2026 Vol. 46, No. 3
Display Method:
2026, 46(3): 031401.
doi: 10.11883/bzycj-2025-0106
Abstract:
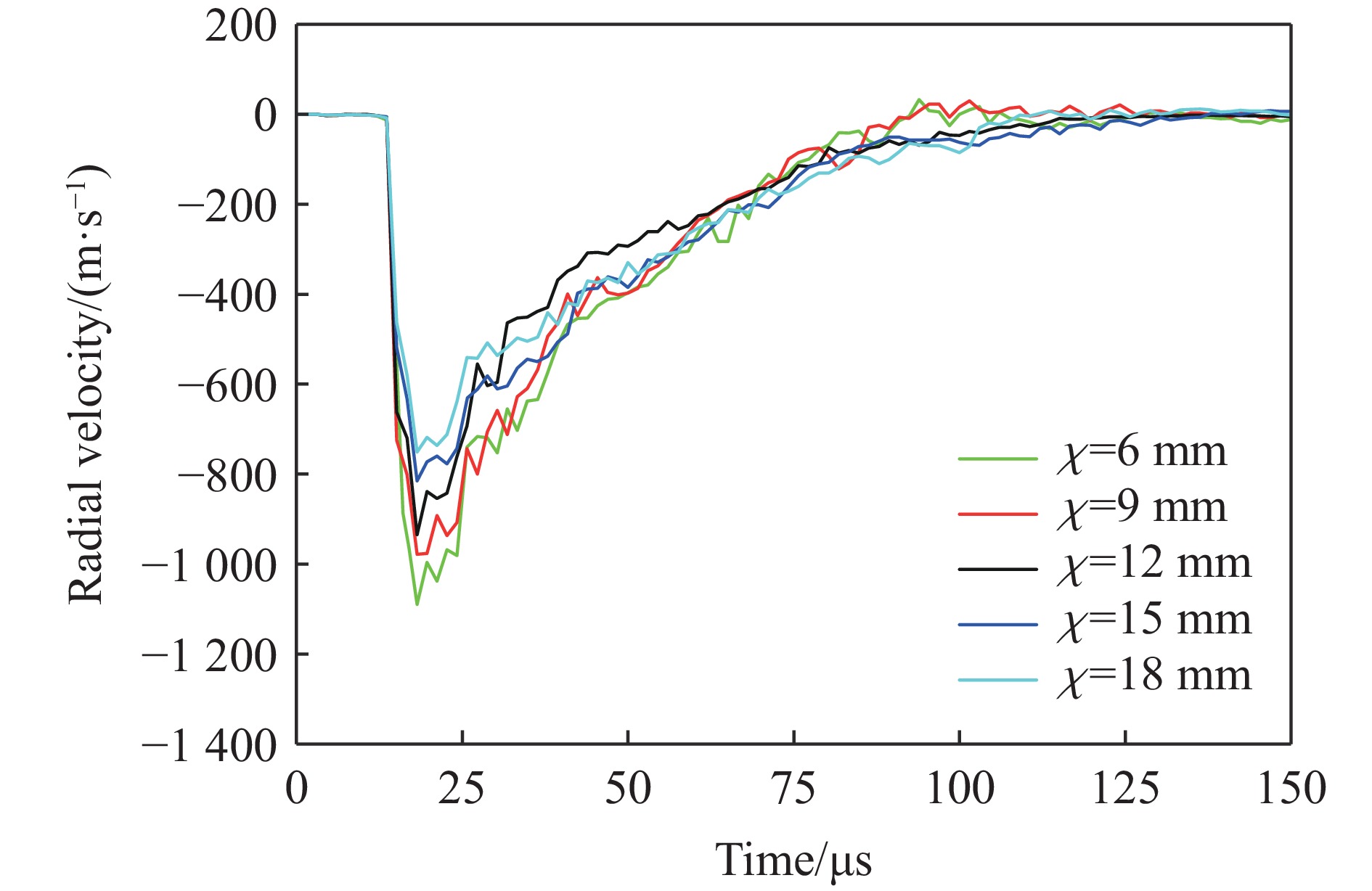
To investigate the evolution of phase structure, dislocation distribution, energy absorption capacity, and impact accumulation effect of high-entropy alloys (HEA) under shock loading, molecular dynamics simulations were employed to systematically analyze the dynamic response behavior of Al0.3CoCrFeNi HEA plate subjected to single and secondary impact load. The results show that under the first impact, the phase structure evolution and energy absorption mode of the plastic region of Al0.3CoCrFeNi HEA plate exhibits significant velocity dependence. As the velocity increases, the proportion of face-centered cubic structure shows a three-stage downward trend, while the disordered structure increases accordingly. Under low velocity impact (0.5-1.0 km/s), energy is mainly absorbed by dislocation network; at medium velocity impact (1.0-2.0 km/s), both dislocations and disordered atoms contribute; under high velocity impact (2.0-3.0 km/s), disordered atoms dominate energy absorption. Within the velocity range of 0.5-0.8 km/s of the rigid sphere, the dislocation line length increases linearly with the impact velocity. However, at higher impact velocities, the dislocation line length decreases due to the limitation of the plate thickness. The stress analysis shows that when the impact velocity increases, both the maximum stress and the boundary stress of the plastic zone exhibit nonlinear variations characterized by a quadratic relationship. Under the secondary impact, the Al0.3CoCrFeNi HEA plate forms a damage zone resembling a trapezoidal shape after impact. The radius of the pit within this damage zone exhibits a quadratic relationship with the impact velocity. Additionally, the minimum affected area resulting from the secondary impact also demonstrates a quadratic relationship with the impact velocity. Regarding impact resistance, as the initial impact velocity increases, the residual velocity following the secondary impact also rises, indicating a reduction in the resistance capability of HEA. At a distance of 10 nm from the impact center, the ballistic limit velocity decreases nonlinearly with increasing initial impact velocity. However, an increase in the secondary impact velocity mitigates the effects induced by the initial impact.
To investigate the evolution of phase structure, dislocation distribution, energy absorption capacity, and impact accumulation effect of high-entropy alloys (HEA) under shock loading, molecular dynamics simulations were employed to systematically analyze the dynamic response behavior of Al0.3CoCrFeNi HEA plate subjected to single and secondary impact load. The results show that under the first impact, the phase structure evolution and energy absorption mode of the plastic region of Al0.3CoCrFeNi HEA plate exhibits significant velocity dependence. As the velocity increases, the proportion of face-centered cubic structure shows a three-stage downward trend, while the disordered structure increases accordingly. Under low velocity impact (0.5-1.0 km/s), energy is mainly absorbed by dislocation network; at medium velocity impact (1.0-2.0 km/s), both dislocations and disordered atoms contribute; under high velocity impact (2.0-3.0 km/s), disordered atoms dominate energy absorption. Within the velocity range of 0.5-0.8 km/s of the rigid sphere, the dislocation line length increases linearly with the impact velocity. However, at higher impact velocities, the dislocation line length decreases due to the limitation of the plate thickness. The stress analysis shows that when the impact velocity increases, both the maximum stress and the boundary stress of the plastic zone exhibit nonlinear variations characterized by a quadratic relationship. Under the secondary impact, the Al0.3CoCrFeNi HEA plate forms a damage zone resembling a trapezoidal shape after impact. The radius of the pit within this damage zone exhibits a quadratic relationship with the impact velocity. Additionally, the minimum affected area resulting from the secondary impact also demonstrates a quadratic relationship with the impact velocity. Regarding impact resistance, as the initial impact velocity increases, the residual velocity following the secondary impact also rises, indicating a reduction in the resistance capability of HEA. At a distance of 10 nm from the impact center, the ballistic limit velocity decreases nonlinearly with increasing initial impact velocity. However, an increase in the secondary impact velocity mitigates the effects induced by the initial impact.
