2020 Vol. 40, No. 5
Display Method:
2020, 40(5): 052201.
doi: 10.11883/bzycj-2019-0150
Abstract:
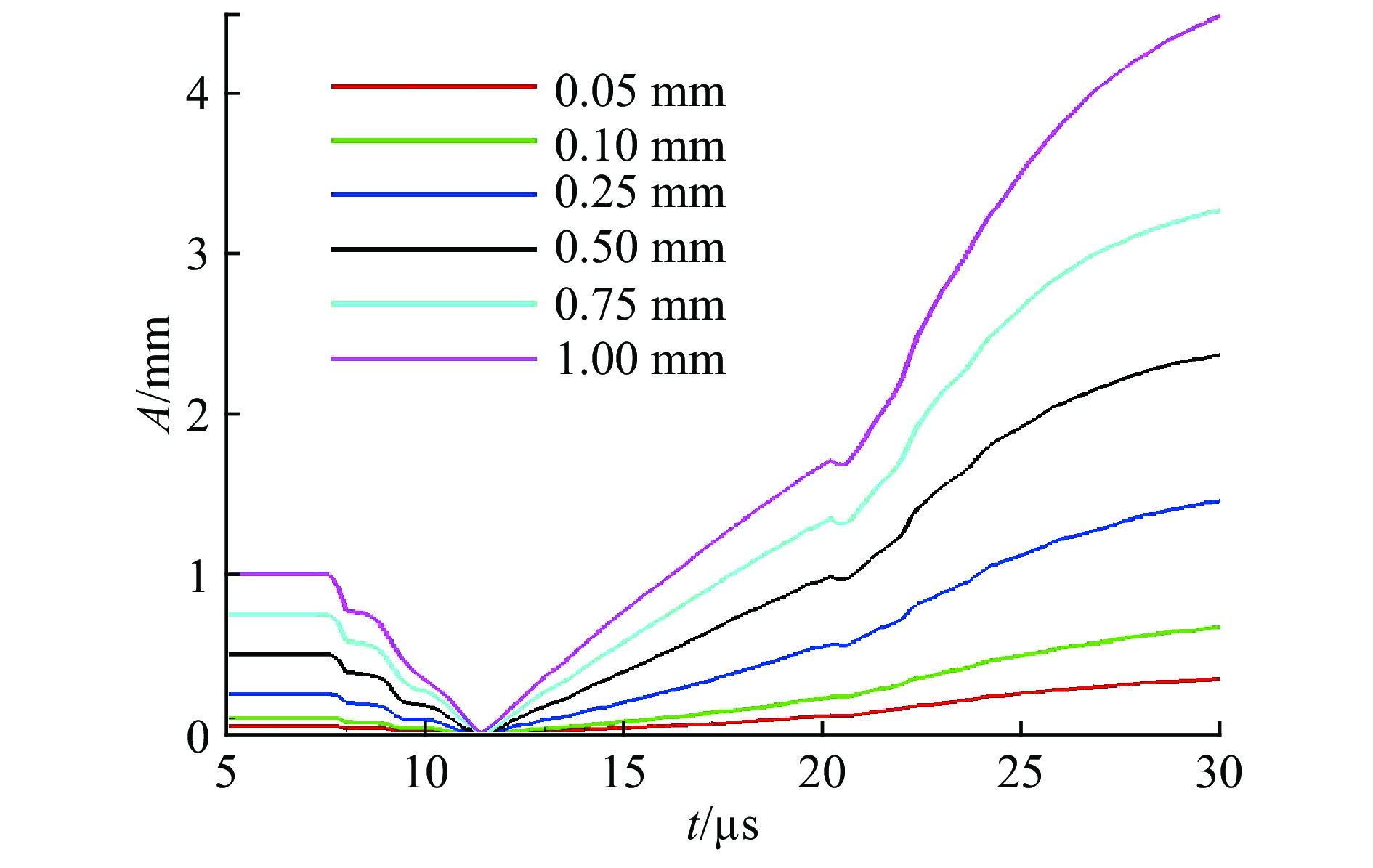
In this paper, the dynamical behavior of metal interface instability driven by implosion in cylindrical convergent geometry is numerically investigated by using an in-house high-fidelity detonation and shock wave program. The results indicate that, in the development process of perturbed interface, the RM instability is primary from the initial shock to 12 μs; after 12 μs and before rebound loading of the convergent shock wave, the interface moves towards the center deceleratedly with an increasing acceleration, and the RT instability dominates the evolution of perturbed interface; after the re-shock, the perturbation growth is dominated by the RM instability again. The effects of initial conditions such as the initial amplitude, wavelength (mode number), thickness of steel shell and geometry configuration on the metal interface instability driven by cylindrical implosion are also investigated. It is shown that, the instantaneous amplitude is larger when the initial amplitude is larger; the instantaneous amplitude is smaller when the initial wavelength is smaller, and a cutoff wavelength exists; the larger thickness of steel shell can suppress the perturbation growth, and a cutoff thickness also exists; the geometrical convergent effect causes the perturbation to grow faster.
