2021 Vol. 41, No. 11
Display Method:
2021, 41(11): 111101.
doi: 10.11883/bzycj-2020-0293
Abstract:
High-entropy alloys (HEAs), due to their unique alloy-design concepts and excellent comprehensive properties, are becoming a research hotspot nowadays. However, previous reports were scarcely focused on the dynamic mechanical loading of the HEAs, that is the applied strain rates often were limited in the quasi-static regime. In this research, CoCrFeNiAlx HEAs were successfully prepared by vacuum arc melting pure elements in a high-purity argon atmosphere on a water-cooled Cu hearth. Each ingot was remelted at least five times to ensure its chemical homogeneity. Cylindrical samples with a diameter of three millimeters were then synthesized by copper-mould suction casting. Quasi-static compressive tests at room temperature were conducted by using an Instron 5969 testing machine, wherein the test specimens with an aspect ratio of 1∶1 were cut from the cylindrical samples along the longitudinal direction by electrical discharge machining. As a comparison, dynamic compression experiments with various strain rates were carried out at room temperature by the split Hopkinson pressure bar (SHPB). For characterization, crystal structure, microstructure and deformation characteristics were investigated in detail by a combination of X-ray diffraction (XRD), scanning-electron microscopy (SEM), and transmission-electron microscopy (TEM) analyses. The XRD results reveal that simple solid solution structures, in forms of face-centered cube (FCC) and/or body-centered cube (BCC), were obtained in the current alloys. All the alloys exhibit positive strain-rate sensitivity and excellent work-hardening ability. Interestingly, three isolated deformation mechanisms were detected by TEM analysis, that is combined dislocation slip plus deformation twinning dominats the plastic deformation in the CoCrFeNi alloy (with FCC structure) for both quasi-static and dynamic loading conditions, however, such phenomenon was only observed in the CoCrFeNiAl0.6 alloy (with FCC plus BCC structure) under dynamic loading. As for the CoCrFeNiAl alloy (with BCC structure), single dislocation slip accounts for the plastic deformation in both quasi-static and dynamic loading conditions. Moreover, the dynamic constitutive relations of CoCrFeNiAlx HEAs were obtained by the modified John-Cook (J-C) constitutive model.
High-entropy alloys (HEAs), due to their unique alloy-design concepts and excellent comprehensive properties, are becoming a research hotspot nowadays. However, previous reports were scarcely focused on the dynamic mechanical loading of the HEAs, that is the applied strain rates often were limited in the quasi-static regime. In this research, CoCrFeNiAlx HEAs were successfully prepared by vacuum arc melting pure elements in a high-purity argon atmosphere on a water-cooled Cu hearth. Each ingot was remelted at least five times to ensure its chemical homogeneity. Cylindrical samples with a diameter of three millimeters were then synthesized by copper-mould suction casting. Quasi-static compressive tests at room temperature were conducted by using an Instron 5969 testing machine, wherein the test specimens with an aspect ratio of 1∶1 were cut from the cylindrical samples along the longitudinal direction by electrical discharge machining. As a comparison, dynamic compression experiments with various strain rates were carried out at room temperature by the split Hopkinson pressure bar (SHPB). For characterization, crystal structure, microstructure and deformation characteristics were investigated in detail by a combination of X-ray diffraction (XRD), scanning-electron microscopy (SEM), and transmission-electron microscopy (TEM) analyses. The XRD results reveal that simple solid solution structures, in forms of face-centered cube (FCC) and/or body-centered cube (BCC), were obtained in the current alloys. All the alloys exhibit positive strain-rate sensitivity and excellent work-hardening ability. Interestingly, three isolated deformation mechanisms were detected by TEM analysis, that is combined dislocation slip plus deformation twinning dominats the plastic deformation in the CoCrFeNi alloy (with FCC structure) for both quasi-static and dynamic loading conditions, however, such phenomenon was only observed in the CoCrFeNiAl0.6 alloy (with FCC plus BCC structure) under dynamic loading. As for the CoCrFeNiAl alloy (with BCC structure), single dislocation slip accounts for the plastic deformation in both quasi-static and dynamic loading conditions. Moreover, the dynamic constitutive relations of CoCrFeNiAlx HEAs were obtained by the modified John-Cook (J-C) constitutive model.
2021, 41(11): 112101.
doi: 10.11883/bzycj-2021-0030
Abstract:
In order to investigate the development of flame spreading in the charge bed of a central ignition tube, a visualized ignition experiment platform was designed, and experiments were carried out with different ignition charge masses and charge structures. A high-speed image acquisition system was used to record the propagation process of ignition flame in the propellant bed at 10000 frames per second, and a transient pressure recorder was used to obtain the variation of pressure with time and position in the chamber. In addition, a synchronous trigger was used to connect the high-speed image acquisition system, the transient pressure recorder and the ignition system of the experimental platform, giving the system a trigger zero point, which is convenient for the statistical analysis of subsequent experimental phenomena. The experimental results show that the time of flame-appearing from the ignition tube into the combustion chamber is 0.6 ms when the mass of the black powder is 20 g. However, the time increases to 1.5 ms when the mass of the black powder is 30 g. The average flame-spreading time of the stick charge structure is 2.2 ms, the average flame-spreading time of the granular charge structure is 3.4 ms, and the average flame-spreading time of the mixed charge structure is 3.1 ms. The results indicate that the mass of the black powder in an ignition tube has a significant effect on the time of flame-appearing from the ignition tube, and the higher black powder mass lead to the longer flame-appearing time. The performances of flame-spreading in different charge bed structures are quite different. The performance of flame-spreading in the stick charge structures is better than that in the granular charge structures and mixed charge structures. In addition, the pressure fluctuations will appear in the chamber due to gas choking in the granular charge structures. A mathematical model of the flame-spreading process was established by fitting the first-order exponential decay function according to the time sequence of the position of flame, and the goodness of fit is greater than 0.98.
