2023 Vol. 43, No. 1
Display Method:
2023, 43(1): 011101.
doi: 10.11883/bzycj-2022-0318
Abstract:
Natural materials such as shells and oysters have attracted extensive attention in the field of material design due to their lightweight and high-strength mechanical properties. However, due to the complex structure of shells, it is very difficult to study their mechanical behavior. In recent years, fractional-order models have been successful in studying the mechanical properties of materials. Compared with the traditional constitutive model, the fractional model can better characterize the relationship between the complex media’s stress or strain and time. Therefore, based on wave propagation theory and by using the time-dependent fractional-order model as the material constitutive model, the complex medium is simplified to the uniform medium, and its governing equation is obtained by then. The analytic solution of the governing equation which is a function of space coordinate x and Laplace variable s is obtained by the Laplace transform. It is hard to obtain the analytical solution of space coordinate x and time t directly through the inverse Laplace transform, so the numerical inverse Laplace transform is used to obtain the numerical solution of the governing equation in the time domain. The sensitivity of wave attenuation to parameters in the fractional model is analyzed. The inertial properties, which are different from the elastic and viscous properties of materials, are also discussed by analyzing the attenuation characteristics of stress waves when the order α is 0, 1.0, and 2.0 respectively. Then, based on the analytical solution of the governing equation and a variety of experimental test signals, a fitting formula is given to obtain the parameters of the fractional model. Oyster material with layered structure is taken as the research object. To obtain the local dynamic mechanical properties of oyster samples, the CO2 pulse laser was used to carry out the impact loading of the small sample due to the high variability of the density distribution of oyster samples, and the two-point laser interferometer velocimetry system (VISAR) was used to measure the surface particle velocity. The particle velocity time history curve of the oyster sample with different densities and thicknesses was obtained. Combined with the above fitting formula, the parameters of the Abel model and Maxwell fractional differential model of oyster samples were obtained by fixing and unfixing the values of fractional order α, and the model parameters reflected the fine microstructure characteristics of oyster samples. The results show that the higher the density of the oyster sample is, the higher the proportion of nacre with brick and mortar structure in fine and micro, the greater the velocity attenuation, and the greater the viscosity of the oyster sample. The laser wavelength emitted by the CO2 laser pulse is similar to the size of the gap between brick and mortar structures in the nacre of the oyster sample, so the laser has a large scattering when it impacts the nacre of the oyster sample, which causes the velocity attenuation. This study has a good reference significance for the study of the dynamic properties of meso-isomeric and macro-continuous complex media.
Natural materials such as shells and oysters have attracted extensive attention in the field of material design due to their lightweight and high-strength mechanical properties. However, due to the complex structure of shells, it is very difficult to study their mechanical behavior. In recent years, fractional-order models have been successful in studying the mechanical properties of materials. Compared with the traditional constitutive model, the fractional model can better characterize the relationship between the complex media’s stress or strain and time. Therefore, based on wave propagation theory and by using the time-dependent fractional-order model as the material constitutive model, the complex medium is simplified to the uniform medium, and its governing equation is obtained by then. The analytic solution of the governing equation which is a function of space coordinate x and Laplace variable s is obtained by the Laplace transform. It is hard to obtain the analytical solution of space coordinate x and time t directly through the inverse Laplace transform, so the numerical inverse Laplace transform is used to obtain the numerical solution of the governing equation in the time domain. The sensitivity of wave attenuation to parameters in the fractional model is analyzed. The inertial properties, which are different from the elastic and viscous properties of materials, are also discussed by analyzing the attenuation characteristics of stress waves when the order α is 0, 1.0, and 2.0 respectively. Then, based on the analytical solution of the governing equation and a variety of experimental test signals, a fitting formula is given to obtain the parameters of the fractional model. Oyster material with layered structure is taken as the research object. To obtain the local dynamic mechanical properties of oyster samples, the CO2 pulse laser was used to carry out the impact loading of the small sample due to the high variability of the density distribution of oyster samples, and the two-point laser interferometer velocimetry system (VISAR) was used to measure the surface particle velocity. The particle velocity time history curve of the oyster sample with different densities and thicknesses was obtained. Combined with the above fitting formula, the parameters of the Abel model and Maxwell fractional differential model of oyster samples were obtained by fixing and unfixing the values of fractional order α, and the model parameters reflected the fine microstructure characteristics of oyster samples. The results show that the higher the density of the oyster sample is, the higher the proportion of nacre with brick and mortar structure in fine and micro, the greater the velocity attenuation, and the greater the viscosity of the oyster sample. The laser wavelength emitted by the CO2 laser pulse is similar to the size of the gap between brick and mortar structures in the nacre of the oyster sample, so the laser has a large scattering when it impacts the nacre of the oyster sample, which causes the velocity attenuation. This study has a good reference significance for the study of the dynamic properties of meso-isomeric and macro-continuous complex media.
