2022 Vol. 42, No. 9
Display Method:
2022, 42(9): 091401.
doi: 10.11883/bzycj-2021-0416
Abstract:
Different from static loading conditions, the plastic flow behavior of metallic materials under high strain rate loadings, such as impact and explosion, exhibits special rate-temperature coupling effect and deformation micro-mechanism. The design and evaluation of metallic structures used in aerospace and navigation, energy mining, nuclear industry, public safety, disaster prevention, etc. require a large number of experiments under dynamic loadings. In recent years, the rapid-developing computational mechanics can be used to analyze the structural mechanical response under complex loading, evaluate the structural safety and optimize the structural design, and can also save the experimental costs. Accurate dynamic constitutive description of materials is the basis for the reliability of structural numerical simulation. In this paper, the dynamic plastic deformation behavior and micro-mechanism of metals, as well as the origin and development of the dynamic constitutive relationship of metals are reviewed and summarized. Over wide ranges of strain rate and temperature, the metals exhibit complex rate-temperature coupling effect, such as dynamic strain aging and segmented strain rate sensitivity. The high strain rate may lead to dynamic recrystallization, deformation twinning and shock-induced phase transition. The existing constitutive models can be divided into three types: phenomenological models, physically based models and artificial neural network models. Phenomenological models refer to the constitutive models established merely by describing experimental phenomena without considering the internal physical mechanism. Physically based macro-scale continuum models can represent true physical quantities for documenting and tracking the evolution which takes place within metallic materials. Artificial neural network models are good at reproducing the plastic flow behavior as function of many factors, such as strain rate, temperature and plastic strain, without the need of identifying complex logic relationships and parameters within the system. The developments, prediction capabilities, and application scopes of the three types of dynamic constitutive models are illustrated in detail and compared horizontally. In addition, some objective suggestions for the further development of dynamic constitutive descriptions for metals are proposed. Phenomenological models are favored for their ease in application, artificial neural network models are favored for their high prediction accuracy. Recent trend has increased the focus on physically based models. This type of model extends application to a wider strain range and more clearly represents the influence mechanism of strain rate, temperature and strain.
Different from static loading conditions, the plastic flow behavior of metallic materials under high strain rate loadings, such as impact and explosion, exhibits special rate-temperature coupling effect and deformation micro-mechanism. The design and evaluation of metallic structures used in aerospace and navigation, energy mining, nuclear industry, public safety, disaster prevention, etc. require a large number of experiments under dynamic loadings. In recent years, the rapid-developing computational mechanics can be used to analyze the structural mechanical response under complex loading, evaluate the structural safety and optimize the structural design, and can also save the experimental costs. Accurate dynamic constitutive description of materials is the basis for the reliability of structural numerical simulation. In this paper, the dynamic plastic deformation behavior and micro-mechanism of metals, as well as the origin and development of the dynamic constitutive relationship of metals are reviewed and summarized. Over wide ranges of strain rate and temperature, the metals exhibit complex rate-temperature coupling effect, such as dynamic strain aging and segmented strain rate sensitivity. The high strain rate may lead to dynamic recrystallization, deformation twinning and shock-induced phase transition. The existing constitutive models can be divided into three types: phenomenological models, physically based models and artificial neural network models. Phenomenological models refer to the constitutive models established merely by describing experimental phenomena without considering the internal physical mechanism. Physically based macro-scale continuum models can represent true physical quantities for documenting and tracking the evolution which takes place within metallic materials. Artificial neural network models are good at reproducing the plastic flow behavior as function of many factors, such as strain rate, temperature and plastic strain, without the need of identifying complex logic relationships and parameters within the system. The developments, prediction capabilities, and application scopes of the three types of dynamic constitutive models are illustrated in detail and compared horizontally. In addition, some objective suggestions for the further development of dynamic constitutive descriptions for metals are proposed. Phenomenological models are favored for their ease in application, artificial neural network models are favored for their high prediction accuracy. Recent trend has increased the focus on physically based models. This type of model extends application to a wider strain range and more clearly represents the influence mechanism of strain rate, temperature and strain.