In this paper, the dynamical behavior of metal interface instability driven by implosion in cylindrical convergent geometry is numerically investigated by using an in-house high-fidelity detonation and shock wave program. The results indicate that, in the development process of perturbed interface, the RM instability is primary from the initial shock to 12 μs; after 12 μs and before rebound loading of the convergent shock wave, the interface moves towards the center deceleratedly with an increasing acceleration, and the RT instability dominates the evolution of perturbed interface; after the re-shock, the perturbation growth is dominated by the RM instability again. The effects of initial conditions such as the initial amplitude, wavelength (mode number), thickness of steel shell and geometry configuration on the metal interface instability driven by cylindrical implosion are also investigated. It is shown that, the instantaneous amplitude is larger when the initial amplitude is larger; the instantaneous amplitude is smaller when the initial wavelength is smaller, and a cutoff wavelength exists; the larger thickness of steel shell can suppress the perturbation growth, and a cutoff thickness also exists; the geometrical convergent effect causes the perturbation to grow faster.
2020, 40(5): 052202.
doi: 10.11883/bzycj-2019-0091
Abstract:
In order to study the interaction between running cracks and voids in the offset distance of different prefabricated cracks, setting the offset distance of the pre-crack as the unique variables, do impact three-point bending test on PMMA specimens with voids based on dynamic caustics experiment system. Researches show that: There are two critical distances, 6 mm (2R), 9 mm (3R). At these distances, the extended trajectory and dynamic fracture characteristics of the crack change significantly. (1) When the pre-crack offset distance is no greater than 3 mm, the specimen cracks for the second time. The rate and stress intensity factor of the second crack initiation are significantly greater than the first. The fractal dimension of the crack trajectory is the minimum when the pre-crack does not offset. (2) When the offset distance is increased to 6 mm, the void is attracted to the crack and then repelled, but the crack never penetrates the void. Crack velocity and stress intensity factor decrease firstly and then increase. The fractal dimension of the crack trajectory is up to the maximum. (3)When the offset distance is greater than 6 mm, the attraction of voids to cracks is gradually reduced. When the offset distance is greater than 9 mm, the attraction of void to cracks is no longer significant. Crack expands to the falling hammer after crack initiation and finally penetrates the test piece.
In order to study the interaction between running cracks and voids in the offset distance of different prefabricated cracks, setting the offset distance of the pre-crack as the unique variables, do impact three-point bending test on PMMA specimens with voids based on dynamic caustics experiment system. Researches show that: There are two critical distances, 6 mm (2R), 9 mm (3R). At these distances, the extended trajectory and dynamic fracture characteristics of the crack change significantly. (1) When the pre-crack offset distance is no greater than 3 mm, the specimen cracks for the second time. The rate and stress intensity factor of the second crack initiation are significantly greater than the first. The fractal dimension of the crack trajectory is the minimum when the pre-crack does not offset. (2) When the offset distance is increased to 6 mm, the void is attracted to the crack and then repelled, but the crack never penetrates the void. Crack velocity and stress intensity factor decrease firstly and then increase. The fractal dimension of the crack trajectory is up to the maximum. (3)When the offset distance is greater than 6 mm, the attraction of voids to cracks is gradually reduced. When the offset distance is greater than 9 mm, the attraction of void to cracks is no longer significant. Crack expands to the falling hammer after crack initiation and finally penetrates the test piece.