2026, 46(3): 031402.
doi: 10.11883/bzycj-2025-0087
Abstract:
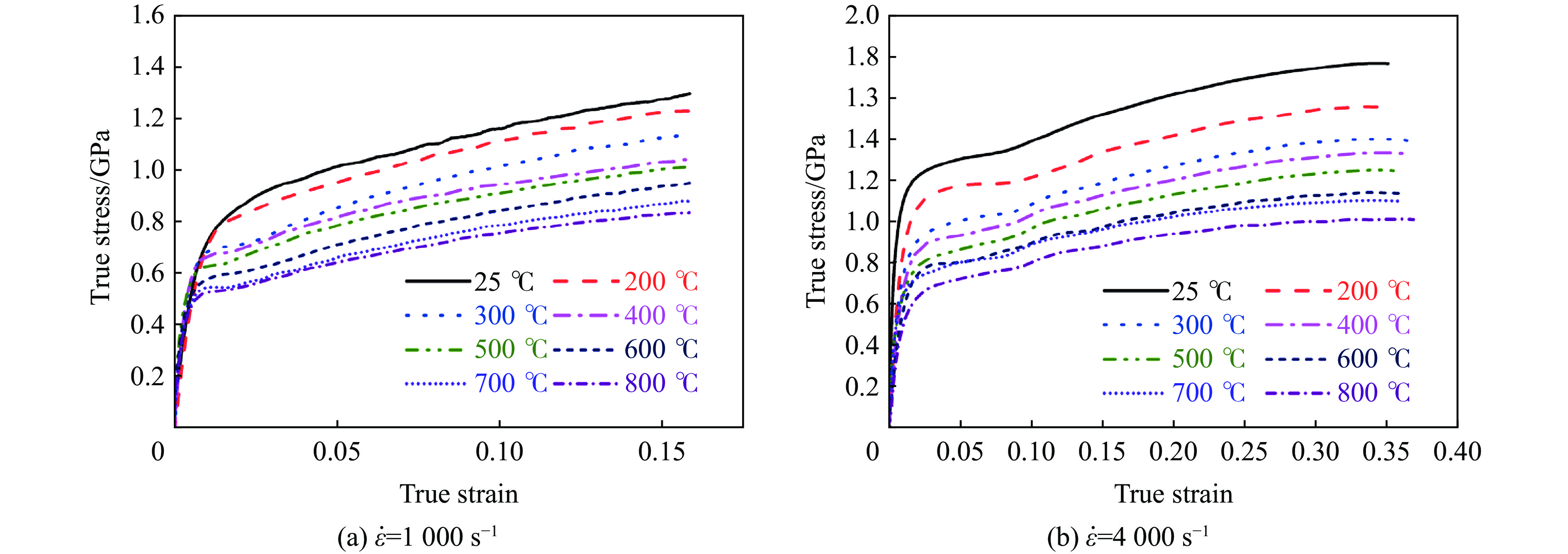
To further explore the influence of interstitial C atom on the strain rate effect and temperature effect of CoCrNi-based medium-entropy alloy, the compression mechanical behavior, microstructure evolution and deformation mechanism of CoCrNiSi0.3C0.048 medium-entropy alloy were systematically studied at a wide temperature and strain rate range. The investigated alloy is composed of face-centered cubic (FCC) matrix and three-level precipitate microstructure, i.e. the primary Cr23C6 carbides (2−10 μm), the secondary SiC precipitates (200−500 nm), and the tertiary SiC precipitates (~50 nm). The results show that the serrated flow phenomenon is observed on the true stress-strain curve of the alloy at 400 ℃, and the amplitude of the serrations decreases gradually with the increase of strain and ultimately vanishes. In addition, the abnormal stress peak (the 3rd-type strain aging phenomenon) appears on the curve of the quasi-static flow stress with temperature, but at high strain rate, the abnormal stress peak disappears. Through the analysis of the characterization of the deformed microstructure, it is speculated that the main reason for the phenomenon of 3rd-type strain aging under quasi-static conditions may be the existence of interstitial C atoms. During the process of continuous plastic deformation and development, a series of mixed structures similar to heterogeneous structures are generated, which are composed of dense dislocation cells, micro bands, stack faults, dislocation clusters and deformation twins. These mixed structures intensify the interaction between interstitial atoms and moving dislocation, and then pin the dislocation, which results in dynamic strain aging phenomenon occurs. The reason why the 3rd-type strain aging does not appear under dynamic conditions may be that the solute atoms move slower than the dislocation. The dislocation cannot be pinned in time. In addition, the precipitation of a large number of nanoscale SiC precipitates weakens the "pinning" effect of interstitial atoms under dynamic loading.
To further explore the influence of interstitial C atom on the strain rate effect and temperature effect of CoCrNi-based medium-entropy alloy, the compression mechanical behavior, microstructure evolution and deformation mechanism of CoCrNiSi0.3C0.048 medium-entropy alloy were systematically studied at a wide temperature and strain rate range. The investigated alloy is composed of face-centered cubic (FCC) matrix and three-level precipitate microstructure, i.e. the primary Cr23C6 carbides (2−10 μm), the secondary SiC precipitates (200−500 nm), and the tertiary SiC precipitates (~50 nm). The results show that the serrated flow phenomenon is observed on the true stress-strain curve of the alloy at 400 ℃, and the amplitude of the serrations decreases gradually with the increase of strain and ultimately vanishes. In addition, the abnormal stress peak (the 3rd-type strain aging phenomenon) appears on the curve of the quasi-static flow stress with temperature, but at high strain rate, the abnormal stress peak disappears. Through the analysis of the characterization of the deformed microstructure, it is speculated that the main reason for the phenomenon of 3rd-type strain aging under quasi-static conditions may be the existence of interstitial C atoms. During the process of continuous plastic deformation and development, a series of mixed structures similar to heterogeneous structures are generated, which are composed of dense dislocation cells, micro bands, stack faults, dislocation clusters and deformation twins. These mixed structures intensify the interaction between interstitial atoms and moving dislocation, and then pin the dislocation, which results in dynamic strain aging phenomenon occurs. The reason why the 3rd-type strain aging does not appear under dynamic conditions may be that the solute atoms move slower than the dislocation. The dislocation cannot be pinned in time. In addition, the precipitation of a large number of nanoscale SiC precipitates weakens the "pinning" effect of interstitial atoms under dynamic loading.