In order to investigate the development of flame spreading in the charge bed of a central ignition tube, a visualized ignition experiment platform was designed, and experiments were carried out with different ignition charge masses and charge structures. A high-speed image acquisition system was used to record the propagation process of ignition flame in the propellant bed at 10000 frames per second, and a transient pressure recorder was used to obtain the variation of pressure with time and position in the chamber. In addition, a synchronous trigger was used to connect the high-speed image acquisition system, the transient pressure recorder and the ignition system of the experimental platform, giving the system a trigger zero point, which is convenient for the statistical analysis of subsequent experimental phenomena. The experimental results show that the time of flame-appearing from the ignition tube into the combustion chamber is 0.6 ms when the mass of the black powder is 20 g. However, the time increases to 1.5 ms when the mass of the black powder is 30 g. The average flame-spreading time of the stick charge structure is 2.2 ms, the average flame-spreading time of the granular charge structure is 3.4 ms, and the average flame-spreading time of the mixed charge structure is 3.1 ms. The results indicate that the mass of the black powder in an ignition tube has a significant effect on the time of flame-appearing from the ignition tube, and the higher black powder mass lead to the longer flame-appearing time. The performances of flame-spreading in different charge bed structures are quite different. The performance of flame-spreading in the stick charge structures is better than that in the granular charge structures and mixed charge structures. In addition, the pressure fluctuations will appear in the chamber due to gas choking in the granular charge structures. A mathematical model of the flame-spreading process was established by fitting the first-order exponential decay function according to the time sequence of the position of flame, and the goodness of fit is greater than 0.98.
2021, 41(11): 112102.
doi: 10.11883/bzycj-2020-0465
Abstract:
To understand the effect of equivalent ratio on the working characteristics of gasoline fuel two-phase rotating detonation engine, a gas-liquid two-phase rotating detonation experimental study with high total temperature air as oxidant has been carried out in this work. The outer diameter, inner diameter and length of rotating detonation engine annular combustor are 202, 166 and 155 mm, respectively. Gasoline and high temperature air are injected into the combustor through a nozzle-gap impinging model constructed of high pressure atomizing nozzles and annular gap to improve the mixing effect and chemical reactivity of propellant. A pre-detonator tube is used as ignition device. In experiments, the equivalent ratio of propellant is controlled by changing the gasoline mass flow rate with constant air mass flow rate. Based on high frequency dynamic pressure signals and average static pressure measured in the combustor, the propagation mode and propagation characteristics of the gas-liquid two-phase rotating detonation wave and working characteristics of the engine were analyzed in details. Experimental results show that continuous self-sustained propagation of rotating detonation wave is realized in the combustor during the equivalent ratio ranging from 0.79 to 1.25. With the increase of the equivalent ratio, the propagation mode of detonation wave transforms from double wave collision/single wave mixed mode to single wave mode. By reducing the equivalent ratio to 0.61−0.66, the propagation stability of detonation wave becomes worse, and the propagation mode transforms to the intermittent detonation or sporadic detonation. When reducing the equivalent ratio to 0.53, the detonation initiation fails. In addition, with the increase of the equivalent ratio, both the average absolute pressure in the combustor and the average propagation frequency of detonation wave increase and then decrease, and the maximum value appears around the equivalent ratio of 1.19. Under this condition, the best experimental results are obtained. The average propagation frequency of detonation wave is 1 900.9 Hz, and corresponding average propagation velocity is 1 110.8 m/s, which are consistent with the main frequency obtained from Fast Fourier Transform of high frequency pressure signal. There is a heavy velocity deficit existing during the propagation of detonation wave.
To understand the effect of equivalent ratio on the working characteristics of gasoline fuel two-phase rotating detonation engine, a gas-liquid two-phase rotating detonation experimental study with high total temperature air as oxidant has been carried out in this work. The outer diameter, inner diameter and length of rotating detonation engine annular combustor are 202, 166 and 155 mm, respectively. Gasoline and high temperature air are injected into the combustor through a nozzle-gap impinging model constructed of high pressure atomizing nozzles and annular gap to improve the mixing effect and chemical reactivity of propellant. A pre-detonator tube is used as ignition device. In experiments, the equivalent ratio of propellant is controlled by changing the gasoline mass flow rate with constant air mass flow rate. Based on high frequency dynamic pressure signals and average static pressure measured in the combustor, the propagation mode and propagation characteristics of the gas-liquid two-phase rotating detonation wave and working characteristics of the engine were analyzed in details. Experimental results show that continuous self-sustained propagation of rotating detonation wave is realized in the combustor during the equivalent ratio ranging from 0.79 to 1.25. With the increase of the equivalent ratio, the propagation mode of detonation wave transforms from double wave collision/single wave mixed mode to single wave mode. By reducing the equivalent ratio to 0.61−0.66, the propagation stability of detonation wave becomes worse, and the propagation mode transforms to the intermittent detonation or sporadic detonation. When reducing the equivalent ratio to 0.53, the detonation initiation fails. In addition, with the increase of the equivalent ratio, both the average absolute pressure in the combustor and the average propagation frequency of detonation wave increase and then decrease, and the maximum value appears around the equivalent ratio of 1.19. Under this condition, the best experimental results are obtained. The average propagation frequency of detonation wave is 1 900.9 Hz, and corresponding average propagation velocity is 1 110.8 m/s, which are consistent with the main frequency obtained from Fast Fourier Transform of high frequency pressure signal. There is a heavy velocity deficit existing during the propagation of detonation wave.
2021, 41(11): 112201.
doi: 10.11883/bzycj-2020-0431
Abstract:
For the dynamic response and the instability of the composite cylindrical shell under explosive loading, many factors may affect the stability behavior of the cylindrical shell. In this paper, three main aspects, i. e. the possible defects in the manufacturing process, the spiral angle and the diameter of the copper wire were investigated. Firstly, the 2D detailed model of the composite cylindrical shell was established to calculated the dynamic response under explosive loading, in which SPH-FEM coupling algorithm was applied. In order to verify the accuracy of the structural dynamic response by using the SPH-FEM model, the simulation results of the metal epoxy composite sleeve were compared, which demonstrated the reliability and numerical accuracy. Secondly, to evaluate the factors affecting the stability of the composite cylindrical shell, an instability criterion based on the particle velocity history of inner wall of the cylindrical shell was proposed. In this method, the velocity curve of the inner wall of the composite cylindrical shell was divided into three stages, and the time corresponding to the point of the velocity surge in the third stage was taken as the instability time of the composite cylindrical shell. Thus, the compression rate of the structure corresponding to the instability under different conditions could be obtained. The results show that the defects and the diameter of copper wire have great influence on the stability of the composite cylindrical shell, while the spiral angle has little influence. Moreover, in the manufacture process of the composite cylindrical shell, it is necessary to improve the quality as much as possible to ensure the integrity of the copper wire. In addition, the parameter of the copper wire diameter should be considered in the device design and experiment, since the copper wire diameter would directly affect the thickness of each layer of the composite cylindrical shell and the defect distribution of copper wire.
