2025 Vol. 45, No. 12
Display Method:
2025, 45(12): 121001.
doi: 10.11883/bzycj-2025-0024
Abstract:
To investigate the penetration resistance of metal honeycomb tube-confined concrete structures under hypervelocity impact, penetration experiments were conducted using a two-stage light gas gun with projectile velocities near1500 m/s. The material point method (MPM) was employed to simulate the penetration process and validate the parameters of target and projectile. This method was further used to analyze the effects of honeycomb tube parameters, including wall thickness, height, diameter, and material, on the penetration resistance of the target structure. Numerical simulations showed that MPM can accurately simulate high-velocity penetration processes, with simulation results deviating from experimental data by less than 10%. Through orthogonal analysis, the factors influencing penetration depth were ranked in descending order as follows: characteristic tube depth, characteristic inner diameter, characteristic wall thickness, and material. For the cratering effect, the primary influencing factors were identified as characteristic wall thickness, characteristic tube depth, material, and characteristic inner diameter. For the projectiles tested in this study, optimization results indicated that a combination of 4 mm wall thickness, 150 mm height, 30 mm incircle diameter, and tungsten alloy demonstrated the best penetration resistance, reducing penetration depth by 25.1% compared to plain concrete. A combination of 4 mm wall thickness, 150 mm height, 90 mm incircle diameter, and aluminum exhibited superior resistance to the cratering effect, decreasing crater radius by 28.7% compared to plain concrete. Multi-objective optimization analysis determined the optimal overall configuration to be: 4 mm wall thickness, 150 mm height, 30 mm mm incircle diameter, and aluminum.
To investigate the penetration resistance of metal honeycomb tube-confined concrete structures under hypervelocity impact, penetration experiments were conducted using a two-stage light gas gun with projectile velocities near
2025, 45(12): 121101.
doi: 10.11883/bzycj-2024-0153
Abstract:
Impact ejecting is a critical part of the impact process and plays a pivotal role in engineering applications and scientific analyses in deep space exploration. Its importance extends to space missions such as asteroid surface anchoring for mission stability, impact sampling for scientific analysis of extraterrestrial materials, kinetic impact deflection for planetary defense strategies, and the detailed analysis of ejecta deposition patterns on planetary surfaces to understand surface evolution and regolith dynamics. With small asteroids whose surfaces are commonly covered with regolith, granular targets are employed in laboratory settings to simulate the impact ejecting process. This paper presents a review of the research progress concerning the behavior of impact ejecting on granular targets. The formation process of impact ejecting and methods for describing ejecta curtains are evaluated. An analysis of the dimensional similarity laws governing impact ejecta, along with their applicability and limitations, is conducted. Additionally, the influence of factors, such as target material parameters, impact conditions, target surface morphology, and impactor shape and structure, on impact ejecting behavior is summarized. Finally, existing research challenges are objectively identified, and potential directions for further scientific research about the behavior of impact ejecta on granular targets are proposed.