2020, 40(5): 052203.
doi: 10.11883/bzycj-2019-0364
Abstract:
To further investigate the failure mechanism of geotechnical materials under implosion loading, a novel blasting crack detection algorithm is proposed in this paper, the digital image correlation method is used to measure the surface displacement field and strain field, the crack propagation and expansion model is built. A concrete blasting experiment was carried out, the crack propagation and expansion process were measured and analyzed. The results show that the propagation of crack is a combined action of stress wave and explosive products. The maximum velocity is 225.95 m/s, the average velocity is 122.27 m/s, the total length is 159.92 mm, and the length propagation ceases at 1.75 ms. The opening of the crack is dominated by explosive products with a maximum width of 1.59 mm. The action time of explosive products is 4.5 ms. The tensile strain concentration zone appears before the initiation of crack and its shape determines the tendency of the crack. The fracture process zone is about 8−9 times of the maximum aggregate size.
To further investigate the failure mechanism of geotechnical materials under implosion loading, a novel blasting crack detection algorithm is proposed in this paper, the digital image correlation method is used to measure the surface displacement field and strain field, the crack propagation and expansion model is built. A concrete blasting experiment was carried out, the crack propagation and expansion process were measured and analyzed. The results show that the propagation of crack is a combined action of stress wave and explosive products. The maximum velocity is 225.95 m/s, the average velocity is 122.27 m/s, the total length is 159.92 mm, and the length propagation ceases at 1.75 ms. The opening of the crack is dominated by explosive products with a maximum width of 1.59 mm. The action time of explosive products is 4.5 ms. The tensile strain concentration zone appears before the initiation of crack and its shape determines the tendency of the crack. The fracture process zone is about 8−9 times of the maximum aggregate size.
2020, 40(5): 052301.
doi: 10.11883/bzycj-2019-0321
Abstract:
In order to investigate the changes of the internal physical fields of melt-castable explosives in cook-off, Composition B was chosen as the object. A complete viscosity model of Composition B based on the Bingham flow model was first established, and then applied in the numerical simulations of slow cook-off. In this way, the temperature curves of three inner measuring pointsthat located in the upper, middle and lower respectively were obtained and further testified with cook-off experimental measurements. Moreover, the variation of the inner temperature field in the whole process was observed as well. The results showed that when the heating rate was 1 ℃/min, the viscosity flow of Composition B appeared soon after the phase change, and the inner temperature field changed with that. The self-heating and ignition occurred in the upside area of the shell. But when the heating rate was 0.055 ℃/min, the inner temperature field was still like a solid phase after the phase change was completely done for a long time, and the viscosity flow appeared after the self-heating started, the inner temperature field gradually began to change like a liquid phase just at that time. The ignition area was in the upside of the shell too, but the self-heating area was in the middle of the shell. The contradictory points of view in previous studies can be preliminarily explained by this model.
In order to investigate the changes of the internal physical fields of melt-castable explosives in cook-off, Composition B was chosen as the object. A complete viscosity model of Composition B based on the Bingham flow model was first established, and then applied in the numerical simulations of slow cook-off. In this way, the temperature curves of three inner measuring pointsthat located in the upper, middle and lower respectively were obtained and further testified with cook-off experimental measurements. Moreover, the variation of the inner temperature field in the whole process was observed as well. The results showed that when the heating rate was 1 ℃/min, the viscosity flow of Composition B appeared soon after the phase change, and the inner temperature field changed with that. The self-heating and ignition occurred in the upside area of the shell. But when the heating rate was 0.055 ℃/min, the inner temperature field was still like a solid phase after the phase change was completely done for a long time, and the viscosity flow appeared after the self-heating started, the inner temperature field gradually began to change like a liquid phase just at that time. The ignition area was in the upside of the shell too, but the self-heating area was in the middle of the shell. The contradictory points of view in previous studies can be preliminarily explained by this model.
2020, 40(5): 053101.
doi: 10.11883/bzycj-2019-0351
Abstract:
Basalt fiber engineered cementitious composites (BF-ECCs) were prepared by using a certain ratio of basalt fiber and cement-based material. The prepared material showed multiple cracks in static tensile test and its tensile strain was above 0.5%. For the cementitious composites with different basalt fiber contents, dynamic compression and dynamic splitting tests were carried out by using a split Hopkinson pressure bar (SHPB) device. The results show the followings. (1) Both the static and dynamic strengths are enhanced under compression and tension conditions by basalt fiber. At high strain rates, the dynamic increase in compressive strength is small, and the dynamic increase in the splitting strength is large. (2) The compressive and splitting strengths of the BF-ECCs increase significantly with increasing strain rate, both of which can use a dynamic increase factor (DIF) to reflect the increase in dynamic strength, but the strain rate sensitivity of the splitting strength is stronger than that of the compressive strength. (3) According to the test, the CEB-FIP equation (2010) of ordinary cement concrete rate sensitivity is not applicable to the BF-ECCs.