2023, 43(1): 012101.
doi: 10.11883/bzycj-2022-0259
Abstract:
To study the effect mechanism of magnetic fields on methane explosion, an experiment was carried out by detonating the premixed gas of methane with the volume fraction of 9.5% and air as the rest constituent in a magnetic fields. Effect patterns of magnetic fields on methane explosion characteristics emerged based on the explosion pressure measured by pressure sensors and flame propagation velocity measured by detonation velocity meter. The gas after explosion was quantitatively sampled by gas sampler, and the volume fraction of reactants and products was detected by flue gas analyzer and gas chromatograph. Thus, the effect patterns of magnetic fields on the volume fraction of methane explosion products and reactants was obtained. The experimental results show that in the magnetic fields, the maximum explosion pressure of methane is decreased by 27.33%, and the explosion pressure rise rate is decreased by 40.96%. Along the flame propagation direction, the magnetic fields first promote and then suppress the flame propagation velocity of methane explosion, and the suppression effect is stronger than the promotion effect. Under the magnetic fields, the average flame propagation velocity of methane explosion is decreased by 16.39%. The volume fraction of reactants and products show obvious differences. The residue of methane and oxygen increased by 28.81% and 66.98%, respectively. The production of CO and CO2 decreased by 20.00% and 12.90%, respectively. Combined with sensitivity analysis, the methane explosion chain reaction process is simulated by the Chemkin-Pro software to derive the key radical and radical reactions in the methane explosion process. The •H, •O, •OH, •CH3, •CH2O are the key free radicals of methane explosion. Through theoretical calculation, the forces of different free radicals under the action of magnetic fields are analyzed. Combined with the reaction paths analysis, the effect mechanism of magnetic fields on methane explosion was explored. Due to the high magnetic susceptibility of •O, it is attracted to areas with dense magnetic induction line. The collision probability of •O with other free radicals is reduced, thereby reducing the rate of the •HCO→CO→CO2 chain reaction, resulting in a decrease in the production of CO and CO2, which ultimately leads to a decrease in methane explosion intensity.
To study the effect mechanism of magnetic fields on methane explosion, an experiment was carried out by detonating the premixed gas of methane with the volume fraction of 9.5% and air as the rest constituent in a magnetic fields. Effect patterns of magnetic fields on methane explosion characteristics emerged based on the explosion pressure measured by pressure sensors and flame propagation velocity measured by detonation velocity meter. The gas after explosion was quantitatively sampled by gas sampler, and the volume fraction of reactants and products was detected by flue gas analyzer and gas chromatograph. Thus, the effect patterns of magnetic fields on the volume fraction of methane explosion products and reactants was obtained. The experimental results show that in the magnetic fields, the maximum explosion pressure of methane is decreased by 27.33%, and the explosion pressure rise rate is decreased by 40.96%. Along the flame propagation direction, the magnetic fields first promote and then suppress the flame propagation velocity of methane explosion, and the suppression effect is stronger than the promotion effect. Under the magnetic fields, the average flame propagation velocity of methane explosion is decreased by 16.39%. The volume fraction of reactants and products show obvious differences. The residue of methane and oxygen increased by 28.81% and 66.98%, respectively. The production of CO and CO2 decreased by 20.00% and 12.90%, respectively. Combined with sensitivity analysis, the methane explosion chain reaction process is simulated by the Chemkin-Pro software to derive the key radical and radical reactions in the methane explosion process. The •H, •O, •OH, •CH3, •CH2O are the key free radicals of methane explosion. Through theoretical calculation, the forces of different free radicals under the action of magnetic fields are analyzed. Combined with the reaction paths analysis, the effect mechanism of magnetic fields on methane explosion was explored. Due to the high magnetic susceptibility of •O, it is attracted to areas with dense magnetic induction line. The collision probability of •O with other free radicals is reduced, thereby reducing the rate of the •HCO→CO→CO2 chain reaction, resulting in a decrease in the production of CO and CO2, which ultimately leads to a decrease in methane explosion intensity.