Impact ejecting is a critical part of the impact process and plays a pivotal role in engineering applications and scientific analyses in deep space exploration. Its importance extends to space missions such as asteroid surface anchoring for mission stability, impact sampling for scientific analysis of extraterrestrial materials, kinetic impact deflection for planetary defense strategies, and the detailed analysis of ejecta deposition patterns on planetary surfaces to understand surface evolution and regolith dynamics. With small asteroids whose surfaces are commonly covered with regolith, granular targets are employed in laboratory settings to simulate the impact ejecting process. This paper presents a review of the research progress concerning the behavior of impact ejecting on granular targets. The formation process of impact ejecting and methods for describing ejecta curtains are evaluated. An analysis of the dimensional similarity laws governing impact ejecta, along with their applicability and limitations, is conducted. Additionally, the influence of factors, such as target material parameters, impact conditions, target surface morphology, and impactor shape and structure, on impact ejecting behavior is summarized. Finally, existing research challenges are objectively identified, and potential directions for further scientific research about the behavior of impact ejecta on granular targets are proposed.
2025, 45(12): 122201.
doi: 10.11883/bzycj-2024-0446
Abstract:
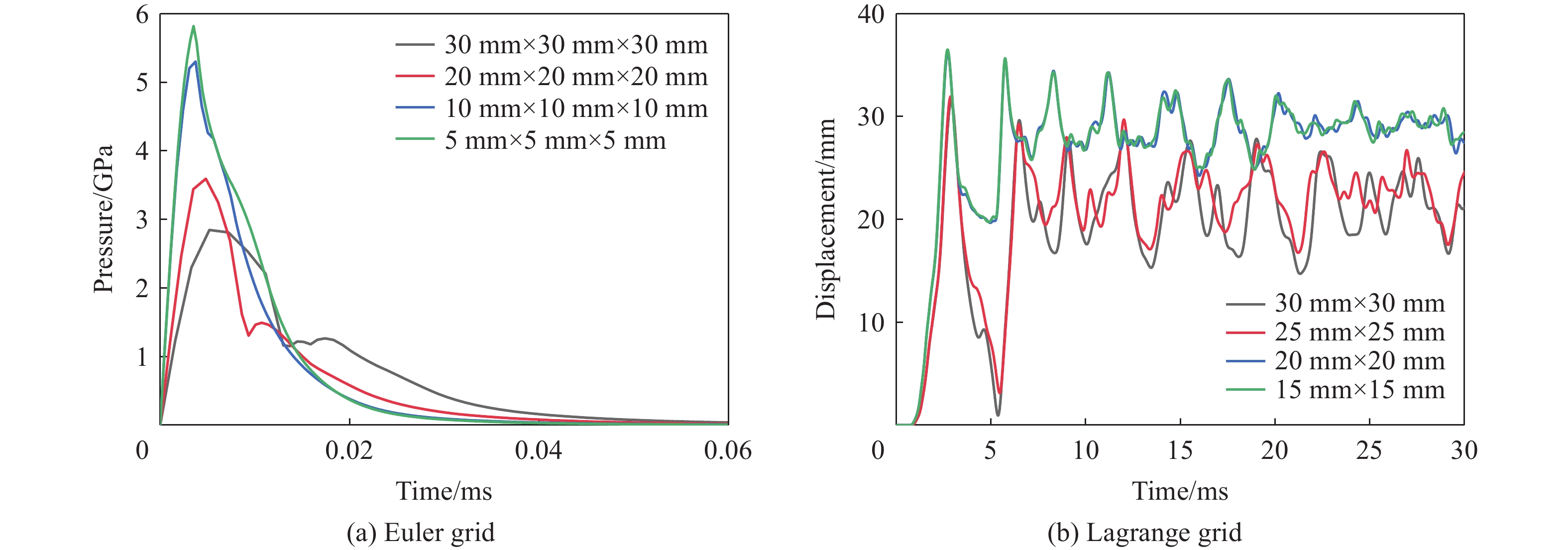
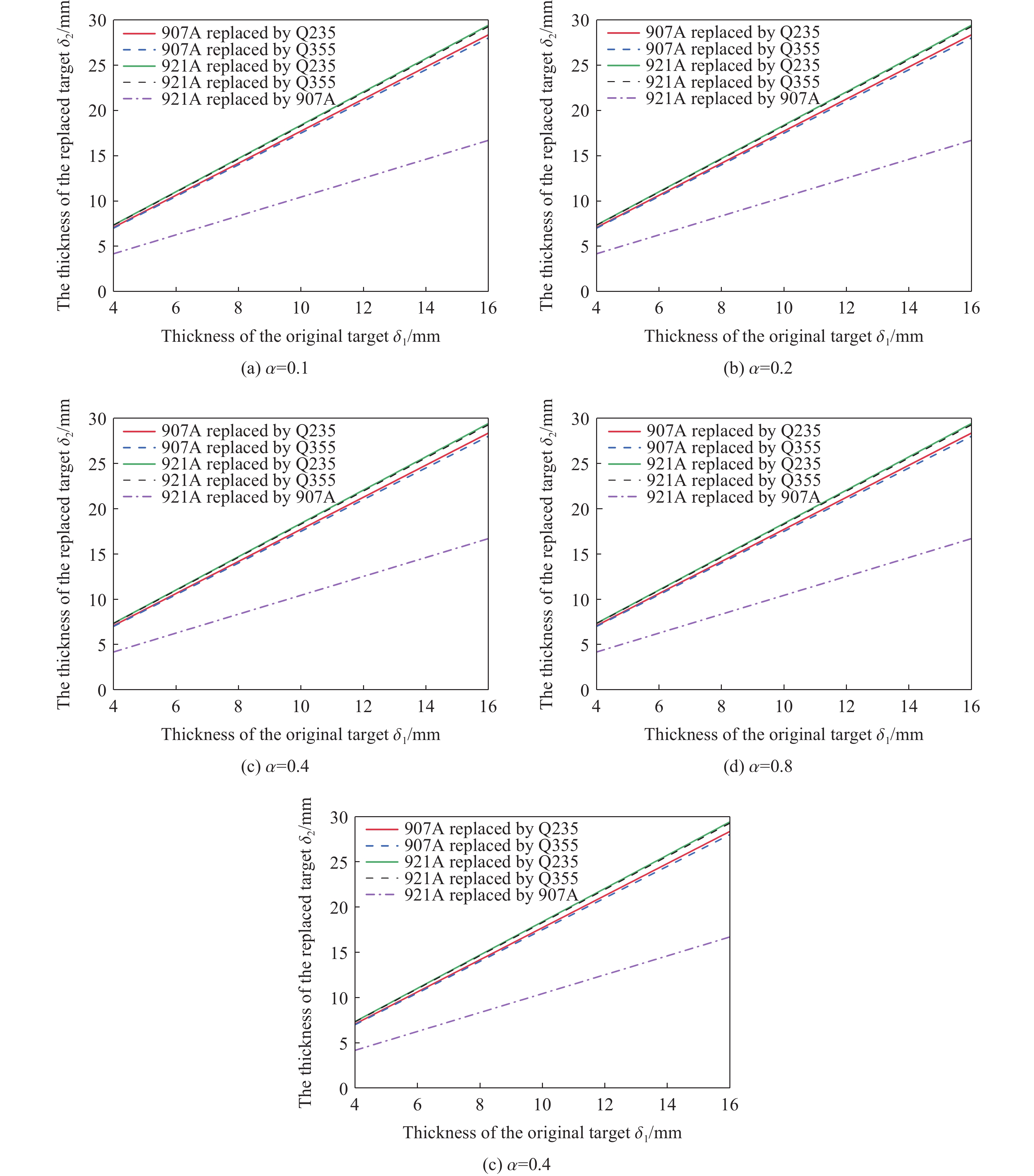
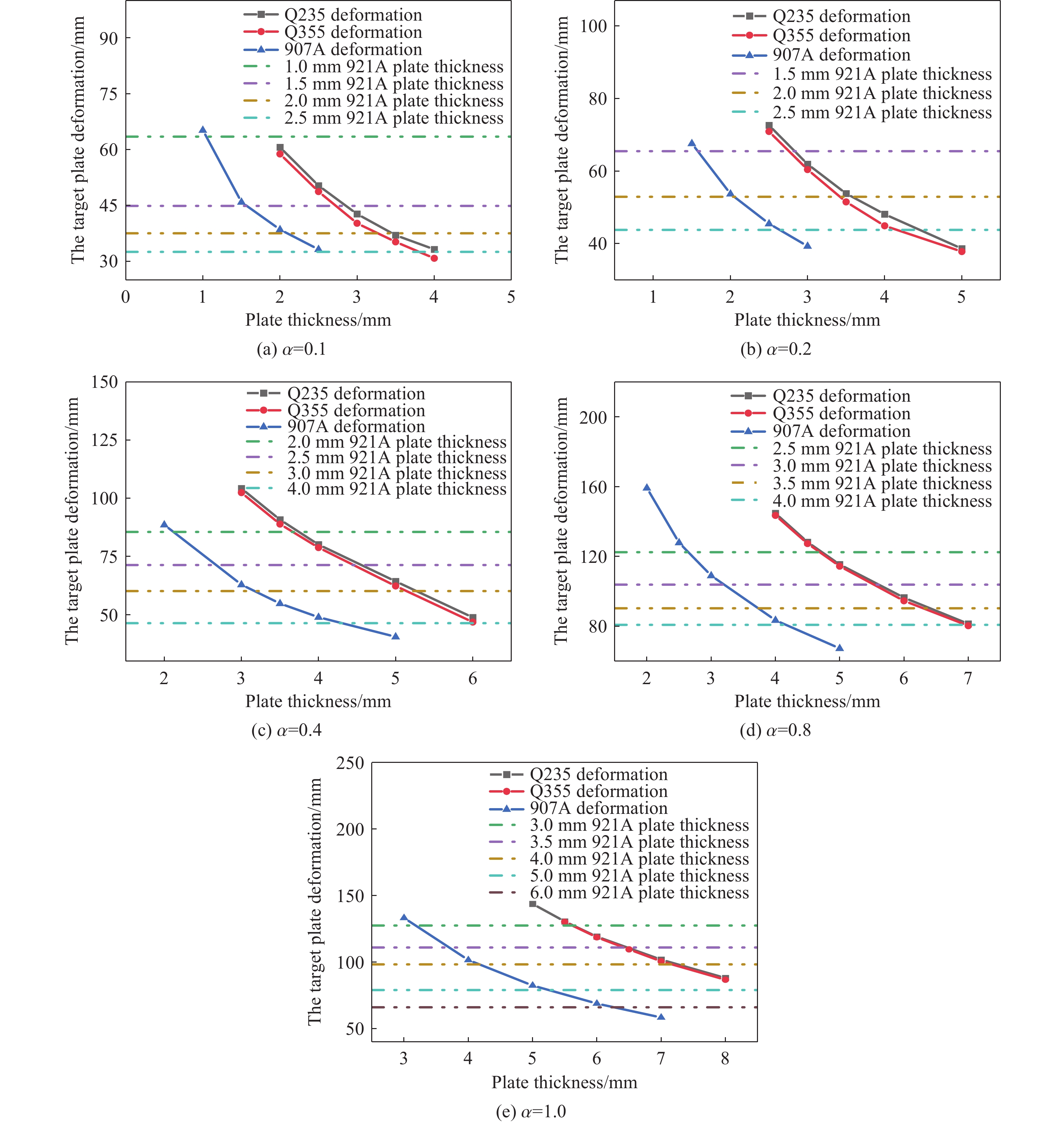
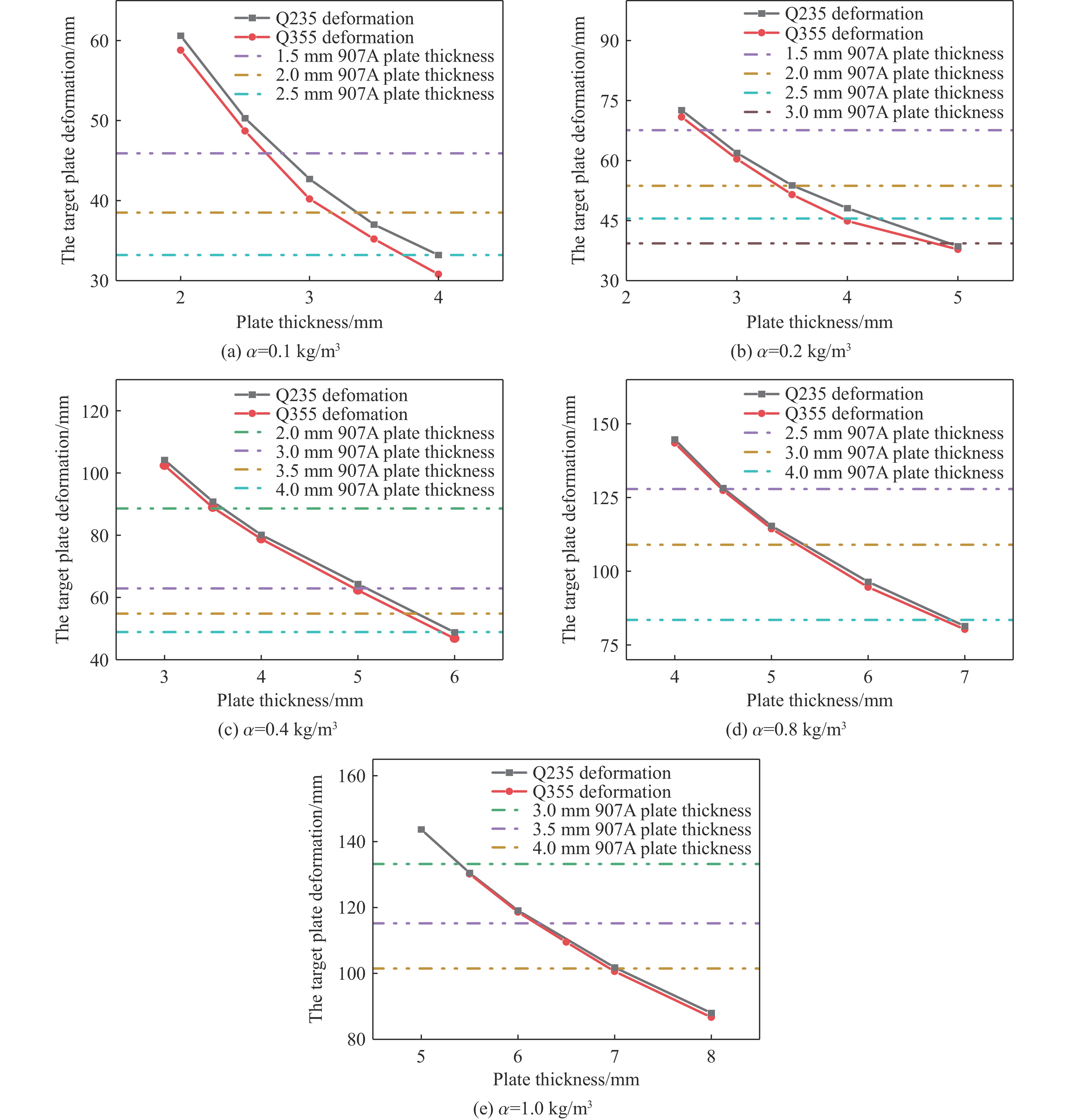
Experimental investigation of internal explosion effects on ship structures still faces fundamental challenges. The prohibitively high costs of specialized naval steel plates impose disproportionate financial burdens on experimental budgets. Additionally, the restricted availability of standardized thickness variants has dimensional scaling conflicts during reduced-scale internal explosion experiments. This research proposes an equivalent substitution method for scaled model testing. The methodology enables a strategic replacement of naval steel with conventional steel while maintaining response similitude during the internal explosion of ship structures. The primary research objective focuses on validating the equivalent substitution method for conventional steel as a replacement for specialized naval steel without degrading the accuracy of the recorded data. According to the principle of central deformation similarity, the equivalence relationship among target plates of different grades was established under the assumption of structural integrity during the explosion. Based on the theory of large deflection of thin plates, the relationship between plate thickness and deformation was clarified thoroughly. An equivalence substitution method for different plate grades was explained, and an equivalence substitution method for different plates was proposed. It provides a theoretical foundation for substituting specialized naval steel with conventional steel. Comprehensive numerical simulations were conducted using the finite element analysis software AUTODYN to validate the proposed method. The simulations modeled the dynamic response of four different grades of steel target plates (921A steel, 907A steel, Q235 steel, and Q355 steel) under internal blast loading. The maximum deviation between the simulation results and experimental data is only 5.6%, thereby fully confirming the accuracy and reliability of the numerical model. The equivalence relationships among grades under internal blast loading with different charge volume ratios (0.1, 0.2, 0.4, 0.8, and 1.0) were further explored through extensive numerical simulations involving four plates grades (Q235, Q355, 907A, and 921A) with various thicknesses. A fitting analysis of equivalent plate thickness was conducted. By integrating empirical formulas correlating equivalent plate thickness with dynamic yield strength, the substituted target plate showed less than 10% deviation in central deformation compared to the original plate. The proposed equivalence method for steel target plates of different grades under internal explosion loads has been demonstrated to be both rational and practically applicable. This provides a theoretical foundation and empirical reference for substituting specialized naval steel with ordinary steel in internal explosion experiments.
Experimental investigation of internal explosion effects on ship structures still faces fundamental challenges. The prohibitively high costs of specialized naval steel plates impose disproportionate financial burdens on experimental budgets. Additionally, the restricted availability of standardized thickness variants has dimensional scaling conflicts during reduced-scale internal explosion experiments. This research proposes an equivalent substitution method for scaled model testing. The methodology enables a strategic replacement of naval steel with conventional steel while maintaining response similitude during the internal explosion of ship structures. The primary research objective focuses on validating the equivalent substitution method for conventional steel as a replacement for specialized naval steel without degrading the accuracy of the recorded data. According to the principle of central deformation similarity, the equivalence relationship among target plates of different grades was established under the assumption of structural integrity during the explosion. Based on the theory of large deflection of thin plates, the relationship between plate thickness and deformation was clarified thoroughly. An equivalence substitution method for different plate grades was explained, and an equivalence substitution method for different plates was proposed. It provides a theoretical foundation for substituting specialized naval steel with conventional steel. Comprehensive numerical simulations were conducted using the finite element analysis software AUTODYN to validate the proposed method. The simulations modeled the dynamic response of four different grades of steel target plates (921A steel, 907A steel, Q235 steel, and Q355 steel) under internal blast loading. The maximum deviation between the simulation results and experimental data is only 5.6%, thereby fully confirming the accuracy and reliability of the numerical model. The equivalence relationships among grades under internal blast loading with different charge volume ratios (0.1, 0.2, 0.4, 0.8, and 1.0) were further explored through extensive numerical simulations involving four plates grades (Q235, Q355, 907A, and 921A) with various thicknesses. A fitting analysis of equivalent plate thickness was conducted. By integrating empirical formulas correlating equivalent plate thickness with dynamic yield strength, the substituted target plate showed less than 10% deviation in central deformation compared to the original plate. The proposed equivalence method for steel target plates of different grades under internal explosion loads has been demonstrated to be both rational and practically applicable. This provides a theoretical foundation and empirical reference for substituting specialized naval steel with ordinary steel in internal explosion experiments.
2025, 45(12): 122202.