For the dynamic response and the instability of the composite cylindrical shell under explosive loading, many factors may affect the stability behavior of the cylindrical shell. In this paper, three main aspects, i. e. the possible defects in the manufacturing process, the spiral angle and the diameter of the copper wire were investigated. Firstly, the 2D detailed model of the composite cylindrical shell was established to calculated the dynamic response under explosive loading, in which SPH-FEM coupling algorithm was applied. In order to verify the accuracy of the structural dynamic response by using the SPH-FEM model, the simulation results of the metal epoxy composite sleeve were compared, which demonstrated the reliability and numerical accuracy. Secondly, to evaluate the factors affecting the stability of the composite cylindrical shell, an instability criterion based on the particle velocity history of inner wall of the cylindrical shell was proposed. In this method, the velocity curve of the inner wall of the composite cylindrical shell was divided into three stages, and the time corresponding to the point of the velocity surge in the third stage was taken as the instability time of the composite cylindrical shell. Thus, the compression rate of the structure corresponding to the instability under different conditions could be obtained. The results show that the defects and the diameter of copper wire have great influence on the stability of the composite cylindrical shell, while the spiral angle has little influence. Moreover, in the manufacture process of the composite cylindrical shell, it is necessary to improve the quality as much as possible to ensure the integrity of the copper wire. In addition, the parameter of the copper wire diameter should be considered in the device design and experiment, since the copper wire diameter would directly affect the thickness of each layer of the composite cylindrical shell and the defect distribution of copper wire.
2021, 41(11): 113101.
doi: 10.11883/bzycj-2021-0088
Abstract:
The grain size effect on the dynamic behavior of sandstone was investigated through the compression tests on coarse-grained (CG), medium-grained (MG) and fine-grained (FG) sandstones by split Hopkinson pressure bar (SHPB) tests under the strain rates of 69–83 s–1 based on the thin section and electron scanning microscopic (SEM) images analysis, the CG, MG and FG sandstone were mainly composed by quartz with the average grain size of 200–500, 90–500 and 55–120 µm, respectively. With the increasing grain size, the percentage of clay mineral was decreased correspondingly from 8% to 1%. During the dynamic compression, two high-speed cameras were applied to capture the deformation of sandstone at frame rate of 2×105 s–1 and resolution of 256×256. The real-time strain fields of rock were obtained by high-speed three-dimensional digital image correlation (3D-DIC) technique, the dynamic deformative properties, particularly the lateral strain of the specimen, were extracted by averaging the lateral strain field by pixels. The fracturing behavior of three sandstones was analyzed through the strain localization evolution within the strain fields. Results show that the critical strain rate for reversible release of elastic strain energy increases with the decreasing grain size. The dynamic strength ascends along with the reduction of grain size, while the strain rate sensitivity to the dynamic strength has an opposite trend. Compared to the quasi-static case, the dynamic elastic modulus increases by 2–3 times for MG and FG sandstone, particularly 5 times for CG sandstone. The Poisson’s ratio under dynamic loading in FG sandstone is grown by 25%, but drops at 70% of the static one in MG sandstone. The crack primarily generates inside the specimen and propagates to the surface of the specimen afterwards. The crack development is advanced under dynamic loadings, where the normalized stress threshold for crack initiation in FG sandstone is only 10%. Based on the microscopic analysis, mineral structure and clay percentage dominate the dynamic property and fracturing behavior of sandstone, respectively.
The grain size effect on the dynamic behavior of sandstone was investigated through the compression tests on coarse-grained (CG), medium-grained (MG) and fine-grained (FG) sandstones by split Hopkinson pressure bar (SHPB) tests under the strain rates of 69–83 s–1 based on the thin section and electron scanning microscopic (SEM) images analysis, the CG, MG and FG sandstone were mainly composed by quartz with the average grain size of 200–500, 90–500 and 55–120 µm, respectively. With the increasing grain size, the percentage of clay mineral was decreased correspondingly from 8% to 1%. During the dynamic compression, two high-speed cameras were applied to capture the deformation of sandstone at frame rate of 2×105 s–1 and resolution of 256×256. The real-time strain fields of rock were obtained by high-speed three-dimensional digital image correlation (3D-DIC) technique, the dynamic deformative properties, particularly the lateral strain of the specimen, were extracted by averaging the lateral strain field by pixels. The fracturing behavior of three sandstones was analyzed through the strain localization evolution within the strain fields. Results show that the critical strain rate for reversible release of elastic strain energy increases with the decreasing grain size. The dynamic strength ascends along with the reduction of grain size, while the strain rate sensitivity to the dynamic strength has an opposite trend. Compared to the quasi-static case, the dynamic elastic modulus increases by 2–3 times for MG and FG sandstone, particularly 5 times for CG sandstone. The Poisson’s ratio under dynamic loading in FG sandstone is grown by 25%, but drops at 70% of the static one in MG sandstone. The crack primarily generates inside the specimen and propagates to the surface of the specimen afterwards. The crack development is advanced under dynamic loadings, where the normalized stress threshold for crack initiation in FG sandstone is only 10%. Based on the microscopic analysis, mineral structure and clay percentage dominate the dynamic property and fracturing behavior of sandstone, respectively.
2021, 41(11): 113102.
doi: 10.11883/bzycj-2020-0444
Abstract:
Fire and explosion often occur together that seriously threatens the safety of engineering structures. In order to investigate the explosion resistance of concrete-filled steel tubular (CFST) columns at elevated temperatures, the finite element (FE) model of explosion resistance performance for circular CFST columns at elevated temperatures was established using the ABAQUS software. The fire and blast loads were simulated using ISO 834 standard fire and ConWep model, respectively. In the model, the static implicit and dynamic explicit analysis was coupled using “Restart” and “Import” commands and the strain-rate effect was considered. The experiment results of related literatures, including the temperature field, fire resistance duration and explosion resistance of CFST columns, were used to verify the feasibility of the method. Based on the validated FE models, the explosion mechanism of CFST columns subjected to standard fire was analyzed, including the failure modes, full-range analysis, development of stress and strain, interaction between steel tube and concrete and energy consumption. The influence of duration time, material strength, steel ratio and explosion equivalent on the explosion resistance were studied. The maximum mid-span deflection (Δpeak) was employed to quantitatively analyze the explosion-resistance performance of the CFST columns. The results show that shear failure firstly occurs at both fixed ends, and then the whole column presents flexural failure mode when subjected to explosion load under fire condition. With the increase of duration time, the proportion of energy consumption of steel tube decreases, and plastic deformation of concrete gradually becomes the main energy consumption mechanism. The concrete strength, explosion equivalent and axial load ratio have significant influence on the explosion resistance of CFST at high temperatures. After 0 min and 90 min fire duration, the explosion resistance is improved by approximately 21% and 42% respectively when the concrete cubic compressive strength increases from 30 MPa to 50 MPa.