2023, 43(1): 012102.
doi: 10.11883/bzycj-2021-0496
Abstract:
To study the explosion mechanism and the energy conversion process of the interaction between low melting point metal tin and water, a visual experiment platform is built to monitor the contact reaction processes at different mass ratios of tin to water, e.g., 5, 10, 15 and 20. The platform consists of a high-frequency melting furnace, a high-speed camera, signal collectors and other equipment. Meanwhile, high melting point metal aluminum is selected for comparative experiments under the same experimental conditions to explore the differences in reaction characteristics between low melting point metal tin and high melting point metal aluminum during the steam explosion. Some mathematical calculation models are established to quantitatively analyze the shock wave energy in line with the law of conservation and explosive shock theory. The results show that two steam explosions are triggered when molten tin reacted with water at a mass ratio 5; and in the comparative explosion experiments of molten tin with water and molten aluminum with water under the same experimental conditions, the reaction intensity and the duration during the explosion of molten metal with water are respectively related to the degree of fragmentation and thermal diffusivity. In addition, the calculation indicates that about 0.45% to 10.91% of the heat energy stored in the molten tin is converted into the explosion shock wave energy throughout the steam explosions. Moreover, the shock wave energy conversion ratio is affected by the mass ratio; and this effect is reflected in that the energy conversion ratio of the shock wave first increases and then decreases with the increase in mass ratio; when the mass ratio is 10, the energy conversion ratio is the largest. It is also found in comparison experiments that the shock wave energy conversion ratios in the explosion experiments of tin reacting with water are higher than the shock wave energy conversion ratios in the explosion experiments of aluminum reacting with water when the mass ratio is less than 12.69.
To study the explosion mechanism and the energy conversion process of the interaction between low melting point metal tin and water, a visual experiment platform is built to monitor the contact reaction processes at different mass ratios of tin to water, e.g., 5, 10, 15 and 20. The platform consists of a high-frequency melting furnace, a high-speed camera, signal collectors and other equipment. Meanwhile, high melting point metal aluminum is selected for comparative experiments under the same experimental conditions to explore the differences in reaction characteristics between low melting point metal tin and high melting point metal aluminum during the steam explosion. Some mathematical calculation models are established to quantitatively analyze the shock wave energy in line with the law of conservation and explosive shock theory. The results show that two steam explosions are triggered when molten tin reacted with water at a mass ratio 5; and in the comparative explosion experiments of molten tin with water and molten aluminum with water under the same experimental conditions, the reaction intensity and the duration during the explosion of molten metal with water are respectively related to the degree of fragmentation and thermal diffusivity. In addition, the calculation indicates that about 0.45% to 10.91% of the heat energy stored in the molten tin is converted into the explosion shock wave energy throughout the steam explosions. Moreover, the shock wave energy conversion ratio is affected by the mass ratio; and this effect is reflected in that the energy conversion ratio of the shock wave first increases and then decreases with the increase in mass ratio; when the mass ratio is 10, the energy conversion ratio is the largest. It is also found in comparison experiments that the shock wave energy conversion ratios in the explosion experiments of tin reacting with water are higher than the shock wave energy conversion ratios in the explosion experiments of aluminum reacting with water when the mass ratio is less than 12.69.
2023, 43(1): 012201.