doi: 10.11883/bzycj-2024-0486
Abstract:
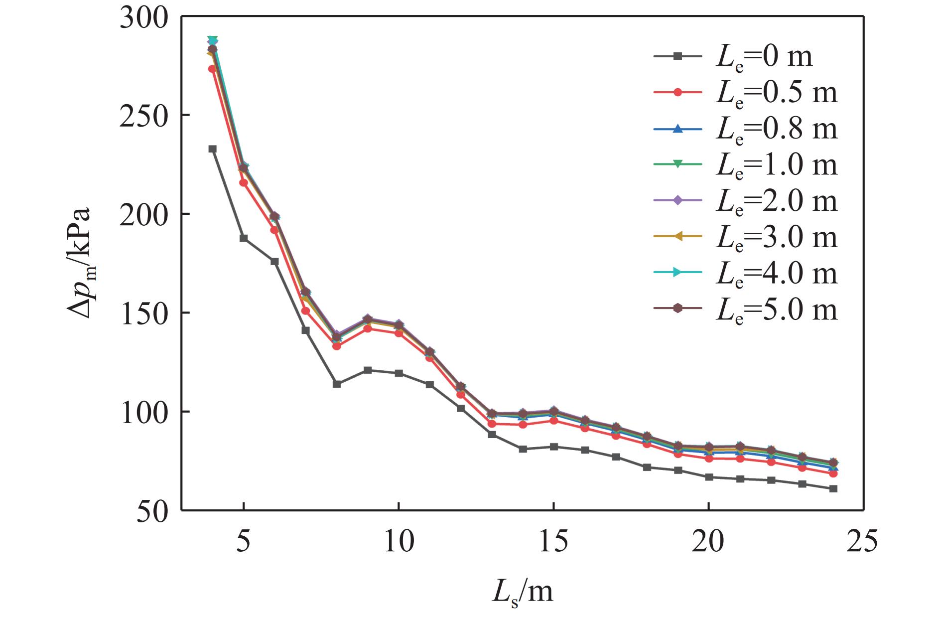
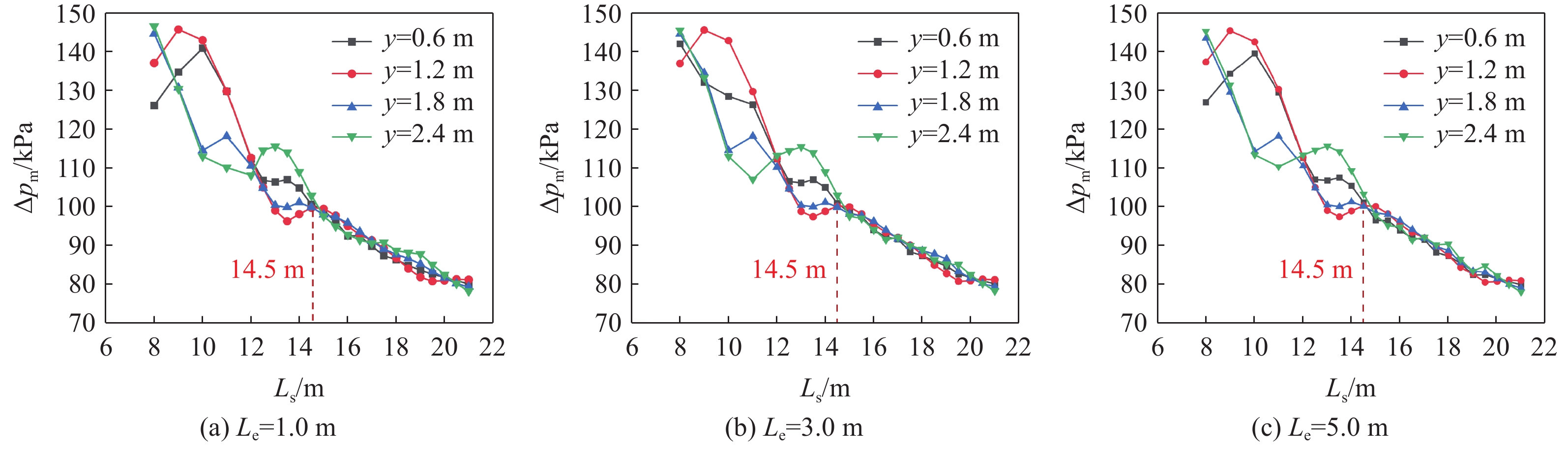
To investigate the propagation characteristics of blast shock waves and the thermal effects of fireballs in tunnel explosions involving thermobaric explosives, numerical simulations were conducted using OpenFOAM. The simulation accuracy was validated through comparative analysis with experimental data from tunnel explosion tests. The effects of axial distance along the tunnel and explosive mass on shock wave propagation characteristics and fireball thermal effects were systematically studied. The results demonstrate that under identical charge mass conditions when the axial distance exceeds 1/3 of the equivalent tunnel diameter, the attenuation of shock wave overpressure peak and planar wave formation distance remain independent of axial position. After planar wave formation, the impulse increases with axial distance before stabilizing. At the same axial explosion distances, the planar wave formation distance increases with explosive mass. Post planar wave formation, the attenuation pattern of the shock wave overpressure peak remains unaffected by charge mass. In contrast, the impulse exhibits a growth trend proportional to the increase in charge mass. Under the influence of the tunnel portal energy dissipation effect (tunnel effect), explosion-induced fireballs exhibit a consistent propagation tendency toward the proximal tunnel portal. The confinement imposed by tunnel walls restricts the lateral expansion of the fireball perpendicular to the tunnel axis while facilitating the formation of a high-temperature tip along the longitudinal axis. Especially, the temperature distribution along the tunnel axis maintains axial symmetry despite directional propagation biases. A fitting formula was established to characterize the relationship between the maximum axial propagation distance of explosion fireballs at different temperatures and the explosive mass, enabling the prediction of axial spread limits for fireballs at specific temperatures in typical thermobaric explosive detonations within tunnel-confined environments.
To investigate the propagation characteristics of blast shock waves and the thermal effects of fireballs in tunnel explosions involving thermobaric explosives, numerical simulations were conducted using OpenFOAM. The simulation accuracy was validated through comparative analysis with experimental data from tunnel explosion tests. The effects of axial distance along the tunnel and explosive mass on shock wave propagation characteristics and fireball thermal effects were systematically studied. The results demonstrate that under identical charge mass conditions when the axial distance exceeds 1/3 of the equivalent tunnel diameter, the attenuation of shock wave overpressure peak and planar wave formation distance remain independent of axial position. After planar wave formation, the impulse increases with axial distance before stabilizing. At the same axial explosion distances, the planar wave formation distance increases with explosive mass. Post planar wave formation, the attenuation pattern of the shock wave overpressure peak remains unaffected by charge mass. In contrast, the impulse exhibits a growth trend proportional to the increase in charge mass. Under the influence of the tunnel portal energy dissipation effect (tunnel effect), explosion-induced fireballs exhibit a consistent propagation tendency toward the proximal tunnel portal. The confinement imposed by tunnel walls restricts the lateral expansion of the fireball perpendicular to the tunnel axis while facilitating the formation of a high-temperature tip along the longitudinal axis. Especially, the temperature distribution along the tunnel axis maintains axial symmetry despite directional propagation biases. A fitting formula was established to characterize the relationship between the maximum axial propagation distance of explosion fireballs at different temperatures and the explosive mass, enabling the prediction of axial spread limits for fireballs at specific temperatures in typical thermobaric explosive detonations within tunnel-confined environments.
2025, 45(12): 123101.
doi: 10.11883/bzycj-2025-0047
Abstract:
With the increasing speed of trains, the impacts of mechanical shock, arc heat, and Joule heat on the high-speed railway catenary system have become increasingly significant. The coupling effect of high temperature and impact load has emerged as a key limiting factor for the safe operation of the pantograph-catenary system. This study focuses on copper-magnesium alloy materials used in the catenary system to address the challenges of dynamic impact and friction-induced heat generation in high-speed railways. To investigate the mechanical properties of the high-speed railway pantograph-catenary system under service conditions such as dynamic impact and frictional temperature rise, a DF14.205D electronic universal testing machine and a split Hopkinson pressure bar were employed. The uniaxial compression mechanical properties of the copper-magnesium alloy in the catenary were tested over a strain rate range of 0.001 s−1 to3000 s−1 and a temperature range of 293 K to 873 K. The strain-rate effect and temperature sensitivity of the stress-strain response were carefully analyzed. The study also revealed the compression deformation mechanism and the evolution law of the alloy’s microstructure under the combined influence of strain rate and temperature. Furthermore, a dynamic constitutive model was established to accurately describe the plastic flow behavior of the material. The findings indicate that during compression, the copper-magnesium alloy materials exhibit significant strain-rate strengthening and temperature softening effects. These effects result from the combined action of work hardening, strain rate, and temperature softening. When the temperature exceeds 473 K, temperature softening becomes the dominant factor in material deformation, and the elevated temperature can stimulate dynamic recovery and dynamic recrystallization processes. The modified Johnson-Cook model was found to be capable of accurately predicting the plastic flow stress-strain response. These research outcomes provide valuable guidance and references for the safety design and evaluation of the high-speed train pantograph-catenary system during its service.