2022, 42(9): 091402.
doi: 10.11883/bzycj-2021-0443
Abstract:
The studies of the plastic flow behaviour of metallic materials show that the plastic deformation process of metallic materials is dependent on temperature and strain rate, so the temperature and strain rate sensitivities are the most important essential properties of plastic deformation of metallic materials. It is therefore necessary to establish appropriate thermo-viscoplastic constitutive relations to accurately describe the temperature and strain rate dependences of the plastic flow behaviour of metals over a wide range of temperatures and strain rates. Advantages and disadvantages of these constitutive relationships are first reviewed in the present paper. With the increasing applications of metallic materials and the emergence of new materials, the 3rd type strain aging, K-W lock induced anomalous stress peak, and tensile-compression asymmetry are often observed in the plastic flow behaviour of metals. Due to the occurrence of those phenomena, the traditional metal thermo-viscoplastic constitutive relations may no longer be applicable. In view of the significant roles played by the 3rd type strain aging, K-W lock dislocation structure-induced anomalous stress peaks, and tensile-compression asymmetry in the plastic flow behaviour of metals, especially in high temperature loading, it is necessary to take those particular phenomena into account in the framework of the thermo-viscoplastic constitutive relationship of metals. Thus, a large variety of constitutive relation, which considers the interaction of strain, temperature and strain rate, has been established to predict the deformation behaviors of metals. In this context, this paper presents a systematic review of the thermo-viscoplastic constitutive relationships of metals, which includes the anomalous stress peaks in the flow stresses with temperature due to the 3rd type strain aging or K-W-locked dislocation structures, and the tensile-compression asymmetry. In addition, the forms of these thermo-viscoplastic constitutive relationship considering the 3rd type strain aging, K-W lock dislocation structure-induced anomalous stress peaks and tensile-compression asymmetry in the flow stress of metals, are discussed and analysed.
The studies of the plastic flow behaviour of metallic materials show that the plastic deformation process of metallic materials is dependent on temperature and strain rate, so the temperature and strain rate sensitivities are the most important essential properties of plastic deformation of metallic materials. It is therefore necessary to establish appropriate thermo-viscoplastic constitutive relations to accurately describe the temperature and strain rate dependences of the plastic flow behaviour of metals over a wide range of temperatures and strain rates. Advantages and disadvantages of these constitutive relationships are first reviewed in the present paper. With the increasing applications of metallic materials and the emergence of new materials, the 3rd type strain aging, K-W lock induced anomalous stress peak, and tensile-compression asymmetry are often observed in the plastic flow behaviour of metals. Due to the occurrence of those phenomena, the traditional metal thermo-viscoplastic constitutive relations may no longer be applicable. In view of the significant roles played by the 3rd type strain aging, K-W lock dislocation structure-induced anomalous stress peaks, and tensile-compression asymmetry in the plastic flow behaviour of metals, especially in high temperature loading, it is necessary to take those particular phenomena into account in the framework of the thermo-viscoplastic constitutive relationship of metals. Thus, a large variety of constitutive relation, which considers the interaction of strain, temperature and strain rate, has been established to predict the deformation behaviors of metals. In this context, this paper presents a systematic review of the thermo-viscoplastic constitutive relationships of metals, which includes the anomalous stress peaks in the flow stresses with temperature due to the 3rd type strain aging or K-W-locked dislocation structures, and the tensile-compression asymmetry. In addition, the forms of these thermo-viscoplastic constitutive relationship considering the 3rd type strain aging, K-W lock dislocation structure-induced anomalous stress peaks and tensile-compression asymmetry in the flow stress of metals, are discussed and analysed.
2022, 42(9): 091403.
doi: 10.11883/bzycj-2021-0461
Abstract:
NiTi shape memory alloy, a typical smart and functional material, has been widely applied in various engineering fields due to its excellent superelasticity and shape memory effect originated from reversible thermo-elastic martensite transformation. The phase-field method is a powerful computational approach for modeling and predicting the mesoscale morphology and microstructural evolution of materials. It is employed to describe the microstructural evolution via a set of order parameters that are continuous in both time and space. In this study, a new non-isothermal phase-field model was established based on the time-dependent Ginzburg-Landau kinetic equation. In particular, an additional grain boundary energy term was introduced into the local free energy density to consider the contribution from the grain boundary of a polycrystalline NiTi shape memory alloy system. In order to understand the underlying microscopic mechanisms for the superelastic deformation, the microstructural evolution and the overall mechanical behavior of both single-crystalline and polycrystalline NiTi shape memory alloys were numerically investigated under tensile loading and unloading at 290 K. After that, the intrinsic strain-rate sensitivity of nanocrystalline NiTi shape memory alloy was studied with the grain size of 60 nm at low strain rates (0.0005−15 s−1). The results show that the martensitic transformation in the single crystalline NiTi shape memory alloy is uniform. No austenite-martensite interface was formed during the computation. Superelastic deformation was simulated by a nanocrystalline NiTi phase-field model. Such behavior is achieved through the nucleation and expansion of martensite bands during uniaxial tensile loading as well as the disappearance of martensite bands during unloading. In comparison, the single-crystalline NiTi shape memory alloy processes larger hysteresis area and better superelastic deformation ability than the polycrystalline NiTi shape memory alloy under the same external loading condition. Noticeable strain-rate sensitivity was exhibited in stress-strain relation of the nanocrystalline NiTi shape memory alloys under low-to-medium strain-rate loadings. The phase-transformation stress increases with the rise of implemented strain rate. Such strain-rate dependence is a result of the competition in the phase-field model between the speed of martensitic domain evolution and the speed of external loading.