2026, 46(3): 031403.
doi: 10.11883/bzycj-2025-0339
Abstract:
Machine learning techniques have been increasingly applied to the prediction of material behavior and have demonstrated clear advantages over conventional constitutive modeling approaches. The objective of this study was to develop an accurate and computationally efficient data-driven constitutive description for metallic materials under coupled temperature and strain-rate loading conditions. A CoCrFeNiMn high-entropy alloy was selected as the representative material system.Compression experiments were performed over a wide range of temperatures and strain rates to obtain true stress-strain data. Based on the experimental results, a modified Johnson-Cook constitutive model was calibrated to describe strain hardening, strain-rate sensitivity, and thermal softening effects. The calibrated model was then implemented in finite element simulations to generate a large, physically consistent dataset spanning broad thermo-mechanical conditions. This simulation-assisted data generation strategy expanded the training domain while ensuring continuity and stability of the dataset. Using the generated data, an artificial neural network (ANN) model was constructed to learn the nonlinear relationship between strain, strain rate, temperature, and flow stress. The network architecture and training strategy were optimized to improve prediction accuracy and generalization performance. To enable efficient application of the trained ANN within an explicit finite element framework, an automatic FORTRAN code generation tool was developed. The trained ANN parameters were converted into a user-defined material subroutine and embedded into the Abaqus/Explicit platform, allowing direct numerical implementation without external dependencies.The results indicate that the ANN-based constitutive model predicts flow stress with high accuracy, with relative errors remaining below one percent across the investigated loading conditions. In addition, the ANN implementation exhibits higher computational efficiency than the conventional constitutive model in explicit finite element simulations.It is concluded that the data-driven neural network approach can effectively replace traditional phenomenological constitutive models in finite element analysis. The proposed framework provides an efficient and reliable pathway for numerical modeling and simulation of metallic materials under complex thermo-mechanical conditions.
Machine learning techniques have been increasingly applied to the prediction of material behavior and have demonstrated clear advantages over conventional constitutive modeling approaches. The objective of this study was to develop an accurate and computationally efficient data-driven constitutive description for metallic materials under coupled temperature and strain-rate loading conditions. A CoCrFeNiMn high-entropy alloy was selected as the representative material system.Compression experiments were performed over a wide range of temperatures and strain rates to obtain true stress-strain data. Based on the experimental results, a modified Johnson-Cook constitutive model was calibrated to describe strain hardening, strain-rate sensitivity, and thermal softening effects. The calibrated model was then implemented in finite element simulations to generate a large, physically consistent dataset spanning broad thermo-mechanical conditions. This simulation-assisted data generation strategy expanded the training domain while ensuring continuity and stability of the dataset. Using the generated data, an artificial neural network (ANN) model was constructed to learn the nonlinear relationship between strain, strain rate, temperature, and flow stress. The network architecture and training strategy were optimized to improve prediction accuracy and generalization performance. To enable efficient application of the trained ANN within an explicit finite element framework, an automatic FORTRAN code generation tool was developed. The trained ANN parameters were converted into a user-defined material subroutine and embedded into the Abaqus/Explicit platform, allowing direct numerical implementation without external dependencies.The results indicate that the ANN-based constitutive model predicts flow stress with high accuracy, with relative errors remaining below one percent across the investigated loading conditions. In addition, the ANN implementation exhibits higher computational efficiency than the conventional constitutive model in explicit finite element simulations.It is concluded that the data-driven neural network approach can effectively replace traditional phenomenological constitutive models in finite element analysis. The proposed framework provides an efficient and reliable pathway for numerical modeling and simulation of metallic materials under complex thermo-mechanical conditions.
2026, 46(3): 031404.
doi: 10.11883/bzycj-2025-0144
Abstract:
High-entropy alloys (HEAs), as a novel class of high-performance metallic materials, have demonstrated considerable potential in the fields of damage and penetration mechanics. This study investigates the application of CoCrFeNiCux HEAs as liner materials for explosively formed projectiles (EFPs), with the objective of enhancing EFP formation quality and damage efficacy through structural optimization of the liner. Quasi-static and dynamic tensile tests were conducted to characterize the mechanical properties of the HEAs with different copper contents (x=0 and x=1). The experimental data were used to fit parameters for the Johnson-Cook (J-C) constitutive model. The results indicate that both HEA compositions exhibit outstanding plasticity, ductility, and positive strain-rate sensitivity, with dynamic yield strength increasing significantly under high strain-rate loading. Numerical simulations were performed using the nonlinear finite element software AUTODYN to compare the EFP formation processes between conventional copper liners and the proposed HEA liners. The simulations revealed that the superior strength of the HEAs impeded the complete closure of the projectile tail when using a conventional uniform wall thickness liner geometry. To address this issue, a uniform variable wall thickness design was implemented for the HEA liners. This optimization successfully improved the formed EFPs, resulting in length-to-diameter ratios of 2.0 for x=0 and 2.5 for x=1, with velocities reaching2260 m/s and 2357 m/s, respectively. The penetration performance of the optimized HEA EFPs was validated against two target types. The projectiles achieved penetration depths of 37.8 mm (x=0) and 41.5 mm (x=1) into 100-mm-thick 4340 steel targets, and 287.6 mm and 303.7 mm into 1000 -mm-thick C35 concrete targets. The crater diameters exceeded 260% of the charge caliber, confirming excellent penetration and damage capabilities. This work demonstrates that structural optimization of CoCrFeNiCux HEA liners significantly enhances EFP formation quality and penetration performance, providing a theoretical foundation and a novel strategy for the design of high-efficiency damage warheads.
High-entropy alloys (HEAs), as a novel class of high-performance metallic materials, have demonstrated considerable potential in the fields of damage and penetration mechanics. This study investigates the application of CoCrFeNiCux HEAs as liner materials for explosively formed projectiles (EFPs), with the objective of enhancing EFP formation quality and damage efficacy through structural optimization of the liner. Quasi-static and dynamic tensile tests were conducted to characterize the mechanical properties of the HEAs with different copper contents (x=0 and x=1). The experimental data were used to fit parameters for the Johnson-Cook (J-C) constitutive model. The results indicate that both HEA compositions exhibit outstanding plasticity, ductility, and positive strain-rate sensitivity, with dynamic yield strength increasing significantly under high strain-rate loading. Numerical simulations were performed using the nonlinear finite element software AUTODYN to compare the EFP formation processes between conventional copper liners and the proposed HEA liners. The simulations revealed that the superior strength of the HEAs impeded the complete closure of the projectile tail when using a conventional uniform wall thickness liner geometry. To address this issue, a uniform variable wall thickness design was implemented for the HEA liners. This optimization successfully improved the formed EFPs, resulting in length-to-diameter ratios of 2.0 for x=0 and 2.5 for x=1, with velocities reaching
2026, 46(3): 031405.