With the increasing speed of trains, the impacts of mechanical shock, arc heat, and Joule heat on the high-speed railway catenary system have become increasingly significant. The coupling effect of high temperature and impact load has emerged as a key limiting factor for the safe operation of the pantograph-catenary system. This study focuses on copper-magnesium alloy materials used in the catenary system to address the challenges of dynamic impact and friction-induced heat generation in high-speed railways. To investigate the mechanical properties of the high-speed railway pantograph-catenary system under service conditions such as dynamic impact and frictional temperature rise, a DF14.205D electronic universal testing machine and a split Hopkinson pressure bar were employed. The uniaxial compression mechanical properties of the copper-magnesium alloy in the catenary were tested over a strain rate range of 0.001 s−1 to
2025, 45(12): 123102.
doi: 10.11883/bzycj-2024-0502
Abstract:
Porous materials exhibit pore collapse behavior during impact compression. Based on the shock wave structure observed in experiments carried out by predecessors, a theoretical analysis of the relationship between the shock wave formation process and the pore collapse behavior of porous materials is conducted. Firstly, considering the compression curve characteristics of porous materials and the overtaking of shock waves, it is proposed that the shock wave structure of porous materials has three modes: low-pressure single wave mode, double shock wave mode, and high-pressure single wave mode. These different shock wave modes are mainly caused by the influence of elastic-plastic mechanical behavior in pore collapse on the compression curve of porous materials. Furthermore, combined with the Wu-Jing equation of state, the calculation method of shock compression characteristics compatible with different shock wave modes is developed. The relationship between the Hugoniot curve of porous material and dense material is established, and the calculation equation of impact specific volume compatible with single shock wave mode is obtained, which can directly calculate the critical specific volume without approximate conditions. In addition, the equation of pore collapse established by Carroll is modified by taking the linear approximation of the variation of porosity with pressure in the elastic stage and the elastic-plastic stage and considering the relationship between the stress of the matrix material and the macroscopic stress in the porous material. Based on the calculation model of shock compression characteristics considering pore collapse behavior, the Hugoniot data of the material are calculated, and the influence of pore collapse behavior on the shock compression characteristics of porous materials is discussed. The results show that the shock compression characteristics of the material are significantly affected by the pore collapse behavior at lower pressures, and the model in this paper can predict the shock wave parameters of porous materials more accurately.
Porous materials exhibit pore collapse behavior during impact compression. Based on the shock wave structure observed in experiments carried out by predecessors, a theoretical analysis of the relationship between the shock wave formation process and the pore collapse behavior of porous materials is conducted. Firstly, considering the compression curve characteristics of porous materials and the overtaking of shock waves, it is proposed that the shock wave structure of porous materials has three modes: low-pressure single wave mode, double shock wave mode, and high-pressure single wave mode. These different shock wave modes are mainly caused by the influence of elastic-plastic mechanical behavior in pore collapse on the compression curve of porous materials. Furthermore, combined with the Wu-Jing equation of state, the calculation method of shock compression characteristics compatible with different shock wave modes is developed. The relationship between the Hugoniot curve of porous material and dense material is established, and the calculation equation of impact specific volume compatible with single shock wave mode is obtained, which can directly calculate the critical specific volume without approximate conditions. In addition, the equation of pore collapse established by Carroll is modified by taking the linear approximation of the variation of porosity with pressure in the elastic stage and the elastic-plastic stage and considering the relationship between the stress of the matrix material and the macroscopic stress in the porous material. Based on the calculation model of shock compression characteristics considering pore collapse behavior, the Hugoniot data of the material are calculated, and the influence of pore collapse behavior on the shock compression characteristics of porous materials is discussed. The results show that the shock compression characteristics of the material are significantly affected by the pore collapse behavior at lower pressures, and the model in this paper can predict the shock wave parameters of porous materials more accurately.
2025, 45(12): 123103.
doi: 10.11883/bzycj-2025-0050
Abstract:
Iridium alloys have been extensively utilized as structural materials in specific high-temperature applications, attributed to their superior strength and ductility at elevated temperatures. To enhance the understanding of high-speed impacts at elevated temperatures, it is imperative to characterize the mechanical properties of iridium alloys, including their failure response under high strain rates and elevated temperatures. In this study, the conventional split Hopkinson tension bar technique was modified to evaluate the tensile behavior of an iridium alloy at high strain rates and elevated temperatures. A dynamic high-temperature tensile testing technique for thin and flat specimens was established based on the high current heating method. A fixture with a slot was employed, enabling the specimen shoulder to bear the load and transmit it to the gauge section of the specimen. An integrated high current heater equipped with a self-controlled system was utilized to heat the iridium alloy specimen and maintain the desired high-temperature conditions. To prevent unintended heating of the bars, a pair of hollow water-cooled pillow blocks were installed. Moreover, to mitigate rapid cooling of the specimen, the cold contact time was meticulously controlled to be less than 1 ms. To elucidate the dynamic high-temperature properties of the iridium alloy, tensile tests were conducted using this technique at a strain rate of 103 s−1 and at temperatures of room temperature, 600, 900, and1100 ℃. Experimental results revealed that as the temperature increased from room temperature to 900 ℃, the tensile strength of the iridium alloy decreased by 12%, while its ductility doubled. However, when the temperature was further elevated to 1100 ℃, the tensile strength decreased by 43%, and the ductility increased by a factor of 7.3. Macroscopic and microscopic analyses of the fracture morphologies were conducted to reveal the deformation mechanisms of the iridium alloy. It was found that with increasing temperature, the failure mode of the iridium alloy transitioned from predominantly intergranular fracture to plastic deformation and granular fracture. The dynamic fracture behavior of iridium alloy at high temperatures is governed by the competition between grain-boundary failure and granular softening.
Iridium alloys have been extensively utilized as structural materials in specific high-temperature applications, attributed to their superior strength and ductility at elevated temperatures. To enhance the understanding of high-speed impacts at elevated temperatures, it is imperative to characterize the mechanical properties of iridium alloys, including their failure response under high strain rates and elevated temperatures. In this study, the conventional split Hopkinson tension bar technique was modified to evaluate the tensile behavior of an iridium alloy at high strain rates and elevated temperatures. A dynamic high-temperature tensile testing technique for thin and flat specimens was established based on the high current heating method. A fixture with a slot was employed, enabling the specimen shoulder to bear the load and transmit it to the gauge section of the specimen. An integrated high current heater equipped with a self-controlled system was utilized to heat the iridium alloy specimen and maintain the desired high-temperature conditions. To prevent unintended heating of the bars, a pair of hollow water-cooled pillow blocks were installed. Moreover, to mitigate rapid cooling of the specimen, the cold contact time was meticulously controlled to be less than 1 ms. To elucidate the dynamic high-temperature properties of the iridium alloy, tensile tests were conducted using this technique at a strain rate of 103 s−1 and at temperatures of room temperature, 600, 900, and
2025, 45(12): 123104.
doi: 10.11883/bzycj-2024-0436
Abstract:
The dynamic mechanical properties of deep rocks are critical to understanding geological processes and optimizing resource extraction. Accurately understanding the dynamic mechanical properties of deep rocks not only provides insights into the geological processes and evolution of the earth’s interior, but also offers a theoretical basis for the effective extraction of deep minerals and energy. In this study, the dynamic mechanical behavior of white sandstone from a coal mine was experimentally and numerically analyzed under uniaxial, biaxial, and triaxial stress conditions. Numerical simulations based on three constitutive models consisting of the Riedel-Hiermaier-Thoma (RHT) model, the Holmquist-Johnson-Cook (HJC) model, and the continuous surface cap model (CSCM), were validated by using experimental results from three-dimensional Hopkinson bar experiments. The results indicate that the shear failure damage of white sandstone specimens decreases with the increasing prestress, with triaxial stress conditions yielding significantly lower damage than uniaxial or biaxial conditions. Among the three models, the RHT constitutive model demonstrates the closest agreement with the experimental results in terms of stress waveforms, peak stress, peak strain, and damage degree. Compared with the experimental data, the RHT model exhibits a stress peak deviation ratio of 3.5% and 13.6% for the reflected wave under uniaxial and biaxial conditions, respectively, while the stress peak deviation ratio for the transmitted wave is the lowest. Additionally, the peak stress and strain values predicted by the RHT model are numerically closer to the experimental results. The damage state predicted by the RHT model also aligns well with the experimental observations: under uniaxial loading, the damage exhibits a U-shaped pattern, whereas the HJC model showed a larger V-shaped damage pattern and fracture, and the CSCM model displayed surface damage with a smaller affected area. In terms of energy absorption and dissipation, the simulation results based on the three constitutive models shows minimal differences. The incident, reflected, and transmitted energy values are nearly identical across all three models. In addition, the damage degree of the white sandstone specimens increases with the impact velocity. The damage simulation results of the three constitutive models also show an increasing trend with the impact velocity, while retaining the damage characteristics.