NiTi shape memory alloy, a typical smart and functional material, has been widely applied in various engineering fields due to its excellent superelasticity and shape memory effect originated from reversible thermo-elastic martensite transformation. The phase-field method is a powerful computational approach for modeling and predicting the mesoscale morphology and microstructural evolution of materials. It is employed to describe the microstructural evolution via a set of order parameters that are continuous in both time and space. In this study, a new non-isothermal phase-field model was established based on the time-dependent Ginzburg-Landau kinetic equation. In particular, an additional grain boundary energy term was introduced into the local free energy density to consider the contribution from the grain boundary of a polycrystalline NiTi shape memory alloy system. In order to understand the underlying microscopic mechanisms for the superelastic deformation, the microstructural evolution and the overall mechanical behavior of both single-crystalline and polycrystalline NiTi shape memory alloys were numerically investigated under tensile loading and unloading at 290 K. After that, the intrinsic strain-rate sensitivity of nanocrystalline NiTi shape memory alloy was studied with the grain size of 60 nm at low strain rates (0.0005−15 s−1). The results show that the martensitic transformation in the single crystalline NiTi shape memory alloy is uniform. No austenite-martensite interface was formed during the computation. Superelastic deformation was simulated by a nanocrystalline NiTi phase-field model. Such behavior is achieved through the nucleation and expansion of martensite bands during uniaxial tensile loading as well as the disappearance of martensite bands during unloading. In comparison, the single-crystalline NiTi shape memory alloy processes larger hysteresis area and better superelastic deformation ability than the polycrystalline NiTi shape memory alloy under the same external loading condition. Noticeable strain-rate sensitivity was exhibited in stress-strain relation of the nanocrystalline NiTi shape memory alloys under low-to-medium strain-rate loadings. The phase-transformation stress increases with the rise of implemented strain rate. Such strain-rate dependence is a result of the competition in the phase-field model between the speed of martensitic domain evolution and the speed of external loading.
2022, 42(9): 091404.
doi: 10.11883/bzycj-2021-0308
Abstract:
Metallic materials are widely used in automotive, aerospace, energy, national defense, and other important fields due to their excellent mechanical properties. During service periods, metallic materials are generally subjected to complex stress states. Recent researches reveal that the plastic behavior of materials is affected by the stress state. Therefore, to accurately describe the plastic flow behavior of materials under complex stress states, the influence of the stress state must be considered in the constitutive model. Under dynamic loading, however, the effects of strain rate and stress state are coupled, which makes it difficult to study the effect of stress state and to establish a stress-state-dependent constitutive model. In this work, mechanical tests were performed under various loading conditions including uniaxial compression, uniaxial tension, and simple shear using the MTS universal testing machine and the split Hopkinson bars technique. The stress-strain curves of Ti-6Al-4V were obtained over a wide range of strain rates and temperatures. It is observed that stress states have an obvious effect on the plastic flow properties and work-hardening characteristics of the material. Based on the experimental results, a new constitutive model that incorporates the influence of the stress triaxiality and the Lode angle parameter was proposed. Under tensile or compressive loading conditions, the flow stress determined by the J-C model is significantly lower than the test results, while the present model can predict the flow stress accurately. To check the applicability of the proposed model, the dynamic experiment of a specimen under the compression-shear combined load was simulated by both the J-C model and the proposed model implemented in the ABAQUS/Explicit software via the VUMAT user subroutine. The results show that the present model exhibits a higher accuracy in the prediction of the flow stress curves. Moreover, this model can predict both the transmitted pulse and the force-displacement curves more accurately. Therefore, the new model can describe the stress state effect successfully and predict the plastic behavior of the material under complex stress states more precisely.