Basalt fiber engineered cementitious composites (BF-ECCs) were prepared by using a certain ratio of basalt fiber and cement-based material. The prepared material showed multiple cracks in static tensile test and its tensile strain was above 0.5%. For the cementitious composites with different basalt fiber contents, dynamic compression and dynamic splitting tests were carried out by using a split Hopkinson pressure bar (SHPB) device. The results show the followings. (1) Both the static and dynamic strengths are enhanced under compression and tension conditions by basalt fiber. At high strain rates, the dynamic increase in compressive strength is small, and the dynamic increase in the splitting strength is large. (2) The compressive and splitting strengths of the BF-ECCs increase significantly with increasing strain rate, both of which can use a dynamic increase factor (DIF) to reflect the increase in dynamic strength, but the strain rate sensitivity of the splitting strength is stronger than that of the compressive strength. (3) According to the test, the CEB-FIP equation (2010) of ordinary cement concrete rate sensitivity is not applicable to the BF-ECCs.
2020, 40(5): 053102.
doi: 10.11883/bzycj-2018-0401
Abstract:
To study the dynamic splitting tensile fracture behaviors of concrete at elevated temperatures, the numerical meso-scale model and method are established by considering the coupling effects of the high temperature degradation and strain rate enhancement of the mechanical properties, and combining with the internal heterogeneities of concrete materials. The simulation method is divided into two steps: the heat conduction behavior is first simulated, then the output results areused as the initial conditions to simulate the dynamic splitting tensile behaviors of the concrete. Based on the good agreement between the numerical simulation results and the experimental phenomenon, the dynamic splitting tensile behaviors and meso-scale failure mechanism of the concrete at elevated temperature are analyzed, the splitting tensile stress-strain relations of the concrete at different strain rates and high temperatures are compared, and the interacting regulation between the temperature degradation and the strain rate effect of concrete is revealed. The results prove that: (1) after high temperature, the damage area in the concrete is more concentrated; (2) the destructed process becomes more rapid as the nominal strain rate is higher, the aggregation is destroyed at room temperature; (3) the internal stress appears date-shaped distributions due to the heterogeneities of the concrete microstructures; (4) the temperature degradation effects on the splitting tensile strength of the concrete is more dramatic comparing with the strain rate effects.
To study the dynamic splitting tensile fracture behaviors of concrete at elevated temperatures, the numerical meso-scale model and method are established by considering the coupling effects of the high temperature degradation and strain rate enhancement of the mechanical properties, and combining with the internal heterogeneities of concrete materials. The simulation method is divided into two steps: the heat conduction behavior is first simulated, then the output results areused as the initial conditions to simulate the dynamic splitting tensile behaviors of the concrete. Based on the good agreement between the numerical simulation results and the experimental phenomenon, the dynamic splitting tensile behaviors and meso-scale failure mechanism of the concrete at elevated temperature are analyzed, the splitting tensile stress-strain relations of the concrete at different strain rates and high temperatures are compared, and the interacting regulation between the temperature degradation and the strain rate effect of concrete is revealed. The results prove that: (1) after high temperature, the damage area in the concrete is more concentrated; (2) the destructed process becomes more rapid as the nominal strain rate is higher, the aggregation is destroyed at room temperature; (3) the internal stress appears date-shaped distributions due to the heterogeneities of the concrete microstructures; (4) the temperature degradation effects on the splitting tensile strength of the concrete is more dramatic comparing with the strain rate effects.
2020, 40(5): 053103.
doi: 10.11883/bzycj-2019-0410
Abstract:
Based on the flat-joint bonding model, the PFC (particle flow code) particle flow discrete model of porous ferroelectric ceramics under one-dimensional strain shock compression was established. The free-surface velocity profiles measured in plate impact experiments have been well reproduced by the discrete element simulation, and the response process and damage evolution mechanism of porous ferroelectric ceramics under shock compression were revealed. The response process of porous ferroelectric ceramics under shock compression can be divided into four stages: elastic deformation, failure spread, shock crushing deformation and shock Hugoniot equilibrium state. The mechanism of failure spread is the nucleation and growth of shear cracks. The main mechanism of shock crushing deformation is the formation and propagation of layered shear cracks and the collapse of voids. The impact velocity and porosity have significant effects on the dynamic response and damage evolution of porous ferroelectric ceramics. The Hugoniot elastic limit strongly depends on porosity and is not affected by impact velocity. The damage accumulation increases with the increase of impact velocity and porosity.