The dynamic mechanical properties of deep rocks are critical to understanding geological processes and optimizing resource extraction. Accurately understanding the dynamic mechanical properties of deep rocks not only provides insights into the geological processes and evolution of the earth’s interior, but also offers a theoretical basis for the effective extraction of deep minerals and energy. In this study, the dynamic mechanical behavior of white sandstone from a coal mine was experimentally and numerically analyzed under uniaxial, biaxial, and triaxial stress conditions. Numerical simulations based on three constitutive models consisting of the Riedel-Hiermaier-Thoma (RHT) model, the Holmquist-Johnson-Cook (HJC) model, and the continuous surface cap model (CSCM), were validated by using experimental results from three-dimensional Hopkinson bar experiments. The results indicate that the shear failure damage of white sandstone specimens decreases with the increasing prestress, with triaxial stress conditions yielding significantly lower damage than uniaxial or biaxial conditions. Among the three models, the RHT constitutive model demonstrates the closest agreement with the experimental results in terms of stress waveforms, peak stress, peak strain, and damage degree. Compared with the experimental data, the RHT model exhibits a stress peak deviation ratio of 3.5% and 13.6% for the reflected wave under uniaxial and biaxial conditions, respectively, while the stress peak deviation ratio for the transmitted wave is the lowest. Additionally, the peak stress and strain values predicted by the RHT model are numerically closer to the experimental results. The damage state predicted by the RHT model also aligns well with the experimental observations: under uniaxial loading, the damage exhibits a U-shaped pattern, whereas the HJC model showed a larger V-shaped damage pattern and fracture, and the CSCM model displayed surface damage with a smaller affected area. In terms of energy absorption and dissipation, the simulation results based on the three constitutive models shows minimal differences. The incident, reflected, and transmitted energy values are nearly identical across all three models. In addition, the damage degree of the white sandstone specimens increases with the impact velocity. The damage simulation results of the three constitutive models also show an increasing trend with the impact velocity, while retaining the damage characteristics.
2025, 45(12): 123201.
doi: 10.11883/bzycj-2024-0465
Abstract:
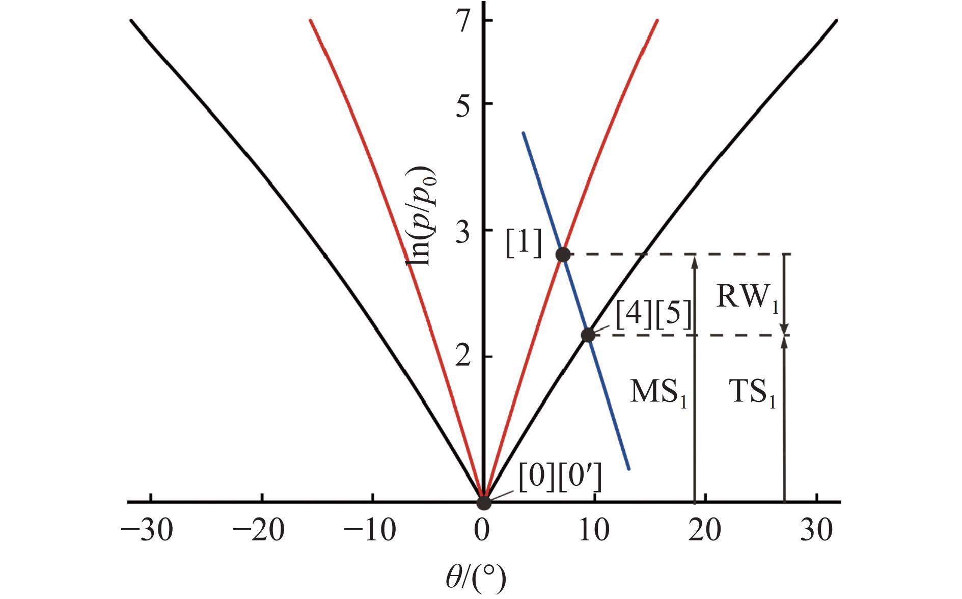
The evolution of a planar heavy/light gas interface (SF6/N2) subjected to a perturbed shock wave produced by diffracting a planar incident shock over a rigid cylinder is investigated by numerical and theoretical analysis, particularly focusing on the incident impact stage of Mach reflection wave configuration. While the Mach number of incident planar shock wave is 1.8, numerical schlieren images of the Mach reflection wave over a rigid cylinder are provided, and the wave evolution during the incident impact on the heavy/light interface is quantitatively analyzed. Utilizing the three-shock theory, a theoretical solution describing the refraction process is derived, which accurately predicts the post-refraction shock wave shape, as well as the velocity perturbation and circulation deposition on the interface. Additionally, by drawing shock polar curves and rarefaction wave characteristic lines, the pressure changes and flow deflection across the wave configuration during the incident impact process are straightly described. Both the results of theoretical analysis and numerical simulation indicate that the differences in shock intensity and incident angles within the Mach reflection wave configuration lead to the velocity perturbation on the interface. And the tangential velocity caused by the shock impact results in circulation deposition on the interface. Velocity perturbation and circulation deposition dominate the early evolution of the heavy/light interface.
The evolution of a planar heavy/light gas interface (SF6/N2) subjected to a perturbed shock wave produced by diffracting a planar incident shock over a rigid cylinder is investigated by numerical and theoretical analysis, particularly focusing on the incident impact stage of Mach reflection wave configuration. While the Mach number of incident planar shock wave is 1.8, numerical schlieren images of the Mach reflection wave over a rigid cylinder are provided, and the wave evolution during the incident impact on the heavy/light interface is quantitatively analyzed. Utilizing the three-shock theory, a theoretical solution describing the refraction process is derived, which accurately predicts the post-refraction shock wave shape, as well as the velocity perturbation and circulation deposition on the interface. Additionally, by drawing shock polar curves and rarefaction wave characteristic lines, the pressure changes and flow deflection across the wave configuration during the incident impact process are straightly described. Both the results of theoretical analysis and numerical simulation indicate that the differences in shock intensity and incident angles within the Mach reflection wave configuration lead to the velocity perturbation on the interface. And the tangential velocity caused by the shock impact results in circulation deposition on the interface. Velocity perturbation and circulation deposition dominate the early evolution of the heavy/light interface.
2025, 45(12): 123301.
doi: 10.11883/bzycj-2024-0213
Abstract:
Two kinds of structural projectiles made of two different materials were designed in this paper. An experimental study of 11 kg projectiles penetrating the reinforced concrete target at 1400 m/s was carried out using a 203 mm Davis gun. Based on the experimental results, the structural response, penetration capability and related engineering issues of the projectile are discussed. The results show that when the reinforced concrete target is penetrated at a velocity of1400 m/s, the heads of projectiles made of two different materials experienced erosion and were mushroomed. This was caused by high temperatures resulting from friction between the projectile and the concrete during penetration, which significantly softened the surface of the projectile. Furthermore, the contact pressure between the projectile and the target exceeded the yield strength of the projectile material near the surface, causing the material to enter a state of plastic flow and ultimately leading to the erosion and mushrooming of the projectile head. Additionally, the surface material of the projectile was stripped due to the cutting action of the hard aggregates in the concrete, resulting in severe abrasion of the projectile body. When comparing the structural responses of projectiles made of different materials, it was evident that material properties influenced their behavior. Compared to 30CrMnSiNi2MoVE, DT1900, known for its higher strength, hardness and better resistance to impact compression, showed less erosion at the projectile head. However, the inferior shear resistance and wear resistance of DT1900 led to severe abrasion on the projectile body. The mass loss pattern of a conical projectile is different from that of a solid long-rod projectile, with the latter concentrated mainly in the projectile body. The conical flared tail design, while suppressing ballistic deflection, increased the contact area between the projectile body and the target, enhancing the abrasive and cutting actions of aggregates and steel. Moreover, under high-speed penetration conditions, the erosion and mushrooming of the projectile head could reduce the penetration depth; the less erosion at the head, the greater the penetration depth. In experiments, the maximum penetration depth of DT1900 projectiles could reach up to nine times the length of the projectile.