Metallic materials are widely used in automotive, aerospace, energy, national defense, and other important fields due to their excellent mechanical properties. During service periods, metallic materials are generally subjected to complex stress states. Recent researches reveal that the plastic behavior of materials is affected by the stress state. Therefore, to accurately describe the plastic flow behavior of materials under complex stress states, the influence of the stress state must be considered in the constitutive model. Under dynamic loading, however, the effects of strain rate and stress state are coupled, which makes it difficult to study the effect of stress state and to establish a stress-state-dependent constitutive model. In this work, mechanical tests were performed under various loading conditions including uniaxial compression, uniaxial tension, and simple shear using the MTS universal testing machine and the split Hopkinson bars technique. The stress-strain curves of Ti-6Al-4V were obtained over a wide range of strain rates and temperatures. It is observed that stress states have an obvious effect on the plastic flow properties and work-hardening characteristics of the material. Based on the experimental results, a new constitutive model that incorporates the influence of the stress triaxiality and the Lode angle parameter was proposed. Under tensile or compressive loading conditions, the flow stress determined by the J-C model is significantly lower than the test results, while the present model can predict the flow stress accurately. To check the applicability of the proposed model, the dynamic experiment of a specimen under the compression-shear combined load was simulated by both the J-C model and the proposed model implemented in the ABAQUS/Explicit software via the VUMAT user subroutine. The results show that the present model exhibits a higher accuracy in the prediction of the flow stress curves. Moreover, this model can predict both the transmitted pulse and the force-displacement curves more accurately. Therefore, the new model can describe the stress state effect successfully and predict the plastic behavior of the material under complex stress states more precisely.
2022, 42(9): 091405.
doi: 10.11883/bzycj-2021-0227
Abstract:
Aiming at understanding the dynamic mechanical properties of titanium alloys additively manufactured by selective laser melting (SLM), quasi-static and dynamic impact experiments were carried out on selective laser melted Ti-6Al-4V alloy at different temperatures using thermal simulation material testing machine and SHPB device, respectively. Based on the experimental results, the parameters of Johnson-Cook constitutive model are fitted. Meanwhile, the mechanical behaviors of titanium alloy at high temperature and high strain rates were simulated by finite element method. The results show that the yield strength of selective laser melted Ti-6Al-4V alloy is enhanced significantly compared with those of wrought or forged counterparts, Moreover, it exhibits significant strain rate strengthening effect and thermal softening effect. The finite element simulation results are close to the experimental results and further validate the constitutive model parameters, which could provide a theoretical basis for expanding the application of selective laser melting technique and its products.
Aiming at understanding the dynamic mechanical properties of titanium alloys additively manufactured by selective laser melting (SLM), quasi-static and dynamic impact experiments were carried out on selective laser melted Ti-6Al-4V alloy at different temperatures using thermal simulation material testing machine and SHPB device, respectively. Based on the experimental results, the parameters of Johnson-Cook constitutive model are fitted. Meanwhile, the mechanical behaviors of titanium alloy at high temperature and high strain rates were simulated by finite element method. The results show that the yield strength of selective laser melted Ti-6Al-4V alloy is enhanced significantly compared with those of wrought or forged counterparts, Moreover, it exhibits significant strain rate strengthening effect and thermal softening effect. The finite element simulation results are close to the experimental results and further validate the constitutive model parameters, which could provide a theoretical basis for expanding the application of selective laser melting technique and its products.
The application of a modified constitutive model of metals in the simulation of hypervelocity impact
2022, 42(9): 091406.
doi: 10.11883/bzycj-2021-0315
Abstract:
To accurately calculate the hypervelocity impact of 93 tungsten alloy projectile on Q345 steel plate, a modified constitutive model of metals is established. The GRAY three-phase equation of state is introduced to describe the phase change of the material, while the Johnson-Cook strength model is used to describe the mechanical behavior of the material in the late stage of impact process. Combined with the Feng’s damage evolution model and Johnson-Cook failure model, the tensile and shear failure behavior of materials under different stress triaxiality are represented. The fracture evolution model proposed by Cao Xiang is adopted to describe the process of stress vanishing after material failure. The applicability of the constitutive model is then verified by comparing the numerical simulation results with the experimental ones. Furthermore, the spatial distribution characteristics of fragment group in a typical process of a projectile impacting target are analyzed. The results show that based on the modified metal constitutive model, the perforation diameter of the target, the erosion length of projectile and the expansion velocity of fragment group of the hypervelocity impact are consistent with the experimental results. The GRAY three-phase equation of state can relatively accurately give the melting situation of the projectile and target materials when the projectile impacts the first layer of the target plate and the remaining projectile and fragment group impact the second layer of the target plate. The Feng’s damage evolution model can accurately judge whether spallation occurs during the hypervelocity impact. After integrating Feng’s damage evolution model, Johnson-Cook failure model and fracture evolution model proposed by Cao Xiang, the statistical curve of perforation area and cumulative number of aftereffect target plate impacted by fragment group obtained from the numerical simulation are consistent with the experiment data. The spatial distribution results of fragment group of cylindrical 93 tungsten projectile hypervelocity impacting Q345 target plate under typical conditions are obtained, and the front part of fragment group possesses high mass, high axial momentum and high transverse momentum by their absolute values.