Based on the flat-joint bonding model, the PFC (particle flow code) particle flow discrete model of porous ferroelectric ceramics under one-dimensional strain shock compression was established. The free-surface velocity profiles measured in plate impact experiments have been well reproduced by the discrete element simulation, and the response process and damage evolution mechanism of porous ferroelectric ceramics under shock compression were revealed. The response process of porous ferroelectric ceramics under shock compression can be divided into four stages: elastic deformation, failure spread, shock crushing deformation and shock Hugoniot equilibrium state. The mechanism of failure spread is the nucleation and growth of shear cracks. The main mechanism of shock crushing deformation is the formation and propagation of layered shear cracks and the collapse of voids. The impact velocity and porosity have significant effects on the dynamic response and damage evolution of porous ferroelectric ceramics. The Hugoniot elastic limit strongly depends on porosity and is not affected by impact velocity. The damage accumulation increases with the increase of impact velocity and porosity.
2020, 40(5): 053301.
doi: 10.11883/bzycj-2019-0291
Abstract:
Ceramics are widely used in armors because of high strength, low density and excellent ballistic performance. When long rods impact the ceramics, the long rods will flow radially along the ceramic surfaces without significant penetration. The special phenomenon is called interface defeat which has important practice application in the anti-penetration performance. For the long rods impacting the ceramic targets, a two-dimensional axisymmetric numerical model in which both the Lagrange method and smooth particle hydrodynamics (SPH) method are used, is established by using the software AUTODYN. The established model is applied to simulate the penetration of the long rod into the silicon carbide ceramic with a cover plate. By changing the impact velocity of the long rod, three different phenomena are obtained including interface defeat, dwell to penetration and direct penetration. Through the verification of mesh convergence and the comparison of the numerical results to the experimental results, the reliability of the algorithm, boundary conditions and parameter settings in the numerical model is comprehensively verified. The simulated results show that if the SPH and Lagrange methods are used at the same time, the influences of particle and mesh sizes need to be considered. It is not recommended to use the SPH method for simulating the interface defeat of the ceramic targets. The methods of the modeling and parameter selections are helpful for the subsequent simulations on ceramic anti-penetration and interface defeat.
Ceramics are widely used in armors because of high strength, low density and excellent ballistic performance. When long rods impact the ceramics, the long rods will flow radially along the ceramic surfaces without significant penetration. The special phenomenon is called interface defeat which has important practice application in the anti-penetration performance. For the long rods impacting the ceramic targets, a two-dimensional axisymmetric numerical model in which both the Lagrange method and smooth particle hydrodynamics (SPH) method are used, is established by using the software AUTODYN. The established model is applied to simulate the penetration of the long rod into the silicon carbide ceramic with a cover plate. By changing the impact velocity of the long rod, three different phenomena are obtained including interface defeat, dwell to penetration and direct penetration. Through the verification of mesh convergence and the comparison of the numerical results to the experimental results, the reliability of the algorithm, boundary conditions and parameter settings in the numerical model is comprehensively verified. The simulated results show that if the SPH and Lagrange methods are used at the same time, the influences of particle and mesh sizes need to be considered. It is not recommended to use the SPH method for simulating the interface defeat of the ceramic targets. The methods of the modeling and parameter selections are helpful for the subsequent simulations on ceramic anti-penetration and interface defeat.
2020, 40(5): 053302.