doi: 10.11883/bzycj-2025-0325
Abstract:
Aiming at the limitations of traditional metal jets in penetrating concrete targets, such as limited damage range and insufficient dynamic response, a novel double-layer energetic composite liner structure with a truncated inner layer made of high-entropy alloys/aluminum/polytetrafluoroethylene (HEA/Al/PTFE) was proposed for the first time. The hemispherical composite liner’s HEA layer was prepared using vacuum arc melting, while the Al/PTFE inner layer was formed through powder compaction and sintering. To thoroughly verify the performance advantages of the composite liner, two types of shaped charge structures were fabricated during the experimental phase for comparison: one with the composite liner and the other with a single-layer HEA liner. C35 plain concrete cylinders were used as targets, with single-point initiation at the center of the charge top. Additionally, numerical simulations of the jet formation process were conducted using the commercial finite element software ANSYS-LS-DYNA. The explosive and liner were modeled with the Smoothed Particle Hydrodynamics (SPH) algorithm to accurately capture the dispersal behavior during jet formation, while the casing was simulated with the Lagrangian algorithm to describe the expansion and fragmentation process of the outer shell. In the simulation, the high-temperature and high-strain-rate mechanical behaviors of HEA, Al/PTFE, and 45 steel were described using the Johnson-Cook constitutive model. The explosive was modeled with the classical JWL equation of state, and air was treated as an ideal gas. All relevant parameters were sourced from published literature. Based on the axisymmetric curvature characteristics of the hemispherical liner and the material discontinuity introduced by truncation, a partitioned formation theoretical model was further established. An energy loss coefficient η (η=0.2) was introduced to modify the detonation energy transfer process. According to the truncation angle, the composite liner was divided into two regions with different physical mechanisms. The jet radius and slug radius for each region were derived using mass and momentum conservation. Experimental results show that both the composite liner and the single-layer HEA liner can form stable penetrating jets, achieving complete penetration of the concrete targets. Compared to the single-layer HEA liner, the composite structure significantly enhances the fragmentation and crack propagation capabilities inside the concrete. Numerical simulation results indicate that the Al/PTFE inner layer exhibits a “coating and cohesive” effect on the HEA jet, effectively suppressing radial dispersion and improving the continuity of the mid-section of the jet. However, multiple collision-following-separation behaviors between the inner layer and the main jet delay the system from reaching dynamic equilibrium. The established partitioned formation theoretical model demonstrates good predictive accuracy, with relative errors of less than 15% between the predicted jet and slug radii and the numerical simulation results. Further parametric analysis reveals that the thickness and height of the inner layer significantly influence jet formation. The optimal parameter combination is a thickness of 3.5 mm and a height of 12 mm, which achieves the best balance between suppressing radial dispersion, maintaining jet length, and enhancing mid-section cohesion. This composite liner effectively integrates the excellent mechanical properties of HEA with the high energy release characteristics of Al/PTFE. The established partitioned formation theoretical model provides a reliable theoretical basis for the design of hemispherical composite liners. The research findings offer important theoretical and experimental support for the optimized design and engineering application of novel energetic composite liners.
Aiming at the limitations of traditional metal jets in penetrating concrete targets, such as limited damage range and insufficient dynamic response, a novel double-layer energetic composite liner structure with a truncated inner layer made of high-entropy alloys/aluminum/polytetrafluoroethylene (HEA/Al/PTFE) was proposed for the first time. The hemispherical composite liner’s HEA layer was prepared using vacuum arc melting, while the Al/PTFE inner layer was formed through powder compaction and sintering. To thoroughly verify the performance advantages of the composite liner, two types of shaped charge structures were fabricated during the experimental phase for comparison: one with the composite liner and the other with a single-layer HEA liner. C35 plain concrete cylinders were used as targets, with single-point initiation at the center of the charge top. Additionally, numerical simulations of the jet formation process were conducted using the commercial finite element software ANSYS-LS-DYNA. The explosive and liner were modeled with the Smoothed Particle Hydrodynamics (SPH) algorithm to accurately capture the dispersal behavior during jet formation, while the casing was simulated with the Lagrangian algorithm to describe the expansion and fragmentation process of the outer shell. In the simulation, the high-temperature and high-strain-rate mechanical behaviors of HEA, Al/PTFE, and 45 steel were described using the Johnson-Cook constitutive model. The explosive was modeled with the classical JWL equation of state, and air was treated as an ideal gas. All relevant parameters were sourced from published literature. Based on the axisymmetric curvature characteristics of the hemispherical liner and the material discontinuity introduced by truncation, a partitioned formation theoretical model was further established. An energy loss coefficient η (η=0.2) was introduced to modify the detonation energy transfer process. According to the truncation angle, the composite liner was divided into two regions with different physical mechanisms. The jet radius and slug radius for each region were derived using mass and momentum conservation. Experimental results show that both the composite liner and the single-layer HEA liner can form stable penetrating jets, achieving complete penetration of the concrete targets. Compared to the single-layer HEA liner, the composite structure significantly enhances the fragmentation and crack propagation capabilities inside the concrete. Numerical simulation results indicate that the Al/PTFE inner layer exhibits a “coating and cohesive” effect on the HEA jet, effectively suppressing radial dispersion and improving the continuity of the mid-section of the jet. However, multiple collision-following-separation behaviors between the inner layer and the main jet delay the system from reaching dynamic equilibrium. The established partitioned formation theoretical model demonstrates good predictive accuracy, with relative errors of less than 15% between the predicted jet and slug radii and the numerical simulation results. Further parametric analysis reveals that the thickness and height of the inner layer significantly influence jet formation. The optimal parameter combination is a thickness of 3.5 mm and a height of 12 mm, which achieves the best balance between suppressing radial dispersion, maintaining jet length, and enhancing mid-section cohesion. This composite liner effectively integrates the excellent mechanical properties of HEA with the high energy release characteristics of Al/PTFE. The established partitioned formation theoretical model provides a reliable theoretical basis for the design of hemispherical composite liners. The research findings offer important theoretical and experimental support for the optimized design and engineering application of novel energetic composite liners.
2026, 46(3): 033101.
doi: 10.11883/bzycj-2025-0046
Abstract:
In response to the insufficient lightweight issue of the baffle plate for the nose end frame with an aluminum alloy stiffened structure in active civil aircraft, a new type of aluminum foam sandwich baffle structure is proposed based on an in-depth exploration of the energy absorption mechanism of aluminum foam sandwich structures against bird impact. This innovative design employs an asymmetric panel configuration that includes a highly ductile 2024-T3 aluminum alloy upper face sheet, a high-strength 7075-T6 aluminum alloy lower face sheet, and an aluminum foam core layer in between. It replaces the traditional aluminum alloy stiffened panel, aiming to significantly reduce structural weight while ensuring excellent bird strike resistance. First, the effectiveness of the bird body constitutive model and its contact algorithm was verified by comparing the high-speed bird body impact test on aluminum alloy flat plates with the simulated strain data. Based on previous experimental data, combined with parameter inversion and simulation cases, the simulation data of homogeneous and gradient aluminum foams are in good agreement with the test results, which verifies the accuracy and applicability of the aluminum foam material constitutive model. Furthermore, using the professional Pam-crash software, transient impact dynamics simulations of bird strikes were conducted on both the stiffened panel structure and the aluminum foam sandwich structure end frame. Combined with the damage and deformation conditions of each component and energy absorption data, a comparative analysis was made on the differences in their impact response characteristics and energy absorption mechanisms. The study shows that the stiffened panel mainly absorbs the energy of bird body impact through its plastic deformation, while the aluminum foam sandwich structure absorbs energy synergistically through the compressive collapse failure of the core layer and the large plastic deformation mechanism of the upper face sheet. The optimized aluminum foam sandwich structure is significantly superior to the traditional stiffened panel structure in terms of energy absorption efficiency. Subsequently, a full-coverage optimization design scheme for the baffle was completed based on the energy absorption characteristics of the aluminum foam sandwich structure. According to the full-coverage bird impact simulation results, the proposed aluminum foam sandwich baffle design achieves a structural weight reduction of more than 30% while maintaining the same bird strike resistance performance as the in-service structure. This research provides reliable technical references and innovative ideas for the lightweight bird strike-resistant design of the civil aircraft nose bulkhead.