Two kinds of structural projectiles made of two different materials were designed in this paper. An experimental study of 11 kg projectiles penetrating the reinforced concrete target at 1400 m/s was carried out using a 203 mm Davis gun. Based on the experimental results, the structural response, penetration capability and related engineering issues of the projectile are discussed. The results show that when the reinforced concrete target is penetrated at a velocity of
2025, 45(12): 124201.
doi: 10.11883/bzycj-2024-0485
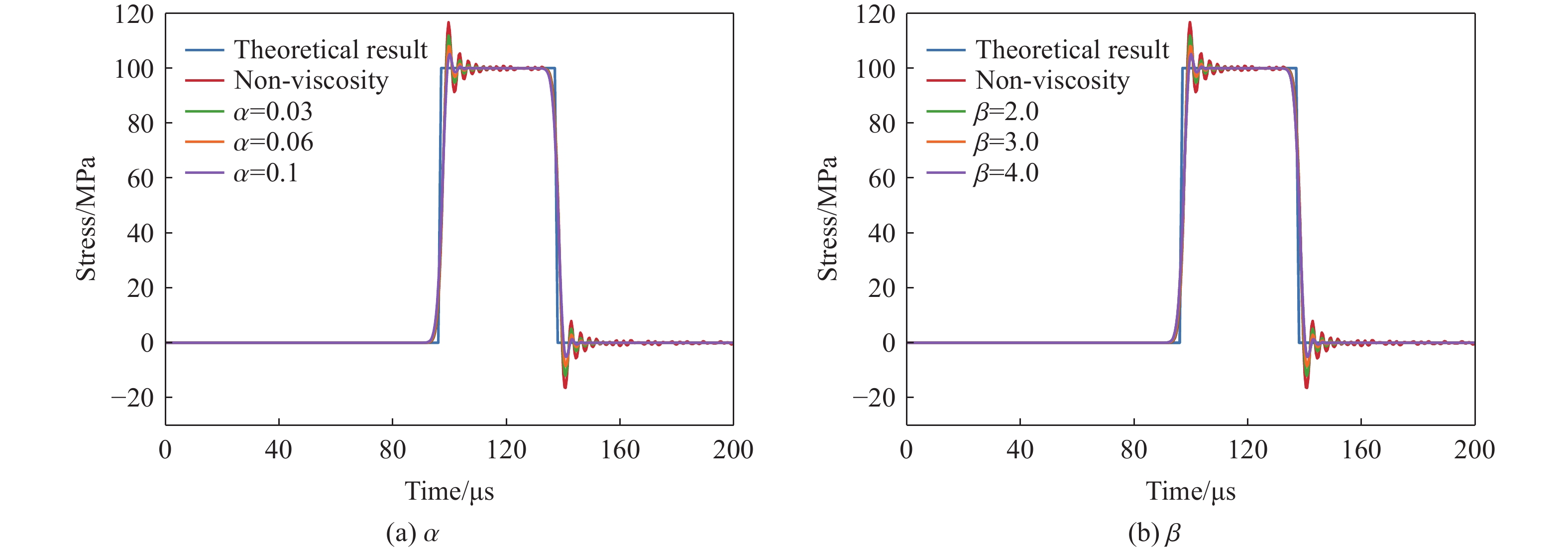
Abstract:
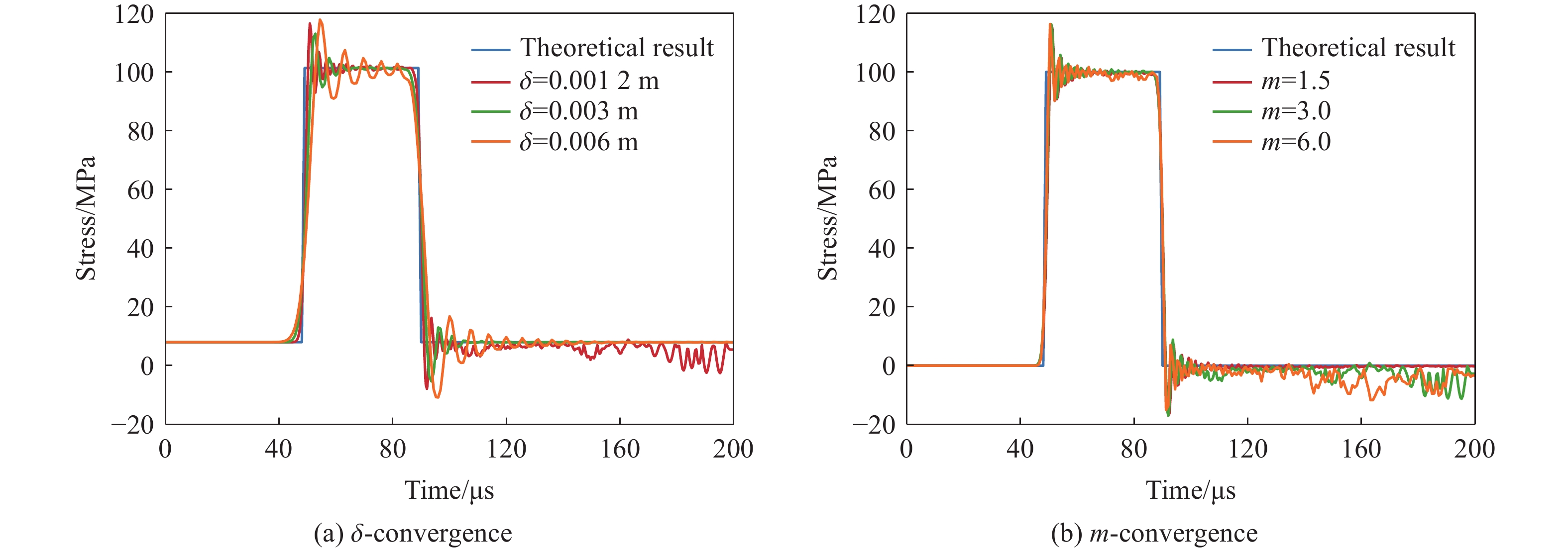
To accurately predict the dynamic tensile fracture in concrete materials subjected to impact and blast loadings, this study first establishes a modified Monaghan artificial bulk viscosity computation method within the framework of a non-ordinary state-based peridynamics (NOSB-PD) theory to eliminate numerical oscillations. Subsequently, the corrected strain-rate computation method, previously developed, is integrated into the Kong-Fang concrete material model, which was proposed earlier by the research group to calculate accurately the strain-rate effect during sudden changes. Based on the two methods above, numerical simulations of elastic wave propagation in a one-dimensional rod are conducted, and the results demonstrate that the additional inclusion of the modified Monaghan artificial bulk viscosity force vector state into the original force vector state can effectively suppress the non-physical numerical oscillations caused by the deformation gradient approximation. The superiority of the modified Monaghan artificial bulk viscosity is validated through comparative analysis with the original Monaghan artificial bulk viscosity. Furthermore, the influence of the modified Monaghan artificial bulk viscosity parameters is investigated, and recommended values for these parameters are provided. Finally, the aforementioned model is used to numerically simulate the spall test in concrete specimens, where the effects of including or excluding the modified Monaghan artificial bulk viscosity and different strain-rate computation methods on the prediction results of dynamic tensile fracture are compared and analyzed. The numerical simulation results demonstrate that accurately predicting the dynamic tensile fracture in concrete materials requires simultaneous consideration of the modified Monaghan artificial bulk viscosity and corrected strain-rate computation. The established non-ordinary state-based peridynamics model that accounts for both the modified Monaghan artificial bulk viscosity and corrected strain-rate computation demonstrates strong capabilities in predicting crack locations and quantities based on both qualitative and quantitative analysis metrics. This work provides new insights into the numerical simulation of dynamic tensile fracture in concrete materials under impact and blast loadings.
