监测模型在测试集上的均方根误差(Root Mean Square Error,RMSE)和决定系数(R2),并将预测结果与CFD的计算结果进行对比。以上结果均表明,本文提出的人工智能模型针对自由场爆炸和密闭空间爆炸工况均得到了良好的预测效果。该人工智能模型具有在小样本上提取特征能力强、预测速度快、预测效果好、应用场景多样的优势,并且能够实现在三维空间内对爆炸压力场进行时间和空间维度的预测。基于GNN的爆炸压力时空分布预测模型在爆炸荷载的快速预测上具有强大的潜力,对爆炸防护工程、弹药工程和爆破工程具有参考意义。
为了满足对爆炸产生的压力荷载进行准确快速预测的需求,本文提出了一项基于图神经网络(Graph Neural Network,GNN)的爆炸压力时空分布预测人工智能模型。利用开源软件blastFoam进行计算流体动力学(Computational Fluid Dynamics,CFD)仿真,并通过网格重映射技术,以空间六面体网格划分为基础,将物理状态信息编写到节点特征中,以此将计算结果转化为标准的图格式数据,并由此分别建立了一个TNT自由场爆炸数据集和一个TNT密闭空间内爆炸数据集。将GNN模型分别在两个数据集的训练集上进行训练,监测模型在测试集上的均方根误差(Root Mean Square Error,RMSE)和决定系数(R2),并将预测结果与CFD的计算结果进行对比。以上结果均表明,本文提出的人工智能模型针对自由场爆炸和密闭空间爆炸工况均得到了良好的预测效果。该人工智能模型具有在小样本上提取特征能力强、预测速度快、预测效果好、应用场景多样的优势,并且能够实现在三维空间内对爆炸压力场进行时间和空间维度的预测。基于GNN的爆炸压力时空分布预测模型在爆炸荷载的快速预测上具有强大的潜力,对爆炸防护工程、弹药工程和爆破工程具有参考意义。
当前状态:
, 最新更新时间: ,
doi: 10.11883/bzycj-2025-0118

摘要:
液氧爆破是一种利用快速相变和体积膨胀效应产生高压气体以实现岩石破碎的新型气体致裂技术。针对液氧相变爆破核心机理不明确、膨胀过程不清晰、吸收剂材料的影响机制不可控等特点,开展了不同吸收剂材料的液氧药包爆破全过程研究。构建了液氧药包爆破实验系统,采用高速相机对不同吸收剂液氧药包爆破实验进行跟踪拍摄。通过图片处理软件对药包点燃至完全起爆时间的差异以及爆破过程进行了分析。结果表明:不同吸收剂材料的结构特征及其燃烧特性对液氧爆破全过程具有决定性作用,具体表现为:纤维状吸收剂因液氧存储能力弱且燃烧速率慢,导致起爆时间延迟并产生爆后残留物二次燃烧;颗粒状吸收剂因其高比表面积实现了液氧高效吸附与充分燃烧,显著缩短起爆时间且无爆后残留;通过调控吸收剂微观结构能够改变液氧固定方式—燃烧速率—能量释放的协同关系。并且,首次通过高速影像捕捉到源于吸收剂燃烧速率与药包结构共同影响下的非对称能量释放药包位移现象,并结合现场实际工程中冲孔现象进行对比分析。未来研究可进一步探索燃烧速率适中、固定液氧能力强、经济成本较低的新型吸收剂材料,以优化液氧爆破的实际应用,提高其工程安全性和适用性。
液氧爆破是一种利用快速相变和体积膨胀效应产生高压气体以实现岩石破碎的新型气体致裂技术。针对液氧相变爆破核心机理不明确、膨胀过程不清晰、吸收剂材料的影响机制不可控等特点,开展了不同吸收剂材料的液氧药包爆破全过程研究。构建了液氧药包爆破实验系统,采用高速相机对不同吸收剂液氧药包爆破实验进行跟踪拍摄。通过图片处理软件对药包点燃至完全起爆时间的差异以及爆破过程进行了分析。结果表明:不同吸收剂材料的结构特征及其燃烧特性对液氧爆破全过程具有决定性作用,具体表现为:纤维状吸收剂因液氧存储能力弱且燃烧速率慢,导致起爆时间延迟并产生爆后残留物二次燃烧;颗粒状吸收剂因其高比表面积实现了液氧高效吸附与充分燃烧,显著缩短起爆时间且无爆后残留;通过调控吸收剂微观结构能够改变液氧固定方式—燃烧速率—能量释放的协同关系。并且,首次通过高速影像捕捉到源于吸收剂燃烧速率与药包结构共同影响下的非对称能量释放药包位移现象,并结合现场实际工程中冲孔现象进行对比分析。未来研究可进一步探索燃烧速率适中、固定液氧能力强、经济成本较低的新型吸收剂材料,以优化液氧爆破的实际应用,提高其工程安全性和适用性。
当前状态:
, 最新更新时间: ,
doi: 10.11883/bzycj-2024-0461

摘要:
为提升装甲的抗冲击防护效能,开展陶瓷与新型TWIP钢复合结构的抗冲击性能研究。通过一级轻气炮实验、微观结构表征与数值模拟,研究了碳化硅陶瓷与TWIP钢复合结构在高速冲击载荷下的层裂强度,变形机制和损伤特性。实验结果表明,复合结构在层裂强度和应变率方面相较于纯TWIP钢分别有22.76%和7.09%的提高,复合结构的层裂程度较弱,裂纹和微孔洞数量较少,显示出更好的抗冲击性能。微观分析揭示了材料在冲击载荷下的损伤机制,包括微孔洞的形成、聚集和主裂纹的形成。采用LS/DYNA数值模拟对此类复合结构的抗冲击性能开展研究,结合实验结果验证了模型的准确性。基于数值模拟分析了冲击过程中不同时刻的应力分布,计算得到结构产生裂纹的临界冲击速度为225m/s左右,并进一步分析了钢材性能对复合结构抗冲击性能影响。研究为此类新型金属/陶瓷复合结构在抗冲击防护领域的应用提供重要理论基础。
为提升装甲的抗冲击防护效能,开展陶瓷与新型TWIP钢复合结构的抗冲击性能研究。通过一级轻气炮实验、微观结构表征与数值模拟,研究了碳化硅陶瓷与TWIP钢复合结构在高速冲击载荷下的层裂强度,变形机制和损伤特性。实验结果表明,复合结构在层裂强度和应变率方面相较于纯TWIP钢分别有22.76%和7.09%的提高,复合结构的层裂程度较弱,裂纹和微孔洞数量较少,显示出更好的抗冲击性能。微观分析揭示了材料在冲击载荷下的损伤机制,包括微孔洞的形成、聚集和主裂纹的形成。采用LS/DYNA数值模拟对此类复合结构的抗冲击性能开展研究,结合实验结果验证了模型的准确性。基于数值模拟分析了冲击过程中不同时刻的应力分布,计算得到结构产生裂纹的临界冲击速度为225m/s左右,并进一步分析了钢材性能对复合结构抗冲击性能影响。研究为此类新型金属/陶瓷复合结构在抗冲击防护领域的应用提供重要理论基础。
当前状态:
, 最新更新时间: ,
doi: 10.11883/bzycj-2025-0108

摘要:
为研究混凝土靶体损伤对弹体侵彻性能的影响,基于空腔膨胀理论,完善了弹体侵彻预损伤混凝土半经验模型,采用前级射流、后级动能弹体对混凝土靶进行了连续侵彻试验,获得了影响弹体侵彻预损伤混凝土性能的关键因素,结合预损伤混凝土靶体中混凝土材料强度变化关系,分析了弹靶参数对弹体二次侵彻性能的影响规律。结果表明:靶体预损伤对弹体侵彻深度的增益效果由开坑体积差及混凝土损伤共同影响,且混凝土损伤为主要影响因素;当靶体内存在有限长损伤区,靶体开孔直径是弹体直径的0.3~0.5倍时,靶体损伤对弹体侵彻深度增益最为明显;当靶体内存在贯穿损伤区,靶体开孔直径与弹体直径的比值为0.3时,预损伤靶体与预开孔靶体中弹体侵彻深度差异较为明显,且随着比值进一步增加,两者差异逐渐增加;当靶体损伤状态一定时,减小弹体直径或增大尖卵形弹体头部CRH对增加侵彻深度更为有利。
为研究混凝土靶体损伤对弹体侵彻性能的影响,基于空腔膨胀理论,完善了弹体侵彻预损伤混凝土半经验模型,采用前级射流、后级动能弹体对混凝土靶进行了连续侵彻试验,获得了影响弹体侵彻预损伤混凝土性能的关键因素,结合预损伤混凝土靶体中混凝土材料强度变化关系,分析了弹靶参数对弹体二次侵彻性能的影响规律。结果表明:靶体预损伤对弹体侵彻深度的增益效果由开坑体积差及混凝土损伤共同影响,且混凝土损伤为主要影响因素;当靶体内存在有限长损伤区,靶体开孔直径是弹体直径的0.3~0.5倍时,靶体损伤对弹体侵彻深度增益最为明显;当靶体内存在贯穿损伤区,靶体开孔直径与弹体直径的比值为0.3时,预损伤靶体与预开孔靶体中弹体侵彻深度差异较为明显,且随着比值进一步增加,两者差异逐渐增加;当靶体损伤状态一定时,减小弹体直径或增大尖卵形弹体头部CRH对增加侵彻深度更为有利。
当前状态:
, 最新更新时间: ,
doi: 10.11883/bzycj-2025-0067

摘要:
有关锂离子电池热失控(LIBTR)环境建构物的泄爆面积计算方法目前尚不明确。利用8L柱形爆炸测试装置通过设置10.5mm、15mm、21.2mm、30mm和60mm五种泄放口径,模拟探究了LIBTR环境建构物的泄爆规律。结果显示:锂离子电池热失控释放气体(BVG)的泄爆压力Pred高于BVG-石墨粉杂混物的Pred,可以不考虑热失控喷出的固体颗粒的影响;Pred随泄放口径的增大呈指数衰减、与泄爆装置开启压力Pstat呈对数增长关系;结合规范得到了涉及锂离子电池建构物的泄爆面积计算公式,并给出了常用的泄压比C可取0.11。研究结果为锂电池环境建构物泄爆提供了参考。
有关锂离子电池热失控(LIBTR)环境建构物的泄爆面积计算方法目前尚不明确。利用8L柱形爆炸测试装置通过设置10.5mm、15mm、21.2mm、30mm和60mm五种泄放口径,模拟探究了LIBTR环境建构物的泄爆规律。结果显示:锂离子电池热失控释放气体(BVG)的泄爆压力Pred高于BVG-石墨粉杂混物的Pred,可以不考虑热失控喷出的固体颗粒的影响;Pred随泄放口径的增大呈指数衰减、与泄爆装置开启压力Pstat呈对数增长关系;结合规范得到了涉及锂离子电池建构物的泄爆面积计算公式,并给出了常用的泄压比C可取0.11。研究结果为锂电池环境建构物泄爆提供了参考。
当前状态:
, 最新更新时间: ,
doi: 10.11883/bzycj-2025-0041

摘要:
随着超高速武器的飞速发展,开展超高速武器战斗部侵彻混凝土遮弹层效能分析对于新建和已建防护结构的设计与安全评估具有重要意义。针对AGM-183A超高速武器战斗部打击普通强度混凝土(NSC)、超高性能混凝土(UHPC)和刚玉块石混凝土(CRC)三种典型遮弹层问题,首先通过对比钢/钨合金弹体侵彻三种靶体试验和数值仿真结果,验证有限元仿真分析方法中数值算法、网格尺寸和材料模型参数取值等的可靠性;然后基于侵彻深度和弹体残余长度等效的网格过渡策略,建立了适用于原型工况分析的数值仿真分析方法,最后对AGM-183A超高速武器战斗部以3~8Ma速度侵彻三种遮弹层开展数值模拟。结果表明:AGM-183A超高速武器战斗部分别以4Ma、4Ma和3Ma速度侵彻NSC、UHPC和CRC遮弹层的极限侵彻深度为4.26m、3.74m和1m,侵彻速度继续增大时,弹体弧柱交接处因局部应力集中发生断裂等结构失稳现象导致侵彻效能下降。与常规声速钻地武器战斗部SDB、WDU-43/B和BLU-109/B侵彻爆炸破坏深度相比,AGM-183A侵彻NSC遮弹层深度分别达到3.2、1.6和1.8倍,侵彻UHPC遮弹层深度分别达到4.7倍、2.1倍和2.2倍,侵彻CRC遮弹层深度分别达到3.4倍、1.3倍和1.5倍。三种遮弹层抗AGM-183A超高速武器战斗部侵彻的建议设计厚度分别为8.01m、7.03m和1.88m,UHPC相对NSC遮弹层抗超高速侵彻能力提升不明显,CRC遮弹层可以有效兼顾抵抗常规声速和超高速战斗部打击,建议设计优先采用。
随着超高速武器的飞速发展,开展超高速武器战斗部侵彻混凝土遮弹层效能分析对于新建和已建防护结构的设计与安全评估具有重要意义。针对AGM-183A超高速武器战斗部打击普通强度混凝土(NSC)、超高性能混凝土(UHPC)和刚玉块石混凝土(CRC)三种典型遮弹层问题,首先通过对比钢/钨合金弹体侵彻三种靶体试验和数值仿真结果,验证有限元仿真分析方法中数值算法、网格尺寸和材料模型参数取值等的可靠性;然后基于侵彻深度和弹体残余长度等效的网格过渡策略,建立了适用于原型工况分析的数值仿真分析方法,最后对AGM-183A超高速武器战斗部以3~8Ma速度侵彻三种遮弹层开展数值模拟。结果表明:AGM-183A超高速武器战斗部分别以4Ma、4Ma和3Ma速度侵彻NSC、UHPC和CRC遮弹层的极限侵彻深度为4.26m、3.74m和1m,侵彻速度继续增大时,弹体弧柱交接处因局部应力集中发生断裂等结构失稳现象导致侵彻效能下降。与常规声速钻地武器战斗部SDB、WDU-43/B和BLU-109/B侵彻爆炸破坏深度相比,AGM-183A侵彻NSC遮弹层深度分别达到3.2、1.6和1.8倍,侵彻UHPC遮弹层深度分别达到4.7倍、2.1倍和2.2倍,侵彻CRC遮弹层深度分别达到3.4倍、1.3倍和1.5倍。三种遮弹层抗AGM-183A超高速武器战斗部侵彻的建议设计厚度分别为8.01m、7.03m和1.88m,UHPC相对NSC遮弹层抗超高速侵彻能力提升不明显,CRC遮弹层可以有效兼顾抵抗常规声速和超高速战斗部打击,建议设计优先采用。
当前状态:
, 最新更新时间: ,
doi: 10.11883/bzycj-2025-0072

摘要:
本研究提出将负泊松比结构与超高韧性水泥基复合材料(ultra-high toughness cementitious composites, UHTCC)结合以提升防爆墙的抗爆性能,并通过爆炸试验与数值模拟相结合的方法,研究分析负泊松比靶板的抗爆性能,证明UHTCC负泊松比靶板的抗爆性能优越性。首先,利用混凝土3D打印技术实现负泊松比结构建造,并通过靶板接触爆炸试验结果验证有限元模型的可靠性。在此基础上,利用该有限元模型模拟分析了靶板材料、结构、胞元内凹角及实心层厚度占比等因素对接触爆炸下结构破坏形态与能量消耗的影响。结果表明:(1)具有高韧性的UHTCC靶板抗爆性能显著优于混凝土靶板;(2)三种结构中,负泊松比结构板吸能能力最强,实心板更能保持结构的完整性;(3)当负泊松比胞元内凹角为61°时抗爆性能最优,过小或过大均降低结构抗爆性;(4)负泊松比结构厚度占靶板总厚度过大时抗爆性能弱,结构破坏严重,可上下层同时或仅背爆面增加实心层厚度,在有效削弱爆炸冲击波、吸收能量的同时,提高结构完整性。研究验证了负泊松比UHTCC板抗爆性能优越性,并为基于负泊松比结构的防爆墙设计提供了理论依据。
本研究提出将负泊松比结构与超高韧性水泥基复合材料(ultra-high toughness cementitious composites, UHTCC)结合以提升防爆墙的抗爆性能,并通过爆炸试验与数值模拟相结合的方法,研究分析负泊松比靶板的抗爆性能,证明UHTCC负泊松比靶板的抗爆性能优越性。首先,利用混凝土3D打印技术实现负泊松比结构建造,并通过靶板接触爆炸试验结果验证有限元模型的可靠性。在此基础上,利用该有限元模型模拟分析了靶板材料、结构、胞元内凹角及实心层厚度占比等因素对接触爆炸下结构破坏形态与能量消耗的影响。结果表明:(1)具有高韧性的UHTCC靶板抗爆性能显著优于混凝土靶板;(2)三种结构中,负泊松比结构板吸能能力最强,实心板更能保持结构的完整性;(3)当负泊松比胞元内凹角为61°时抗爆性能最优,过小或过大均降低结构抗爆性;(4)负泊松比结构厚度占靶板总厚度过大时抗爆性能弱,结构破坏严重,可上下层同时或仅背爆面增加实心层厚度,在有效削弱爆炸冲击波、吸收能量的同时,提高结构完整性。研究验证了负泊松比UHTCC板抗爆性能优越性,并为基于负泊松比结构的防爆墙设计提供了理论依据。
当前状态:
, 最新更新时间: ,
doi: 10.11883/bzycj-2025-0071

摘要:
为了研究内部爆炸荷载作用下钢筋混凝土单房间的抗爆性能,全尺寸钢筋混凝土单房间建筑物被设计并建造,其尺寸为4m×4m×3m,并在房间内几何中心放置3kgTNT进行内爆炸试验,分析单房间结构的损伤特征。此外,结合LS-DYNA软件对钢筋混凝土单房间结构进行不同炸药当量的数值仿真,研究了单房间建筑物的损伤过程和冲击波传播规律,并且基于试验和模拟结果,使用无量纲加权参数Dr划分了单房间结构的破坏模式。研究表明:3kg炸药在房间结构几何中心爆炸时,单房间结构出现顶板鼓包的现象,顶板边缘出现长条形破口,门口处有裂纹,但整体未垮塌;在内爆炸工况下,钢筋混凝土建筑物的局部损伤特征不仅与炸药当量密切相关,还显著受到结构连接节点设计及构造细节的影响;由于钢筋混凝土动态响应的整体时程较长,在建筑物尚未对上一次冲击波做出明显反应时,下一波冲击波已作用于建筑物,使其在极短时间内多次受冲击,这与通常意义的多次累计爆炸有所区别;通过改变装药量,划分出5种损伤逐级加重的破坏模式(Model Ⅰ 至Model Ⅴ),以加权参数Dr量化定义划分了5种破坏模式,并且拟合了其与炸药当量的函数曲线,研究结果可为剪力墙结构房间毁伤评估提供参考。
为了研究内部爆炸荷载作用下钢筋混凝土单房间的抗爆性能,全尺寸钢筋混凝土单房间建筑物被设计并建造,其尺寸为4m×4m×3m,并在房间内几何中心放置3kgTNT进行内爆炸试验,分析单房间结构的损伤特征。此外,结合LS-DYNA软件对钢筋混凝土单房间结构进行不同炸药当量的数值仿真,研究了单房间建筑物的损伤过程和冲击波传播规律,并且基于试验和模拟结果,使用无量纲加权参数Dr划分了单房间结构的破坏模式。研究表明:3kg炸药在房间结构几何中心爆炸时,单房间结构出现顶板鼓包的现象,顶板边缘出现长条形破口,门口处有裂纹,但整体未垮塌;在内爆炸工况下,钢筋混凝土建筑物的局部损伤特征不仅与炸药当量密切相关,还显著受到结构连接节点设计及构造细节的影响;由于钢筋混凝土动态响应的整体时程较长,在建筑物尚未对上一次冲击波做出明显反应时,下一波冲击波已作用于建筑物,使其在极短时间内多次受冲击,这与通常意义的多次累计爆炸有所区别;通过改变装药量,划分出5种损伤逐级加重的破坏模式(Model Ⅰ 至Model Ⅴ),以加权参数Dr量化定义划分了5种破坏模式,并且拟合了其与炸药当量的函数曲线,研究结果可为剪力墙结构房间毁伤评估提供参考。
当前状态:
, 最新更新时间: ,
doi: 10.11883/bzycj-2025-0060