In response to the insufficient lightweight issue of the baffle plate for the nose end frame with an aluminum alloy stiffened structure in active civil aircraft, a new type of aluminum foam sandwich baffle structure is proposed based on an in-depth exploration of the energy absorption mechanism of aluminum foam sandwich structures against bird impact. This innovative design employs an asymmetric panel configuration that includes a highly ductile 2024-T3 aluminum alloy upper face sheet, a high-strength 7075-T6 aluminum alloy lower face sheet, and an aluminum foam core layer in between. It replaces the traditional aluminum alloy stiffened panel, aiming to significantly reduce structural weight while ensuring excellent bird strike resistance. First, the effectiveness of the bird body constitutive model and its contact algorithm was verified by comparing the high-speed bird body impact test on aluminum alloy flat plates with the simulated strain data. Based on previous experimental data, combined with parameter inversion and simulation cases, the simulation data of homogeneous and gradient aluminum foams are in good agreement with the test results, which verifies the accuracy and applicability of the aluminum foam material constitutive model. Furthermore, using the professional Pam-crash software, transient impact dynamics simulations of bird strikes were conducted on both the stiffened panel structure and the aluminum foam sandwich structure end frame. Combined with the damage and deformation conditions of each component and energy absorption data, a comparative analysis was made on the differences in their impact response characteristics and energy absorption mechanisms. The study shows that the stiffened panel mainly absorbs the energy of bird body impact through its plastic deformation, while the aluminum foam sandwich structure absorbs energy synergistically through the compressive collapse failure of the core layer and the large plastic deformation mechanism of the upper face sheet. The optimized aluminum foam sandwich structure is significantly superior to the traditional stiffened panel structure in terms of energy absorption efficiency. Subsequently, a full-coverage optimization design scheme for the baffle was completed based on the energy absorption characteristics of the aluminum foam sandwich structure. According to the full-coverage bird impact simulation results, the proposed aluminum foam sandwich baffle design achieves a structural weight reduction of more than 30% while maintaining the same bird strike resistance performance as the in-service structure. This research provides reliable technical references and innovative ideas for the lightweight bird strike-resistant design of the civil aircraft nose bulkhead.
2026, 46(3): 033102.
doi: 10.11883/bzycj-2025-0208
Abstract:
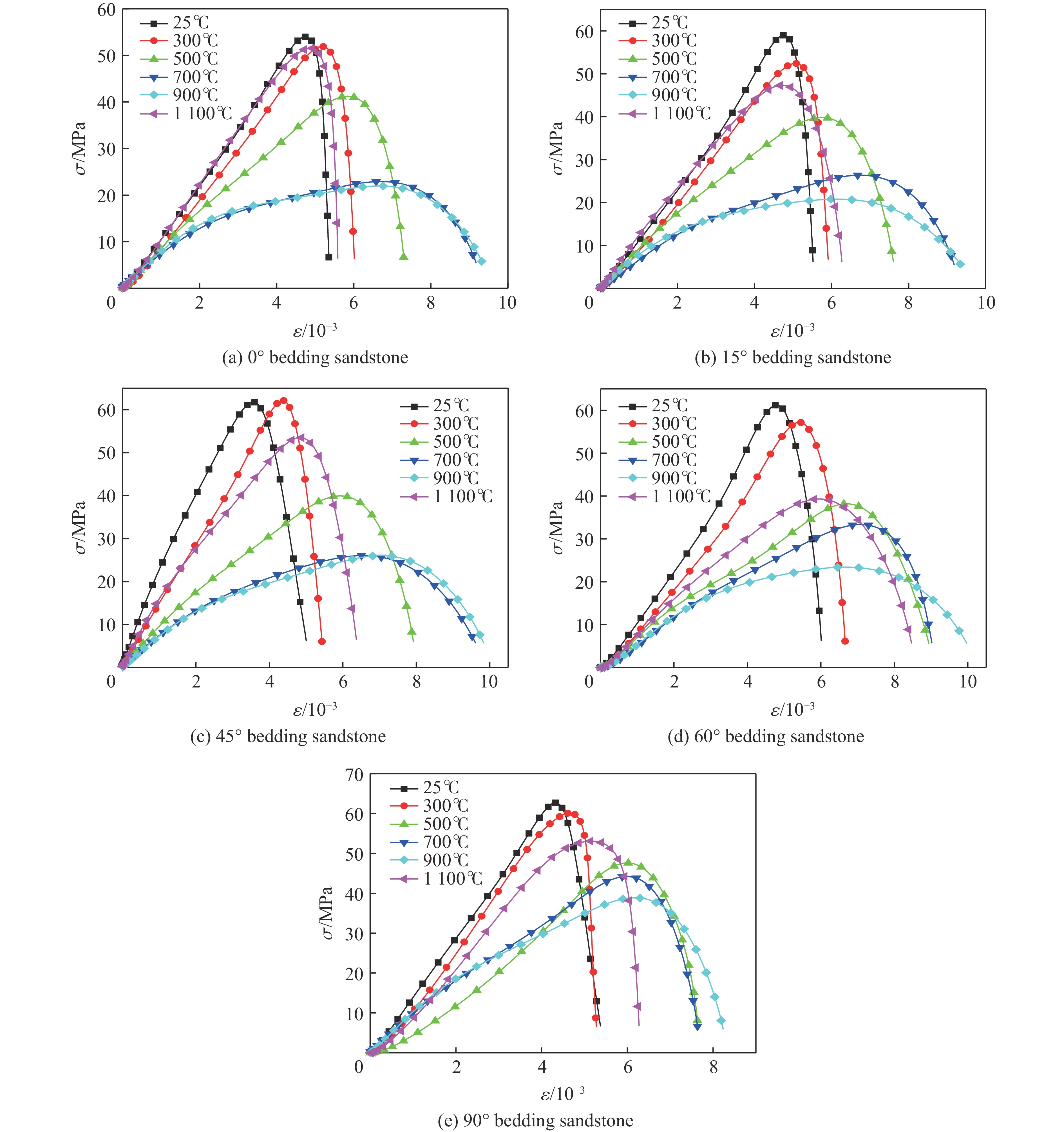
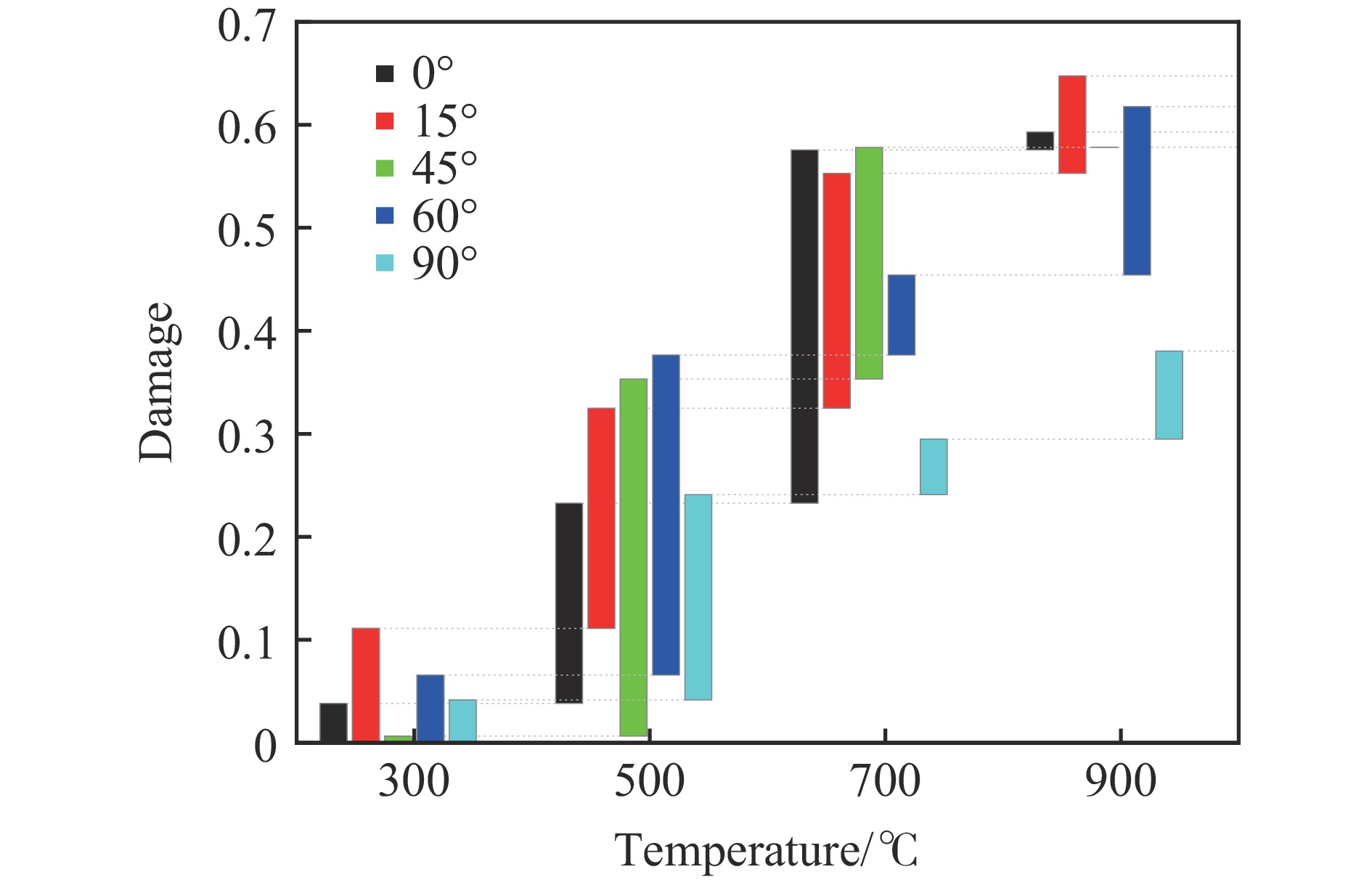
To investigate the dynamic characteristics and dynamic damage constitutive model of high-temperature bedding sandstone under cyclic impact, the physical properties of bedding sandstone after exposure to 300−1100 ℃ were first examined, and the influence of temperature on the color, mineral composition, mass and wave velocity of the specimens was recorded. Second, the dynamic characteristics of high-temperature bedding sandstone under cyclic impact were studied with a split Hopkinson pressure bar (SHPB) apparatus, and the dynamic responses of bedding sandstone at different strain rates and impact numbers were analyzed. Finally, on the basis of the visco-elastic damage element model for bedding rock, a dynamic constitutive model that accounts for high-temperature-impact-load coupling damage was established and verified against experimental data. The results show that the crystallization temperature of the dominant mineral quartz lies between 500 ℃ and 700 ℃; the higher the temperature, the darker the apparent color of the rock and the lower its mass. With increasing temperature, the wave velocity and peak stress first decrease and then increase. Temperature inflicts greater damage on 0° and 45° bedding sandstone, and the damage is most pronounced at 900 ℃. Under an impact voltage of 1300 V, the peak stress of bedding sandstone increases and then decreases with increasing impact number. Impact loading renders 0° bedding sandstone more susceptible to failure after high-temperature exposure, whereas 45° and 60° bedding sandstone exhibit strong impact resistance. The difference between the predicted and experimental curves is small, indicating that the model satisfactorily describes the cyclic-impact mechanical behavior of high-temperature bedding sandstone. The findings provide a valuable theoretical reference for the prevention and control of rock dynamic disasters in complex deep geothermal engineering environments.