Fire and explosion often occur together that seriously threatens the safety of engineering structures. In order to investigate the explosion resistance of concrete-filled steel tubular (CFST) columns at elevated temperatures, the finite element (FE) model of explosion resistance performance for circular CFST columns at elevated temperatures was established using the ABAQUS software. The fire and blast loads were simulated using ISO 834 standard fire and ConWep model, respectively. In the model, the static implicit and dynamic explicit analysis was coupled using “Restart” and “Import” commands and the strain-rate effect was considered. The experiment results of related literatures, including the temperature field, fire resistance duration and explosion resistance of CFST columns, were used to verify the feasibility of the method. Based on the validated FE models, the explosion mechanism of CFST columns subjected to standard fire was analyzed, including the failure modes, full-range analysis, development of stress and strain, interaction between steel tube and concrete and energy consumption. The influence of duration time, material strength, steel ratio and explosion equivalent on the explosion resistance were studied. The maximum mid-span deflection (Δpeak) was employed to quantitatively analyze the explosion-resistance performance of the CFST columns. The results show that shear failure firstly occurs at both fixed ends, and then the whole column presents flexural failure mode when subjected to explosion load under fire condition. With the increase of duration time, the proportion of energy consumption of steel tube decreases, and plastic deformation of concrete gradually becomes the main energy consumption mechanism. The concrete strength, explosion equivalent and axial load ratio have significant influence on the explosion resistance of CFST at high temperatures. After 0 min and 90 min fire duration, the explosion resistance is improved by approximately 21% and 42% respectively when the concrete cubic compressive strength increases from 30 MPa to 50 MPa.
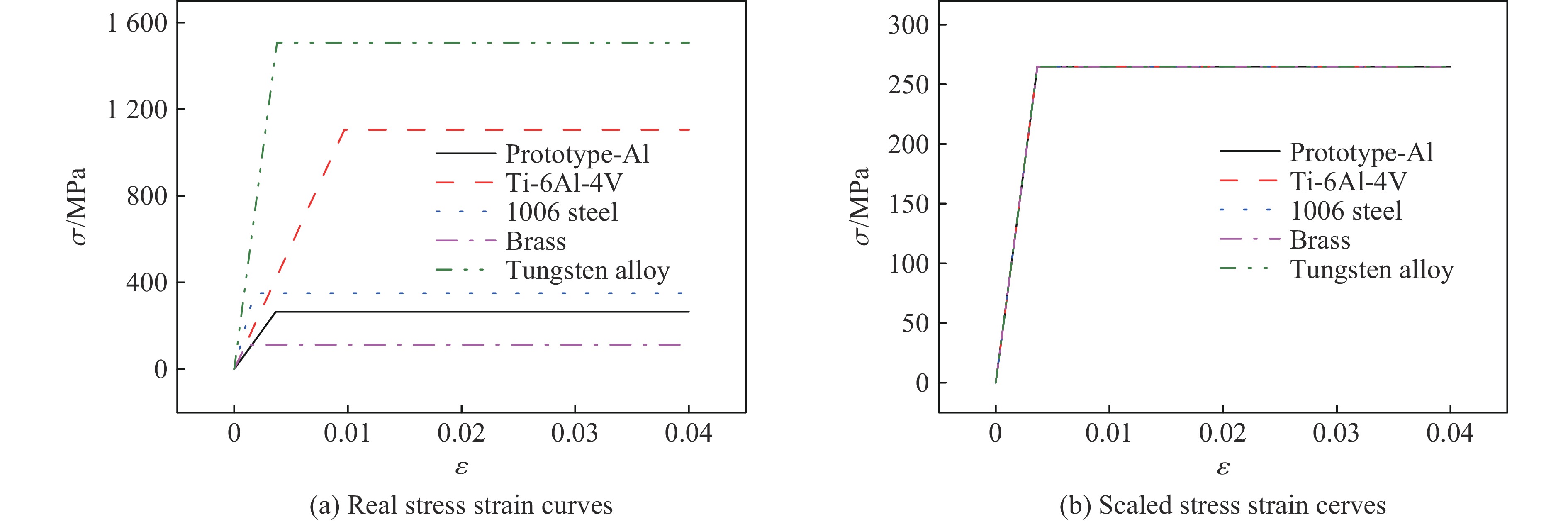
2021, 41(11): 113103.
doi: 10.11883/bzycj-2020-0374
Abstract:
For the impact similarity problem of the scaled model and the prototype usually have different materials with elastic and plastic properties, the differences of material properties and the coexistence of elastoplastic in different deformation stages will lead to the failure of the previous impact similarity theory. Based on the theory of the thin plate impact problem, the similarity law of impact response was derived by using the method of equation similarity analysis for the material with the linear elastic and ideal rigid-plastic properties. The basic equations of the thin plate structure, such as the energy conservation equation and the strain-displacement equation, were analyzed using equation similarity analysis methods, and the similarity scaling factor of the ideal elastic-plastic thin plate structure was derived. Based on the equation similarity analysis methods, a thickness compensation method that can simultaneously consider the similarity of elastic deformation and plastic deformation was proposed. For the impact similarity problem of the scaled model and the prototype using different ideal elastoplastic materials, this method can be used to calculate the geometric sizes and load conditions of the scaled model through the material properties when the response of the scaled model is similar to that of the prototype. Two finite element models of circular plate mass impact and circular plate velocity impact were established.The geometric sizes and load conditions of the scaled model were calculated through the thickness compensation method when the prototype uses aluminum alloy and the scaled model uses different materials such as steel, brass, etc. The applicability of the thickness compensation method was verified by the response of prototype and scaled model. The results show that the structural response of the scaled model obtained by the thickness compensation method can accurately predict the impact response of the prototype, even though the scale model and the scale model use different materials.