To accurately calculate the hypervelocity impact of 93 tungsten alloy projectile on Q345 steel plate, a modified constitutive model of metals is established. The GRAY three-phase equation of state is introduced to describe the phase change of the material, while the Johnson-Cook strength model is used to describe the mechanical behavior of the material in the late stage of impact process. Combined with the Feng’s damage evolution model and Johnson-Cook failure model, the tensile and shear failure behavior of materials under different stress triaxiality are represented. The fracture evolution model proposed by Cao Xiang is adopted to describe the process of stress vanishing after material failure. The applicability of the constitutive model is then verified by comparing the numerical simulation results with the experimental ones. Furthermore, the spatial distribution characteristics of fragment group in a typical process of a projectile impacting target are analyzed. The results show that based on the modified metal constitutive model, the perforation diameter of the target, the erosion length of projectile and the expansion velocity of fragment group of the hypervelocity impact are consistent with the experimental results. The GRAY three-phase equation of state can relatively accurately give the melting situation of the projectile and target materials when the projectile impacts the first layer of the target plate and the remaining projectile and fragment group impact the second layer of the target plate. The Feng’s damage evolution model can accurately judge whether spallation occurs during the hypervelocity impact. After integrating Feng’s damage evolution model, Johnson-Cook failure model and fracture evolution model proposed by Cao Xiang, the statistical curve of perforation area and cumulative number of aftereffect target plate impacted by fragment group obtained from the numerical simulation are consistent with the experiment data. The spatial distribution results of fragment group of cylindrical 93 tungsten projectile hypervelocity impacting Q345 target plate under typical conditions are obtained, and the front part of fragment group possesses high mass, high axial momentum and high transverse momentum by their absolute values.
2022, 42(9): 091407.
doi: 10.11883/bzycj-2022-0154
Abstract:
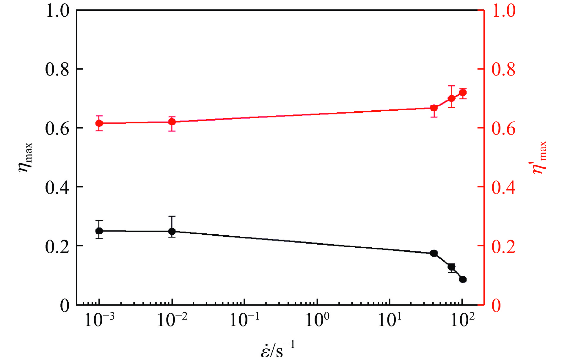
The quasi-static and dynamic tensile mechanical properties of 6061-T6 aluminum alloy in a strain rate range from 0.001 s−1 to 100 s−1 were investigated by using a HMH-206 high-speed material testing machine. The stress-strain response characteristics and strain rate sensitivity of the 6061-T6 aluminum alloy were analyzed, and the effects of strain rate on the flow stress and strain rate sensitivity index were discussed. Based on the experimental results, the Johnson-Cook constitutive model was modified to describe the plastic flow characteristics of the 6061-T6 aluminum alloy under dynamic tensile loading. In addition, the relationship between the fracture strain and stress triaxiality of the notched specimens was established by experiments and simulations, and the values of the parameters in the Johnson-Cook failure model were obtained according to the experimental and simulation results. The results show that the 6061-T6 aluminum alloy exhibits obvious strain hardening characteristics and strain rate strengthening effects, and the flow stress increases with the increase of true strain and strain rate. The strain rate sensitivity index of the material is affected by the coupling effect of strain and strain rate. During the tensile process, the Mises stress of the notched specimens was symmetrically distributed about the minimum cross-section, and the stress triaxiality at the minimum cross-section was symmetrically distributed about the center line along the width and thickness directions. Furthermore, the fracture strain of the material decreases gradually with the increase of the stress triaxiality, and increases approximately linearly with the increasing dimensionless logarithmic strain rate. The plastic flow characteristics of the 6061-T6 aluminum alloy can be described by the modified Johnson-Cook constitutive model, and the parameters in the Johnson-Cook failure model of the material can be obtained by the experiments and simulations on the notched specimens. The verification results indicate that the established models can predict the tensile mechanical response and fracture failure behavior of the 6061-T6 aluminum alloy under a complex stress state.