摘要:
钢筋混凝土(RC)棚洞是山区公路和铁路设施抗落石冲击的有效原位防护手段,利用LS-DYNA商用有限元软件开展了落石冲击无垫层、铺设600mm和1200mm厚砂垫层以及1200mm厚砂-发泡聚乙烯泡沫(EPE)复合缓冲垫层的原型框架T梁式RC棚洞损伤破坏评估的精细化数值模拟分析。首先,建立了落石(质量:1t~30t,速度:10m/s~57m/s)冲击沪昆铁路某原型框架T梁式RC棚洞的精细化有限元模型。其次,通过对比落锤(石)冲击无垫层、带砂和EPE垫层RC板试验中的落石冲击力、加速度和侵入深度时程,以及RC板支座反力和挠度时程,充分验证了数值仿真方法中的材料模型、网格尺寸、接触算法及其参数取值的适用性和可靠性。进一步,对比分析了落石冲击下无垫层、铺设砂和砂-EPE复合垫层原型棚洞的损伤破坏和动态响应。最后,以落石最大侵入深度达到棚洞顶板与垫层总厚度作为棚洞失效破坏阈值,给出了棚洞失效破坏对应的落石质量与临界冲击速度关系式,实现棚洞防护性能的快速评估。/t/n(1)质量15t、速度10m/s和25m/s的落石冲击下,无垫层棚洞的损伤破坏集中于顶板冲击区域,铺设砂垫层以及砂-EPE复合垫层平均可分别降低落石冲击力峰值92.8%和91.6%,棚洞其余受弯构件的最大挠度范围为2mm~20mm,呈现轻微损伤;(2)落石冲击速度为10m/s时,砂-EPE复合垫层的缓冲耗能效果优于砂垫层,冲击速度增大至25m/s时,复合垫层中的EPE被快速压实导致其防护效果不及砂垫层,顶板承受的冲击力和冲击能量较铺设砂垫层分别增大了89.3%和37.8%;(3)棚洞失效破坏对应的落石临界冲击速度随落石质量增大呈幂函数衰减规律,铺设垫层可使临界冲击速度提高52%~155%,显著提升棚洞的防护性能。
钢筋混凝土(RC)棚洞是山区公路和铁路设施抗落石冲击的有效原位防护手段,利用LS-DYNA商用有限元软件开展了落石冲击无垫层、铺设600mm和1200mm厚砂垫层以及1200mm厚砂-发泡聚乙烯泡沫(EPE)复合缓冲垫层的原型框架T梁式RC棚洞损伤破坏评估的精细化数值模拟分析。首先,建立了落石(质量:1t~30t,速度:10m/s~57m/s)冲击沪昆铁路某原型框架T梁式RC棚洞的精细化有限元模型。其次,通过对比落锤(石)冲击无垫层、带砂和EPE垫层RC板试验中的落石冲击力、加速度和侵入深度时程,以及RC板支座反力和挠度时程,充分验证了数值仿真方法中的材料模型、网格尺寸、接触算法及其参数取值的适用性和可靠性。进一步,对比分析了落石冲击下无垫层、铺设砂和砂-EPE复合垫层原型棚洞的损伤破坏和动态响应。最后,以落石最大侵入深度达到棚洞顶板与垫层总厚度作为棚洞失效破坏阈值,给出了棚洞失效破坏对应的落石质量与临界冲击速度关系式,实现棚洞防护性能的快速评估。/t/n(1)质量15t、速度10m/s和25m/s的落石冲击下,无垫层棚洞的损伤破坏集中于顶板冲击区域,铺设砂垫层以及砂-EPE复合垫层平均可分别降低落石冲击力峰值92.8%和91.6%,棚洞其余受弯构件的最大挠度范围为2mm~20mm,呈现轻微损伤;(2)落石冲击速度为10m/s时,砂-EPE复合垫层的缓冲耗能效果优于砂垫层,冲击速度增大至25m/s时,复合垫层中的EPE被快速压实导致其防护效果不及砂垫层,顶板承受的冲击力和冲击能量较铺设砂垫层分别增大了89.3%和37.8%;(3)棚洞失效破坏对应的落石临界冲击速度随落石质量增大呈幂函数衰减规律,铺设垫层可使临界冲击速度提高52%~155%,显著提升棚洞的防护性能。
当前状态:
, 最新更新时间: ,
doi: 10.11883/bzycj-2025-0053

摘要:
为研究约束条件对CL-20基PBX炸药非冲击点火后反应特性的影响,设计了一种可变约束的点火试验装置,结合高速摄像机和压力传感器,对不同约束条件下CL-20基PBX炸药反应剧烈程度、反应压力增长和空气冲击波超压进行分析。进一步与其完全爆轰空气超压峰值对比,分析了约束条件与炸药装药反应度之间的关系。研究结果表明,CL-20基PBX炸药约束条件下非冲击点火反应过程分为反应压力缓慢增长和反应压力快速增长两个阶段,随着约束强度增大,两个反应阶段区分逐渐不明显。约束条件对炸药装药的反应度影响显著,当壳厚为6mm,爆破片强度为2MPa和50MPa时,炸药反应度分别为0.11和0.14;当壳厚为20mm,爆破片强度为2MPa时,装药反应度为0.31。由此可见,通过减弱机械约束强度,能够有效降低CL-20基PBX炸药装药反应剧烈程度。
为研究约束条件对CL-20基PBX炸药非冲击点火后反应特性的影响,设计了一种可变约束的点火试验装置,结合高速摄像机和压力传感器,对不同约束条件下CL-20基PBX炸药反应剧烈程度、反应压力增长和空气冲击波超压进行分析。进一步与其完全爆轰空气超压峰值对比,分析了约束条件与炸药装药反应度之间的关系。研究结果表明,CL-20基PBX炸药约束条件下非冲击点火反应过程分为反应压力缓慢增长和反应压力快速增长两个阶段,随着约束强度增大,两个反应阶段区分逐渐不明显。约束条件对炸药装药的反应度影响显著,当壳厚为6mm,爆破片强度为2MPa和50MPa时,炸药反应度分别为0.11和0.14;当壳厚为20mm,爆破片强度为2MPa时,装药反应度为0.31。由此可见,通过减弱机械约束强度,能够有效降低CL-20基PBX炸药装药反应剧烈程度。
当前状态:
, 最新更新时间: ,
doi: 10.11883/bzycj-2025-0042

摘要:
样本容量稀疏和不确定度无法消除是制约多物理属性爆轰试验研究的障碍。流形上的概率学习(probability learning on manifold, PLoM)方法通过结合耗散映射与Itô投影采样技术,生成满足爆轰机理的丰富样本,进而实现试验不确定度量化。首先,对具有多物理属性的高能钝感炸药PBX9502的试验样本进行尺度变换。接着利用主成分分析对尺度矩阵规范化处理,构造训练集。然后,采用改进的多维Gauss核密度估计法,标定训练集对应的随机矩阵的概率测度。同时,利用耗散映射提取基于训练集的非线性流形。Wiener过程驱动的耗散Hamilton系统定义的Itô-MCMC随机生成器用于在流形上采样。最后,使用逆变换导出学习集的样本。结果表明,PLoM生成的随机数的Gauss统计量与Los Alamos国家实验室(LANL)及孙承纬院士标定的PBX9502的密度的统计信息相吻合。此外,该方法成功导出爆轰距离和爆轰时间与冲击应力服从双对数模型关系,曲线拟合的精度与LANL的成果相当,成本可以忽略不计。PLoM通过对已有试验数据的学习与处理,获得更高精度的数字试验结果。PLoM方法泛化能力强,可推广到其他类型炸药的爆轰试验。
样本容量稀疏和不确定度无法消除是制约多物理属性爆轰试验研究的障碍。流形上的概率学习(probability learning on manifold, PLoM)方法通过结合耗散映射与Itô投影采样技术,生成满足爆轰机理的丰富样本,进而实现试验不确定度量化。首先,对具有多物理属性的高能钝感炸药PBX9502的试验样本进行尺度变换。接着利用主成分分析对尺度矩阵规范化处理,构造训练集。然后,采用改进的多维Gauss核密度估计法,标定训练集对应的随机矩阵的概率测度。同时,利用耗散映射提取基于训练集的非线性流形。Wiener过程驱动的耗散Hamilton系统定义的Itô-MCMC随机生成器用于在流形上采样。最后,使用逆变换导出学习集的样本。结果表明,PLoM生成的随机数的Gauss统计量与Los Alamos国家实验室(LANL)及孙承纬院士标定的PBX9502的密度的统计信息相吻合。此外,该方法成功导出爆轰距离和爆轰时间与冲击应力服从双对数模型关系,曲线拟合的精度与LANL的成果相当,成本可以忽略不计。PLoM通过对已有试验数据的学习与处理,获得更高精度的数字试验结果。PLoM方法泛化能力强,可推广到其他类型炸药的爆轰试验。
当前状态:
, 最新更新时间: ,
doi: 10.11883/bzycj-2024-0488

摘要:
圆板结构在多次爆炸载荷下的响应问题具有重要的工程意义,目前对此问题有较多试验与仿真研究,但从理论模型出发的研究尚缺少。本文针对圆板在多次爆炸载荷下位移响应的理论解开展研究,从基于膜理论的能量方程出发,将多次爆炸载荷简化为多次线性衰减脉冲,对第一次加载引起的位移场采用线性近似,对第二次加载后的位移场采用二次函数近似,同时考虑了应变率强化效应与多次加载硬化效应对材料流动应力的影响,给出了多次爆炸载荷下圆板位移响应的理论解。开展圆板二次、三次爆炸仿真,发现理论解对于二次爆炸中点位移预测值与仿真值误差主要在20%-30%范围,对于三次爆炸中点位移预测值与仿真值误差基本在20%之下。理论公式表明,圆板多次爆炸的中点位移可以表示为最后一次加载单独引起的位移与之前加载的累积位移的函数。后一次加载引起的位移增量小于其单独引起的位移,且这一增量大小与之前加载的累积位移有关,之前加载的累积位移越大,则后一次加载引起的位移增量越小。
圆板结构在多次爆炸载荷下的响应问题具有重要的工程意义,目前对此问题有较多试验与仿真研究,但从理论模型出发的研究尚缺少。本文针对圆板在多次爆炸载荷下位移响应的理论解开展研究,从基于膜理论的能量方程出发,将多次爆炸载荷简化为多次线性衰减脉冲,对第一次加载引起的位移场采用线性近似,对第二次加载后的位移场采用二次函数近似,同时考虑了应变率强化效应与多次加载硬化效应对材料流动应力的影响,给出了多次爆炸载荷下圆板位移响应的理论解。开展圆板二次、三次爆炸仿真,发现理论解对于二次爆炸中点位移预测值与仿真值误差主要在20%-30%范围,对于三次爆炸中点位移预测值与仿真值误差基本在20%之下。理论公式表明,圆板多次爆炸的中点位移可以表示为最后一次加载单独引起的位移与之前加载的累积位移的函数。后一次加载引起的位移增量小于其单独引起的位移,且这一增量大小与之前加载的累积位移有关,之前加载的累积位移越大,则后一次加载引起的位移增量越小。
当前状态:
, 最新更新时间: ,
doi: 10.11883/bzycj-2024-0471

摘要:
建筑外爆威力场的准确预测对于工程结构毁伤评估和抗爆设计至关重要。传统经验公式由于未能充分考虑环境因素的复杂性,其预测精度往往受到限制;数值仿真能提供较为精准的超压荷载参数,但在处理大规模城市场景时效率低下,难以满足快速毁伤评估的需求。针对这一难题,本文创新性构建了一种基于图神经网络(GNN)的爆炸威力场预测模型,旨在直接利用建筑的几何特征,实现对其表面的爆炸峰值超压、峰值冲量及冲击波到达时间等三维物理场的快速精准预测。通过与数值仿真结果的对比验证,模型展现出了卓越的预测性能:对不同几何结构的单体建筑表面超压参数的预测均方误差为0.97%;对复杂几何建筑、建筑群落建筑表面超压参数的平均预测误差为3.17%;当应用于实际城市区域时,平均预测误差为1.29%;物理场单次预测耗时不超过0.6秒,与数值仿真相比速度提升3至4个数量级。基于模型的高精度预测,不仅可以重构建筑表面任意位置的超压时程曲线,还能准确评估结构的毁伤程度。本文提出的GNN模型为爆炸场景下城市建筑爆炸威力场快速精确预测提供了一个全新方法,能极大提升超大规模复杂场景工程建筑爆炸毁伤评估和抗爆设计能力,具有重大工程价值。
建筑外爆威力场的准确预测对于工程结构毁伤评估和抗爆设计至关重要。传统经验公式由于未能充分考虑环境因素的复杂性,其预测精度往往受到限制;数值仿真能提供较为精准的超压荷载参数,但在处理大规模城市场景时效率低下,难以满足快速毁伤评估的需求。针对这一难题,本文创新性构建了一种基于图神经网络(GNN)的爆炸威力场预测模型,旨在直接利用建筑的几何特征,实现对其表面的爆炸峰值超压、峰值冲量及冲击波到达时间等三维物理场的快速精准预测。通过与数值仿真结果的对比验证,模型展现出了卓越的预测性能:对不同几何结构的单体建筑表面超压参数的预测均方误差为0.97%;对复杂几何建筑、建筑群落建筑表面超压参数的平均预测误差为3.17%;当应用于实际城市区域时,平均预测误差为1.29%;物理场单次预测耗时不超过0.6秒,与数值仿真相比速度提升3至4个数量级。基于模型的高精度预测,不仅可以重构建筑表面任意位置的超压时程曲线,还能准确评估结构的毁伤程度。本文提出的GNN模型为爆炸场景下城市建筑爆炸威力场快速精确预测提供了一个全新方法,能极大提升超大规模复杂场景工程建筑爆炸毁伤评估和抗爆设计能力,具有重大工程价值。
当前状态:
, 最新更新时间: ,
doi: 10.11883/bzycj-2024-0436

摘要:
深部资源开采与利用过程中的共性科学基础是深部岩石力学理论,准确掌握研究深部岩石动态力学性能,不仅有助于深入理解地球内部的地质过程和演化,还为深部矿产、能源的有效开采提供理论依据。本研究以三维霍普金森杆实验结果为基准,以某煤矿下白砂岩作为研究对象,采用三种典型岩石本构模型(RHT本构模型(Riedel-Hiermaier-Thoma,RHT)、HJC本构模型(Holmquist-Johnson-Cook,HJC)、CSCM本构模型(Clay-Structure-Coupling-Model,CSCM))进行仿真分析,对白砂岩在单轴、双轴和三轴状态下的动态力学性能进行对比与验证。结果表明白砂岩试件的剪切破坏损伤随预应力的增加而降低,三轴状态下岩石受到的损伤明显低于单轴和双轴状态下岩石的损伤;基于RHT本构模型的仿真在应力波波形、峰值应力、峰值应变以及损伤程度上,与实验结果更贴合:单双轴状态下RHT本构模型反射波段的波峰应力偏差率分别为3.5%和13.6%,透射波段的波峰应力偏差率最低,且峰值应力与应变在数值上更接近实验数值。RHT本构模型的损伤状态与实验的损伤状态相似,单轴下呈现U字形损伤特征,HJC本构模型在单轴下则呈现出大范围V字形损伤特征,且发生断裂,CSCM本构模型仅在表面发生损伤,损伤范围较小;在能量吸收和耗散方面三种本构模型差异性较小,三种本构模型的入射能量、反射能量和透射能量基本保持一致。
深部资源开采与利用过程中的共性科学基础是深部岩石力学理论,准确掌握研究深部岩石动态力学性能,不仅有助于深入理解地球内部的地质过程和演化,还为深部矿产、能源的有效开采提供理论依据。本研究以三维霍普金森杆实验结果为基准,以某煤矿下白砂岩作为研究对象,采用三种典型岩石本构模型(RHT本构模型(Riedel-Hiermaier-Thoma,RHT)、HJC本构模型(Holmquist-Johnson-Cook,HJC)、CSCM本构模型(Clay-Structure-Coupling-Model,CSCM))进行仿真分析,对白砂岩在单轴、双轴和三轴状态下的动态力学性能进行对比与验证。结果表明白砂岩试件的剪切破坏损伤随预应力的增加而降低,三轴状态下岩石受到的损伤明显低于单轴和双轴状态下岩石的损伤;基于RHT本构模型的仿真在应力波波形、峰值应力、峰值应变以及损伤程度上,与实验结果更贴合:单双轴状态下RHT本构模型反射波段的波峰应力偏差率分别为3.5%和13.6%,透射波段的波峰应力偏差率最低,且峰值应力与应变在数值上更接近实验数值。RHT本构模型的损伤状态与实验的损伤状态相似,单轴下呈现U字形损伤特征,HJC本构模型在单轴下则呈现出大范围V字形损伤特征,且发生断裂,CSCM本构模型仅在表面发生损伤,损伤范围较小;在能量吸收和耗散方面三种本构模型差异性较小,三种本构模型的入射能量、反射能量和透射能量基本保持一致。
当前状态:
, 最新更新时间: ,
doi: 10.11883/bzycj-2024-0486

摘要:
为研究温压炸药隧道内爆炸冲击波传播规律和火团热效应,基于OpenFOAM开展温压炸药隧道内爆炸数值模拟,与温压炸药隧道内爆炸试验数据对比验证数值模拟精度,研究沿隧道轴线距离、炸药质量对爆炸冲击波传播特性及火团热效应的影响。研究结果表明:相同装药质量条件下,沿隧道轴线距离大于1/3倍隧道等效圆直径时,爆炸冲击波超压峰值衰减规律和平面波形成距离不随沿隧道轴线距离变化而变化;冲击波平面波形成后,冲量随沿隧道轴线距离的增加先增加后不变。沿隧道轴线相同距离处爆炸,冲击波形成平面波距离随炸药质量的增加而增大;平面波形成后,冲击波超压峰值衰减规律不受装药质量影响,但冲击波冲量随装药质量的增加而增长。受隧道口泄能效应的影响,隧道内爆炸火团总是向近隧道口方向移动,隧道壁面约束使得火团沿隧道轴线垂直方向发展受限;火团轴线方向上出现高温尖端,隧道内轴线方向温度分布呈现“几”字型。进一步建立爆炸火团不同温度轴线方向上传播最大距离与炸药质量的拟合公式,可预测典型温压炸药隧道内爆炸火球不同温度轴线方向上传播最大距离。
为研究温压炸药隧道内爆炸冲击波传播规律和火团热效应,基于OpenFOAM开展温压炸药隧道内爆炸数值模拟,与温压炸药隧道内爆炸试验数据对比验证数值模拟精度,研究沿隧道轴线距离、炸药质量对爆炸冲击波传播特性及火团热效应的影响。研究结果表明:相同装药质量条件下,沿隧道轴线距离大于1/3倍隧道等效圆直径时,爆炸冲击波超压峰值衰减规律和平面波形成距离不随沿隧道轴线距离变化而变化;冲击波平面波形成后,冲量随沿隧道轴线距离的增加先增加后不变。沿隧道轴线相同距离处爆炸,冲击波形成平面波距离随炸药质量的增加而增大;平面波形成后,冲击波超压峰值衰减规律不受装药质量影响,但冲击波冲量随装药质量的增加而增长。受隧道口泄能效应的影响,隧道内爆炸火团总是向近隧道口方向移动,隧道壁面约束使得火团沿隧道轴线垂直方向发展受限;火团轴线方向上出现高温尖端,隧道内轴线方向温度分布呈现“几”字型。进一步建立爆炸火团不同温度轴线方向上传播最大距离与炸药质量的拟合公式,可预测典型温压炸药隧道内爆炸火球不同温度轴线方向上传播最大距离。
当前状态:
, 最新更新时间: ,
doi: 10.11883/bzycj-2024-0455