To investigate the dynamic characteristics and dynamic damage constitutive model of high-temperature bedding sandstone under cyclic impact, the physical properties of bedding sandstone after exposure to 300−
2026, 46(3): 033103.
doi: 10.11883/bzycj-2025-0164
Abstract:
The catenary reinforced method can enhance the crashworthiness of re-entrant honeycomb (RH) by avoiding hollow structural characteristics, strengthening negative Poission’s ratio effect, and utilizing the high load-bearing effectiveness of catenary structures. Based on the above effects the sandwich beam with reinforced RH (RRH) was proposed. The metallic specimens from the proposed structure were fabricated for three-point bending tests. Results show that the introduced catenary structure can limit the rotation deformation of inclined cell walls around vertices, and the drop in load-bearing force after initial plastic deformation is reduced from 29.3% to 6.6%. Compared to classical RH cored beams, the maximum load-bearing force and energy absorption of RRH ones can be improved by 26.7% and 8.9%, respectively. A parametric analysis was conducted to reveal that the thicknesses of front facesheet, back facesheet, and core had a significant effect on deformation behavior and energy absorption of RRH cored sandwich beams. The thickness of front facesheets, cores, and back facesheets was employed as optimization variables, and the mass, maximum load-bearing force, and energy absorption were used as optimization objectives to perform the multi-objective optimization of RRH cored sandwich beams. The optimized sandwich beam exhibits increases of 64.9% in maximum load-bearing capacity and 46.9% in energy absorption. The impact resistance of conventional honeycomb sandwich beams under in-plane and out-of-plane loading was compared at identical wall thickness and mass, respectively. Analysis demonstrated the superior energy-absorbing protective performance of the proposed RRH sandwich beams. The research results can provide useful guidance for the reinforcement design of honeycomb cored sandwich beams.
The catenary reinforced method can enhance the crashworthiness of re-entrant honeycomb (RH) by avoiding hollow structural characteristics, strengthening negative Poission’s ratio effect, and utilizing the high load-bearing effectiveness of catenary structures. Based on the above effects the sandwich beam with reinforced RH (RRH) was proposed. The metallic specimens from the proposed structure were fabricated for three-point bending tests. Results show that the introduced catenary structure can limit the rotation deformation of inclined cell walls around vertices, and the drop in load-bearing force after initial plastic deformation is reduced from 29.3% to 6.6%. Compared to classical RH cored beams, the maximum load-bearing force and energy absorption of RRH ones can be improved by 26.7% and 8.9%, respectively. A parametric analysis was conducted to reveal that the thicknesses of front facesheet, back facesheet, and core had a significant effect on deformation behavior and energy absorption of RRH cored sandwich beams. The thickness of front facesheets, cores, and back facesheets was employed as optimization variables, and the mass, maximum load-bearing force, and energy absorption were used as optimization objectives to perform the multi-objective optimization of RRH cored sandwich beams. The optimized sandwich beam exhibits increases of 64.9% in maximum load-bearing capacity and 46.9% in energy absorption. The impact resistance of conventional honeycomb sandwich beams under in-plane and out-of-plane loading was compared at identical wall thickness and mass, respectively. Analysis demonstrated the superior energy-absorbing protective performance of the proposed RRH sandwich beams. The research results can provide useful guidance for the reinforcement design of honeycomb cored sandwich beams.