For the impact similarity problem of the scaled model and the prototype usually have different materials with elastic and plastic properties, the differences of material properties and the coexistence of elastoplastic in different deformation stages will lead to the failure of the previous impact similarity theory. Based on the theory of the thin plate impact problem, the similarity law of impact response was derived by using the method of equation similarity analysis for the material with the linear elastic and ideal rigid-plastic properties. The basic equations of the thin plate structure, such as the energy conservation equation and the strain-displacement equation, were analyzed using equation similarity analysis methods, and the similarity scaling factor of the ideal elastic-plastic thin plate structure was derived. Based on the equation similarity analysis methods, a thickness compensation method that can simultaneously consider the similarity of elastic deformation and plastic deformation was proposed. For the impact similarity problem of the scaled model and the prototype using different ideal elastoplastic materials, this method can be used to calculate the geometric sizes and load conditions of the scaled model through the material properties when the response of the scaled model is similar to that of the prototype. Two finite element models of circular plate mass impact and circular plate velocity impact were established.The geometric sizes and load conditions of the scaled model were calculated through the thickness compensation method when the prototype uses aluminum alloy and the scaled model uses different materials such as steel, brass, etc. The applicability of the thickness compensation method was verified by the response of prototype and scaled model. The results show that the structural response of the scaled model obtained by the thickness compensation method can accurately predict the impact response of the prototype, even though the scale model and the scale model use different materials.
2021, 41(11): 113301.
doi: 10.11883/bzycj-2021-0134
Abstract:
In order to investigate the ceramic fragmentation behavior of light ceramic composite armors in the process of anti-penetration, ballistic impact tests of ceramic/metal composite armors with different back cover and ceramic thicknesses using a penetrating projectile of 12.7 mm in diameter was carried out. The target was installed in a recycling bin, and the recovery rate of ceramic fragments was above 95%. By observing the macroscopic failure characteristics of the recovered target ceramics, the relationship between different thickness combinations of the ceramics and the main failure characteristics was analyzed. And through the multi-stage screening and weighing of the ceramic fragments, the size distribution law of the ceramic fragments with different thickness combinations was analyzed. The results show that the fracture cone of the ceramic was the main failure characteristic of the ceramic panel, and the macroscopic cracks mainly include radial cracks, ring cracks and conical cracks. The ceramic cone can be subdivided into a crushing zone composed of small powdered ceramic fragments caused by high compressive stress and a broken zone composed of large ceramic fragments caused by stress waves. The size distribution of the ceramic fragments in the ceramic cone after impact satisfies the Rosin-Rammler distribution model. With the increase of the back plate thickness, the half conical angle of the ceramic cone increases, which leads to increases in the overall volume of the ceramic cone and the proportion of the broken zone. The resulting ceramic fragments are mainly large size fragments, and the overall broken size in the ceramic cone increases. When the ceramic thickness increases, the half conical angle and the number of radial cracks remain basically unchanged, the proportion of the crushing zone in the ceramic cone increases, and the overall crushing size decreases.
In order to investigate the ceramic fragmentation behavior of light ceramic composite armors in the process of anti-penetration, ballistic impact tests of ceramic/metal composite armors with different back cover and ceramic thicknesses using a penetrating projectile of 12.7 mm in diameter was carried out. The target was installed in a recycling bin, and the recovery rate of ceramic fragments was above 95%. By observing the macroscopic failure characteristics of the recovered target ceramics, the relationship between different thickness combinations of the ceramics and the main failure characteristics was analyzed. And through the multi-stage screening and weighing of the ceramic fragments, the size distribution law of the ceramic fragments with different thickness combinations was analyzed. The results show that the fracture cone of the ceramic was the main failure characteristic of the ceramic panel, and the macroscopic cracks mainly include radial cracks, ring cracks and conical cracks. The ceramic cone can be subdivided into a crushing zone composed of small powdered ceramic fragments caused by high compressive stress and a broken zone composed of large ceramic fragments caused by stress waves. The size distribution of the ceramic fragments in the ceramic cone after impact satisfies the Rosin-Rammler distribution model. With the increase of the back plate thickness, the half conical angle of the ceramic cone increases, which leads to increases in the overall volume of the ceramic cone and the proportion of the broken zone. The resulting ceramic fragments are mainly large size fragments, and the overall broken size in the ceramic cone increases. When the ceramic thickness increases, the half conical angle and the number of radial cracks remain basically unchanged, the proportion of the crushing zone in the ceramic cone increases, and the overall crushing size decreases.
2021, 41(11): 113302.
doi: 10.11883/bzycj-2020-0463
Abstract:
In order to study the high-speed penetration effect of a structural projectile on a reinforced concrete target, tests of structural projectiles with high velocity penetrating into reinforced concrete target were carried out by using a 35mm-caliber ballistic gun as a launching tool, and the penetration velocity of the projectiles ranges from 1030 m/s to 1520 m/s. The test data of the deformation and failure form, remaining length and remaining mass of the projectiles were obtained through detailed measurement of the recovered projectile. The macro-damage of the targets, the penetration depth and crater size of the target bodies were also obtained. Based on the experimental data, the changes of the projectile structure response, penetration of the dimensionless crater depth, and dimensionless crater diameter with penetration velocity were analyzed. According to the deformation and destruction of the projectiles during the penetration process, the penetration depth and penetration mechanism change with penetration velocity were analyzed, and the partition of the penetration velocity was discussed. The results show that, in the penetration velocity ranges from 1030 m/s to 1390 m/s, the heads of the projectiles are eroded, and the degree of erosion increases with the increase in penetration velocity, and the penetration depth increases approximately linearly with the penetration velocity. When the penetration velocity is in the range of 1390−1480 m/s, the heads of the projectiles are severely eroded, and the penetration depth decreases as the penetration velocity increases. When the impact velocity is higher than 1480 m/s, the projectile bodies are severely broken, and the penetration depth decreases sharply as the penetration velocity increases. According to the damage characteristics of the structural projectiles during high-speed penetration, the penetration velocity is divided into rigid body penetration zone, quasi-rigid body penetration zone, eroded body penetration zone and broken body penetration zone, which can provide a reference for the structural design of ground-penetrating projectile.