摘要:
为了选择适合水中大距离非接触性侵彻毁伤的聚能装药结构,针对爆炸成型弹丸(explosively formed projectile, EFP)、杆式射流(jetting projectile charge, JPC)、聚能射流(shaped charge jet, JET)三种典型聚能装药结构,开展了不同侵彻体入水前、着靶前、穿靶后的速度测试及对水中双层间隔靶的侵彻试验。建立了靶前水介质长度在0~100 cm时的水中侵彻数值计算模型,分析了不同靶前水介质长度对侵彻过程中侵彻体和前向冲击波到达时序、侵彻体着靶速度及穿靶性能的影响。研究结果表明:三种聚能装药侵彻水中间隔靶板时,前向冲击波均先于侵彻体到达靶板。随着水介质长度增加,前靶板处的前向冲击波压力峰值呈线性下降,后靶板处的前向冲击波压力峰值呈非线性下降。EFP、JPC和JET速度随着水介质增加呈非线性下降,其JET靶前速度约是JPC的2倍左右;对于靶前水介质长度不大于25cm时,EFP在前靶板上形成的最大穿孔直径达到了5 cm,是JPC穿孔直径的1.3倍,是JET穿孔直径的3倍。在靶前水介质长度在0~100 cm时,JPC和JET对双层间隔靶均具有较好的侵彻效果,且JPC的侵彻性能要优于JET。
为了选择适合水中大距离非接触性侵彻毁伤的聚能装药结构,针对爆炸成型弹丸(explosively formed projectile, EFP)、杆式射流(jetting projectile charge, JPC)、聚能射流(shaped charge jet, JET)三种典型聚能装药结构,开展了不同侵彻体入水前、着靶前、穿靶后的速度测试及对水中双层间隔靶的侵彻试验。建立了靶前水介质长度在0~100 cm时的水中侵彻数值计算模型,分析了不同靶前水介质长度对侵彻过程中侵彻体和前向冲击波到达时序、侵彻体着靶速度及穿靶性能的影响。研究结果表明:三种聚能装药侵彻水中间隔靶板时,前向冲击波均先于侵彻体到达靶板。随着水介质长度增加,前靶板处的前向冲击波压力峰值呈线性下降,后靶板处的前向冲击波压力峰值呈非线性下降。EFP、JPC和JET速度随着水介质增加呈非线性下降,其JET靶前速度约是JPC的2倍左右;对于靶前水介质长度不大于25cm时,EFP在前靶板上形成的最大穿孔直径达到了5 cm,是JPC穿孔直径的1.3倍,是JET穿孔直径的3倍。在靶前水介质长度在0~100 cm时,JPC和JET对双层间隔靶均具有较好的侵彻效果,且JPC的侵彻性能要优于JET。
当前状态:
, 最新更新时间: ,
doi: 10.11883/bzycj-2024-0213

摘要:
设计了两种不同材料的结构弹,利用203mm平衡炮为发射平台,开展了11kg级弹体在1400m/s速度段侵彻钢筋混凝土靶的实验研究。基于试验结果,对侵彻弹体进行了宏微观结构表征,探究了不同材料弹体在高速侵彻下的侵蚀机理,分析了壳体材料对弹体侵彻效应的影响。结果表明:在实验速度段,弹体材料主导弹体的结构响应,材料强度越高,抗冲击压缩性能越强,弹体头部的侵蚀越小;材料的抗剪和耐磨性越好,弹身的磨蚀越少。高速侵彻条件下,锥形结构弹体的质量损失主要集中在弹身部分。弹体头部的侵蚀和墩粗会一定程度上降低弹体的侵彻深度,弹体头部侵蚀程度越小,侵彻深度越高,其中,DT1900实验弹的极限侵彻深度可达9倍弹长。
设计了两种不同材料的结构弹,利用203mm平衡炮为发射平台,开展了11kg级弹体在1400m/s速度段侵彻钢筋混凝土靶的实验研究。基于试验结果,对侵彻弹体进行了宏微观结构表征,探究了不同材料弹体在高速侵彻下的侵蚀机理,分析了壳体材料对弹体侵彻效应的影响。结果表明:在实验速度段,弹体材料主导弹体的结构响应,材料强度越高,抗冲击压缩性能越强,弹体头部的侵蚀越小;材料的抗剪和耐磨性越好,弹身的磨蚀越少。高速侵彻条件下,锥形结构弹体的质量损失主要集中在弹身部分。弹体头部的侵蚀和墩粗会一定程度上降低弹体的侵彻深度,弹体头部侵蚀程度越小,侵彻深度越高,其中,DT1900实验弹的极限侵彻深度可达9倍弹长。
当前状态:
, 最新更新时间: ,
doi: 10.11883/bzycj-2024-0457

摘要:
为了研究近水面爆炸场景下沿着水面传播的冲击波载荷特性,采用100 g、200 g和400 g TNT/RDX(40/60)炸药开展了触水(H_ = 0)、近水(H_ ≈ 0.2 m/kg1/3)和空中(H_ ≈ 0.6 m/kg1/3)3种典型比爆高条件下的爆炸实验,测量了冲击波超压和爆炸的高速摄影图像,同时采用数值模拟方法对实验进行了仿真。基于实验和数值模拟结果,开展了爆炸现象和水面冲击波载荷特性研究。结果表明:触水、近水和空中爆炸现象存在显著差异。触水爆炸时爆轰产物直接驱动水面形成半球形空腔,水坑边缘的水被挤压向上飞溅形成空心水柱;近水爆炸时爆轰产物对水面的碰撞作用相对较弱,水面上的冲击波主要以马赫波沿着水面向外传播;空中爆炸时冲击波在水面存在明显的规则和非规则反射区;触水爆炸的水面冲击波超压低于近水爆炸的水面冲击波超压,因此触水爆炸时水面不能再看成刚性平面;触水爆炸的水中冲击波压力相比近水爆炸的高。通过数据拟合得到了触水和典型近水爆炸条件下,水面上水平距离0.5~4.0 m/kg1/3范围内的冲击波超压和正压持续时间计算公式,可为冲击波载荷计算和分析提供参考。
为了研究近水面爆炸场景下沿着水面传播的冲击波载荷特性,采用100 g、200 g和400 g TNT/RDX(40/60)炸药开展了触水(H_ = 0)、近水(H_ ≈ 0.2 m/kg1/3)和空中(H_ ≈ 0.6 m/kg1/3)3种典型比爆高条件下的爆炸实验,测量了冲击波超压和爆炸的高速摄影图像,同时采用数值模拟方法对实验进行了仿真。基于实验和数值模拟结果,开展了爆炸现象和水面冲击波载荷特性研究。结果表明:触水、近水和空中爆炸现象存在显著差异。触水爆炸时爆轰产物直接驱动水面形成半球形空腔,水坑边缘的水被挤压向上飞溅形成空心水柱;近水爆炸时爆轰产物对水面的碰撞作用相对较弱,水面上的冲击波主要以马赫波沿着水面向外传播;空中爆炸时冲击波在水面存在明显的规则和非规则反射区;触水爆炸的水面冲击波超压低于近水爆炸的水面冲击波超压,因此触水爆炸时水面不能再看成刚性平面;触水爆炸的水中冲击波压力相比近水爆炸的高。通过数据拟合得到了触水和典型近水爆炸条件下,水面上水平距离0.5~4.0 m/kg1/3范围内的冲击波超压和正压持续时间计算公式,可为冲击波载荷计算和分析提供参考。
当前状态:
, 最新更新时间: ,
doi: 10.11883/bzycj-2024-0404