doi: 10.11883/bzycj-2019-0323
Abstract:
To found out the damage mechanism, penetration performance, and the effect factors on the penetration performance of the jacketed rod, two kinds of jacketed rods are penetrated into the semi-infinite 4340 steel targets with striking velocities in the range of 0.9−3.3 km/s experimentally and numerically. Based on the experimental and numerical results, it was found that both homogeneous tungsten alloy rod and jacketed rods presents typical hydrodynamic penetration characteristics under hypervelocity (>2.0 km/s) penetration. While the homogeneous tungsten alloy rod formed a “mushroom head” and the jacketed rods presented typical “co-erosion” damage mode during penetration process under low and medium striking velocity (0.9−1.8 km/s) conditions. Specially, the failure mode of the 1060Al/93W jacketed rod changed from the initial “bi-erosion” to the later “co-erosion”, while the striking velocity equals to 936 m/s. In the experimental speed range, the penetration performance of the jacketed rod is lower than that of the homogeneous tungsten alloy rod at low and medium striking velocities, and the penetration performance of the two is basically the same under hypervelocity conditions. However, the penetration performance of the jacketed rod is significantly better than that of the homogeneous tungsten alloy rod when the initial striking kinetic energy is the same. Compared to density, strength of the jacket has a more significant effect on the penetration performance of the jacketed rod, and the smaller the strength of the jacket material, the better the penetration performance is. According to the above analysis, it can be concluded that for a fixed ratio of the jacket radius to the core radius, it is preferred to use a jacket material with a lower density and a moderate strength.
To found out the damage mechanism, penetration performance, and the effect factors on the penetration performance of the jacketed rod, two kinds of jacketed rods are penetrated into the semi-infinite 4340 steel targets with striking velocities in the range of 0.9−3.3 km/s experimentally and numerically. Based on the experimental and numerical results, it was found that both homogeneous tungsten alloy rod and jacketed rods presents typical hydrodynamic penetration characteristics under hypervelocity (>2.0 km/s) penetration. While the homogeneous tungsten alloy rod formed a “mushroom head” and the jacketed rods presented typical “co-erosion” damage mode during penetration process under low and medium striking velocity (0.9−1.8 km/s) conditions. Specially, the failure mode of the 1060Al/93W jacketed rod changed from the initial “bi-erosion” to the later “co-erosion”, while the striking velocity equals to 936 m/s. In the experimental speed range, the penetration performance of the jacketed rod is lower than that of the homogeneous tungsten alloy rod at low and medium striking velocities, and the penetration performance of the two is basically the same under hypervelocity conditions. However, the penetration performance of the jacketed rod is significantly better than that of the homogeneous tungsten alloy rod when the initial striking kinetic energy is the same. Compared to density, strength of the jacket has a more significant effect on the penetration performance of the jacketed rod, and the smaller the strength of the jacket material, the better the penetration performance is. According to the above analysis, it can be concluded that for a fixed ratio of the jacket radius to the core radius, it is preferred to use a jacket material with a lower density and a moderate strength.
2020, 40(5): 053303.
doi: 10.11883/bzycj-2019-0354
Abstract:
In order to study the mechanical properties and damage evolution mechanism of weakly-weathered granite under blasting stress wave, single and constant-velocity cyclic impact tests on the granite specimens at different velocities were carried out using a modified split Hopkinson pressure bar (SHPB) with the diameter of 50 mm. The results show that the damage threshold determined by the energy method in single-impact tests can be used in the cyclic-impact tests. The stress relaxation platform exists in the crack propagation stage of the weakly-weathered granite at different strain rates, and it becomes more obvious with the increase of strain rate. The peak stress is positively correlated with strain rate. In the cyclic impact, the maximum stress and strain are positively correlated with the impact velocity, and negatively correlated with the total number of cumulative impacts; the damage evolution can be divided into three stages taking on an inverted-S shape, and a damage evolution model with two parameters is established by it. The fitting effect of the model is ideal and has physical significance; the damage degree at the median point and the relative number of cycles can be calculated by using the parameters α and β in the model, are positively correlated with the impact velocity. The damage evolution models described by different damage variables are different, so it is necessary to define the damage variables reasonably.
In order to study the mechanical properties and damage evolution mechanism of weakly-weathered granite under blasting stress wave, single and constant-velocity cyclic impact tests on the granite specimens at different velocities were carried out using a modified split Hopkinson pressure bar (SHPB) with the diameter of 50 mm. The results show that the damage threshold determined by the energy method in single-impact tests can be used in the cyclic-impact tests. The stress relaxation platform exists in the crack propagation stage of the weakly-weathered granite at different strain rates, and it becomes more obvious with the increase of strain rate. The peak stress is positively correlated with strain rate. In the cyclic impact, the maximum stress and strain are positively correlated with the impact velocity, and negatively correlated with the total number of cumulative impacts; the damage evolution can be divided into three stages taking on an inverted-S shape, and a damage evolution model with two parameters is established by it. The fitting effect of the model is ideal and has physical significance; the damage degree at the median point and the relative number of cycles can be calculated by using the parameters α and β in the model, are positively correlated with the impact velocity. The damage evolution models described by different damage variables are different, so it is necessary to define the damage variables reasonably.