In order to study the high-speed penetration effect of a structural projectile on a reinforced concrete target, tests of structural projectiles with high velocity penetrating into reinforced concrete target were carried out by using a 35mm-caliber ballistic gun as a launching tool, and the penetration velocity of the projectiles ranges from 1030 m/s to 1520 m/s. The test data of the deformation and failure form, remaining length and remaining mass of the projectiles were obtained through detailed measurement of the recovered projectile. The macro-damage of the targets, the penetration depth and crater size of the target bodies were also obtained. Based on the experimental data, the changes of the projectile structure response, penetration of the dimensionless crater depth, and dimensionless crater diameter with penetration velocity were analyzed. According to the deformation and destruction of the projectiles during the penetration process, the penetration depth and penetration mechanism change with penetration velocity were analyzed, and the partition of the penetration velocity was discussed. The results show that, in the penetration velocity ranges from 1030 m/s to 1390 m/s, the heads of the projectiles are eroded, and the degree of erosion increases with the increase in penetration velocity, and the penetration depth increases approximately linearly with the penetration velocity. When the penetration velocity is in the range of 1390−1480 m/s, the heads of the projectiles are severely eroded, and the penetration depth decreases as the penetration velocity increases. When the impact velocity is higher than 1480 m/s, the projectile bodies are severely broken, and the penetration depth decreases sharply as the penetration velocity increases. According to the damage characteristics of the structural projectiles during high-speed penetration, the penetration velocity is divided into rigid body penetration zone, quasi-rigid body penetration zone, eroded body penetration zone and broken body penetration zone, which can provide a reference for the structural design of ground-penetrating projectile.
2021, 41(11): 113303.
doi: 10.11883/bzycj-2020-0276
Abstract:
The slamming load and structural response of flexible wedges were investigated by both analytical methods and numerical simulations based on the ALE (arbitrary Lagrangian-Eulerian) coupled method. The cases with various boundary conditions, impact velocities, thicknesses and deadrise angles were simulated and the corresponding slamming loads and the structural responses were discussed as well. The slamming load and the structural response are susceptible to the variation of the deadrise angle. To increase the deadrise angles is an effective way to ensure the structural strength concerning about the impact load. With the increase of the deadrise angle from 10º to 30º, the dimensionless slamming load decreased to 6.9% and the structural response decreased to 6.5%. The hydroelastic effects of the response of the flexible structure under slamming load can be evaluated by the factor\begin{document}${ {R_{\text{F}}} = {C_{\text{B}}}\tan \beta \sqrt {EI/(\rho {L^3})} /v }$\end{document} ![]()
![]()
which combining with boundary condition, deadrise angle and rigidity of the structure. If the RF>1.71, the hydroelastic analytical method is an efficient and effective way to evaluate the response of the flexible structure under slamming load.
The slamming load and structural response of flexible wedges were investigated by both analytical methods and numerical simulations based on the ALE (arbitrary Lagrangian-Eulerian) coupled method. The cases with various boundary conditions, impact velocities, thicknesses and deadrise angles were simulated and the corresponding slamming loads and the structural responses were discussed as well. The slamming load and the structural response are susceptible to the variation of the deadrise angle. To increase the deadrise angles is an effective way to ensure the structural strength concerning about the impact load. With the increase of the deadrise angle from 10º to 30º, the dimensionless slamming load decreased to 6.9% and the structural response decreased to 6.5%. The hydroelastic effects of the response of the flexible structure under slamming load can be evaluated by the factor
2021, 41(11): 114101.
doi: 10.11883/bzycj-2020-0427
Abstract:
In order to achieve bidirectional high strain rate dynamic tension of materials or structures, based on the elastic stress wave propagation theory in bending bars and the principle of the Hopkinson bar, a symmetrical herringbone bending bar was designed. The designed structure can generate and transmit two compression waves at the same time, and convert them into two-way tension waves propagating along the tension bar through the contact adapters. In order to understand the influence of the herringbone bending bar geometric configuration on the propagation of elastic compression waves, the dynamic analysis and ABAQUS finite element analysis (FEA) were carried out for the device. The study shows that after the square compression elastic wave propagates through the bending bar, the platform section of the square wave will incline in high front and low back, and as the bending angle increases, the slope is larger, and the waveform distortion caused by the large curvature rod is more serious. In order to realize the platform segment of the square wave or trapezoidal wave, the tapered impact bar is optimized so that it can be used to generate load waves with low front and high back to offset the tilt distortion in the transmission. In the end, to verify the feasibility and effect of the bidirectional dynamic tensile loading device based on the bidirectional bending Hopkinson bar, a small verification device was built. The results show that the device realized bidirectional tension loading for the pulse width of about 54 μs with good synchronization, the time difference between the starting point of the two waves was less than 2.5 μs, and the amplitude difference was less than 6×10−6. The bidirectional tensile test was carried out on the 2024 aluminum alloy samples, and the good test results were obtained. This confirms that the proposed method can be used for bidirectional dynamic tension and lays the foundation for the expansion of the device to biaxial tensile loading.
In order to achieve bidirectional high strain rate dynamic tension of materials or structures, based on the elastic stress wave propagation theory in bending bars and the principle of the Hopkinson bar, a symmetrical herringbone bending bar was designed. The designed structure can generate and transmit two compression waves at the same time, and convert them into two-way tension waves propagating along the tension bar through the contact adapters. In order to understand the influence of the herringbone bending bar geometric configuration on the propagation of elastic compression waves, the dynamic analysis and ABAQUS finite element analysis (FEA) were carried out for the device. The study shows that after the square compression elastic wave propagates through the bending bar, the platform section of the square wave will incline in high front and low back, and as the bending angle increases, the slope is larger, and the waveform distortion caused by the large curvature rod is more serious. In order to realize the platform segment of the square wave or trapezoidal wave, the tapered impact bar is optimized so that it can be used to generate load waves with low front and high back to offset the tilt distortion in the transmission. In the end, to verify the feasibility and effect of the bidirectional dynamic tensile loading device based on the bidirectional bending Hopkinson bar, a small verification device was built. The results show that the device realized bidirectional tension loading for the pulse width of about 54 μs with good synchronization, the time difference between the starting point of the two waves was less than 2.5 μs, and the amplitude difference was less than 6×10−6. The bidirectional tensile test was carried out on the 2024 aluminum alloy samples, and the good test results were obtained. This confirms that the proposed method can be used for bidirectional dynamic tension and lays the foundation for the expansion of the device to biaxial tensile loading.