2026, 46(3): 033301.
doi: 10.11883/bzycj-2025-0041
Abstract:
With the rapid development of hypervelocity weapons, analyzing the penetration effectiveness of hypervelocity weapon warheads on concrete shields is significant for the design of newly-built protective structures and the safety evaluation of as-built protective structures. Focusing on the penetration performance of AGM-183A hypervelocity weapon warhead against three typical shields: normal strength concrete (NSC), ultra-high performance concrete (UHPC), and corundum rubble concrete (CRC), firstly, the reliability of the numerical algorithms, mesh size, and material model parameters used in the finite element analysis method was fully validated by comparing the experimental and simulation results of three types of target subjected to penetration of steel/tungsten alloy projectiles. Subsequently, a numerical analysis method for the prototype scenario was established based on a mesh transition strategy equivalent to penetration depth and recovered projectile length. Finally, a series of simulations were conducted for the AGM-183A hypervelocity weapon warhead penetrating the aforementioned three shields at Ma ranging from 3 to 8. The results indicate that: (1) the AGM-183A hypervelocity weapon warhead reaches maximum penetration depth when NSC, UHPC, and CRC shields subjected to penetration at Ma=4, Ma=4, and Ma=3, respectively, with depths of 4.26, 3.74, and 1.00 m. Due to instability phenomena of projectiles, such as fractures at the junction between the head and body caused by local stress concentration, further increases in penetration velocity lead to a decrease in penetration effectiveness; (2) compared with the combined penetration and explosion damage depths of conventional sound speed penetrating warheads SDB, WDU-43/B, and BLU-109/B, the penetration depths induced by AGM-183A into NSC, UHPC, and CRC shields are 3.2, 1.6, and 1.8 times, 4.7, 2.1, and 2.2 times, and 3.4, 1.3, and 1.5 times higher, respectively; (3) the recommended design thicknesses of the three shields against the AGM-183A hypervelocity weapon warhead are 8.01, 7.03, and 1.88 m, respectively. The UHPC shield shows no significant improvement subjected to hypervelocity penetration compared with the NSC shield. Comparatively, the CRC shield is recommended for shield design, which can be effectively subjected to both conventional subsonic and hypervelocity impacts.
With the rapid development of hypervelocity weapons, analyzing the penetration effectiveness of hypervelocity weapon warheads on concrete shields is significant for the design of newly-built protective structures and the safety evaluation of as-built protective structures. Focusing on the penetration performance of AGM-183A hypervelocity weapon warhead against three typical shields: normal strength concrete (NSC), ultra-high performance concrete (UHPC), and corundum rubble concrete (CRC), firstly, the reliability of the numerical algorithms, mesh size, and material model parameters used in the finite element analysis method was fully validated by comparing the experimental and simulation results of three types of target subjected to penetration of steel/tungsten alloy projectiles. Subsequently, a numerical analysis method for the prototype scenario was established based on a mesh transition strategy equivalent to penetration depth and recovered projectile length. Finally, a series of simulations were conducted for the AGM-183A hypervelocity weapon warhead penetrating the aforementioned three shields at Ma ranging from 3 to 8. The results indicate that: (1) the AGM-183A hypervelocity weapon warhead reaches maximum penetration depth when NSC, UHPC, and CRC shields subjected to penetration at Ma=4, Ma=4, and Ma=3, respectively, with depths of 4.26, 3.74, and 1.00 m. Due to instability phenomena of projectiles, such as fractures at the junction between the head and body caused by local stress concentration, further increases in penetration velocity lead to a decrease in penetration effectiveness; (2) compared with the combined penetration and explosion damage depths of conventional sound speed penetrating warheads SDB, WDU-43/B, and BLU-109/B, the penetration depths induced by AGM-183A into NSC, UHPC, and CRC shields are 3.2, 1.6, and 1.8 times, 4.7, 2.1, and 2.2 times, and 3.4, 1.3, and 1.5 times higher, respectively; (3) the recommended design thicknesses of the three shields against the AGM-183A hypervelocity weapon warhead are 8.01, 7.03, and 1.88 m, respectively. The UHPC shield shows no significant improvement subjected to hypervelocity penetration compared with the NSC shield. Comparatively, the CRC shield is recommended for shield design, which can be effectively subjected to both conventional subsonic and hypervelocity impacts.
2026, 46(3): 033302.
doi: 10.11883/bzycj-2024-0505
Abstract:
In response to the research demand for the impact resistance of carbon fiber-reinforced polymer (CFRP) laminates commonly used in aircraft, spherical fragment penetration and static blast tests were conducted on T800/3200 CFRP laminates, with CT scanning technology and damage assessment theories employed for further analysis. The damage characteristics and performance of T800/3200 CFRP laminates under two typical loads-fragment penetration and explosive shock waves-were investigated and compared with 2024-T3 aluminum, a material widely used in the aviation manufacturing industry. Two control groups were established: tungsten fragments impacting aerospace aluminum plates and tungsten steel fragments striking CFRP laminates. Impact velocities and residual velocities were precisely measured using high-speed photography. During fragment penetration tests, relationships among incident velocity, residual velocity, and energy absorption were analyzed based on the Recht–Ipson ballistic limit model. The internal damage morphology of CFRP targets was examined in detail using high-resolution CT scanning technology to characterize delamination patterns and progressive failure across different depths and plies. In blast tests, the damage morphology and maximum deflection of target plates were systematically observed and recorded. The blast resistance of CFRP laminates and aluminum plates was quantitatively compared using advanced mathematical methods incorporating boundary condition equivalence and overpressure equivalence principles to ensure a fair and accurate comparison. The results show that, after spherical fragment penetration, the T800/3200 CFRP laminate generates a delamination damage zone resembling a truncated cone, with the volume of the cone decreasing as the penetration velocity of fragments increases. The T800/3200 CFRP laminate exhibits inferior performance against fragment penetration compared with aerospace aluminum but offers significantly enhanced blast resistance. This characteristic makes it more effective in maintaining structural safety and aerodynamic stability during flight missions under explosive threats. The findings provide theoretical and empirical support for improving the safety and reliability of aerospace vehicles through optimized material selection and structural design.
In response to the research demand for the impact resistance of carbon fiber-reinforced polymer (CFRP) laminates commonly used in aircraft, spherical fragment penetration and static blast tests were conducted on T800/3200 CFRP laminates, with CT scanning technology and damage assessment theories employed for further analysis. The damage characteristics and performance of T800/3200 CFRP laminates under two typical loads-fragment penetration and explosive shock waves-were investigated and compared with 2024-T3 aluminum, a material widely used in the aviation manufacturing industry. Two control groups were established: tungsten fragments impacting aerospace aluminum plates and tungsten steel fragments striking CFRP laminates. Impact velocities and residual velocities were precisely measured using high-speed photography. During fragment penetration tests, relationships among incident velocity, residual velocity, and energy absorption were analyzed based on the Recht–Ipson ballistic limit model. The internal damage morphology of CFRP targets was examined in detail using high-resolution CT scanning technology to characterize delamination patterns and progressive failure across different depths and plies. In blast tests, the damage morphology and maximum deflection of target plates were systematically observed and recorded. The blast resistance of CFRP laminates and aluminum plates was quantitatively compared using advanced mathematical methods incorporating boundary condition equivalence and overpressure equivalence principles to ensure a fair and accurate comparison. The results show that, after spherical fragment penetration, the T800/3200 CFRP laminate generates a delamination damage zone resembling a truncated cone, with the volume of the cone decreasing as the penetration velocity of fragments increases. The T800/3200 CFRP laminate exhibits inferior performance against fragment penetration compared with aerospace aluminum but offers significantly enhanced blast resistance. This characteristic makes it more effective in maintaining structural safety and aerodynamic stability during flight missions under explosive threats. The findings provide theoretical and empirical support for improving the safety and reliability of aerospace vehicles through optimized material selection and structural design.