摘要:
发展基于结构装药非冲击点火反应演化的物理机制的工程模型,描述反应演化过程并量化表征反应烈度,对评估武器弹药安全性具有重要意义。当前,描述装药反应演化行为的模型主要有燃烧裂纹一维增压模型与装药燃烧裂纹网络模型,但上述模型假定较多且存在未考虑空腔膨胀体积,燃烧裂纹扩展系数物理定义不明确等限制性问题。本文基于装药反应裂纹扩展的主控机制,以断裂韧性与反应压力为主要参量,构建了约束装药燃烧反应演化调控模型,可描述装药燃烧过程中燃烧气体产物增压和壳体结构约束强度的变化过程。利用质量惯性约束作用下的PBX-3炸药燃烧反应演化实验,验证了约束装药反应燃烧演化调控模型的可靠性。分析结果表明:模型计算获得的反应增压历程与实验中的反应压力增长趋势(通过质量块运动速度历程推算)大致吻合,考虑结构泄压效应的调控模型能够反映压力增长历程中燃烧产气增压与泄气释压竞争的物理机制,压力增长趋势随泄压面积系数的变化关系符合机理分析预期。研究成果可为加深认识受约束炸药燃烧反应演化机制提供支撑。
发展基于结构装药非冲击点火反应演化的物理机制的工程模型,描述反应演化过程并量化表征反应烈度,对评估武器弹药安全性具有重要意义。当前,描述装药反应演化行为的模型主要有燃烧裂纹一维增压模型与装药燃烧裂纹网络模型,但上述模型假定较多且存在未考虑空腔膨胀体积,燃烧裂纹扩展系数物理定义不明确等限制性问题。本文基于装药反应裂纹扩展的主控机制,以断裂韧性与反应压力为主要参量,构建了约束装药燃烧反应演化调控模型,可描述装药燃烧过程中燃烧气体产物增压和壳体结构约束强度的变化过程。利用质量惯性约束作用下的PBX-3炸药燃烧反应演化实验,验证了约束装药反应燃烧演化调控模型的可靠性。分析结果表明:模型计算获得的反应增压历程与实验中的反应压力增长趋势(通过质量块运动速度历程推算)大致吻合,考虑结构泄压效应的调控模型能够反映压力增长历程中燃烧产气增压与泄气释压竞争的物理机制,压力增长趋势随泄压面积系数的变化关系符合机理分析预期。研究成果可为加深认识受约束炸药燃烧反应演化机制提供支撑。
优先出版栏目展示本刊经同行评议确定正式录用的文章,这些文章目前处在编校过程,尚未确定卷期及页码,但可以根据DOI进行引用。
显示方式:
当前状态:
, 最新更新时间: ,
doi: 10.11883/bzycj-2024-0446
摘要:
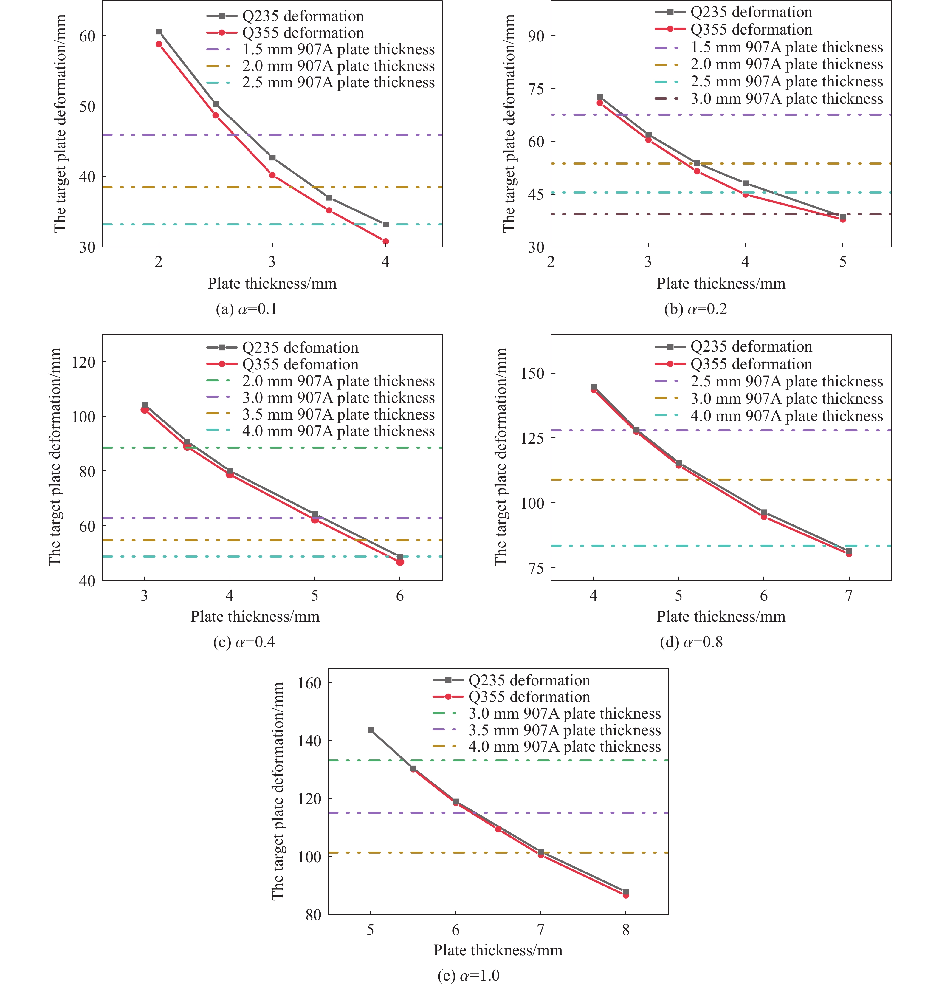
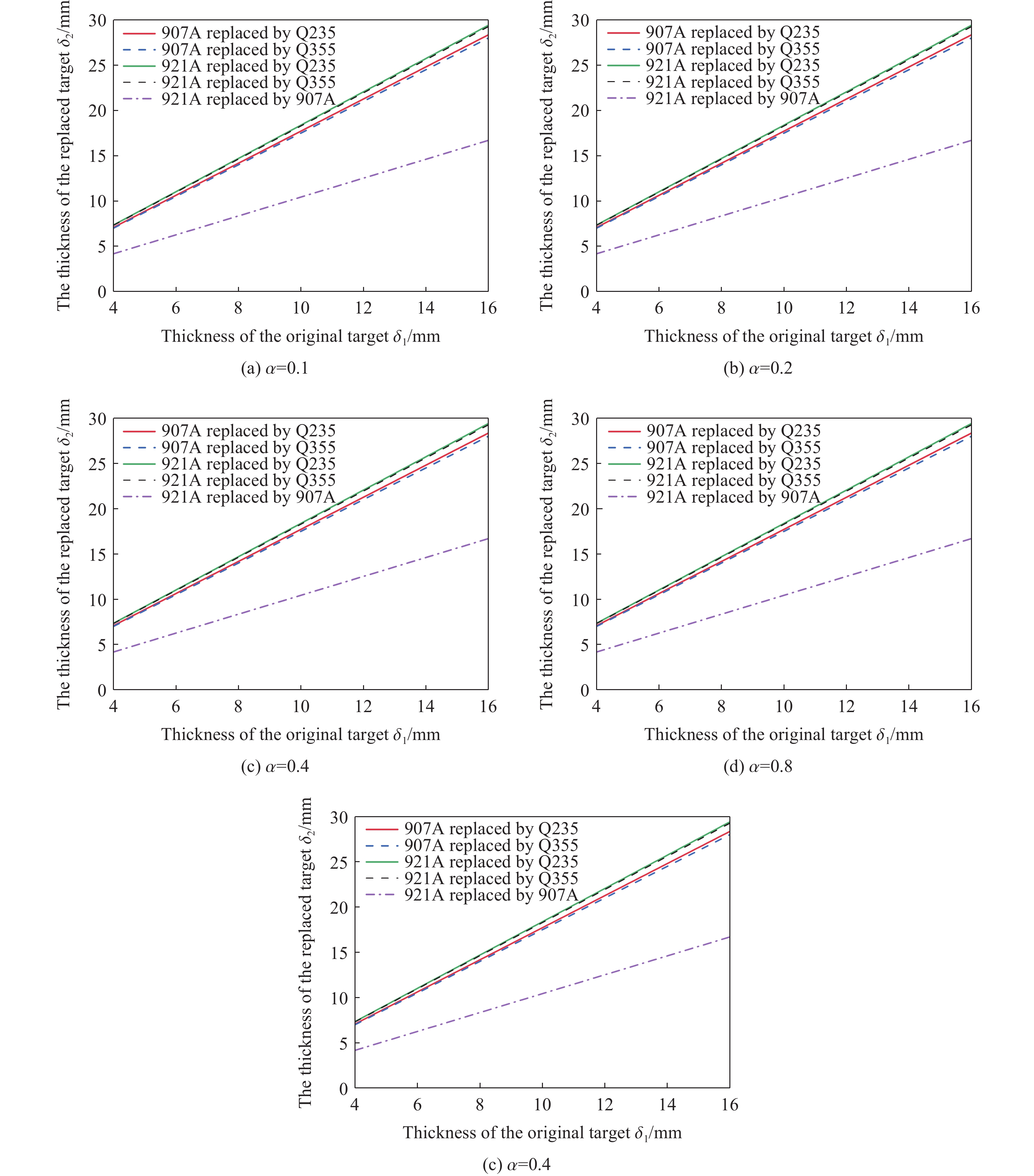
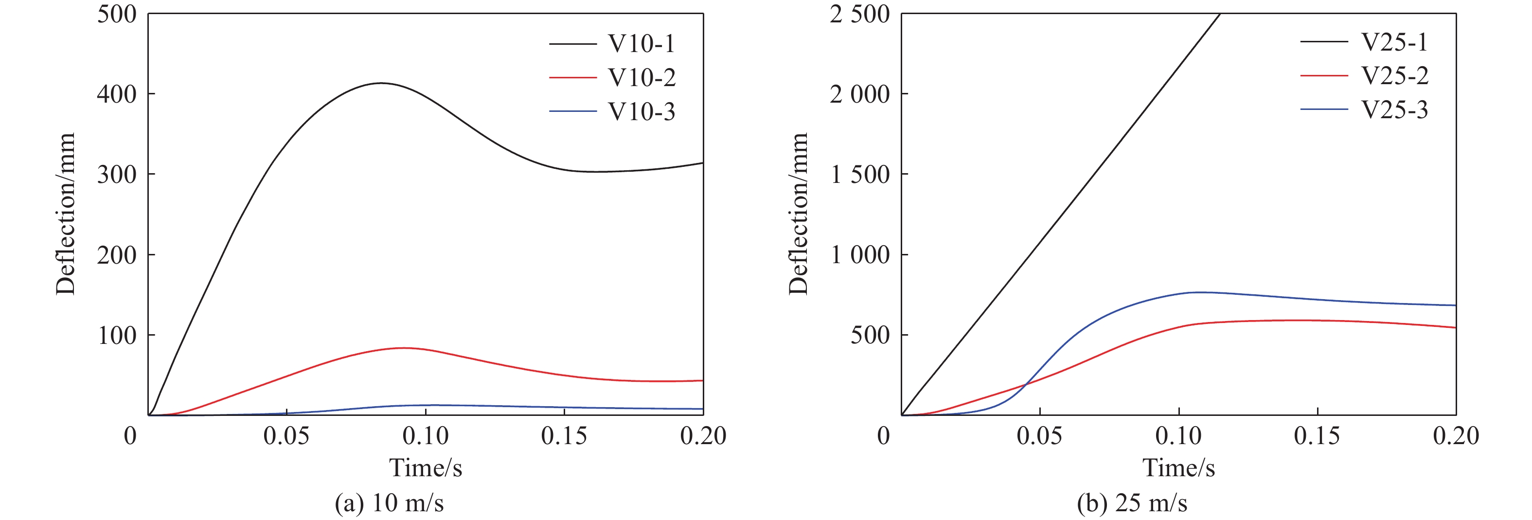
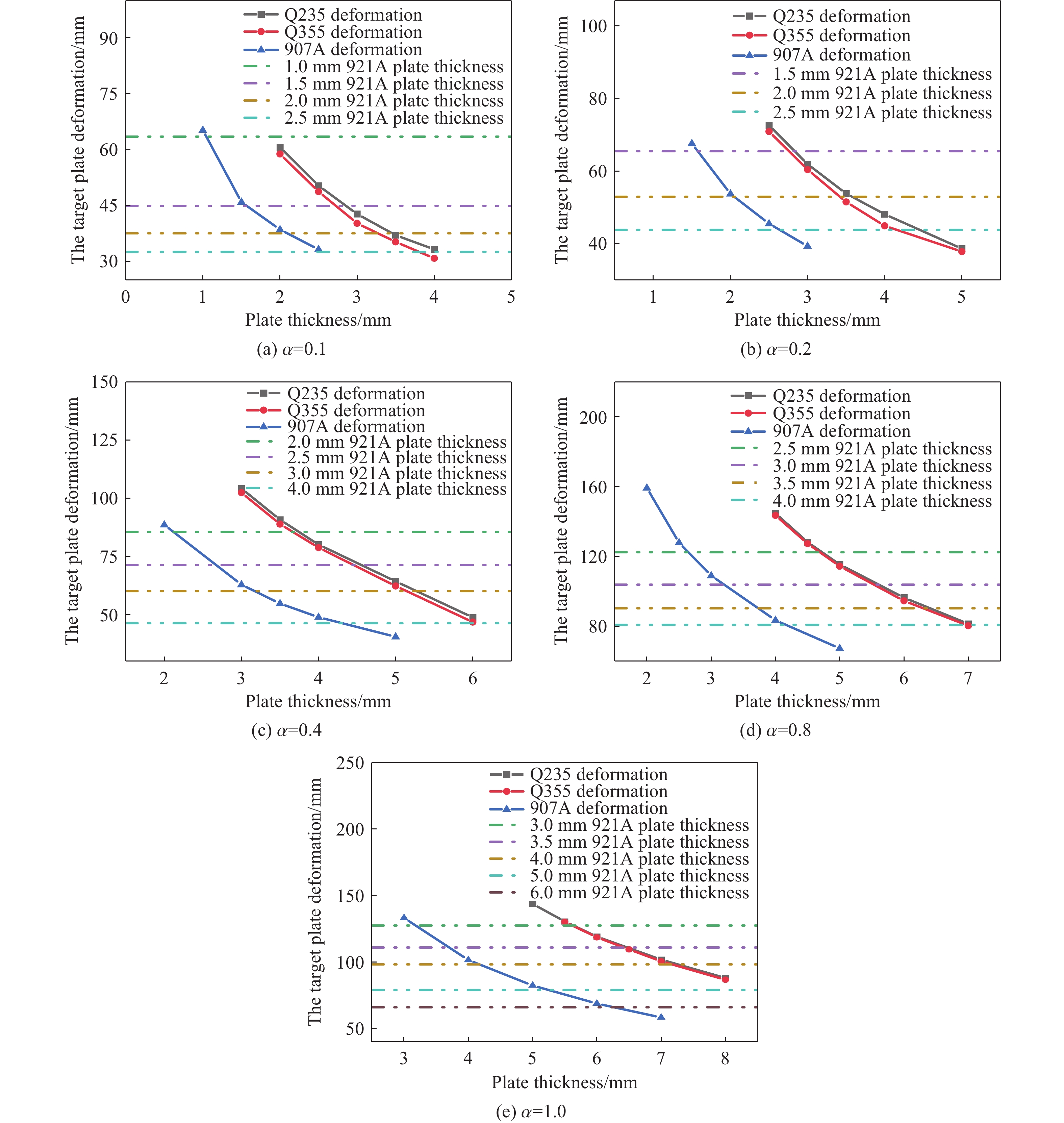
针对舰船结构舱内爆炸响应实验,船用特种钢材价格昂贵,极大增加试验成本,开展舱内爆炸响应实验中普通钢材替代特种钢材的等效性研究。为确定不同材料靶板之间的等效关系,基于靶板结构中心变形相似原则,考虑靶板不破的情况下,结合薄板大变形理论分析,明确了板厚度与内爆响应的关系,提出靶板材料等效替换方法。运用有限元分析软件ATUODYN对封闭空间内爆炸载荷作用在921A钢、907A钢、Q235钢、Q355钢四种不同型号钢制靶板过程进行数值仿真,得到计算结果与试验结果最大误差值为5.6%,验证了数值仿真方法的正确性。通过对数值仿真计算得到的等效板厚拟合,结合不同材料靶板等效板厚与动态屈服强度之间的经验公式,验证了所提不同型号钢制靶板在舱内爆炸载荷作用下的等效方法具有合理性和良好的适用性。为用普通船用钢材替代船用特种钢材进行舱内爆炸实验提供了理论依据和数据参考。
针对舰船结构舱内爆炸响应实验,船用特种钢材价格昂贵,极大增加试验成本,开展舱内爆炸响应实验中普通钢材替代特种钢材的等效性研究。为确定不同材料靶板之间的等效关系,基于靶板结构中心变形相似原则,考虑靶板不破的情况下,结合薄板大变形理论分析,明确了板厚度与内爆响应的关系,提出靶板材料等效替换方法。运用有限元分析软件ATUODYN对封闭空间内爆炸载荷作用在921A钢、907A钢、Q235钢、Q355钢四种不同型号钢制靶板过程进行数值仿真,得到计算结果与试验结果最大误差值为5.6%,验证了数值仿真方法的正确性。通过对数值仿真计算得到的等效板厚拟合,结合不同材料靶板等效板厚与动态屈服强度之间的经验公式,验证了所提不同型号钢制靶板在舱内爆炸载荷作用下的等效方法具有合理性和良好的适用性。为用普通船用钢材替代船用特种钢材进行舱内爆炸实验提供了理论依据和数据参考。
当前状态:
, 最新更新时间: ,
doi: 10.11883/bzycj-2025-0027
摘要:
约束爆炸准静态压力热力学模型可有效描述压力随当量体积比m/V的变化,并可基于物质组分和温度结果进一步导出气体绝热系数等物理量。然而,基于炸药爆轰和燃烧方程建立的不考虑化学反应平衡的热力学模型,其结果在反应产物中有碳单质析出后与美国UFC 3-340-02结构抗爆规范中的准静态压力曲线出现偏差,且对TNT约束爆炸准静态压力热力学模型中各物理量考虑反应平衡的必要性研究还未见报道。为探究反应平衡对热力学模型计算结果的影响,首先,基于等容过程的能量守恒方程和固体碳析出现象,修正了不考虑反应平衡的热力学模型,提高了模型结果在m/V≥0.371 kg/m3时与UFC曲线的一致性。然后,基于统一的模型求解框架,对比了考虑与不考虑反应平衡的热力学模型结果。研究表明:由于引入化学反应平衡造成的准静态压力最大相对差异小于20%,而固体碳生成时对应的m/V由0.371 kg/m3转变为3.850 kg/m3,温度达到峰值时对应的m/V由0.371 kg/m3转变为0.680 kg/m3,且物质组分和温度结果的差异在m/V>0.1 kg/m3后随m/V的增大逐渐显著。因此,在计算m/V>0.1 kg/m3的TNT约束爆炸工况中与物质组分和温度直接相关的物理量时,有必要采用考虑反应平衡的模型。最后,基于符号回归算法,提出了考虑反应平衡的TNT约束爆炸准静态阶段物质组分、温度和压力的简化计算方法。
约束爆炸准静态压力热力学模型可有效描述压力随当量体积比m/V的变化,并可基于物质组分和温度结果进一步导出气体绝热系数等物理量。然而,基于炸药爆轰和燃烧方程建立的不考虑化学反应平衡的热力学模型,其结果在反应产物中有碳单质析出后与美国UFC 3-340-02结构抗爆规范中的准静态压力曲线出现偏差,且对TNT约束爆炸准静态压力热力学模型中各物理量考虑反应平衡的必要性研究还未见报道。为探究反应平衡对热力学模型计算结果的影响,首先,基于等容过程的能量守恒方程和固体碳析出现象,修正了不考虑反应平衡的热力学模型,提高了模型结果在m/V≥0.371 kg/m3时与UFC曲线的一致性。然后,基于统一的模型求解框架,对比了考虑与不考虑反应平衡的热力学模型结果。研究表明:由于引入化学反应平衡造成的准静态压力最大相对差异小于20%,而固体碳生成时对应的m/V由0.371 kg/m3转变为3.850 kg/m3,温度达到峰值时对应的m/V由0.371 kg/m3转变为0.680 kg/m3,且物质组分和温度结果的差异在m/V>0.1 kg/m3后随m/V的增大逐渐显著。因此,在计算m/V>0.1 kg/m3的TNT约束爆炸工况中与物质组分和温度直接相关的物理量时,有必要采用考虑反应平衡的模型。最后,基于符号回归算法,提出了考虑反应平衡的TNT约束爆炸准静态阶段物质组分、温度和压力的简化计算方法。
当前状态:
, 最新更新时间: ,
doi: 10.11883/bzycj-2024-0435
摘要:
多航行体水下发射过程中,航行体处于复杂多变的流场环境,其运动弹道偏转不仅受初始速度、横流等条件的影响,还受多体间相互干扰效应的制约。为研究多体水下发射的空泡演化与弹道干扰特性,基于重叠网格技术与有限体积法,结合六自由度运动模型,建立了多体水下发射数值仿真模型,系统分析了空间排列方式、发射速度及横流对弹道偏转的影响机制。结果表明:空间排列方式对弹道偏移的影响较小,实际应用中可采用等边三角形排列以优化发射空间利用率;发射速度增大时,航行体尾涡干扰加剧,流场扰动显著增强,导致弹道间相互干扰效应更加明显;横流速度的增加会加剧模型肩部空泡发展的不对称性,当横流速度超过0.75 m/s时,横流成为弹道偏转的主导因素。研究结果可为多体水下发射的弹道预测和布局优化提供理论依据。
多航行体水下发射过程中,航行体处于复杂多变的流场环境,其运动弹道偏转不仅受初始速度、横流等条件的影响,还受多体间相互干扰效应的制约。为研究多体水下发射的空泡演化与弹道干扰特性,基于重叠网格技术与有限体积法,结合六自由度运动模型,建立了多体水下发射数值仿真模型,系统分析了空间排列方式、发射速度及横流对弹道偏转的影响机制。结果表明:空间排列方式对弹道偏移的影响较小,实际应用中可采用等边三角形排列以优化发射空间利用率;发射速度增大时,航行体尾涡干扰加剧,流场扰动显著增强,导致弹道间相互干扰效应更加明显;横流速度的增加会加剧模型肩部空泡发展的不对称性,当横流速度超过0.75 m/s时,横流成为弹道偏转的主导因素。研究结果可为多体水下发射的弹道预测和布局优化提供理论依据。
当前状态:
, 最新更新时间: ,
doi: 10.11883/bzycj-2024-0269
摘要:
采用造型粉模拟因碰撞过程极度碎化的压装炸药,研究了PBX造型粉缝隙挤压点火行为。基于射弹撞击的方式设计实验,为保证样品在设计的缝隙之外无其他流动空间,在样品表面覆盖垫层及涂抹油脂进行密封,采用高速摄影记录了造型粉挤入缝隙的运动及反应情况。通过改变缝隙面积和样品截面积的比例,研究了压实效应对点火的影响。结果表明,对于无油脂密封的情况,加载开始后PBX造型粉先经历颗粒破碎和压实,随后压实的造型粉从垫层附近的间隙被挤出,挤出过程中发生点火,点火位置在炸药与垫层界面;对于有油脂密封的情况,PBX造型粉在被压实后的一段时间内未发生点火,当压头行进到一半行程时,“楔形”滑移区形成,高速相机照片可见明显的滑移区-死区界面,随后变形模式从“单楔形”滑移区向“双楔形”滑移区演化,滑移区-死区界面剪切效应未引发点火。加载后期压头行进到接近缝隙表面,“楔形”滑移区消失,炸药在压头与缝隙发生碰撞的前后时刻分别发生一次点火,第1次点火发生在缝隙入口处,第2次点火发生在压头边角处。压实效应对点火行为有重要影响,造型粉被压实后点火速度阈值明显降低,撞击速度仅4.5 m/s即可导致点火。
采用造型粉模拟因碰撞过程极度碎化的压装炸药,研究了PBX造型粉缝隙挤压点火行为。基于射弹撞击的方式设计实验,为保证样品在设计的缝隙之外无其他流动空间,在样品表面覆盖垫层及涂抹油脂进行密封,采用高速摄影记录了造型粉挤入缝隙的运动及反应情况。通过改变缝隙面积和样品截面积的比例,研究了压实效应对点火的影响。结果表明,对于无油脂密封的情况,加载开始后PBX造型粉先经历颗粒破碎和压实,随后压实的造型粉从垫层附近的间隙被挤出,挤出过程中发生点火,点火位置在炸药与垫层界面;对于有油脂密封的情况,PBX造型粉在被压实后的一段时间内未发生点火,当压头行进到一半行程时,“楔形”滑移区形成,高速相机照片可见明显的滑移区-死区界面,随后变形模式从“单楔形”滑移区向“双楔形”滑移区演化,滑移区-死区界面剪切效应未引发点火。加载后期压头行进到接近缝隙表面,“楔形”滑移区消失,炸药在压头与缝隙发生碰撞的前后时刻分别发生一次点火,第1次点火发生在缝隙入口处,第2次点火发生在压头边角处。压实效应对点火行为有重要影响,造型粉被压实后点火速度阈值明显降低,撞击速度仅4.5 m/s即可导致点火。
当前状态:
, 最新更新时间: ,
doi: 10.11883/bzycj-2024-0443
摘要:
超临界CO2相变破岩是冲击波与高压气体协同作用下的动态破坏过程。为深入探究多孔同步激发与地应力耦合条件下的超临界CO2相变破岩机制,针对CO2现场破岩实际工况,基于薄壁圆筒理论解析了单孔初始破岩压力,结合一维爆生气体膨胀理论,构建了地应力作用下多孔冲击波与高压气体联合破岩半径预测模型,并通过现场多孔CO2相变破岩试验进行了对比验证。结果表明:当致裂管埋深较浅时,地应力对岩体应力分布的影响较微弱;当单孔压力一致时,致裂孔数量越多,各孔的叠加峰值应力越大,在垂直于测试孔布置方向,各孔的峰值应力均呈U型抛物线分布,两端的致裂孔的叠加应力最大,而在平行于测试孔布置方向,各孔的峰值应力均呈倒U型抛物线分布,中部致裂孔的叠加应力最大。此外,利用声波测试得到的现场多孔冲击下岩体损伤破坏范围呈三维漏斗形状,竖向损伤破坏范围在5.05~5.73 m之间,平面损伤破坏范围在4.3~5.6 m之间,其中平面损伤破坏范围测试值与理论计算值的相对误差在5.0%~18.7%之间,计算误差多来自各致裂孔叠加应力的不均匀性。进一步分析可知:超临界CO2相变破岩半径随致裂孔叠加应力呈半抛物线式增长,随致裂孔深度呈对数式增长;当岩体抗压强度增大时,岩石断裂韧度近线性增长,对应破岩半径近线性下降。研究成果可为多孔超临界CO2相变破岩工程参数优化提供定量化设计依据。
超临界CO2相变破岩是冲击波与高压气体协同作用下的动态破坏过程。为深入探究多孔同步激发与地应力耦合条件下的超临界CO2相变破岩机制,针对CO2现场破岩实际工况,基于薄壁圆筒理论解析了单孔初始破岩压力,结合一维爆生气体膨胀理论,构建了地应力作用下多孔冲击波与高压气体联合破岩半径预测模型,并通过现场多孔CO2相变破岩试验进行了对比验证。结果表明:当致裂管埋深较浅时,地应力对岩体应力分布的影响较微弱;当单孔压力一致时,致裂孔数量越多,各孔的叠加峰值应力越大,在垂直于测试孔布置方向,各孔的峰值应力均呈U型抛物线分布,两端的致裂孔的叠加应力最大,而在平行于测试孔布置方向,各孔的峰值应力均呈倒U型抛物线分布,中部致裂孔的叠加应力最大。此外,利用声波测试得到的现场多孔冲击下岩体损伤破坏范围呈三维漏斗形状,竖向损伤破坏范围在5.05~5.73 m之间,平面损伤破坏范围在4.3~5.6 m之间,其中平面损伤破坏范围测试值与理论计算值的相对误差在5.0%~18.7%之间,计算误差多来自各致裂孔叠加应力的不均匀性。进一步分析可知:超临界CO2相变破岩半径随致裂孔叠加应力呈半抛物线式增长,随致裂孔深度呈对数式增长;当岩体抗压强度增大时,岩石断裂韧度近线性增长,对应破岩半径近线性下降。研究成果可为多孔超临界CO2相变破岩工程参数优化提供定量化设计依据。
当前状态:
, 最新更新时间: ,
doi: 10.11883/bzycj-2024-0252
摘要:
为探究Zr基活性壳体的爆炸释能及对油盒的毁伤效果,采用合金熔炼浇铸方式制备了Zr基活性材料壳体,通过爆炸驱动试验,并结合高速摄影记录结果,对比等质量45钢壳体,以及对爆炸火球参数、冲击波波速进行观测,研究了不同材料壳体产生的破片对油盒的冲击效应。结果表明:爆炸驱动下,与等质量钢壳体相比,Zr基活性材料壳体的火光持续时间更长、冲击波波速更高,对空气冲击波具有强化作用;活性材料击穿油盒后引燃盒内燃油,具备引燃燃油能力,而等质量的钢壳体未引燃盒内燃油。
为探究Zr基活性壳体的爆炸释能及对油盒的毁伤效果,采用合金熔炼浇铸方式制备了Zr基活性材料壳体,通过爆炸驱动试验,并结合高速摄影记录结果,对比等质量45钢壳体,以及对爆炸火球参数、冲击波波速进行观测,研究了不同材料壳体产生的破片对油盒的冲击效应。结果表明:爆炸驱动下,与等质量钢壳体相比,Zr基活性材料壳体的火光持续时间更长、冲击波波速更高,对空气冲击波具有强化作用;活性材料击穿油盒后引燃盒内燃油,具备引燃燃油能力,而等质量的钢壳体未引燃盒内燃油。
当前状态:
, 最新更新时间: ,
doi: 10.11883/bzycj-2025-0154
摘要:
燃气泄漏爆炸事故严重威胁公共安全,而准确预测可燃气体泄漏爆炸效应的先决条件是确定气体泄漏后的浓度分布。为构建可燃气体泄漏扩散的实时全场时空预测模型,实现等效气云体积的高效预测,提出一种基于双神经网络架构与多阶段训练策略的图神经网络模型(multi-stage dual graph neural network, MSDGNN)。该模型包含2个协同工作的子网络:(1)浓度网络(Ncon),用于建立连续时间步浓度场之间的映射关系;(2)体积网络(Nvol),用于生成每个时间步的等效气体云体积,为爆炸风险评估提供量化指标。为进一步提升模型性能,开发了分阶段渐进式训练策略对双网络进行联合优化。验证结果表明:相较于传统单一网络架构(如mesh-based graph network,MGN),双网络架构通过解耦浓度场预测与等效气云体积预测任务,有效规避了单目标损失函数中权重因子对训练过程的干扰。多阶段训练策略通过分步参数优化,可解决传统方法对训练数据拟合不足的问题,使浓度场与等效气云体积的平均绝对百分误差\begin{document}$ {{ \varepsilon }}_{\rm{MAPE}} $\end{document} ![]()
![]()