2020, 40(5): 054101.
doi: 10.11883/bzycj-2019-0309
Abstract:
Shock tube was usually used to calibrate the dynamic pressure sensor. During the calibration process of shock tube, the dynamic performance indexes of piezoresistive absolute pressure sensor, such as resonance frequency, depend on both the static pressure environment and gas medium of shock tube, affecting the calibration of dynamic characteristics of the sensor. Based on the working principle of piezoresistive pressure sensor, the mechanism of the sensing diaphragm structure was analyzed and a dynamic model was established. The numerical simulations using ANSYS and SIMULINK softwares have been performed and the simulation results are consistent with the theoretical predications. The results indicated that there was a non-linear relationship between the resonant frequency and the static pressure of the sensor, and it increased significantly with the increase of the diameter-thickness ratio of the sensing diaphragm. The damping ratio coefficient was related to the gas medium and increased with the decrease of gas density. The sensitivity of the sensor was related to neither the gas medium nor the static pressure. The effects of medium and static pressure parameters on the calibration of piezoresistive absolute pressure sensor should be considered.
Shock tube was usually used to calibrate the dynamic pressure sensor. During the calibration process of shock tube, the dynamic performance indexes of piezoresistive absolute pressure sensor, such as resonance frequency, depend on both the static pressure environment and gas medium of shock tube, affecting the calibration of dynamic characteristics of the sensor. Based on the working principle of piezoresistive pressure sensor, the mechanism of the sensing diaphragm structure was analyzed and a dynamic model was established. The numerical simulations using ANSYS and SIMULINK softwares have been performed and the simulation results are consistent with the theoretical predications. The results indicated that there was a non-linear relationship between the resonant frequency and the static pressure of the sensor, and it increased significantly with the increase of the diameter-thickness ratio of the sensing diaphragm. The damping ratio coefficient was related to the gas medium and increased with the decrease of gas density. The sensitivity of the sensor was related to neither the gas medium nor the static pressure. The effects of medium and static pressure parameters on the calibration of piezoresistive absolute pressure sensor should be considered.
2020, 40(5): 055901.
doi: 10.11883/bzycj-2019-0097
Abstract:
In order to obtain the spatial and temporal distribution law and height variation model of TNT explosion cloud diffusion under different wind Fields, this paper theoretically describes the diffusion process and mechanism of the explosion cloud, and carries out the computational fluid dynamics (CFD) simulation and the field-time distribution experiment of the cloud diffusion under different horizontal wind speeds, and analyzes the diffusion process of the cloud. Morphology, temperature, density and speed change law were established, and the variation model of cloud height with time at different u-wind speeds and the final height calculation model of cloud were established. The results show that the CFD method simulation cloud diffusion results are consistent with the experimental results. The cloud height has a power function with an exponent of 0.5 under windless conditions. The final height and explosive equivalent can be fitted to a power function model with an index of 0.47. The horizontal wind will speed up the mixing of the cloud and the air, causing the exponential parameter of the power function model to decrease linearly with the wind speed becoming larger. The higher the wind speed, the faster the decay rate of the cloud, the shorter the rise time, and the lower the final height.
In order to obtain the spatial and temporal distribution law and height variation model of TNT explosion cloud diffusion under different wind Fields, this paper theoretically describes the diffusion process and mechanism of the explosion cloud, and carries out the computational fluid dynamics (CFD) simulation and the field-time distribution experiment of the cloud diffusion under different horizontal wind speeds, and analyzes the diffusion process of the cloud. Morphology, temperature, density and speed change law were established, and the variation model of cloud height with time at different u-wind speeds and the final height calculation model of cloud were established. The results show that the CFD method simulation cloud diffusion results are consistent with the experimental results. The cloud height has a power function with an exponent of 0.5 under windless conditions. The final height and explosive equivalent can be fitted to a power function model with an index of 0.47. The horizontal wind will speed up the mixing of the cloud and the air, causing the exponential parameter of the power function model to decrease linearly with the wind speed becoming larger. The higher the wind speed, the faster the decay rate of the cloud, the shorter the rise time, and the lower the final height.


PDF
Cited by
Read OL