The quasi-static and dynamic tensile mechanical properties of 6061-T6 aluminum alloy in a strain rate range from 0.001 s−1 to 100 s−1 were investigated by using a HMH-206 high-speed material testing machine. The stress-strain response characteristics and strain rate sensitivity of the 6061-T6 aluminum alloy were analyzed, and the effects of strain rate on the flow stress and strain rate sensitivity index were discussed. Based on the experimental results, the Johnson-Cook constitutive model was modified to describe the plastic flow characteristics of the 6061-T6 aluminum alloy under dynamic tensile loading. In addition, the relationship between the fracture strain and stress triaxiality of the notched specimens was established by experiments and simulations, and the values of the parameters in the Johnson-Cook failure model were obtained according to the experimental and simulation results. The results show that the 6061-T6 aluminum alloy exhibits obvious strain hardening characteristics and strain rate strengthening effects, and the flow stress increases with the increase of true strain and strain rate. The strain rate sensitivity index of the material is affected by the coupling effect of strain and strain rate. During the tensile process, the Mises stress of the notched specimens was symmetrically distributed about the minimum cross-section, and the stress triaxiality at the minimum cross-section was symmetrically distributed about the center line along the width and thickness directions. Furthermore, the fracture strain of the material decreases gradually with the increase of the stress triaxiality, and increases approximately linearly with the increasing dimensionless logarithmic strain rate. The plastic flow characteristics of the 6061-T6 aluminum alloy can be described by the modified Johnson-Cook constitutive model, and the parameters in the Johnson-Cook failure model of the material can be obtained by the experiments and simulations on the notched specimens. The verification results indicate that the established models can predict the tensile mechanical response and fracture failure behavior of the 6061-T6 aluminum alloy under a complex stress state.
2022, 42(9): 091408.
doi: 10.11883/bzycj-2022-0037
Abstract:
This paper first reviews the development and relevant issues in relation to the strain rate effects on the compressive strength of concrete-like materials. For different characteristics of strain-rate effects on the dynamic compressive strength of concrete-like materials under various stress states, it reveals the significant discrepancies in the measured dynamic increase factors (DIF) under different loading paths. At high strain-rate loading, the test specimen based on the initial 1D-stress state gradually evolves to a multiaxial one due to the increasing lateral confining pressure caused by the lateral inertia effect. The traditional split Hopkinson pressure bar (SHPB) test cannot obtain the genuine DIF data under real 1D-stress state at high strain rates. The strength models based on the direct adaptation of the experimentally measured DIF using SHPB overestimate the dynamic strength of these materials. Considering the loading-path dependence of the strain-rate effect, this study extends the DIF model depending only on strain-rate to a more general DIF model depending on both the strain-rate and the stress state, which is then implemented into the Drucker-Prager strength model. Numerical SHPB tests are conducted on samples with free and constrained boundaries. The comparison between test data and numerical predications shows that the proposed DIF model can describe the stress state dependency of the strain rate effect, and hence can predict the dynamic compressive strength of concrete-lime materials more accurately. The present study is of great significance for correctly applying SHPB technology to determine the dynamic compressive strength of brittle materials.
This paper first reviews the development and relevant issues in relation to the strain rate effects on the compressive strength of concrete-like materials. For different characteristics of strain-rate effects on the dynamic compressive strength of concrete-like materials under various stress states, it reveals the significant discrepancies in the measured dynamic increase factors (DIF) under different loading paths. At high strain-rate loading, the test specimen based on the initial 1D-stress state gradually evolves to a multiaxial one due to the increasing lateral confining pressure caused by the lateral inertia effect. The traditional split Hopkinson pressure bar (SHPB) test cannot obtain the genuine DIF data under real 1D-stress state at high strain rates. The strength models based on the direct adaptation of the experimentally measured DIF using SHPB overestimate the dynamic strength of these materials. Considering the loading-path dependence of the strain-rate effect, this study extends the DIF model depending only on strain-rate to a more general DIF model depending on both the strain-rate and the stress state, which is then implemented into the Drucker-Prager strength model. Numerical SHPB tests are conducted on samples with free and constrained boundaries. The comparison between test data and numerical predications shows that the proposed DIF model can describe the stress state dependency of the strain rate effect, and hence can predict the dynamic compressive strength of concrete-lime materials more accurately. The present study is of great significance for correctly applying SHPB technology to determine the dynamic compressive strength of brittle materials.
2022, 42(9): 091409.