To accurately predict the dynamic tensile fracture in concrete materials subjected to impact and blast loadings, this study first establishes a modified Monaghan artificial bulk viscosity computation method within the framework of a non-ordinary state-based peridynamics (NOSB-PD) theory to eliminate numerical oscillations. Subsequently, the corrected strain-rate computation method, previously developed, is integrated into the Kong-Fang concrete material model, which was proposed earlier by the research group to calculate accurately the strain-rate effect during sudden changes. Based on the two methods above, numerical simulations of elastic wave propagation in a one-dimensional rod are conducted, and the results demonstrate that the additional inclusion of the modified Monaghan artificial bulk viscosity force vector state into the original force vector state can effectively suppress the non-physical numerical oscillations caused by the deformation gradient approximation. The superiority of the modified Monaghan artificial bulk viscosity is validated through comparative analysis with the original Monaghan artificial bulk viscosity. Furthermore, the influence of the modified Monaghan artificial bulk viscosity parameters is investigated, and recommended values for these parameters are provided. Finally, the aforementioned model is used to numerically simulate the spall test in concrete specimens, where the effects of including or excluding the modified Monaghan artificial bulk viscosity and different strain-rate computation methods on the prediction results of dynamic tensile fracture are compared and analyzed. The numerical simulation results demonstrate that accurately predicting the dynamic tensile fracture in concrete materials requires simultaneous consideration of the modified Monaghan artificial bulk viscosity and corrected strain-rate computation. The established non-ordinary state-based peridynamics model that accounts for both the modified Monaghan artificial bulk viscosity and corrected strain-rate computation demonstrates strong capabilities in predicting crack locations and quantities based on both qualitative and quantitative analysis metrics. This work provides new insights into the numerical simulation of dynamic tensile fracture in concrete materials under impact and blast loadings.
2025, 45(12): 125101.
doi: 10.11883/bzycj-2025-0054
Abstract:
In recent years, polyurea-coated reinforced concrete (RC) slabs have been extensively studied both experimentally and numerically for structural strengthening against contact explosions. However, theoretical investigations remain limited, particularly concerning the impact of polyurea on the local damages of the RC substrates. In this paper, an analytical model based on stress wave propagation theory was proposed to investigate the reflection of compression waves at the backside of the RC substrate slab and predict the spalling depth. Utilizing this analytical model, a quantitative and detailed discussion was presented regarding the effect of the polyurea on the critical spalling and breach of the RC substrate slab. Furthermore, the applicability of the empirical breach prediction, originally developed for uncoated RC slabs, was validated through existing experiments to predict the breach of polyurea-coated RC substrate slabs. The results indicate that polyurea affects the spalling process of the RC substrate slabs. Specifically, the net stress wave adjacent to the concrete-polyurea interface is a compression wave, while it transitions to a tensile wave in the deeper concrete. Polyurea primarily impacts the first spall of the RC substrate slab; subsequent spalling processes after the first spall align with those observed in uncoated RC slabs. Upon the occurrence of critical spalling, polyurea enhances the critical spalling resistance of RC slabs, although it significantly increases the spalling depth. Conversely, when a breach occurs, polyurea reduces the number of spalls but minimally affects on the total spalling depth. Based on these findings, the empirical method for predicting breaches of uncoated RC slabs can effectively be applied to predict the breach of RC substrate slabs coated with polyurea. The test results from more than twenty contact explosion experiments are consistent with the predicted outcomes, thereby validating the effectiveness of the analytical model and providing a method for estimating the breach of polyurea-coated RC substrate slabs.
In recent years, polyurea-coated reinforced concrete (RC) slabs have been extensively studied both experimentally and numerically for structural strengthening against contact explosions. However, theoretical investigations remain limited, particularly concerning the impact of polyurea on the local damages of the RC substrates. In this paper, an analytical model based on stress wave propagation theory was proposed to investigate the reflection of compression waves at the backside of the RC substrate slab and predict the spalling depth. Utilizing this analytical model, a quantitative and detailed discussion was presented regarding the effect of the polyurea on the critical spalling and breach of the RC substrate slab. Furthermore, the applicability of the empirical breach prediction, originally developed for uncoated RC slabs, was validated through existing experiments to predict the breach of polyurea-coated RC substrate slabs. The results indicate that polyurea affects the spalling process of the RC substrate slabs. Specifically, the net stress wave adjacent to the concrete-polyurea interface is a compression wave, while it transitions to a tensile wave in the deeper concrete. Polyurea primarily impacts the first spall of the RC substrate slab; subsequent spalling processes after the first spall align with those observed in uncoated RC slabs. Upon the occurrence of critical spalling, polyurea enhances the critical spalling resistance of RC slabs, although it significantly increases the spalling depth. Conversely, when a breach occurs, polyurea reduces the number of spalls but minimally affects on the total spalling depth. Based on these findings, the empirical method for predicting breaches of uncoated RC slabs can effectively be applied to predict the breach of RC substrate slabs coated with polyurea. The test results from more than twenty contact explosion experiments are consistent with the predicted outcomes, thereby validating the effectiveness of the analytical model and providing a method for estimating the breach of polyurea-coated RC substrate slabs.
2025, 45(12): 125102.
doi: 10.11883/bzycj-2025-0058
Abstract:
To address the fracture problem of dynamic submarine cables and their protective sheaths caused by friction and collision with wind turbine platforms under harsh sea conditions, a multi-impact resistant composite protective layer was designed using ethylene vinyl acetate (EVA) foam and rubber as the main materials, which possess high elasticity and excellent cushioning properties. Mechanical property tests were conducted on EVA foam materials with various relative densities under different loading conditions using a universal testing machine and drop hammer. Energy absorption efficiency, densification strain, plateau stress and maximum specific energy absorption were introduced to characterize the mechanical properties of EVA foam. The effects of relative density, strain rate and repeated loading on the energy absorption characteristics of EVA foam were revealed. Based on the matching relationship between the energy absorption per unit volume of EVA foam and the kinetic energy of dynamic submarine cables to be absorbed, the optimal thickness of the protective layer was determined, and composite protective layer specimens were fabricated. Subsequently, drop hammer impact tests were performed to compare the cushioning and energy absorption characteristics of the composite protective layer with other materials, preliminarily verifying its high energy absorption efficiency. Further drop hammer impact tests were conducted to investigate the effects of impact energy and loading cycles on the cushioning and energy absorption characteristics of the composite protective layer. The experimental results displayed that: (1) under single impact, the peak force and maximum displacement of the composite protective layer showed a linear positive correlation with the drop hammer mass and impact velocity, with energy absorption efficiency reaching 85%; (2) under multiple impacts, the mechanical properties of the composite protective layer exhibited remarkable stability-the maximum displacement in the fourth impact increased by only 5.5% compared with the first impact, with fluctuations in energy absorption value and instantaneous rebound rate remaining below 5%. The composite protective layer demonstrates unique mechanical properties that provide effective long-term protection for dynamic submarine cables under harsh marine conditions.
To address the fracture problem of dynamic submarine cables and their protective sheaths caused by friction and collision with wind turbine platforms under harsh sea conditions, a multi-impact resistant composite protective layer was designed using ethylene vinyl acetate (EVA) foam and rubber as the main materials, which possess high elasticity and excellent cushioning properties. Mechanical property tests were conducted on EVA foam materials with various relative densities under different loading conditions using a universal testing machine and drop hammer. Energy absorption efficiency, densification strain, plateau stress and maximum specific energy absorption were introduced to characterize the mechanical properties of EVA foam. The effects of relative density, strain rate and repeated loading on the energy absorption characteristics of EVA foam were revealed. Based on the matching relationship between the energy absorption per unit volume of EVA foam and the kinetic energy of dynamic submarine cables to be absorbed, the optimal thickness of the protective layer was determined, and composite protective layer specimens were fabricated. Subsequently, drop hammer impact tests were performed to compare the cushioning and energy absorption characteristics of the composite protective layer with other materials, preliminarily verifying its high energy absorption efficiency. Further drop hammer impact tests were conducted to investigate the effects of impact energy and loading cycles on the cushioning and energy absorption characteristics of the composite protective layer. The experimental results displayed that: (1) under single impact, the peak force and maximum displacement of the composite protective layer showed a linear positive correlation with the drop hammer mass and impact velocity, with energy absorption efficiency reaching 85%; (2) under multiple impacts, the mechanical properties of the composite protective layer exhibited remarkable stability-the maximum displacement in the fourth impact increased by only 5.5% compared with the first impact, with fluctuations in energy absorption value and instantaneous rebound rate remaining below 5%. The composite protective layer demonstrates unique mechanical properties that provide effective long-term protection for dynamic submarine cables under harsh marine conditions.


PDF
Cited by
Read OL