分别从49.47%和108.93%大幅降低至7.55%和9.07%;同时,模型泛化误差从41.18%(浓度场)和38.81%(等效气云体积)分别降至8.01%和14.92%。此外,在泄漏速率、泄漏高度及持续时间等关键参数超出训练数据范围时,MSDGNN仍表现出良好的预测鲁棒性。与数值模拟方法相比,本模型在保持预测精度的同时,计算效率提升了3个数量级,可为可燃气体安全监测提供有效的实时分析工具。
燃气泄漏爆炸事故严重威胁公共安全,而准确预测可燃气体泄漏爆炸效应的先决条件是确定气体泄漏后的浓度分布。为构建可燃气体泄漏扩散的实时全场时空预测模型,实现等效气云体积的高效预测,提出一种基于双神经网络架构与多阶段训练策略的图神经网络模型(multi-stage dual graph neural network, MSDGNN)。该模型包含2个协同工作的子网络:(1)浓度网络(Ncon),用于建立连续时间步浓度场之间的映射关系;(2)体积网络(Nvol),用于生成每个时间步的等效气体云体积,为爆炸风险评估提供量化指标。为进一步提升模型性能,开发了分阶段渐进式训练策略对双网络进行联合优化。验证结果表明:相较于传统单一网络架构(如mesh-based graph network,MGN),双网络架构通过解耦浓度场预测与等效气云体积预测任务,有效规避了单目标损失函数中权重因子对训练过程的干扰。多阶段训练策略通过分步参数优化,可解决传统方法对训练数据拟合不足的问题,使浓度场与等效气云体积的平均绝对百分误差
当前状态:
, 最新更新时间: ,
doi: 10.11883/bzycj-2024-0273
摘要:
预应力钢筋混凝土(reinforced concrete, RC)T型梁桥常见于公路桥梁中,其受爆炸袭击后的桥面损伤多以破口形式存在,影响其通行能力,但已有桥梁爆炸损伤评估研究主要聚焦于RC梁桥墩柱与主梁的炸后残余承载力,缺乏更直观且可快速判断桥梁通行能力的损伤评估方法。为此,以预应力RC T型梁桥桥面板经爆炸荷载作用后的破口尺寸为损伤指标,结合数值模拟与多元非线性回归分析,开展桥面损伤快速评估研究。结果表明:通过比较爆炸作用下桥面板破口的横向尺寸,发现混凝土强度的影响相对较小,而爆炸位置、桥面厚度、横隔板间距、TNT当量及比例爆距等参数的影响较显著;由于腹板与横隔板对桥面板具有较强的增强和约束作用,在其他条件相同的情况下,腹板与横隔板之间的桥面板上方爆炸产生的破口横向尺寸显著小于腹板正上方爆炸,且桥上爆炸的损伤程度显著小于桥下爆炸。基于上述影响较大的参数,提出以破口横向尺寸为损伤指标构建预测桥梁炸后通行能力的爆炸快速损伤评估公式。
预应力钢筋混凝土(reinforced concrete, RC)T型梁桥常见于公路桥梁中,其受爆炸袭击后的桥面损伤多以破口形式存在,影响其通行能力,但已有桥梁爆炸损伤评估研究主要聚焦于RC梁桥墩柱与主梁的炸后残余承载力,缺乏更直观且可快速判断桥梁通行能力的损伤评估方法。为此,以预应力RC T型梁桥桥面板经爆炸荷载作用后的破口尺寸为损伤指标,结合数值模拟与多元非线性回归分析,开展桥面损伤快速评估研究。结果表明:通过比较爆炸作用下桥面板破口的横向尺寸,发现混凝土强度的影响相对较小,而爆炸位置、桥面厚度、横隔板间距、TNT当量及比例爆距等参数的影响较显著;由于腹板与横隔板对桥面板具有较强的增强和约束作用,在其他条件相同的情况下,腹板与横隔板之间的桥面板上方爆炸产生的破口横向尺寸显著小于腹板正上方爆炸,且桥上爆炸的损伤程度显著小于桥下爆炸。基于上述影响较大的参数,提出以破口横向尺寸为损伤指标构建预测桥梁炸后通行能力的爆炸快速损伤评估公式。
当前状态:
, 最新更新时间: ,
doi: 10.11883/bzycj-2024-0388
摘要:
爆炸冲击波在钢筋混凝土(reinforced concrete,RC)箱型结构中难以向外自由扩散,经多次反射叠加后可加剧结构的破坏程度。为全面探究RC箱型结构内爆炸载荷特性及其动力行为特征,通过复现完全密闭和半密闭(带泄爆口)RC箱型结构的内爆炸试验,验证了所采用有限元建模与分析方法的适用性。进一步,针对典型RC箱型结构和美国联邦应急管理署(FEMA)规定的恐怖爆炸袭击类型,开展了3种爆炸威胁和4种泄爆面积下的内爆炸数值模拟分析,考察了结构内壁面中心和内角隅处载荷及其分布以及结构动力行为特征。结果表明:泄爆面积对各特征点爆炸波峰值超压影响较小,而爆炸波冲量随泄爆面积增加近似指数型降低;结构内壁面载荷分布受结构尺寸的显著影响,呈“内凹”或“W”型;泄爆系数从0.457增大至1.220时,墙板最大位移可降低50%以上;相较于超压准则,冲量准则可以更加准确地评估构件毁伤等级。最后,提出了考虑泄爆面积的冲量增强因子和毁伤增强因子计算方法,能够较好地预测不同泄爆系数下的内爆炸载荷和结构动力行为。
爆炸冲击波在钢筋混凝土(reinforced concrete,RC)箱型结构中难以向外自由扩散,经多次反射叠加后可加剧结构的破坏程度。为全面探究RC箱型结构内爆炸载荷特性及其动力行为特征,通过复现完全密闭和半密闭(带泄爆口)RC箱型结构的内爆炸试验,验证了所采用有限元建模与分析方法的适用性。进一步,针对典型RC箱型结构和美国联邦应急管理署(FEMA)规定的恐怖爆炸袭击类型,开展了3种爆炸威胁和4种泄爆面积下的内爆炸数值模拟分析,考察了结构内壁面中心和内角隅处载荷及其分布以及结构动力行为特征。结果表明:泄爆面积对各特征点爆炸波峰值超压影响较小,而爆炸波冲量随泄爆面积增加近似指数型降低;结构内壁面载荷分布受结构尺寸的显著影响,呈“内凹”或“W”型;泄爆系数从0.457增大至1.220时,墙板最大位移可降低50%以上;相较于超压准则,冲量准则可以更加准确地评估构件毁伤等级。最后,提出了考虑泄爆面积的冲量增强因子和毁伤增强因子计算方法,能够较好地预测不同泄爆系数下的内爆炸载荷和结构动力行为。
当前状态:
, 最新更新时间: ,
doi: 10.11883/bzycj-2024-0245
摘要:
利用有机玻璃(PMMA)材料在切槽炮孔壁上预制缺陷裂纹,以TATP炸药为装药,采用动态焦散线实验结合数值模拟的方法,探究了炮孔壁缺陷对切槽爆破裂纹扩展的影响。结果表明:在平行缺陷处应力波的反射会导致切槽裂纹起裂方向向下偏移,在垂直缺陷处应力波的折射不影响裂纹起裂方向;孔壁缺陷的存在会抑制应力波及爆生气体对切槽处裂纹的作用,使其裂纹长度、扩展速度及强度因子均减小;抑制作用与缺陷到炮孔中心的距离有关,当缺陷远离炮孔中心时,平行缺陷对两侧切槽裂纹的抑制作用逐渐减弱,垂直缺陷对远侧切槽裂纹的抑制作用逐渐减弱,对近侧切槽裂纹的抑制作用逐渐增强;垂直缺陷左右的切槽裂纹受边界反射应力波作用相较于平行缺陷更加显著,左侧裂纹由于前期受缺陷处的反射应力波作用,并不呈现明显规律,但右侧裂纹随垂直缺陷远离炮孔中心,受边界反射应力波的作用显著降低。
利用有机玻璃(PMMA)材料在切槽炮孔壁上预制缺陷裂纹,以TATP炸药为装药,采用动态焦散线实验结合数值模拟的方法,探究了炮孔壁缺陷对切槽爆破裂纹扩展的影响。结果表明:在平行缺陷处应力波的反射会导致切槽裂纹起裂方向向下偏移,在垂直缺陷处应力波的折射不影响裂纹起裂方向;孔壁缺陷的存在会抑制应力波及爆生气体对切槽处裂纹的作用,使其裂纹长度、扩展速度及强度因子均减小;抑制作用与缺陷到炮孔中心的距离有关,当缺陷远离炮孔中心时,平行缺陷对两侧切槽裂纹的抑制作用逐渐减弱,垂直缺陷对远侧切槽裂纹的抑制作用逐渐减弱,对近侧切槽裂纹的抑制作用逐渐增强;垂直缺陷左右的切槽裂纹受边界反射应力波作用相较于平行缺陷更加显著,左侧裂纹由于前期受缺陷处的反射应力波作用,并不呈现明显规律,但右侧裂纹随垂直缺陷远离炮孔中心,受边界反射应力波的作用显著降低。
当前状态:
, 最新更新时间: ,
doi: 10.11883/bzycj-2024-0411
摘要:
针对车辆爆炸防护结构优化中数据来源匮乏、代理模型精度低、优化效率低和可靠性不足的问题,提出了一种数据增广方法结合半监督回归的数据驱动方法。通过改进生成对抗网络(generative adversarial network,GAN),提出了Gaussian密度估算-对抗生成网络(Gaussian density estimation-Wasserstein generative adversarial network,GDE-W-GAN);分别采用GDE-WGAN、Gaussian模型、最优拉丁超立方方法,并结合半监督支持向量回归,对原始数据集进行增广,通过对比不同方法的数据增广效果,验证了GDE-WGAN的可行性和优越性;通过多目标优化分别求解数据增广前后代理模型的最优解,并通过有限元仿真验证比较。结果表明,GDE-WGAN结合半监督回归的方法可以显著提升代理模型的拟合精度,2个输出变量的决定系数R2分别提升了16.7%和4.2%。结合半监督回归的数据增广优化方法在准确性和优化效率方面具有较大提升。
针对车辆爆炸防护结构优化中数据来源匮乏、代理模型精度低、优化效率低和可靠性不足的问题,提出了一种数据增广方法结合半监督回归的数据驱动方法。通过改进生成对抗网络(generative adversarial network,GAN),提出了Gaussian密度估算-对抗生成网络(Gaussian density estimation-Wasserstein generative adversarial network,GDE-W-GAN);分别采用GDE-WGAN、Gaussian模型、最优拉丁超立方方法,并结合半监督支持向量回归,对原始数据集进行增广,通过对比不同方法的数据增广效果,验证了GDE-WGAN的可行性和优越性;通过多目标优化分别求解数据增广前后代理模型的最优解,并通过有限元仿真验证比较。结果表明,GDE-WGAN结合半监督回归的方法可以显著提升代理模型的拟合精度,2个输出变量的决定系数R2分别提升了16.7%和4.2%。结合半监督回归的数据增广优化方法在准确性和优化效率方面具有较大提升。
当前状态:
, 最新更新时间: ,
doi: 10.11883/bzycj-2025-0134
摘要:
为研究高强材料与异形结构联合防护下工程的抗侵彻能力,设计了一种超高强球面结构加固靶体,利用\begin{document}$\varnothing $\end{document} ![]()
![]()
125 mm火炮开展了系列400 m/s冲击速度下的侵彻试验,得到了弹体破坏形态和靶体侵彻深度等试验数据。结合半无限厚混凝土靶体的抗侵彻试验进行对比分析,探讨了材料高强力学性能以及球状偏航结构等因素对弹体偏转破碎、侵彻能力的影响。结果表明:在400 m/s的侵彻速度下,设计的超高强球面结构的无量纲侵彻深度为0.11,弹体偏转角为呈83°,质量损失率达23.66%,结构抗侵彻能力为C40混凝土的9倍,防护能力较普通混凝土有显著提升。超高强球面结构的非对称撞击力促使来袭弹发生偏转破碎,使弹体头部产生严重侵蚀,并在侵彻过程中产生跳弹、二次着靶以及折断等行为,可有效阻挡弹体侵入结构内部,极大削弱来袭弹体在防护结构中的侵爆作用。
为研究高强材料与异形结构联合防护下工程的抗侵彻能力,设计了一种超高强球面结构加固靶体,利用
当前状态:
, 最新更新时间: ,
doi: 10.11883/bzycj-2025-0048
摘要:
煤制氢是煤炭能源低碳转型的有效方案,针对煤制氢通入天然气管网大规模输送过程中安全问题,研究非预混CO2喷射对掺氢天然气爆炸特性的影响。设计并搭建了爆炸实验平台,探究非预混CO2的喷射压力(0~1.00 MPa)和喷射时间(0~180 ms,喷射早于点火开启的时间)对爆炸火焰传播行为和压力特性的影响规律。结果表明:非预混CO2喷射显著影响甲烷/氢气/空气预混气爆炸行为。CO2喷射会引起湍流效应导致火焰褶皱和结构改变,从而使火焰传播速度和爆炸压力增大。当喷射时间固定时(如0或120 ms),增加喷射压力会引入更多的CO2,增强局部湍流和扰动,加剧火焰加速和爆炸后果。随着喷射时间增加,不同喷射压力下最大爆炸压力均呈先增后减的趋势。CO2喷射对爆炸的湍流促进作用和稀释作用相互竞争,并存在临界喷射时间。过多的CO2喷射时会增强它的稀释作用,削弱CO2喷射对爆炸的湍流扰动能力,降低爆炸强度。此外,较大的喷射压力有着更小的临界喷射时间,同时较大喷射压力下的最大爆炸压力对喷射时间的变化有着更高的敏感性。
煤制氢是煤炭能源低碳转型的有效方案,针对煤制氢通入天然气管网大规模输送过程中安全问题,研究非预混CO2喷射对掺氢天然气爆炸特性的影响。设计并搭建了爆炸实验平台,探究非预混CO2的喷射压力(0~1.00 MPa)和喷射时间(0~180 ms,喷射早于点火开启的时间)对爆炸火焰传播行为和压力特性的影响规律。结果表明:非预混CO2喷射显著影响甲烷/氢气/空气预混气爆炸行为。CO2喷射会引起湍流效应导致火焰褶皱和结构改变,从而使火焰传播速度和爆炸压力增大。当喷射时间固定时(如0或120 ms),增加喷射压力会引入更多的CO2,增强局部湍流和扰动,加剧火焰加速和爆炸后果。随着喷射时间增加,不同喷射压力下最大爆炸压力均呈先增后减的趋势。CO2喷射对爆炸的湍流促进作用和稀释作用相互竞争,并存在临界喷射时间。过多的CO2喷射时会增强它的稀释作用,削弱CO2喷射对爆炸的湍流扰动能力,降低爆炸强度。此外,较大的喷射压力有着更小的临界喷射时间,同时较大喷射压力下的最大爆炸压力对喷射时间的变化有着更高的敏感性。
当前状态:
, 最新更新时间: ,
doi: 10.11883/bzycj-2025-0050
摘要:
基于大电流加热方式建立了小尺寸板状试样高温动态拉伸实验技术,解决了片状试样与波导杆之间有效连接、试样高温实现与温度保持、高温试样与波导杆冷接触时间精准控制三项关键技术。为获取铱合金高温动态拉伸力学性能,利用该实验技术对铱合金进行了103 s−1应变率下室温、600、900和1100 ℃下的拉伸实验。结果表明,当温度从室温上升到900 ℃时,铱合金拉伸强度下降了12%,延性增加了2倍,但当温度上升至1100 ℃时,铱合金拉伸强度下降了43%且延性增加了7.3倍。基于铱合金试样宏微观断裂形貌表征阐明了其变形机理。随着温度的升高,铱合金由沿晶断裂主控的断裂模式转变为晶粒高温软化断裂主控的断裂模式,晶界失效和晶粒高温软化屈服两者相互竞争,决定了铱合金的高温动态断裂行为。
基于大电流加热方式建立了小尺寸板状试样高温动态拉伸实验技术,解决了片状试样与波导杆之间有效连接、试样高温实现与温度保持、高温试样与波导杆冷接触时间精准控制三项关键技术。为获取铱合金高温动态拉伸力学性能,利用该实验技术对铱合金进行了103 s−1应变率下室温、600、900和
当前状态:
, 最新更新时间: ,
doi: 10.11883/bzycj-2024-0274
摘要:
通过实验方法研究了铝蜂窝夹芯板在入水冲击载荷作用下的压力载荷特性和结构变形机理。首先,搭建了蜂窝夹芯板入水冲击实验平台,开展了不同落体高度下的蜂窝夹芯板入水冲击实验,通过三维扫描仪得到了面板的变形结果,并监测了不同测点的入水冲击压力时程,同时验证了实验的可重复性。在此基础上,研究了蜂窝夹芯板入水冲击过程中的压力载荷特性,并与不同结构的入水冲击压力进行了对比。此外,分析了蜂窝夹芯板的变形模式、最终挠度等特性,给出了面板最终挠度和芯层压缩量的拟合公式。研究结果表明,蜂窝夹芯板表面的入水冲击压力分布不均匀,但在一定落体高度范围内,其压力峰值均与落体高度近似呈线性变化。与刚性平板入水冲击相比,蜂窝夹芯板的入水冲击压力峰值较小。相比同质量的等效铝板而言,蜂窝夹芯板的入水冲击压力峰值更小,压力持续时间更长。不同落体高度下,蜂窝夹芯板的面板变形模式基本一致。随着落体高度的增加,蜂窝夹芯板前面板和后面板中点处的最终挠度近似呈斜率减小的二次抛物线增长。在入水冲击载荷作用下,蜂窝夹芯板后面板变形明显小于等效铝板变形,表明蜂窝夹芯板具有更好的抗冲击性能。
通过实验方法研究了铝蜂窝夹芯板在入水冲击载荷作用下的压力载荷特性和结构变形机理。首先,搭建了蜂窝夹芯板入水冲击实验平台,开展了不同落体高度下的蜂窝夹芯板入水冲击实验,通过三维扫描仪得到了面板的变形结果,并监测了不同测点的入水冲击压力时程,同时验证了实验的可重复性。在此基础上,研究了蜂窝夹芯板入水冲击过程中的压力载荷特性,并与不同结构的入水冲击压力进行了对比。此外,分析了蜂窝夹芯板的变形模式、最终挠度等特性,给出了面板最终挠度和芯层压缩量的拟合公式。研究结果表明,蜂窝夹芯板表面的入水冲击压力分布不均匀,但在一定落体高度范围内,其压力峰值均与落体高度近似呈线性变化。与刚性平板入水冲击相比,蜂窝夹芯板的入水冲击压力峰值较小。相比同质量的等效铝板而言,蜂窝夹芯板的入水冲击压力峰值更小,压力持续时间更长。不同落体高度下,蜂窝夹芯板的面板变形模式基本一致。随着落体高度的增加,蜂窝夹芯板前面板和后面板中点处的最终挠度近似呈斜率减小的二次抛物线增长。在入水冲击载荷作用下,蜂窝夹芯板后面板变形明显小于等效铝板变形,表明蜂窝夹芯板具有更好的抗冲击性能。
当前状态:
, 最新更新时间: ,
doi: 10.11883/bzycj-2024-0284
摘要:
鉴于目前对障碍物交错阵列内爆燃转爆轰(deflagration-to-detonation transition,DDT)现象的认识不足,采用高精度算法和动态自适应网格求解完全可压缩反应性Navier-Stokes方程,对不同障碍物间距条件下方形障碍物交错阵列内预混氢-空气DDT引发过程进行数值模拟研究。结果表明:减小障碍物间距有利于在火焰加速前期增加火焰面积、后期增强激波压缩未燃气体,从而缩短DDT时间和距离。然而,当障碍物间距减小至某阈值时,会出现结巴式爆轰,使DDT距离增加。DDT主要由障碍物前壁的反射激波与火焰相互作用引起。爆轰绕过障碍物时发生局部解耦,然后与壁面或来自障碍物另一侧的激波和失效爆轰波碰撞时可能引发爆轰再起爆。若障碍物间距太小,激波强度随爆轰的解耦而衰减严重,易导致爆轰失效。方形障碍物交错阵列比圆形更易引发DDT,因前者可在垂直和平行于火焰的传播方向产生反射激波,有助于激波作用于火焰和未燃气体。
鉴于目前对障碍物交错阵列内爆燃转爆轰(deflagration-to-detonation transition,DDT)现象的认识不足,采用高精度算法和动态自适应网格求解完全可压缩反应性Navier-Stokes方程,对不同障碍物间距条件下方形障碍物交错阵列内预混氢-空气DDT引发过程进行数值模拟研究。结果表明:减小障碍物间距有利于在火焰加速前期增加火焰面积、后期增强激波压缩未燃气体,从而缩短DDT时间和距离。然而,当障碍物间距减小至某阈值时,会出现结巴式爆轰,使DDT距离增加。DDT主要由障碍物前壁的反射激波与火焰相互作用引起。爆轰绕过障碍物时发生局部解耦,然后与壁面或来自障碍物另一侧的激波和失效爆轰波碰撞时可能引发爆轰再起爆。若障碍物间距太小,激波强度随爆轰的解耦而衰减严重,易导致爆轰失效。方形障碍物交错阵列比圆形更易引发DDT,因前者可在垂直和平行于火焰的传播方向产生反射激波,有助于激波作用于火焰和未燃气体。
当前状态:
, 最新更新时间: ,
doi: 10.11883/bzycj-2025-0037
摘要:
金属桥箔电爆炸驱动绝缘飞片的冲击起爆与点火技术在武器装备的起爆与点火系统中被广泛应用。为弥补现有研究对飞片运动过程中流场演化规律描述不足的缺陷,促进该技术向能量高效利用以及小型化等方面发展,搭建了双脉冲激光纹影瞬态观测实验系统,获得了不同时刻下流场的密度分布以及飞片的运动距离,同时,建立了金属桥箔电爆炸驱动飞片运动过程的二维轴对称流体动力学计算模型与计算方法,计算充分考虑了加速膛内外流场在飞片运动、冲击波压缩以及高温高压等离子体膨胀等作用下的演化规律,采用相变体积分数法描述桥箔在电能作用下由固相到等离子体相的转变,建立了等离子体状态方程以准确描述等离子体的状态,采用动网格模型描述了飞片在流场驱动下的运动。计算与实验得到的流场密度分布具有较好的贴合性,且飞片运动距离和飞片运动速度的最大误差分别为6.1%与8.1%,验证了计算模型与计算方法的准确性。研究结果表明:电容为0.33 μF、起爆电压为2800 V时,研究范围内,流场压强最大值基本维持在1×107 Pa左右;流场温度逐渐从516 ns时刻的9950 K降低到2310 ns时的3100 K;流场等离子体相分布逐渐由扁平状发展为长条状,等离子体相与飞片运动垂直方向的最大扩散距离为0.8 mm。1360 ns后,由于飞片突破冲击波波阵面,流场压强分布与温度分布的前端突起。
金属桥箔电爆炸驱动绝缘飞片的冲击起爆与点火技术在武器装备的起爆与点火系统中被广泛应用。为弥补现有研究对飞片运动过程中流场演化规律描述不足的缺陷,促进该技术向能量高效利用以及小型化等方面发展,搭建了双脉冲激光纹影瞬态观测实验系统,获得了不同时刻下流场的密度分布以及飞片的运动距离,同时,建立了金属桥箔电爆炸驱动飞片运动过程的二维轴对称流体动力学计算模型与计算方法,计算充分考虑了加速膛内外流场在飞片运动、冲击波压缩以及高温高压等离子体膨胀等作用下的演化规律,采用相变体积分数法描述桥箔在电能作用下由固相到等离子体相的转变,建立了等离子体状态方程以准确描述等离子体的状态,采用动网格模型描述了飞片在流场驱动下的运动。计算与实验得到的流场密度分布具有较好的贴合性,且飞片运动距离和飞片运动速度的最大误差分别为6.1%与8.1%,验证了计算模型与计算方法的准确性。研究结果表明:电容为0.33 μF、起爆电压为
当前状态:
, 最新更新时间: ,
doi: 10.11883/bzycj-2024-0452
摘要:
燃爆抑制技术可有效减轻事故后果,是可燃气体燃爆安全防护技术的重要环节。作为抑爆装置的核心组成,抑制剂的性能可直接影响抑制系统的可靠性。聚焦燃爆抑制领域的研究成果,对粉体抑制剂及其抑制机理进行了系统的总结和分析。基于组成方式不同,将抑制粉体分为单组分和复配粉体,其中单组分抑制粉体又可根据抑制机理的差异,分为活性粉体和惰性粉体。在文献综述部分,按照“粉体材料总体介绍-相关实验和理论研究-抑制机理归纳总结”的结构顺序进行评述。对现有研究存在的问题进行总结并对未来研究进行展望,提出对抑制性能测试过程进行规范化和标准化,强调通过化学反应动力学模拟指导材料合成,提高材料筛选效率,减少研究的盲目性。
燃爆抑制技术可有效减轻事故后果,是可燃气体燃爆安全防护技术的重要环节。作为抑爆装置的核心组成,抑制剂的性能可直接影响抑制系统的可靠性。聚焦燃爆抑制领域的研究成果,对粉体抑制剂及其抑制机理进行了系统的总结和分析。基于组成方式不同,将抑制粉体分为单组分和复配粉体,其中单组分抑制粉体又可根据抑制机理的差异,分为活性粉体和惰性粉体。在文献综述部分,按照“粉体材料总体介绍-相关实验和理论研究-抑制机理归纳总结”的结构顺序进行评述。对现有研究存在的问题进行总结并对未来研究进行展望,提出对抑制性能测试过程进行规范化和标准化,强调通过化学反应动力学模拟指导材料合成,提高材料筛选效率,减少研究的盲目性。
当前状态:
, 最新更新时间: ,
doi: 10.11883/bzycj-2024-0483
摘要:
为提升氟聚物基活性破片的毁伤效率,拓展其应用范围,研制了一种“核壳”式复合结构活性破片,该破片采用湿混法,引入碳纤维增强基体材料的强度,采用特定的烧结条件,制备了PTFE/Al/CF钨粉和PTFE/Al/CF钨球2种试样,并开展了相应的基本力学性能试验。通过2种结构破片侵彻3 mm+3 mm+2 mm+2 mm多层间隔铝靶试验,采用Python自编的源程序对试验数据进行自动处理,获得了各层靶板的穿孔面积、变形体积以及反应光强总量,对比分析了不同速度和约束条件下多层间隔靶的毁伤特征差异。研究结果表明:“核壳”式破片侵彻能力更强,低速可穿透4层靶板,但穿孔面积较小,穿孔直径约为0.95倍破片直径;均质破片穿孔面积更大,但侵彻能力较弱,穿孔直径约为1.21倍破片直径,高速条件下只能穿透3层靶板;钢壳约束显著提升了破片的穿孔和侵彻能力。破片的主要活性反应发生在与第2层靶的撞击过程中,但其释能反应对穿孔效应的促进作用有限,毁伤特征差异主要取决于破片的力学特性。
为提升氟聚物基活性破片的毁伤效率,拓展其应用范围,研制了一种“核壳”式复合结构活性破片,该破片采用湿混法,引入碳纤维增强基体材料的强度,采用特定的烧结条件,制备了PTFE/Al/CF钨粉和PTFE/Al/CF钨球2种试样,并开展了相应的基本力学性能试验。通过2种结构破片侵彻3 mm+3 mm+2 mm+2 mm多层间隔铝靶试验,采用Python自编的源程序对试验数据进行自动处理,获得了各层靶板的穿孔面积、变形体积以及反应光强总量,对比分析了不同速度和约束条件下多层间隔靶的毁伤特征差异。研究结果表明:“核壳”式破片侵彻能力更强,低速可穿透4层靶板,但穿孔面积较小,穿孔直径约为0.95倍破片直径;均质破片穿孔面积更大,但侵彻能力较弱,穿孔直径约为1.21倍破片直径,高速条件下只能穿透3层靶板;钢壳约束显著提升了破片的穿孔和侵彻能力。破片的主要活性反应发生在与第2层靶的撞击过程中,但其释能反应对穿孔效应的促进作用有限,毁伤特征差异主要取决于破片的力学特性。
当前状态:
, 最新更新时间: ,
doi: 10.11883/bzycj-2025-0128
摘要:
为掌握火灾环境下高压储氢气瓶爆炸能量产生、转化及耗散机制对气瓶爆炸的影响,以充装氢气和氮气的6.8L-30MPa Ⅲ型高压气瓶爆炸引发试验为基础,开展了气瓶极限承压判据、爆炸动力学行为及威力评估研究。结果表明:火灾可显著降低气瓶承压能力,气瓶的临界爆破压力由常温时的125.1 MPa降至火灾时的46.8 MPa,承压能力下降约62.6%。储氢气瓶爆炸呈现典型的物理-化学复合特征,产生了直径约9 m的火球,冲击波峰值压力在距离爆源2 m处达882.47 kPa,正压持续时间为168.11 ms;相同位置处的氮气瓶爆炸冲击波峰值为59.42 kPa,正压持续时间为2.17 ms,爆炸威力远小于氢气瓶。探讨了开敞环境下氢气瓶与氮气瓶爆炸能量的转化路径,建立了开敞环境下储氢气瓶爆炸威力评估方法,研究结果可对完善高压储氢气瓶爆炸事故风险评估提供参考。
为掌握火灾环境下高压储氢气瓶爆炸能量产生、转化及耗散机制对气瓶爆炸的影响,以充装氢气和氮气的6.8L-30MPa Ⅲ型高压气瓶爆炸引发试验为基础,开展了气瓶极限承压判据、爆炸动力学行为及威力评估研究。结果表明:火灾可显著降低气瓶承压能力,气瓶的临界爆破压力由常温时的125.1 MPa降至火灾时的46.8 MPa,承压能力下降约62.6%。储氢气瓶爆炸呈现典型的物理-化学复合特征,产生了直径约9 m的火球,冲击波峰值压力在距离爆源2 m处达882.47 kPa,正压持续时间为168.11 ms;相同位置处的氮气瓶爆炸冲击波峰值为59.42 kPa,正压持续时间为2.17 ms,爆炸威力远小于氢气瓶。探讨了开敞环境下氢气瓶与氮气瓶爆炸能量的转化路径,建立了开敞环境下储氢气瓶爆炸威力评估方法,研究结果可对完善高压储氢气瓶爆炸事故风险评估提供参考。
当前状态:
, 最新更新时间: ,
doi: 10.11883/bzycj-2025-0101
摘要:
点阵力学超材料具有轻质、可设计和抗冲击等优点,在航空航天等许多领域具有广阔的应用前景。设计了一种米字形点阵力学超材料,采用选择性激光熔融技术制备了米字形点阵力学超材料试样,开展了落锤冲击试验和有限元数值模拟,研究了低速冲击载荷作用下点阵力学超材料的动态压溃行为和能量吸收机理,分析了冲击速度对米字形点阵力学超材料变形模式和能量吸收特性的影响规律。研究结果表明:冲击速度对米字形点阵力学超材料的变形模式有较大影响,在较低冲击速度下,点阵力学超材料的变形模式与准静态压缩下的变形模式相似,均以剪切带周围胞元的逐层压溃模式为主;在较高冲击速度下,点阵力学超材料的变形模式由X形剪切带转换为V形剪切带,最后演变为弧形剪切带;进一步研究发现,米字形点阵力学超材料呈现出一定程度的速率敏感性,随着冲击速度的增大,初始峰值应力、平台应力和比吸能增大。
点阵力学超材料具有轻质、可设计和抗冲击等优点,在航空航天等许多领域具有广阔的应用前景。设计了一种米字形点阵力学超材料,采用选择性激光熔融技术制备了米字形点阵力学超材料试样,开展了落锤冲击试验和有限元数值模拟,研究了低速冲击载荷作用下点阵力学超材料的动态压溃行为和能量吸收机理,分析了冲击速度对米字形点阵力学超材料变形模式和能量吸收特性的影响规律。研究结果表明:冲击速度对米字形点阵力学超材料的变形模式有较大影响,在较低冲击速度下,点阵力学超材料的变形模式与准静态压缩下的变形模式相似,均以剪切带周围胞元的逐层压溃模式为主;在较高冲击速度下,点阵力学超材料的变形模式由X形剪切带转换为V形剪切带,最后演变为弧形剪切带;进一步研究发现,米字形点阵力学超材料呈现出一定程度的速率敏感性,随着冲击速度的增大,初始峰值应力、平台应力和比吸能增大。
当前状态:
, 最新更新时间: ,
doi: 10.11883/bzycj-2024-0153
摘要:
撞击溅射是撞击过程的重要组成部分,在深空探测领域中的小行星附着固锚、撞击采样、动能撞击偏转、星球表面溅射沉积物分布等工程应用及科学分析中发挥着重要作用。小行星表面多覆盖有砾石堆状风化层,研究人员通常利用颗粒状靶体进行模拟并开展实验研究。本文综述了颗粒靶体撞击溅射行为的研究进展,介绍了颗粒靶体撞击溅射形成的过程及溅射幕的描述方法;剖析了基于量纲分析的撞击溅射相似律及其适用范围和局限性;总结了靶体材料参数、撞击参数、靶体表面形貌和弹丸形状结构等对撞击溅射行为的影响;最后提出了颗粒靶体撞击溅射行为研究存在的问题及待开展的研究。
撞击溅射是撞击过程的重要组成部分,在深空探测领域中的小行星附着固锚、撞击采样、动能撞击偏转、星球表面溅射沉积物分布等工程应用及科学分析中发挥着重要作用。小行星表面多覆盖有砾石堆状风化层,研究人员通常利用颗粒状靶体进行模拟并开展实验研究。本文综述了颗粒靶体撞击溅射行为的研究进展,介绍了颗粒靶体撞击溅射形成的过程及溅射幕的描述方法;剖析了基于量纲分析的撞击溅射相似律及其适用范围和局限性;总结了靶体材料参数、撞击参数、靶体表面形貌和弹丸形状结构等对撞击溅射行为的影响;最后提出了颗粒靶体撞击溅射行为研究存在的问题及待开展的研究。
当前状态:
, 最新更新时间: ,
doi: 10.11883/bzycj-2024-0485
摘要:
为了准确预测冲击爆炸荷载作用下混凝土材料的动态拉伸断裂破坏,基于非常规态近场动力学理论框架,本文首先建立了修正的Monaghan人工体积黏性计算方法用于消除数值振荡,然后将前期建立的等效计算应变率方法植入到课题组前期研发的Kong-Fang混凝土材料模型中,用以准确计算应变率突变时的应变率效应。在此基础上,开展了一维杆中的弹性波传播的数值模拟,发现在力矢量状态上额外附加修正的Monaghan人工体积黏性力矢量状态,可有效地抑制由变形梯度近似导致的非物理数值振荡现象,进而讨论分析了人工体积黏性参数的影响并给出参数建议值。最后将模型用于混凝土试件层裂的数值模拟,对比分析了人工体积黏性、不同应变率效应计算方法对动态拉伸断裂预测结果的影响规律,数值模拟结果表明,准确预测混凝土材料动态拉伸断裂破坏需同时考虑修正的Monaghan人工体积黏性和等效计算应变率,建立的考虑修正的Monaghan人工体积黏性和等效计算应变率的非常规态近场动力学模型可以较好地预测裂缝位置和数量,为冲击爆炸荷载作用下混凝土材料动态拉伸断裂破坏的数值模拟提供了新思路。
为了准确预测冲击爆炸荷载作用下混凝土材料的动态拉伸断裂破坏,基于非常规态近场动力学理论框架,本文首先建立了修正的Monaghan人工体积黏性计算方法用于消除数值振荡,然后将前期建立的等效计算应变率方法植入到课题组前期研发的Kong-Fang混凝土材料模型中,用以准确计算应变率突变时的应变率效应。在此基础上,开展了一维杆中的弹性波传播的数值模拟,发现在力矢量状态上额外附加修正的Monaghan人工体积黏性力矢量状态,可有效地抑制由变形梯度近似导致的非物理数值振荡现象,进而讨论分析了人工体积黏性参数的影响并给出参数建议值。最后将模型用于混凝土试件层裂的数值模拟,对比分析了人工体积黏性、不同应变率效应计算方法对动态拉伸断裂预测结果的影响规律,数值模拟结果表明,准确预测混凝土材料动态拉伸断裂破坏需同时考虑修正的Monaghan人工体积黏性和等效计算应变率,建立的考虑修正的Monaghan人工体积黏性和等效计算应变率的非常规态近场动力学模型可以较好地预测裂缝位置和数量,为冲击爆炸荷载作用下混凝土材料动态拉伸断裂破坏的数值模拟提供了新思路。
当前状态:
, 最新更新时间: ,
doi: 10.11883/bzycj-2025-0047
摘要:
为研究高速铁路弓网系统在动态冲击和摩擦温升等服役条件下的力学性能,采用DF14.205D电子万能试验机和分离式霍普金森压杆,测试了应变率0.001~3000 s−1和温度293~873 K范围内高速铁路接触网铜镁合金材料的单轴压缩力学性能,分析了其应力-应变响应的应变率效应和温度敏感性,揭示了率温耦合作用下铜镁合金材料的压缩变形机制和微观组织演化规律,并构建了能准确描述其塑性流动行为的动态本构模型。研究表明,接触网铜镁合金材料在压缩过程中表现出显著的应变率强化和温度软化效应,并且这些效应受到加工硬化、应变率、温度软化等因素的共同作用;当温度大于473 K时,材料的变形主要以温度软化为主导,且温度能促进材料动态回复与动态再结晶过程;修正后的Johnson-Cook模型能够较好地预测该材料的塑性流动应力-应变响应。研究结果可为高速列车弓网系统服役安全设计和评估提供参考。
为研究高速铁路弓网系统在动态冲击和摩擦温升等服役条件下的力学性能,采用DF14.205D电子万能试验机和分离式霍普金森压杆,测试了应变率0.001~
当前状态:
, 最新更新时间: ,
doi: 10.11883/bzycj-2025-0054
摘要:
为研究聚脲涂层对钢筋混凝土(reinforced concrete,RC)基板层裂和贯穿的影响,分析了压缩波在混凝土-聚脲界面传播过程及混凝土层裂过程,提出背面喷涂聚脲RC基板的层裂解析模型。基于该模型,定量分析了聚脲涂层对RC基板临界层裂和贯穿的影响,提出无涂层RC板的贯穿预估经验方法可扩展应用于背面喷涂聚脲的RC基板,并通过学者们报道的接触爆炸试验进行验证。结果表明:聚脲涂层会对RC基板背面层裂过程产生影响,紧邻混凝土-聚脲界面的净应力波为压缩波,而在更深处的混凝土中,净应力波为拉伸波;聚脲涂层仅影响RC基板的首次层裂,首次层裂后的层裂过程与无涂层RC板相同;在发生临界层裂时,聚脲涂层提高了RC基板的临界层裂抗力,但层裂深度会增加;在发生贯穿时,聚脲涂层减少了RC基板的层裂次数,但对总层裂深度和贯穿的影响较小;无涂层RC板的贯穿预估经验方法可较好地预估背面喷涂聚脲RC基板的贯穿破坏。
为研究聚脲涂层对钢筋混凝土(reinforced concrete,RC)基板层裂和贯穿的影响,分析了压缩波在混凝土-聚脲界面传播过程及混凝土层裂过程,提出背面喷涂聚脲RC基板的层裂解析模型。基于该模型,定量分析了聚脲涂层对RC基板临界层裂和贯穿的影响,提出无涂层RC板的贯穿预估经验方法可扩展应用于背面喷涂聚脲的RC基板,并通过学者们报道的接触爆炸试验进行验证。结果表明:聚脲涂层会对RC基板背面层裂过程产生影响,紧邻混凝土-聚脲界面的净应力波为压缩波,而在更深处的混凝土中,净应力波为拉伸波;聚脲涂层仅影响RC基板的首次层裂,首次层裂后的层裂过程与无涂层RC板相同;在发生临界层裂时,聚脲涂层提高了RC基板的临界层裂抗力,但层裂深度会增加;在发生贯穿时,聚脲涂层减少了RC基板的层裂次数,但对总层裂深度和贯穿的影响较小;无涂层RC板的贯穿预估经验方法可较好地预估背面喷涂聚脲RC基板的贯穿破坏。
当前状态:
, 最新更新时间: ,
doi: 10.11883/bzycj-2024-0359
摘要:
为探究清洁燃料乙炔在O2/CO2气氛下的可燃下限,在5 L圆柱体爆炸反应装置中进行实验,测得了乙炔的可燃下限。随着CO2的体积分数从14%增加到85%,乙炔的可燃下限从2.64%增长到3.93%,在较小的范围内呈线性增加。烷烃、烯烃和炔烃的可燃下限依次降低,表明炔烃具有更大的燃烧范围。基于极限层流速度法计算模型,建立了适用于乙炔可燃下限的预测模型。通过实验数据验证了该模型的可靠性,采用该模型讨论了CO2的热力学、化学、输运效应对可燃下限的影响。结果表明:热力学效应的平均占比为64%,化学效应占比35%,输运效应占比1%。
为探究清洁燃料乙炔在O2/CO2气氛下的可燃下限,在5 L圆柱体爆炸反应装置中进行实验,测得了乙炔的可燃下限。随着CO2的体积分数从14%增加到85%,乙炔的可燃下限从2.64%增长到3.93%,在较小的范围内呈线性增加。烷烃、烯烃和炔烃的可燃下限依次降低,表明炔烃具有更大的燃烧范围。基于极限层流速度法计算模型,建立了适用于乙炔可燃下限的预测模型。通过实验数据验证了该模型的可靠性,采用该模型讨论了CO2的热力学、化学、输运效应对可燃下限的影响。结果表明:热力学效应的平均占比为64%,化学效应占比35%,输运效应占比1%。
当前状态:
, 最新更新时间: ,
doi: 10.11883/bzycj-2025-0024
摘要:
为研究超高速侵彻下金属蜂窝管约束混凝土结构的抗侵彻性能,利用二级轻气炮开展了1 500 m/s附近弹体侵彻试验,使用物质点法模拟侵彻过程并对靶体和弹体参数的合理性进行验证,并利用该方法研究了蜂窝管壁厚、高度、直径和材料等参数对靶体抗侵彻性能的影响规律。数值计算表明:物质点法可以准确模拟高速侵彻过程,模拟结果与实验误差小于10%;通过正交分析得到的影响侵深的因素依次为:蜂窝管特征管深、特征内径、特征壁厚、材料;影响开坑半径的因素依次为蜂窝管特征壁厚、特征管深、材料、特征内径。对于本文所采用的弹体,根据优化结果分析得到了综合因素最优的组合。
为研究超高速侵彻下金属蜂窝管约束混凝土结构的抗侵彻性能,利用二级轻气炮开展了1 500 m/s附近弹体侵彻试验,使用物质点法模拟侵彻过程并对靶体和弹体参数的合理性进行验证,并利用该方法研究了蜂窝管壁厚、高度、直径和材料等参数对靶体抗侵彻性能的影响规律。数值计算表明:物质点法可以准确模拟高速侵彻过程,模拟结果与实验误差小于10%;通过正交分析得到的影响侵深的因素依次为:蜂窝管特征管深、特征内径、特征壁厚、材料;影响开坑半径的因素依次为蜂窝管特征壁厚、特征管深、材料、特征内径。对于本文所采用的弹体,根据优化结果分析得到了综合因素最优的组合。
当前状态:
, 最新更新时间: ,
doi: 10.11883/bzycj-2025-0058
摘要:
针对恶劣海况下动态海缆及其保护套与风机平台摩擦和碰撞导致的断裂问题,以具有高弹性、高缓冲性能的EVA泡沫和橡胶为主体材料,设计了一种抗多次冲击复合防护层。采用万能试验机和落锤,开展了不同加载条件下多种相对密度的EVA泡沫材料的力学性能实验,揭示了相对密度、应变率和多次加载对材料能量吸收特性的影响规律。基于EVA泡沫材料单位体积吸能率与待吸收的动态海缆动能之间的匹配关系,讨论并确定最佳的防护层厚度尺寸,进而制作了复合防护层测试样件。随后,通过落锤冲击实验对复合防护层在单次冲击和多次冲击条件下的缓冲吸能特性进行了研究。实验结果表明:在单次冲击下复合防护层的峰值力与最大位移随落锤质量与下落速度呈线性正相关变化,且能量吸收效率高达85 %;在多次冲击下复合防护层的力学性能呈现显著稳定性,第四次冲击的最大位移较首次冲击仅增大了5.5 %,且能量吸收值和瞬时回弹率的波动幅度小于5 %。复合防护层的独特力学性能可为动态海缆在恶劣海况下的长期使用提供有效保护。
针对恶劣海况下动态海缆及其保护套与风机平台摩擦和碰撞导致的断裂问题,以具有高弹性、高缓冲性能的EVA泡沫和橡胶为主体材料,设计了一种抗多次冲击复合防护层。采用万能试验机和落锤,开展了不同加载条件下多种相对密度的EVA泡沫材料的力学性能实验,揭示了相对密度、应变率和多次加载对材料能量吸收特性的影响规律。基于EVA泡沫材料单位体积吸能率与待吸收的动态海缆动能之间的匹配关系,讨论并确定最佳的防护层厚度尺寸,进而制作了复合防护层测试样件。随后,通过落锤冲击实验对复合防护层在单次冲击和多次冲击条件下的缓冲吸能特性进行了研究。实验结果表明:在单次冲击下复合防护层的峰值力与最大位移随落锤质量与下落速度呈线性正相关变化,且能量吸收效率高达85 %;在多次冲击下复合防护层的力学性能呈现显著稳定性,第四次冲击的最大位移较首次冲击仅增大了5.5 %,且能量吸收值和瞬时回弹率的波动幅度小于5 %。复合防护层的独特力学性能可为动态海缆在恶劣海况下的长期使用提供有效保护。
当前状态:
, 最新更新时间: ,
doi: 10.11883/bzycj-2024-0502
摘要:
多孔材料在冲击压缩过程中伴随着孔隙坍塌行为,本文中基于已有试验中所观测到的冲击波结构,对多孔材料的冲击波形成过程及孔隙坍塌行为间的联系进行理论分析。首先,考虑多孔材料的压缩曲线特性和冲击波追赶问题,提出了多孔材料的冲击波结构存在低压单波、双冲击波和高压单波等3种模式。进一步,结合Wu-Jing物态方程发展了与不同冲击波模式相容的冲击压缩特性计算方法,得到了与单冲击波模式相容的冲击比容计算方程,可以无需采取近似条件直接计算临界比容。此外,通过对弹性阶段与弹塑性阶段材料的孔隙度随压力的变化规律采取线性近似,并考虑了多孔材料中基体材料受力与宏观应力之间的关系,修正了Carroll建立的孔隙坍塌关系方程。基于本文中发展的考虑孔隙坍塌行为的冲击压缩特性计算模型,对材料的Hugoniot数据进行了计算,讨论了孔隙坍塌行为对多孔材料冲击压缩特性的影响。结果表明在较低压力时材料的冲击物态特性受孔隙坍塌行为影响明显,模型能够更加精确地预测多孔材料的冲击波参量。
多孔材料在冲击压缩过程中伴随着孔隙坍塌行为,本文中基于已有试验中所观测到的冲击波结构,对多孔材料的冲击波形成过程及孔隙坍塌行为间的联系进行理论分析。首先,考虑多孔材料的压缩曲线特性和冲击波追赶问题,提出了多孔材料的冲击波结构存在低压单波、双冲击波和高压单波等3种模式。进一步,结合Wu-Jing物态方程发展了与不同冲击波模式相容的冲击压缩特性计算方法,得到了与单冲击波模式相容的冲击比容计算方程,可以无需采取近似条件直接计算临界比容。此外,通过对弹性阶段与弹塑性阶段材料的孔隙度随压力的变化规律采取线性近似,并考虑了多孔材料中基体材料受力与宏观应力之间的关系,修正了Carroll建立的孔隙坍塌关系方程。基于本文中发展的考虑孔隙坍塌行为的冲击压缩特性计算模型,对材料的Hugoniot数据进行了计算,讨论了孔隙坍塌行为对多孔材料冲击压缩特性的影响。结果表明在较低压力时材料的冲击物态特性受孔隙坍塌行为影响明显,模型能够更加精确地预测多孔材料的冲击波参量。
当前状态:
, 最新更新时间: ,
doi: 10.11883/bzycj-2024-0493
摘要:
泄爆是防控可燃气体爆炸危害的有效途径之一,但泄放过程中有可能发生外部泄放气云的二次爆炸,如何实现可燃气体爆炸的有效泄爆,降低爆炸带来的危害,成为当前研究的一个重点方向。为此,从可燃气体爆炸特性、可燃气体泄爆特性以及泄爆外流场二次爆炸等三方面对目前国内外可燃气体泄爆特性研究现状进行了总结分析,发现多元混合可燃气体的爆炸危险性难以准确预测评估、内外流场耦合泄爆机理研究尚不深入、泄爆效果表征方法以及二次爆炸临界条件不明等问题。基于上述问题,从探索可燃气体爆炸风险与致灾机理、深化可燃气体泄爆超压及火焰演化特性研究、揭示泄爆外流场二次爆炸形成机制等方面进行了展望,这为今后研究可燃气体泄爆问题提供了重要参考。
泄爆是防控可燃气体爆炸危害的有效途径之一,但泄放过程中有可能发生外部泄放气云的二次爆炸,如何实现可燃气体爆炸的有效泄爆,降低爆炸带来的危害,成为当前研究的一个重点方向。为此,从可燃气体爆炸特性、可燃气体泄爆特性以及泄爆外流场二次爆炸等三方面对目前国内外可燃气体泄爆特性研究现状进行了总结分析,发现多元混合可燃气体的爆炸危险性难以准确预测评估、内外流场耦合泄爆机理研究尚不深入、泄爆效果表征方法以及二次爆炸临界条件不明等问题。基于上述问题,从探索可燃气体爆炸风险与致灾机理、深化可燃气体泄爆超压及火焰演化特性研究、揭示泄爆外流场二次爆炸形成机制等方面进行了展望,这为今后研究可燃气体泄爆问题提供了重要参考。
当前状态:
, 最新更新时间: ,
doi: 10.11883/bzycj-2025-0106
摘要:
为了揭示高熵合金(high-entropy alloy, HEA)在冲击载荷下的相结构演变、位错分布、能量吸收及冲击累积效应的变化规律,通过分子动力学模拟,系统探讨了Al0.3CoCrFeNi 高熵合金板在受单次及二次冲击载荷下的动态响应行为。结果显示,首次冲击下,Al0.3CoCrFeNi高熵合金板的塑性区域相结构演变和能量吸收方式具有显著的冲击速度依赖性。随着冲击速度的提高,面心立方相结构的比例呈现三阶段下降趋势,而无序化结构则相应增加。在低速(0.5~1.0 km/s)冲击下,能量主要通过位错网络进行吸收;在中速(1.0~2.0 km/s)冲击下,位错与无序化原子共同吸收能量;在高速(2.0~3.0 km/s)冲击下,无序化原子主导吸收能量。位错线长度在刚性球0.5~0.8 km/s的冲击速度范围内,随冲击速度呈线性增加,而在更高的速度冲击下,因HEA板厚度限制,位错线长度呈下降趋势。应力分析表明,冲击速度提高时,最大应力与塑性区域边界应力随着冲击速度的提高表现出非线性变化的二次关系。二次冲击下,几何特征方面,Al0.3CoCrFeNi 高熵合金板在冲击后形成类梯形的破坏区域,其上坑半径随冲击速度的变化呈现二次变化关系,二次冲击的最小影响区域也与冲击速度呈现二次关系;抗冲击性能方面,随着刚性球首次冲击速度的提高,其二次冲击后的剩余速度也随之上升,HEA板材料抵抗冲击性能降低。在距冲击中心10 nm处,HEA板的弹道极限随着首次冲击速度增加而非线性减小,然而,二次冲击速度的提高会使首次冲击的影响减弱。
为了揭示高熵合金(high-entropy alloy, HEA)在冲击载荷下的相结构演变、位错分布、能量吸收及冲击累积效应的变化规律,通过分子动力学模拟,系统探讨了Al0.3CoCrFeNi 高熵合金板在受单次及二次冲击载荷下的动态响应行为。结果显示,首次冲击下,Al0.3CoCrFeNi高熵合金板的塑性区域相结构演变和能量吸收方式具有显著的冲击速度依赖性。随着冲击速度的提高,面心立方相结构的比例呈现三阶段下降趋势,而无序化结构则相应增加。在低速(0.5~1.0 km/s)冲击下,能量主要通过位错网络进行吸收;在中速(1.0~2.0 km/s)冲击下,位错与无序化原子共同吸收能量;在高速(2.0~3.0 km/s)冲击下,无序化原子主导吸收能量。位错线长度在刚性球0.5~0.8 km/s的冲击速度范围内,随冲击速度呈线性增加,而在更高的速度冲击下,因HEA板厚度限制,位错线长度呈下降趋势。应力分析表明,冲击速度提高时,最大应力与塑性区域边界应力随着冲击速度的提高表现出非线性变化的二次关系。二次冲击下,几何特征方面,Al0.3CoCrFeNi 高熵合金板在冲击后形成类梯形的破坏区域,其上坑半径随冲击速度的变化呈现二次变化关系,二次冲击的最小影响区域也与冲击速度呈现二次关系;抗冲击性能方面,随着刚性球首次冲击速度的提高,其二次冲击后的剩余速度也随之上升,HEA板材料抵抗冲击性能降低。在距冲击中心10 nm处,HEA板的弹道极限随着首次冲击速度增加而非线性减小,然而,二次冲击速度的提高会使首次冲击的影响减弱。
当前状态:
, 最新更新时间: ,
doi: 10.11883/bzycj-2024-0282
摘要:
天然气掺氢技术已被逐渐运用于管道运输,但掺氢天然气易发生泄漏爆炸事故。文中采用20 L球形装置研究了掺氢比和添加CO2对掺氢天然气爆炸压力和火焰传播特性的影响。结果表明:掺氢比对掺氢天然气爆炸压力和火焰传播速度有促进作用。随着掺氢比增加,最大爆炸压力逐渐上升,快速燃爆时间和持续燃烧时间减小,最大爆炸压力上升速率和火焰传播速度在掺氢比小于0.5时逐渐上升,当掺氢比大于0.5时,最大爆炸压力上升速率和火焰传播速度快速上升。加入CO2对混合气体爆炸压力和火焰传播速度有抑制作用,但对高掺氢比的压力参数抑制效果较差。通过反应动力学分析可知,随着掺氢比增大,火焰层流燃烧速度和绝热火焰温度逐渐上升,活性自由基摩尔分数和产物生成速率明显上升,并且掺混氢气改变了甲烷的反应路径,当掺氢比大于0.5,反应R84、R46和R3进入了前十步反应中,产生了H和OH自由基,促进了反应。而CO2能降低混合气体的层流燃烧速率、绝热火焰温度、活性自由基摩尔分数以及产物生成速率,但添加CO2不改变甲烷的反应路径。
天然气掺氢技术已被逐渐运用于管道运输,但掺氢天然气易发生泄漏爆炸事故。文中采用20 L球形装置研究了掺氢比和添加CO2对掺氢天然气爆炸压力和火焰传播特性的影响。结果表明:掺氢比对掺氢天然气爆炸压力和火焰传播速度有促进作用。随着掺氢比增加,最大爆炸压力逐渐上升,快速燃爆时间和持续燃烧时间减小,最大爆炸压力上升速率和火焰传播速度在掺氢比小于0.5时逐渐上升,当掺氢比大于0.5时,最大爆炸压力上升速率和火焰传播速度快速上升。加入CO2对混合气体爆炸压力和火焰传播速度有抑制作用,但对高掺氢比的压力参数抑制效果较差。通过反应动力学分析可知,随着掺氢比增大,火焰层流燃烧速度和绝热火焰温度逐渐上升,活性自由基摩尔分数和产物生成速率明显上升,并且掺混氢气改变了甲烷的反应路径,当掺氢比大于0.5,反应R84、R46和R3进入了前十步反应中,产生了H和OH自由基,促进了反应。而CO2能降低混合气体的层流燃烧速率、绝热火焰温度、活性自由基摩尔分数以及产物生成速率,但添加CO2不改变甲烷的反应路径。
当前状态:
, 最新更新时间: ,
doi: 10.11883/bzycj-2024-0434
摘要:
抑爆剂在防止粉尘爆炸事故中起着至关重要的作用。通过原位合成方法制备了一种新型的NiP@Fe-SBA-15抑爆剂,采用哈特曼管道爆炸测试系统,对爆燃火焰的传播行为进行实验研究,测定NiP@Fe-SBA-15抑爆剂对聚丙烯(PP)爆炸火焰的抑制作用,以及添加不同比例的NiP@Fe-SBA-15抑爆剂对PP爆炸火焰的抑制效果。实验结果表明:NiP@Fe-SBA-15抑爆剂能够显著降低PP粉尘爆燃火焰的温度和燃烧速度,当添加质量分数为70%的NiP@Fe-SBA-15时,基本实现了对PP爆燃火焰的高效抑制。此外,结合爆炸产物的实验分析结果,提出了NiP@Fe-SBA-15对PP粉尘爆燃的物理和化学抑制机制。
抑爆剂在防止粉尘爆炸事故中起着至关重要的作用。通过原位合成方法制备了一种新型的NiP@Fe-SBA-15抑爆剂,采用哈特曼管道爆炸测试系统,对爆燃火焰的传播行为进行实验研究,测定NiP@Fe-SBA-15抑爆剂对聚丙烯(PP)爆炸火焰的抑制作用,以及添加不同比例的NiP@Fe-SBA-15抑爆剂对PP爆炸火焰的抑制效果。实验结果表明:NiP@Fe-SBA-15抑爆剂能够显著降低PP粉尘爆燃火焰的温度和燃烧速度,当添加质量分数为70%的NiP@Fe-SBA-15时,基本实现了对PP爆燃火焰的高效抑制。此外,结合爆炸产物的实验分析结果,提出了NiP@Fe-SBA-15对PP粉尘爆燃的物理和化学抑制机制。
2025, 45(10).