2021, 41(11): 114102.
doi: 10.11883/bzycj-2020-0449
Abstract:
According to the requirements on the soft recovery of fragments of expanding cylindrical metal shells under explosion loading, this paper presents a recovery device combining low density polyurethane foam and water medium through theoretical analysis and numerical simulation. Compared to traditional recovery device designed with a single material, the combined recovery device can reduce the amplitude of impact pressure, which is produced by the initial interaction of low impedance polyurethane foam with high speed fragments, by about 1/3 compared to the impact pressure produced by water, and maintain the high decay rate of fragment speed. It can also make full use of the advantages of high density of water medium when the fragment speed is less than 0.5 km/s, which can reduce the decay thickness of the recovery device based on single polyurethane foam. Based on the device, the recovery experiment of expansion and fracture of 304 stainless steel cylindrical shell under explosive loading is carried out. Through the measurement of the wall velocity of the recovery tank and the appearance inspection after the experiment, it is implied that the wall and bottom of the recovery tank are in good condition and can be reused. According to the statistics of the recovered fragments, the recovery rate of the fragments is more than 85%, and the internal and external interfaces of fragments are highly recognizable, the turning blade lines on the surface of the fragments are clearly visible, and several non-penetrating cracks are visible, which verified that the impact damage of the recovery device to the fragments is significantly reduced. Acording to the fracture and surface information of the fragments, the approximate position of the fragments in the metal cylindrical shell is inferred. Finally, the statistical results of the average thickness and mass distribution of the recovered fragments are given.
According to the requirements on the soft recovery of fragments of expanding cylindrical metal shells under explosion loading, this paper presents a recovery device combining low density polyurethane foam and water medium through theoretical analysis and numerical simulation. Compared to traditional recovery device designed with a single material, the combined recovery device can reduce the amplitude of impact pressure, which is produced by the initial interaction of low impedance polyurethane foam with high speed fragments, by about 1/3 compared to the impact pressure produced by water, and maintain the high decay rate of fragment speed. It can also make full use of the advantages of high density of water medium when the fragment speed is less than 0.5 km/s, which can reduce the decay thickness of the recovery device based on single polyurethane foam. Based on the device, the recovery experiment of expansion and fracture of 304 stainless steel cylindrical shell under explosive loading is carried out. Through the measurement of the wall velocity of the recovery tank and the appearance inspection after the experiment, it is implied that the wall and bottom of the recovery tank are in good condition and can be reused. According to the statistics of the recovered fragments, the recovery rate of the fragments is more than 85%, and the internal and external interfaces of fragments are highly recognizable, the turning blade lines on the surface of the fragments are clearly visible, and several non-penetrating cracks are visible, which verified that the impact damage of the recovery device to the fragments is significantly reduced. Acording to the fracture and surface information of the fragments, the approximate position of the fragments in the metal cylindrical shell is inferred. Finally, the statistical results of the average thickness and mass distribution of the recovered fragments are given.
2021, 41(11): 114201.
doi: 10.11883/bzycj-2020-0366
Abstract:
In this paper, in order to improve the resolution of capturing discontinuities, we introduce the pseudo arc-length parameter to make the mesh move to the discontinuities adaptively. By combining the high-precision WENO scheme with the pseudo arc-length algorithm, the advantages of both schemes can be shown, on the one hand, the solution has a higher convergence rate, on the other hand, it has a higher resolution for the region solution with larger physical variation . Because the traditional high-order scheme is based on Cartesian grid, and the grid in the pseudo arc-length numerical calculation is deformed. In view of the non-uniform grid and non-orthogonal deformation grid caused by the grid moving, the original deformed physical space is mapped to the uniform orthogonal arc-length calculation space by introducing coordinate transformation, and then the classical higher order scheme is used to solve the governing equations in the computational coordinate system. Through the comparison of some numerical examples and the analysis of numerical errors, it can be found that the pseudo arc-length algorithm is better than the finite volume method with fixed mesh. The high-order pseudo arc-length algorithm has a very high resolution to capture discontinuities, and the density of the grid near the discontinuities is very high. The adaptive grid movement weakens the singularity of the governing equation near the discontinuity, so the whole solution is smooth and the numerical oscillation is not obvious. This shows that the pseudo arc-length algorithm can overcome the shortcomings of high-order schemes which easily cause numerical oscillations. Finally, the chemical reaction flow problem is calculated. The results show that the high-order pseudo arc-length numerical algorithm with less mesh number has faster convergence rate and higher discontinuous resolution. Therefore, the high-order pseudo arc-length algorithm has obvious advantages in dealing with the strong discontinuity problem of explosion and shock.
In this paper, in order to improve the resolution of capturing discontinuities, we introduce the pseudo arc-length parameter to make the mesh move to the discontinuities adaptively. By combining the high-precision WENO scheme with the pseudo arc-length algorithm, the advantages of both schemes can be shown, on the one hand, the solution has a higher convergence rate, on the other hand, it has a higher resolution for the region solution with larger physical variation . Because the traditional high-order scheme is based on Cartesian grid, and the grid in the pseudo arc-length numerical calculation is deformed. In view of the non-uniform grid and non-orthogonal deformation grid caused by the grid moving, the original deformed physical space is mapped to the uniform orthogonal arc-length calculation space by introducing coordinate transformation, and then the classical higher order scheme is used to solve the governing equations in the computational coordinate system. Through the comparison of some numerical examples and the analysis of numerical errors, it can be found that the pseudo arc-length algorithm is better than the finite volume method with fixed mesh. The high-order pseudo arc-length algorithm has a very high resolution to capture discontinuities, and the density of the grid near the discontinuities is very high. The adaptive grid movement weakens the singularity of the governing equation near the discontinuity, so the whole solution is smooth and the numerical oscillation is not obvious. This shows that the pseudo arc-length algorithm can overcome the shortcomings of high-order schemes which easily cause numerical oscillations. Finally, the chemical reaction flow problem is calculated. The results show that the high-order pseudo arc-length numerical algorithm with less mesh number has faster convergence rate and higher discontinuous resolution. Therefore, the high-order pseudo arc-length algorithm has obvious advantages in dealing with the strong discontinuity problem of explosion and shock.