doi: 10.11883/bzycj-2021-0363
Abstract:
The establishment of the dynamic mechanical model of rock materials and the determination of the relevant model parameters are of great significance to the studies of rock’s dynamic mechanical properties and related simulation calculation. Taking granite in Shandong Province as the experimental object, based on the Kong-Fang fluid elastic-plastic damage material model (KF model), the model parameters are classified into three categories, and the test scheme is then correspondingly determined. The basic strength parameters of the KF model were measured by quasi-static uniaxial compression and unconfined splitting tests. The strength-surface related material parameters were fitted by the results of the conventional triaxial tests under five different confining pressure conditions. In addition, the dynamic split Hopkinson pressure bar (SHPB) tests under several strain rate conditions were carried out to determine the strain-rate related parameters, of which the effectiveness were then verified by the dynamic split Hopkinson pressure bar-Brazilian disk (SHPB-BD) tests results. According to the principle of reverse impact and the Rankine-Hugoniot equation, the plate impact experiments with different impact stress levels were conducted by using a single-stage light gas gun, the state equation parameters in the KF model were fitted according to the impact Hugoniot results of rock samples. To verify the applicability of the material model and the experimentally measured parameter values, the simulation of a penetration process is furtherly conducted. The granite penetration tests were carried out by using a\begin{document}$\varnothing $\end{document} ![]()
![]()
30 mm caliber gun. The \begin{document}$\varnothing $\end{document} ![]()
![]()
20 mm bullets penetrated the \begin{document}$\varnothing $\end{document} ![]()
![]()
1200 mm×800 mm rock targets vertically, which was used to characterize the semi-infinite thickness condition, at an approximately designed speed of 670 m/s. To avoid accidental errors, combined with the high-speed photographic images, three effective penetrate results were obtained. The penetration depth and crater size of the target failure surface were directly measured and scanned by 3D scanner, the experimental average penetration depth, maximum and minimum diameters of the penetration craters were approximately 80.62 mm, 381.47 mm and 263.01 mm, respectively. Using the parameter values obtained from the laboratory experiments, the KF model is then implemented into LS-DYNA through a user-defined material model and used to simulate the penetration test of granite. According to the simulation result of damage distribution and cratering parameters of the target, the calculated penetration depth, maximum and minimum diameters of craters are 80.02 mm, 400 mm and 300 mm, respectively, so the errors between the calculated and the test results are less than 15%, which is acceptable in dynamic problems. The agreement between the numerical and experimental results provides a support to the application of the KF model and the relevant parameter values.
The establishment of the dynamic mechanical model of rock materials and the determination of the relevant model parameters are of great significance to the studies of rock’s dynamic mechanical properties and related simulation calculation. Taking granite in Shandong Province as the experimental object, based on the Kong-Fang fluid elastic-plastic damage material model (KF model), the model parameters are classified into three categories, and the test scheme is then correspondingly determined. The basic strength parameters of the KF model were measured by quasi-static uniaxial compression and unconfined splitting tests. The strength-surface related material parameters were fitted by the results of the conventional triaxial tests under five different confining pressure conditions. In addition, the dynamic split Hopkinson pressure bar (SHPB) tests under several strain rate conditions were carried out to determine the strain-rate related parameters, of which the effectiveness were then verified by the dynamic split Hopkinson pressure bar-Brazilian disk (SHPB-BD) tests results. According to the principle of reverse impact and the Rankine-Hugoniot equation, the plate impact experiments with different impact stress levels were conducted by using a single-stage light gas gun, the state equation parameters in the KF model were fitted according to the impact Hugoniot results of rock samples. To verify the applicability of the material model and the experimentally measured parameter values, the simulation of a penetration process is furtherly conducted. The granite penetration tests were carried out by using a
2022, 42(9): 091410.
doi: 10.11883/bzycj-2022-0201
Abstract:
The quasi-static and dynamic compressive mechanical properties of flexible polyurethane foam were studied by using a DDL-200 electronic universal testing machine and an Instron 9350 drop-weight testing machine in a range of strain rates from 0.001 to 100 s−1. The stress-strain characteristics and strain rate sensitivity were analyzed, and the effect of strain rate on strain rate sensitivity index and energy absorption performance was discussed. Based on the experimental results, the strain rate-independent constitutive model was established to accurately describe the dynamic compressive mechanical behavior of the flexible polyurethane foam. The results show that the compressive stress-strain responses of flexible polyurethane foam exhibit typical three-stage deformation characteristics including initial elastic region, extended plateau region and final densification region, and the characteristics of material mesostructure at different deformation regions were analyzed. In addition, the material display an obvious strain rate-strengthening effect, both the yield stress and platform stress increase with the increase of strain rate, and the strain rate sensitivity index is affected by the coupling of strain rate and compressive strain. The energy absorption, energy absorption efficiency and specific energy absorption of flexible polyurethane foam at different strain rates were compared and the material shows higher energy absorption efficiency but less energy absorption, and strain rate has little effect on maximum energy absorption efficiency and specific energy absorption under quasi-static loading. With the increase of strain rate, the maximum energy absorption efficiency significantly reduces and the specific energy absorption significantly increases under dynamic loading. Both the modified Sherwood-Frost model and the modified Avalle model considering the effect of strain rate can well characterize the static and dynamic compressive stress-strain responses of the flexible polyurethane foam, but the modified Avalle model is easier to apply in engineering due to its fewer parameters. The research results can provide a guide for the design and optimization of flexible polyurethane foam on impact-resistant structures.