摘要:
2025, 45(10): 1-2.
摘要:
2025, 45(10): 101001.
doi: 10.11883/bzycj-2024-0463
摘要:
针对层状岩体隧道采用钻爆法施工过程中爆炸能量分布不平衡易引起严重的超欠挖问题,以节理倾角和孔间延时及孔间距为主要影响参数,采用分层浇筑的方法制备了不同节理角度的模拟岩体试样,开展了层状岩体爆破试验,基于ABAQUS模拟软件,分析了层状岩体在不同节理倾角下爆破裂纹扩展及应力波传播特性。结果表明:节理倾角对应力波传播具有显著的导向作用,通过影响应力分布导致不同位置的峰值应变及损伤程度存在差异,进而促使裂纹在节理面处或炮孔周围扩展。孔间延时对裂纹扩展路径具有关键调控作用,随着延时增长,先爆孔与后爆孔的应力波叠加区域由节理中心逐渐向后爆孔周围转移,导致节理中心峰值应变与损伤值先增后减,岩体破坏区域相应地向后爆孔偏移;但延时过长会削弱双孔应力波的协同效应。孔间距增大将减弱节理中心的应力叠加,使能量集中于炮孔周边,裂纹扩展模式从节理贯通转向孔周放射状分布;而过大的孔间距则因能量衰减与应力叠加不足,易导致孔间裂纹贯通失效,显著降低岩体破碎效率。
针对层状岩体隧道采用钻爆法施工过程中爆炸能量分布不平衡易引起严重的超欠挖问题,以节理倾角和孔间延时及孔间距为主要影响参数,采用分层浇筑的方法制备了不同节理角度的模拟岩体试样,开展了层状岩体爆破试验,基于ABAQUS模拟软件,分析了层状岩体在不同节理倾角下爆破裂纹扩展及应力波传播特性。结果表明:节理倾角对应力波传播具有显著的导向作用,通过影响应力分布导致不同位置的峰值应变及损伤程度存在差异,进而促使裂纹在节理面处或炮孔周围扩展。孔间延时对裂纹扩展路径具有关键调控作用,随着延时增长,先爆孔与后爆孔的应力波叠加区域由节理中心逐渐向后爆孔周围转移,导致节理中心峰值应变与损伤值先增后减,岩体破坏区域相应地向后爆孔偏移;但延时过长会削弱双孔应力波的协同效应。孔间距增大将减弱节理中心的应力叠加,使能量集中于炮孔周边,裂纹扩展模式从节理贯通转向孔周放射状分布;而过大的孔间距则因能量衰减与应力叠加不足,易导致孔间裂纹贯通失效,显著降低岩体破碎效率。
2025, 45(10): 101101.
doi: 10.11883/bzycj-2024-0393
摘要:
创伤性脑损伤(traumatic brain injury, TBI)是发病率、患病率最高的神经系统疾病,为全社会带来了巨大的公共卫生负担。深入研究TBI的生物力学原理有助于提升头部防护效果,发展快速评估技术并采取及时干预,从而降低伤情恶化的风险。人类头部有限元模型(finite element head model, FEHM)作为一种数值分析工具,能够模拟头部在受到冲击时的动态响应,包括脑组织的应力应变时空分布、颅内压的变化等,为理解创伤性脑损伤的力学机制提供了重要依据。本文详细总结了国内外主流的人类头部有限元模型的现状与发展,追溯了模型的发展历程,总结了模型的特点并介绍了基于有限元模型的TBI机制研究进展。对相关研究的总结和梳理将有助于开发新型FEHM,并为创伤性脑损伤的风险评估及防护装备的设计提供理论指导和技术支撑。
创伤性脑损伤(traumatic brain injury, TBI)是发病率、患病率最高的神经系统疾病,为全社会带来了巨大的公共卫生负担。深入研究TBI的生物力学原理有助于提升头部防护效果,发展快速评估技术并采取及时干预,从而降低伤情恶化的风险。人类头部有限元模型(finite element head model, FEHM)作为一种数值分析工具,能够模拟头部在受到冲击时的动态响应,包括脑组织的应力应变时空分布、颅内压的变化等,为理解创伤性脑损伤的力学机制提供了重要依据。本文详细总结了国内外主流的人类头部有限元模型的现状与发展,追溯了模型的发展历程,总结了模型的特点并介绍了基于有限元模型的TBI机制研究进展。对相关研究的总结和梳理将有助于开发新型FEHM,并为创伤性脑损伤的风险评估及防护装备的设计提供理论指导和技术支撑。
2025, 45(10): 102101.
doi: 10.11883/bzycj-2024-0366
摘要:
为了有效预测和控制封闭空间内油气爆炸的后果,减少事故导致的人员伤亡和财产损失,对油气爆炸的超压特性与爆炸发生空间尺度的关系进行了研究。在控制初始油气体积分数、点火位置和点火能量不变的情况下,开展了不同长径比和体积的密闭方形管道条件下油气的爆炸超压特性实验。实验结果显示,在爆炸过程中,超压上升的速率经历急剧增长期、持续振荡期和衰减终止期3个阶段;管口面积的减小和内表面积的增加会导致最大超压、平均超压上升速率、最大超压上升速率和爆炸威力下降。进一步分析实验结果发现,管口面积变化会直接影响火焰前锋面积和反应速率,对最大超压的影响更为直接和显著,而内表面积变化对最大超压的影响相对间接,是通过调节能量传递和热损失发挥作用。此外,管道长度是影响到达最大超压时间的关键因素,延长管道不仅增加了热损失,还使反射波与入射波的叠加时间点延后,并且反射波的能量会相对较多地衰减。
为了有效预测和控制封闭空间内油气爆炸的后果,减少事故导致的人员伤亡和财产损失,对油气爆炸的超压特性与爆炸发生空间尺度的关系进行了研究。在控制初始油气体积分数、点火位置和点火能量不变的情况下,开展了不同长径比和体积的密闭方形管道条件下油气的爆炸超压特性实验。实验结果显示,在爆炸过程中,超压上升的速率经历急剧增长期、持续振荡期和衰减终止期3个阶段;管口面积的减小和内表面积的增加会导致最大超压、平均超压上升速率、最大超压上升速率和爆炸威力下降。进一步分析实验结果发现,管口面积变化会直接影响火焰前锋面积和反应速率,对最大超压的影响更为直接和显著,而内表面积变化对最大超压的影响相对间接,是通过调节能量传递和热损失发挥作用。此外,管道长度是影响到达最大超压时间的关键因素,延长管道不仅增加了热损失,还使反射波与入射波的叠加时间点延后,并且反射波的能量会相对较多地衰减。
2025, 45(10): 102102.
doi: 10.11883/bzycj-2024-0442
摘要:
为研究爆轰产物后燃烧效应对封闭空间毁伤特性的影响,提出了一种基于能量守恒原理的后燃烧能量简化计算方法,开展了内爆毁伤效应模拟。以无后燃烧效应工况为基准,分别采用恒定速率和线性增加速率加载2种能量模式,分析了速度、超压等关键载荷参数的差异。研究发现:后燃烧效应显著增强内爆毁伤特性,且能量加载速率模式对毁伤效应产生差异化影响。在恒定速率加载模式下,速度增幅达42.67%,加速度显著提升,增幅达71.21%;冲击波超压峰值增大74.42%,准静态压力增幅达74.95%,动能呈现212%的跨越式增长。相较于线性增加速率加载方式,恒定速率加载模式对内爆特性参数的增强效应更显著,所提出的后燃烧能量计算方法可有效模拟密闭空间内爆毁伤的动态响应特性,可为抗爆结构设计及评估提供更精确的后燃烧效应模拟方法。
为研究爆轰产物后燃烧效应对封闭空间毁伤特性的影响,提出了一种基于能量守恒原理的后燃烧能量简化计算方法,开展了内爆毁伤效应模拟。以无后燃烧效应工况为基准,分别采用恒定速率和线性增加速率加载2种能量模式,分析了速度、超压等关键载荷参数的差异。研究发现:后燃烧效应显著增强内爆毁伤特性,且能量加载速率模式对毁伤效应产生差异化影响。在恒定速率加载模式下,速度增幅达42.67%,加速度显著提升,增幅达71.21%;冲击波超压峰值增大74.42%,准静态压力增幅达74.95%,动能呈现212%的跨越式增长。相较于线性增加速率加载方式,恒定速率加载模式对内爆特性参数的增强效应更显著,所提出的后燃烧能量计算方法可有效模拟密闭空间内爆毁伤的动态响应特性,可为抗爆结构设计及评估提供更精确的后燃烧效应模拟方法。
2025, 45(10): 102201.
doi: 10.11883/bzycj-2024-0431
摘要:
为研究轻型木框架墙的抗爆性能,讨论了爆炸荷载作用下轻型木框架墙的数值建模方法,重点探讨了木立柱-面板钉连接动力放大系数以及木立柱破坏准则;基于部分组合理论,通过引入木立柱和轻型木框架墙的动力放大系数实测结果,给出了钉连接动力放大系数的合理取值;构建了考虑木基结构板正交各向异性、钉连接动力非线性力学行为以及木立柱动力弹塑性特征的轻型木框架墙抗爆分析有限元模型。结果表明,提出的模型能够准确预测爆炸荷载作用下轻型木框架墙的动力响应以及木立柱发生断裂的时间和对应的峰值位移。考虑了不同木立柱的材性差异后,模型预测的木立柱断裂后木框架墙动力响应和破坏模式与试验结果一致。本研究提出的模型可为今后轻型木框架结构的抗爆易损性评估提供模型基础。
为研究轻型木框架墙的抗爆性能,讨论了爆炸荷载作用下轻型木框架墙的数值建模方法,重点探讨了木立柱-面板钉连接动力放大系数以及木立柱破坏准则;基于部分组合理论,通过引入木立柱和轻型木框架墙的动力放大系数实测结果,给出了钉连接动力放大系数的合理取值;构建了考虑木基结构板正交各向异性、钉连接动力非线性力学行为以及木立柱动力弹塑性特征的轻型木框架墙抗爆分析有限元模型。结果表明,提出的模型能够准确预测爆炸荷载作用下轻型木框架墙的动力响应以及木立柱发生断裂的时间和对应的峰值位移。考虑了不同木立柱的材性差异后,模型预测的木立柱断裂后木框架墙动力响应和破坏模式与试验结果一致。本研究提出的模型可为今后轻型木框架结构的抗爆易损性评估提供模型基础。
2025, 45(10): 102202.
doi: 10.11883/bzycj-2024-0283
摘要:
双钢板-混凝土组合墙(steel-concrete-steel composite wall,SCS墙)已在超高层建筑、核电站等重要工程中得到应用,火灾与爆炸通常同时发生,而高温会显著降低钢材和混凝土的力学性能,从而导致结构构件的抗爆性能严重退化。为此,采用ABAQUS有限元软件,建立了120个火灾-爆炸耦合作用下SCS墙分析模型。首先,基于已有的火灾下耐火极限试验和常温下爆炸试验对有限元模型进行了验证;其次,分析了火灾-爆炸耦合作用下SCS墙的工作机理,重点研究了受火时间、爆炸当量、含钢率、材料强度、钢筋连接间距与轴压比对抗爆性能的影响;最后,基于等效单自由度模型提出了火灾-爆炸耦合作用下SCS墙跨中最大挠度的预测公式。结果表明:SCS墙在火灾与爆炸耦合作用下主要表现为整体受弯破坏;随着受火时间的增长,受火面钢板耗能占比降低,背火面钢板的塑性变形逐渐成为墙体的主要耗能机制;受火时间、爆炸当量和钢材强度对火灾下SCS墙的抗爆性能影响明显,而混凝土强度影响较小;基于等效单自由度模型提出的计算公式可较好预测火灾与爆炸耦合作用下SCS墙的跨中最大挠度。
双钢板-混凝土组合墙(steel-concrete-steel composite wall,SCS墙)已在超高层建筑、核电站等重要工程中得到应用,火灾与爆炸通常同时发生,而高温会显著降低钢材和混凝土的力学性能,从而导致结构构件的抗爆性能严重退化。为此,采用ABAQUS有限元软件,建立了120个火灾-爆炸耦合作用下SCS墙分析模型。首先,基于已有的火灾下耐火极限试验和常温下爆炸试验对有限元模型进行了验证;其次,分析了火灾-爆炸耦合作用下SCS墙的工作机理,重点研究了受火时间、爆炸当量、含钢率、材料强度、钢筋连接间距与轴压比对抗爆性能的影响;最后,基于等效单自由度模型提出了火灾-爆炸耦合作用下SCS墙跨中最大挠度的预测公式。结果表明:SCS墙在火灾与爆炸耦合作用下主要表现为整体受弯破坏;随着受火时间的增长,受火面钢板耗能占比降低,背火面钢板的塑性变形逐渐成为墙体的主要耗能机制;受火时间、爆炸当量和钢材强度对火灾下SCS墙的抗爆性能影响明显,而混凝土强度影响较小;基于等效单自由度模型提出的计算公式可较好预测火灾与爆炸耦合作用下SCS墙的跨中最大挠度。
2025, 45(10): 102203.
doi: 10.11883/bzycj-2024-0298
摘要:
在军事行动、工业事故等爆炸事件中,爆炸冲击波引起的头部损伤已成为主要致伤形式之一,而爆炸载荷下头部的损伤机理及损伤阈值仍不明确,鉴于此,采用数值模拟研究了爆炸载荷下头部的动态响应过程,分析了TNT药量以及空气和水2种介质对颅脑的变形、压力和加速度的影响。首先,基于欧拉-拉格朗日耦合的方法建立了空气-头部流固耦合模型。在验证其有效性的基础上,从前额颅骨与脑组织的压力、加速度和频率等方面对头部动态响应过程进行了分析。研究发现,爆炸冲击波正面作用于头部时,前额颅骨的超压峰值达到613 kPa,脑组织的超压峰值达到508 kPa,并且颅骨会发生高频振动,振动频率可达7 kHz。前额颅骨和脑组织受到的冲击加速度呈现先升高后降低的变化趋势,同时颅内压呈周期性变化。在水下环境中,额叶、顶叶和颞叶脑组织压力出现高频的周期性超压波动,前额颅骨产生的超压峰值达到3.64 MPa,远高于重度脑损伤的阈值235 kPa。在水中,脑组织受到的压力峰值是空气中的5倍,加速度比空气中约提高了5倍,频率则提高了2倍。
在军事行动、工业事故等爆炸事件中,爆炸冲击波引起的头部损伤已成为主要致伤形式之一,而爆炸载荷下头部的损伤机理及损伤阈值仍不明确,鉴于此,采用数值模拟研究了爆炸载荷下头部的动态响应过程,分析了TNT药量以及空气和水2种介质对颅脑的变形、压力和加速度的影响。首先,基于欧拉-拉格朗日耦合的方法建立了空气-头部流固耦合模型。在验证其有效性的基础上,从前额颅骨与脑组织的压力、加速度和频率等方面对头部动态响应过程进行了分析。研究发现,爆炸冲击波正面作用于头部时,前额颅骨的超压峰值达到613 kPa,脑组织的超压峰值达到508 kPa,并且颅骨会发生高频振动,振动频率可达7 kHz。前额颅骨和脑组织受到的冲击加速度呈现先升高后降低的变化趋势,同时颅内压呈周期性变化。在水下环境中,额叶、顶叶和颞叶脑组织压力出现高频的周期性超压波动,前额颅骨产生的超压峰值达到3.64 MPa,远高于重度脑损伤的阈值235 kPa。在水中,脑组织受到的压力峰值是空气中的5倍,加速度比空气中约提高了5倍,频率则提高了2倍。
2025, 45(10): 102204.
doi: 10.11883/bzycj-2024-0514
摘要:
为了评估爆炸冲击作用下人员颅脑损伤情况,亟待建立一套科学、合理的综合评价方法。利用具有中国人体尺寸特征的高仿真物理假人模型及传感系统开展3种不同冲击波强度的激波管实验,系统获得了高仿真物理假人模型头部表面超压、头部质心加速度和角速度以及颈部力和扭矩随时间的变化过程。依据爆炸冲击人体颅脑短时和长时致伤效应,基于3 ms准则、头部损伤准则(head injury criterion, HIC)、颅脑损伤标准(brain injury criteria, BrIC)和颈部损伤指标进行损伤判定并对人体损伤程度进行了综合研判。结果显示,在3种不同强冲击环境下,冲击波超压作用时间小于5 ms,加速度和颈部力持续5~6 ms,角速度和颈部扭矩持续50~244 ms;高仿真物理假人模型头部质心合成加速度峰值分别为(54.60±3.69)g、(102.00±1.72)g和(161.50±6.36)g,计算得到的HIC15显示未达到头部损伤阈值;根据头部表面压力载荷和BrIC综合判定,颅脑损伤概率显著增加,应采取有效防护措施降低损伤风险。
为了评估爆炸冲击作用下人员颅脑损伤情况,亟待建立一套科学、合理的综合评价方法。利用具有中国人体尺寸特征的高仿真物理假人模型及传感系统开展3种不同冲击波强度的激波管实验,系统获得了高仿真物理假人模型头部表面超压、头部质心加速度和角速度以及颈部力和扭矩随时间的变化过程。依据爆炸冲击人体颅脑短时和长时致伤效应,基于3 ms准则、头部损伤准则(head injury criterion, HIC)、颅脑损伤标准(brain injury criteria, BrIC)和颈部损伤指标进行损伤判定并对人体损伤程度进行了综合研判。结果显示,在3种不同强冲击环境下,冲击波超压作用时间小于5 ms,加速度和颈部力持续5~6 ms,角速度和颈部扭矩持续50~244 ms;高仿真物理假人模型头部质心合成加速度峰值分别为(54.60±3.69)g、(102.00±1.72)g和(161.50±6.36)g,计算得到的HIC15显示未达到头部损伤阈值;根据头部表面压力载荷和BrIC综合判定,颅脑损伤概率显著增加,应采取有效防护措施降低损伤风险。
2025, 45(10): 103101.
doi: 10.11883/bzycj-2024-0361
摘要:
为研究爆破作用下钙结砾岩的破坏规律,基于损伤断裂力学理论揭示了钙结砾岩爆破损伤断裂过程与机理,采用LS-DYNA软件和Fortran编程建立了包括填隙物、砾石和界面过渡区(interfacial transition zone,ITZ)的细观数值模型,分析了钙结砾岩爆炸应力波传播规律及损伤特征。钙结砾岩爆破损伤断裂过程可分为4个阶段,即砾石和填隙物均发生压缩破坏;砾石发生拉伸破坏,填隙物发生压缩破坏;砾石和填隙物均发生拉伸破坏;砾石和填隙物交接面发生拉伸破坏。数值模拟结果表明:砾石在爆破荷载作用下表征出更高的等效应力,填隙物等效应力最小,ITZ处出现明显的应力集中现象,随着距离的增大,砾石与填隙物承受的应力差距减小。砾石的损伤较小,存在损伤“绕石”现象,填隙物的损伤较大。钙结砾岩爆破裂纹的扩展形式以沿着应力波的传播方向优先选择物理力学性能较低的填隙物以及交接面进行发育为主,对于砾石的破坏较弱。爆破块度主要表现为填隙物包裹砾石,爆破块度分布受交接面的黏结力、砾石分布的影响。
为研究爆破作用下钙结砾岩的破坏规律,基于损伤断裂力学理论揭示了钙结砾岩爆破损伤断裂过程与机理,采用LS-DYNA软件和Fortran编程建立了包括填隙物、砾石和界面过渡区(interfacial transition zone,ITZ)的细观数值模型,分析了钙结砾岩爆炸应力波传播规律及损伤特征。钙结砾岩爆破损伤断裂过程可分为4个阶段,即砾石和填隙物均发生压缩破坏;砾石发生拉伸破坏,填隙物发生压缩破坏;砾石和填隙物均发生拉伸破坏;砾石和填隙物交接面发生拉伸破坏。数值模拟结果表明:砾石在爆破荷载作用下表征出更高的等效应力,填隙物等效应力最小,ITZ处出现明显的应力集中现象,随着距离的增大,砾石与填隙物承受的应力差距减小。砾石的损伤较小,存在损伤“绕石”现象,填隙物的损伤较大。钙结砾岩爆破裂纹的扩展形式以沿着应力波的传播方向优先选择物理力学性能较低的填隙物以及交接面进行发育为主,对于砾石的破坏较弱。爆破块度主要表现为填隙物包裹砾石,爆破块度分布受交接面的黏结力、砾石分布的影响。
2025, 45(10): 103201.
doi: 10.11883/bzycj-2024-0407
摘要:
为探索某大口径模块装药火炮内弹道过程中火药床堆积分布对膛内起始压力波三维空间特性的影响,建立了模块装药的三维气固两相燃烧动力学模型,对不同药盒端盖初始破口大小的工况开展了数值模拟,研究了膛内复杂气固两相反应流场特性,分析了不同工况下药床的空间分布对膛内起始压力波特性的影响。结果表明,药盒端盖初始破口角度由0°增大至120°,则药粒飞散、沉降后,近膛底侧与近弹底侧区域的药粒占比差距由12.2%降至0.6%,弹底与膛底间初始负压差的绝对值由1.62 MPa降至0.76 MPa;弹丸启动时间由2.82 ms延至2.94 ms,弹底压力达到峰值所需时间由4.04 ms增至4.20 ms,端盖初始破口尺寸的差异会对膛内三维流场特性产生影响。
为探索某大口径模块装药火炮内弹道过程中火药床堆积分布对膛内起始压力波三维空间特性的影响,建立了模块装药的三维气固两相燃烧动力学模型,对不同药盒端盖初始破口大小的工况开展了数值模拟,研究了膛内复杂气固两相反应流场特性,分析了不同工况下药床的空间分布对膛内起始压力波特性的影响。结果表明,药盒端盖初始破口角度由0°增大至120°,则药粒飞散、沉降后,近膛底侧与近弹底侧区域的药粒占比差距由12.2%降至0.6%,弹底与膛底间初始负压差的绝对值由1.62 MPa降至0.76 MPa;弹丸启动时间由2.82 ms延至2.94 ms,弹底压力达到峰值所需时间由4.04 ms增至4.20 ms,端盖初始破口尺寸的差异会对膛内三维流场特性产生影响。
2025, 45(10): 103202.
doi: 10.11883/bzycj-2024-0401
摘要:
为探究支撑条件改变对驾驶室内流场超压的具体影响,以某外贸型号装备为对象:建立了极限射击工况下、从炮口至驾驶室内部的冲击波传播数值模型;开展了涵盖驾驶室外、内流场超压与结构加速度等数据采集的系统性验证试验。基于经验证的数值模型,分别对8种不同支撑条件下的驾驶室内流场超压进行仿真计算。结果表明:虽然驾驶室内不同空间对支撑条件变化的响应敏感度不同,但随着支撑刚度由小到大变化,驾驶室结构的加速度、速度峰值均显著减小,内流场超压峰值减小;支撑阻尼的存在使得驾驶室结构的加速度响应明显增强,但有利于进一步减弱其速度响应、降低内流场的超压峰值。
为探究支撑条件改变对驾驶室内流场超压的具体影响,以某外贸型号装备为对象:建立了极限射击工况下、从炮口至驾驶室内部的冲击波传播数值模型;开展了涵盖驾驶室外、内流场超压与结构加速度等数据采集的系统性验证试验。基于经验证的数值模型,分别对8种不同支撑条件下的驾驶室内流场超压进行仿真计算。结果表明:虽然驾驶室内不同空间对支撑条件变化的响应敏感度不同,但随着支撑刚度由小到大变化,驾驶室结构的加速度、速度峰值均显著减小,内流场超压峰值减小;支撑阻尼的存在使得驾驶室结构的加速度响应明显增强,但有利于进一步减弱其速度响应、降低内流场的超压峰值。
2025, 45(10): 105101.
doi: 10.11883/bzycj-2024-0279
摘要:
为更好地将湿接缝+短钢筋装配式混凝土遮弹层应用于防护工程中,首先,基于已有弹体侵彻整体式和装配式靶体的试验,利用Kong-Fang混凝土材料模型和LS-DYNA中的光滑粒子伽辽金算法建立了相应的数值模型,并得到了验证;然后,基于验证的数值模型,系统探讨了装配块尺寸、湿接缝宽度、短钢筋锚固长度、短钢筋间距和短钢筋直径对装配式靶体抗侵彻性能的影响,给出了装配式混凝土遮弹层的工程设计方法;最后,采用该方法设计了抗2种典型战斗部侵彻的装配式高性能混凝土遮弹层。数值模拟结果表明:装配块尺寸对装配式靶体的抗侵彻性能影响较小,而增大湿接缝宽度能够有效提升装配式靶体的抗侵彻性能,即湿接缝宽度越大,装配率越低,靶体整体性就越好。短钢筋是加强装配块与湿接缝连接的有效措施,与增大短钢筋直径相比,增大短钢筋锚固长度和减小短钢筋间距能更显著地提升装配式靶体的抗侵彻性能。
为更好地将湿接缝+短钢筋装配式混凝土遮弹层应用于防护工程中,首先,基于已有弹体侵彻整体式和装配式靶体的试验,利用Kong-Fang混凝土材料模型和LS-DYNA中的光滑粒子伽辽金算法建立了相应的数值模型,并得到了验证;然后,基于验证的数值模型,系统探讨了装配块尺寸、湿接缝宽度、短钢筋锚固长度、短钢筋间距和短钢筋直径对装配式靶体抗侵彻性能的影响,给出了装配式混凝土遮弹层的工程设计方法;最后,采用该方法设计了抗2种典型战斗部侵彻的装配式高性能混凝土遮弹层。数值模拟结果表明:装配块尺寸对装配式靶体的抗侵彻性能影响较小,而增大湿接缝宽度能够有效提升装配式靶体的抗侵彻性能,即湿接缝宽度越大,装配率越低,靶体整体性就越好。短钢筋是加强装配块与湿接缝连接的有效措施,与增大短钢筋直径相比,增大短钢筋锚固长度和减小短钢筋间距能更显著地提升装配式靶体的抗侵彻性能。