2021, 41(11): 115201.
doi: 10.11883/bzycj-2020-0378
Abstract:
In order to study the damage effect of blasting load on the surrounding rock of shallow-buried small spacing twin tunnels, the shallow-buried tunneling section of the south extension project of Shunhe Expressway is taken as the engineering background. Firstly, based on the dynamic damage evolution and Hoffman failure criterion, an anisotropic dynamic damage constitutive model for rock materials is established. Then, by using the secondary development function of the LSDYNA software, the constitutive model is applied to the numerical simulation of the tunnel blasting damage. Finally, based on the acoustic wave measurement theory, the wave velocities in the surrounding rock of the shallow-buried small spacing twin tunnels before and after blasting were measured by using non-metallic ultrasonic detectors, and the damage of the surrounding rock is evaluated from changes in wave velocity. The applicability of the anisotropic dynamic damage constitutive model and the accuracy of the numerical results are verified by comparing the numerical simulation results with the field test results. The numerical simulation results show that the maximum damage radius of single-hole blasting is 0.58 m, and the maximum damage depth is 1.88 m. According to the failure threshold of the rock mass, the horizontal failure range of the rock mass can reach 0.14 m, and the failure depth is 1.70 m. According to the field test, the damage degree of the middle intercalated rock is higher than that of the other parts of the surrounding rock in the alternate blasting excavation of the double track tunnel. The damage range of the surrounding rock caused by blasting excavation is about 0.50 m, which is close to the simulation results, and verifying the accuracy of the anisotropic dynamic damage constitutive model. The research results have a certain guiding role on the blasting excavation and damage control of shallow-buried twin tunnels with small spacing..
In order to study the damage effect of blasting load on the surrounding rock of shallow-buried small spacing twin tunnels, the shallow-buried tunneling section of the south extension project of Shunhe Expressway is taken as the engineering background. Firstly, based on the dynamic damage evolution and Hoffman failure criterion, an anisotropic dynamic damage constitutive model for rock materials is established. Then, by using the secondary development function of the LSDYNA software, the constitutive model is applied to the numerical simulation of the tunnel blasting damage. Finally, based on the acoustic wave measurement theory, the wave velocities in the surrounding rock of the shallow-buried small spacing twin tunnels before and after blasting were measured by using non-metallic ultrasonic detectors, and the damage of the surrounding rock is evaluated from changes in wave velocity. The applicability of the anisotropic dynamic damage constitutive model and the accuracy of the numerical results are verified by comparing the numerical simulation results with the field test results. The numerical simulation results show that the maximum damage radius of single-hole blasting is 0.58 m, and the maximum damage depth is 1.88 m. According to the failure threshold of the rock mass, the horizontal failure range of the rock mass can reach 0.14 m, and the failure depth is 1.70 m. According to the field test, the damage degree of the middle intercalated rock is higher than that of the other parts of the surrounding rock in the alternate blasting excavation of the double track tunnel. The damage range of the surrounding rock caused by blasting excavation is about 0.50 m, which is close to the simulation results, and verifying the accuracy of the anisotropic dynamic damage constitutive model. The research results have a certain guiding role on the blasting excavation and damage control of shallow-buried twin tunnels with small spacing..
2021, 41(11): 115401.
doi: 10.11883/bzycj-2021-0078
Abstract:
The branch structure of the tunnel significantly affects the overpressure characteristics of combustible gas explosions in confined space. However, most of previous studies involved explosions in branch vessels were limited to single branch structure, effects of the distribution form and location of the branch structure were rarely considered. In order to explore the influence of various branch distribution forms and locations on overpressure characteristics of vented gasoline-air mixture explosion in closed vessels, the experiments were carried out using three kinds of branch tunnel distribution forms (linear/staggered/symmetrical) and three kinds of branch tunnel locations (near to the spark plug/far from the spark plug/evenly distributed along the main tunnel), under the condition of the same tunnel volume (0.24 m3), initial fuel volume concentration (1.2%) and ignition energy (5 J). The maximum explosion overpressure pmax, the time to reach maximum explosion overpressure, the maximum rates of pressure rise (dp/dt)max, and the deflagration index KG were examined. Moreover, the effects of distribution form and location of branch tunnels on overpressure characteristics were discussed. Results show that explosion overpressure characteristics are strongly influenced by branch tunnels' distribution form and location. In terms of the symmetrical distribution, the maximum explosion overpressure, the maximum rates of pressure rise, and the deflagration index KG are the lowest among the three types of distribution forms of branch tunnel. Linear and staggered distributions have similar overpressure characteristics, whose explosion overpressure, maximum rates of pressure rise, deflagration index KG are 1.14, 1.52 and 1.52 times of those in the symmetrical situation respectively. Time to reach the maximum explosion overpressure and time to reach the maximum rates of pressure rise in the symmetrical situation are delayed, which are 1.31 and 1.30 times of those in the linear and staggered situations respectively. The maximum rates of pressure rise and the deflagration index KG descend in the following distribution locations: far from the spark plug, near to the spark plug, evenly distributed along the main tunnel. The results indicate that the farther the branch tunnel from the ignition end, the larger the explosion intensity index, and the closer the branch tunnel from the ignition end, the earlier the time to reach the maximum explosion overpressure rising rate.
The branch structure of the tunnel significantly affects the overpressure characteristics of combustible gas explosions in confined space. However, most of previous studies involved explosions in branch vessels were limited to single branch structure, effects of the distribution form and location of the branch structure were rarely considered. In order to explore the influence of various branch distribution forms and locations on overpressure characteristics of vented gasoline-air mixture explosion in closed vessels, the experiments were carried out using three kinds of branch tunnel distribution forms (linear/staggered/symmetrical) and three kinds of branch tunnel locations (near to the spark plug/far from the spark plug/evenly distributed along the main tunnel), under the condition of the same tunnel volume (0.24 m3), initial fuel volume concentration (1.2%) and ignition energy (5 J). The maximum explosion overpressure pmax, the time to reach maximum explosion overpressure, the maximum rates of pressure rise (dp/dt)max, and the deflagration index KG were examined. Moreover, the effects of distribution form and location of branch tunnels on overpressure characteristics were discussed. Results show that explosion overpressure characteristics are strongly influenced by branch tunnels' distribution form and location. In terms of the symmetrical distribution, the maximum explosion overpressure, the maximum rates of pressure rise, and the deflagration index KG are the lowest among the three types of distribution forms of branch tunnel. Linear and staggered distributions have similar overpressure characteristics, whose explosion overpressure, maximum rates of pressure rise, deflagration index KG are 1.14, 1.52 and 1.52 times of those in the symmetrical situation respectively. Time to reach the maximum explosion overpressure and time to reach the maximum rates of pressure rise in the symmetrical situation are delayed, which are 1.31 and 1.30 times of those in the linear and staggered situations respectively. The maximum rates of pressure rise and the deflagration index KG descend in the following distribution locations: far from the spark plug, near to the spark plug, evenly distributed along the main tunnel. The results indicate that the farther the branch tunnel from the ignition end, the larger the explosion intensity index, and the closer the branch tunnel from the ignition end, the earlier the time to reach the maximum explosion overpressure rising rate.


Read OL
PDF
Cited by