The quasi-static and dynamic compressive mechanical properties of flexible polyurethane foam were studied by using a DDL-200 electronic universal testing machine and an Instron 9350 drop-weight testing machine in a range of strain rates from 0.001 to 100 s−1. The stress-strain characteristics and strain rate sensitivity were analyzed, and the effect of strain rate on strain rate sensitivity index and energy absorption performance was discussed. Based on the experimental results, the strain rate-independent constitutive model was established to accurately describe the dynamic compressive mechanical behavior of the flexible polyurethane foam. The results show that the compressive stress-strain responses of flexible polyurethane foam exhibit typical three-stage deformation characteristics including initial elastic region, extended plateau region and final densification region, and the characteristics of material mesostructure at different deformation regions were analyzed. In addition, the material display an obvious strain rate-strengthening effect, both the yield stress and platform stress increase with the increase of strain rate, and the strain rate sensitivity index is affected by the coupling of strain rate and compressive strain. The energy absorption, energy absorption efficiency and specific energy absorption of flexible polyurethane foam at different strain rates were compared and the material shows higher energy absorption efficiency but less energy absorption, and strain rate has little effect on maximum energy absorption efficiency and specific energy absorption under quasi-static loading. With the increase of strain rate, the maximum energy absorption efficiency significantly reduces and the specific energy absorption significantly increases under dynamic loading. Both the modified Sherwood-Frost model and the modified Avalle model considering the effect of strain rate can well characterize the static and dynamic compressive stress-strain responses of the flexible polyurethane foam, but the modified Avalle model is easier to apply in engineering due to its fewer parameters. The research results can provide a guide for the design and optimization of flexible polyurethane foam on impact-resistant structures.
2022, 42(9): 091411.
doi: 10.11883/bzycj-2021-0475
Abstract:
During engineering construction and service in seasonally frozen soil regions, frozen soil is often subjected to the combined action of freeze-thaw (F-T) cycles and impact loading, which changes its physical state and mechanical properties. In order to explore the effect of F-T cycles on the impact dynamic mechanical properties of frozen soil, in this paper, the typical frozen soil was taken as the research object, and the effect of F-T cycles on the impact dynamic mechanical properties of frozen soil was comprehensively studied with the help of high and low temperature F-T cycles experimental equipment and a split Hopkinson pressure bar device, through F-T cycles experiments with different F-T cycles numbers, freezing experiments at different temperatures, and impact dynamic experiments with different strain rates. The results shows that there is an F-T cycles effect in frozen soil. With the increase of the number of F-T cycles, the peak stress of frozen soil decreases to a certain extent, but after reaching the critical number of F-T cycles, the peak stress remains stable. According to the hydrostatic pressure theory, it is believed that the F-T cycles mainly changes the mechanical properties of frozen soil by changing its microstructural characteristics. Meanwhile, the frozen soil also exhibits obvious strain rate effect and temperature effect, and its peak stress increases with the increase of strain rate or the decrease of temperature. The F-T damage factor was defined by the peak stress, and the impact damage was deduced by a statistical method that it assumes the microstructure strength of frozen soil satisfies the Weibull distribution, a damage viscoelastic constitutive model based on the Z-W-T equation was proposed. The model can better describe the impact dynamic mechanical behavior of frozen soil after F-T cycles and provide reference for the impact dynamic damage of frozen soil in seasonally frozen soil regions.
During engineering construction and service in seasonally frozen soil regions, frozen soil is often subjected to the combined action of freeze-thaw (F-T) cycles and impact loading, which changes its physical state and mechanical properties. In order to explore the effect of F-T cycles on the impact dynamic mechanical properties of frozen soil, in this paper, the typical frozen soil was taken as the research object, and the effect of F-T cycles on the impact dynamic mechanical properties of frozen soil was comprehensively studied with the help of high and low temperature F-T cycles experimental equipment and a split Hopkinson pressure bar device, through F-T cycles experiments with different F-T cycles numbers, freezing experiments at different temperatures, and impact dynamic experiments with different strain rates. The results shows that there is an F-T cycles effect in frozen soil. With the increase of the number of F-T cycles, the peak stress of frozen soil decreases to a certain extent, but after reaching the critical number of F-T cycles, the peak stress remains stable. According to the hydrostatic pressure theory, it is believed that the F-T cycles mainly changes the mechanical properties of frozen soil by changing its microstructural characteristics. Meanwhile, the frozen soil also exhibits obvious strain rate effect and temperature effect, and its peak stress increases with the increase of strain rate or the decrease of temperature. The F-T damage factor was defined by the peak stress, and the impact damage was deduced by a statistical method that it assumes the microstructure strength of frozen soil satisfies the Weibull distribution, a damage viscoelastic constitutive model based on the Z-W-T equation was proposed. The model can better describe the impact dynamic mechanical behavior of frozen soil after F-T cycles and provide reference for the impact dynamic damage of frozen soil in seasonally frozen soil regions.


PDF
Cited by
Read OL