2026, 46(3): 034201.
doi: 10.11883/bzycj-2024-0443
Abstract:
Supercritical CO2 phase transition rock-breaking is a dynamic destruction process under the combined action of shock waves and high-pressure gas. To deeply investigate the rock-breaking mechanisms of supercritical CO2 phase transition under multi-hole synchronous initiation and in-situ stress coupling conditions, targeting the actual working conditions of CO2 field rock-breaking, the initial rock-breaking pressure of a single hole was analyzed based on the thin-walled cylinder theory. A predictive model for the joint rock-breaking radius of multi-hole shock waves and high-pressure gas under in-situ stress was developed by integrating the one-dimensional detonation gas expansion theory. Field experiments on multi-hole CO2 phase transition rock-breaking were subsequently conducted for comparative validation. The results show that when the fracturing pipe is buried shallowly, the influence of in-situ stress on the stress distribution of the rock mass is relatively weak. When the pressure of a single hole is consistent, the more fracturing holes there are, the greater the superposed peak stress of each hole. In the direction perpendicular to the layout of the test hole, the peak stress of each hole shows a U-shaped parabolic distribution. The superposed stress of the fracturing holes at both ends is the largest. In the direction parallel to the layout of the test hole, the peak stress of each hole shows an inverted U-shaped parabolic distribution, and the superposed stress of the middle fracturing hole is the largest. In addition, the rock mass damage and fracture range under multi-pore impact obtained by acoustic wave testing in the field is in the shape of a three-dimensional funnel. The vertical damage and fracture range is between 5.05 and 5.73 m, and the planar damage and fracture range is between 4.3 and 5.6 m. The error between the measured value of the planar damage and fracture range and the theoretically calculated value is between 5.0% and 18.7%. The calculation error mainly comes from the uneven superposition stress of each fracturing hole. Further analysis shows that the radius of supercritical CO2 phase transition rock-breaking increases semi-parabolically with the superposed stress of the fracturing hole and increases logarithmically with the depth of the fracturing hole. As the compressive strength of the rock mass increases, the rock fracture toughness increases nearly linearly, and the corresponding rock-breaking radius decreases nearly linearly. The research results can provide a quantitative design basis for optimizing engineering parameters in the multi-pore supercritical CO2 phase transition for rock-breaking.
Supercritical CO2 phase transition rock-breaking is a dynamic destruction process under the combined action of shock waves and high-pressure gas. To deeply investigate the rock-breaking mechanisms of supercritical CO2 phase transition under multi-hole synchronous initiation and in-situ stress coupling conditions, targeting the actual working conditions of CO2 field rock-breaking, the initial rock-breaking pressure of a single hole was analyzed based on the thin-walled cylinder theory. A predictive model for the joint rock-breaking radius of multi-hole shock waves and high-pressure gas under in-situ stress was developed by integrating the one-dimensional detonation gas expansion theory. Field experiments on multi-hole CO2 phase transition rock-breaking were subsequently conducted for comparative validation. The results show that when the fracturing pipe is buried shallowly, the influence of in-situ stress on the stress distribution of the rock mass is relatively weak. When the pressure of a single hole is consistent, the more fracturing holes there are, the greater the superposed peak stress of each hole. In the direction perpendicular to the layout of the test hole, the peak stress of each hole shows a U-shaped parabolic distribution. The superposed stress of the fracturing holes at both ends is the largest. In the direction parallel to the layout of the test hole, the peak stress of each hole shows an inverted U-shaped parabolic distribution, and the superposed stress of the middle fracturing hole is the largest. In addition, the rock mass damage and fracture range under multi-pore impact obtained by acoustic wave testing in the field is in the shape of a three-dimensional funnel. The vertical damage and fracture range is between 5.05 and 5.73 m, and the planar damage and fracture range is between 4.3 and 5.6 m. The error between the measured value of the planar damage and fracture range and the theoretically calculated value is between 5.0% and 18.7%. The calculation error mainly comes from the uneven superposition stress of each fracturing hole. Further analysis shows that the radius of supercritical CO2 phase transition rock-breaking increases semi-parabolically with the superposed stress of the fracturing hole and increases logarithmically with the depth of the fracturing hole. As the compressive strength of the rock mass increases, the rock fracture toughness increases nearly linearly, and the corresponding rock-breaking radius decreases nearly linearly. The research results can provide a quantitative design basis for optimizing engineering parameters in the multi-pore supercritical CO2 phase transition for rock-breaking.
2026, 46(3): 034202.
doi: 10.11883/bzycj-2025-0178
Abstract:
With the development of modern weapon systems, the requirements for the survivability of ammunition in various complex environments have been continuously increasing. During the processes of storage, flight, and combat, ammunition may be subjected to extreme impact loads such as high-speed impacts, shock waves, bullet and fragment impacts. The external impacts can induce plastic deformation and fracture of the ammunition casing, and even detonate the internal explosives. These responses involve complex phenomena including impact loading, thermo-mechanical coupling of materials, chemical reactions of explosives, and blast effects, representing a typical dynamic response problem of reactive materials under extreme thermo-mechanical coupling conditions. Accurately predicting the responses of ammunition under impact loading is critical for its design optimization and safety assessment. Based on the Hot Optimal Transportation Meshfree (HOTM) method, a meshfree numerical approach was proposed to accurately predict the ammunition responses under different impact loadings. Meanwhile, a thermo-mechanical-chemical coupling constitutive model of explosives was established, which took the effects of temperature and pressure on the explosive’s chemical reaction and detonation into account. The Arrhenius thermal-chemical reaction coupling model for explosive initiation and the Lee-Tarver three-term pressure ignition model induced by local high pressure were integrated to accurately simulate the different initiation mechanisms of explosives under varying impact velocities, thereby predict complex physical phenomena during the impact loading of ammunition. These phenomena include high-speed contact, large plastic deformation of the metal casing, material fracture, heat conduction, explosive initiation, and the expansion work performed by chemical reaction products. Taking the numerical simulations of two typical impact scenarios—bullet impact on ammunition at 850 m/s and fragment impact at1850 m/s—as examples, the influence of impact velocity on the initiation mechanisms of explosives and the overall response of ammunition was analyzed, with comparisons made against relevant experimental results. The proposed approach and findings provide reliable technical support for the optimization of impact-resistant design and safety assessment of ammunition.
With the development of modern weapon systems, the requirements for the survivability of ammunition in various complex environments have been continuously increasing. During the processes of storage, flight, and combat, ammunition may be subjected to extreme impact loads such as high-speed impacts, shock waves, bullet and fragment impacts. The external impacts can induce plastic deformation and fracture of the ammunition casing, and even detonate the internal explosives. These responses involve complex phenomena including impact loading, thermo-mechanical coupling of materials, chemical reactions of explosives, and blast effects, representing a typical dynamic response problem of reactive materials under extreme thermo-mechanical coupling conditions. Accurately predicting the responses of ammunition under impact loading is critical for its design optimization and safety assessment. Based on the Hot Optimal Transportation Meshfree (HOTM) method, a meshfree numerical approach was proposed to accurately predict the ammunition responses under different impact loadings. Meanwhile, a thermo-mechanical-chemical coupling constitutive model of explosives was established, which took the effects of temperature and pressure on the explosive’s chemical reaction and detonation into account. The Arrhenius thermal-chemical reaction coupling model for explosive initiation and the Lee-Tarver three-term pressure ignition model induced by local high pressure were integrated to accurately simulate the different initiation mechanisms of explosives under varying impact velocities, thereby predict complex physical phenomena during the impact loading of ammunition. These phenomena include high-speed contact, large plastic deformation of the metal casing, material fracture, heat conduction, explosive initiation, and the expansion work performed by chemical reaction products. Taking the numerical simulations of two typical impact scenarios—bullet impact on ammunition at 850 m/s and fragment impact at


PDF
Cited by
Read OL