doi: 10.11883/bzycj-2022-0232
Abstract:
In order to study the propagation law and load characteristics of shock wave at the corner due to the internal blast in a closed cabin, a typical cabin explosion test was carried out using a scaled model. Overpressure loads of shock wave in one-sided, two-sided and three-sided corners were obtained. The EULER-FCT algorithm in the AUTODYN software was used to simulate the explosion test in the cabin, and the shock wave propagation law and load characteristics at three characteristic positions were studied. The results show that the overpressure time history curve of the wall reflected shock wave far from the corner is a single-peak structure, and the reflected shock wave propagates in a spherical shape. Within a certain range from the two-sided corner, the shock wave overpressure curve is a double-peak structure. The shock wave overpressure time history curve at the edge of the two-sided corner is a single-peak structure. And the corner convergent shock wave propagates in an ellipsoid shape. The peak overpressure and specific impulse of the two-sided corner convergent shock wave are about 1.83 times and 3.77 times more than those of the wall reflected shock wave at the same position. Within a certain range from the three-sided corner, the shock wave overpressure curve is a multi-peak structure. The shock wave overpressure time history curve at the three-sided corner is a single-peak structure. And the corner convergent shock wave propagates in a spherical shape. The converging ability of the three-sided corner to the shock wave is stronger than that of the two-sided corner. The peak overpressure and specific impulse of the converging shock wave in the three-sided corner are about 7.6 times and 10.4 times those of the wall reflected shock wave at the same position. Under certain assumptions, according to dimensional analysis and numerical simulation of typical compartments under different TNT charge internal explosion conditions, an empirical calculation formula of corner convergent reflected shock wave load at the first impact was obtained.
In order to study the propagation law and load characteristics of shock wave at the corner due to the internal blast in a closed cabin, a typical cabin explosion test was carried out using a scaled model. Overpressure loads of shock wave in one-sided, two-sided and three-sided corners were obtained. The EULER-FCT algorithm in the AUTODYN software was used to simulate the explosion test in the cabin, and the shock wave propagation law and load characteristics at three characteristic positions were studied. The results show that the overpressure time history curve of the wall reflected shock wave far from the corner is a single-peak structure, and the reflected shock wave propagates in a spherical shape. Within a certain range from the two-sided corner, the shock wave overpressure curve is a double-peak structure. The shock wave overpressure time history curve at the edge of the two-sided corner is a single-peak structure. And the corner convergent shock wave propagates in an ellipsoid shape. The peak overpressure and specific impulse of the two-sided corner convergent shock wave are about 1.83 times and 3.77 times more than those of the wall reflected shock wave at the same position. Within a certain range from the three-sided corner, the shock wave overpressure curve is a multi-peak structure. The shock wave overpressure time history curve at the three-sided corner is a single-peak structure. And the corner convergent shock wave propagates in a spherical shape. The converging ability of the three-sided corner to the shock wave is stronger than that of the two-sided corner. The peak overpressure and specific impulse of the converging shock wave in the three-sided corner are about 7.6 times and 10.4 times those of the wall reflected shock wave at the same position. Under certain assumptions, according to dimensional analysis and numerical simulation of typical compartments under different TNT charge internal explosion conditions, an empirical calculation formula of corner convergent reflected shock wave load at the first impact was obtained.
2023, 43(1): 012202.
doi: 10.11883/bzycj-2021-4058
Abstract:
The crimped flame arrester is a common disaster prevention and control device. Most of the research focuses on the higher-pressure working conditions instead of the pressure lower than 0.1 MPa when it applies in special areas or environments. This paper explores the quenching characteristics of different combustible gas-air mixtures passing through crimped ribbon flame arresters at different initial pressures to replenish the low-pressure protection test and understand the factors affecting the performance of the flame arrester deeply. The experiments were carried out in the DN80 circular pipe. And the crimped ribbon plate slit channel with a cross-section of an approximately equilateral triangle is 38 mm long and 0.8 mm high. The experimental gases are premixed propane-air with a volume fraction of 4.2% and premixed ethylene-air with different concentrations obtained according to the partial pressure method. The ignition voltage is 10 kV. It is found that the activity, concentration, and initial pressure of combustible gas will affect the stability of flame velocity, propagation mode, and quenching difficulty. The results show that there are three modes of flame propagation: direct quenching, quenching after passing through the flame retardant unit, and quenching failure. They can be explained as the flame not passing through the slits, the flame passing through the slits but being extinguished before reaching the pipe end, and the flame keeps spreading until the pipe end. Also, the velocity oscillation occurs on the unprotected side of the pipeline, and the velocity rises incredibly when the quenching failed flame passes through the protected side. The formula of deflagration flame quenching velocity of premixed propane-air in a closed pipe was established based on the heat transfer effect and verified by the quenching experiment of premixed gas with a volume fraction of 4.2%. The maximum initial pressure is defined as the limit pressure that quenching would fail at initial pressure higher than it. It is proposed to use the limit pressure to characterize the degree of quenching difficulty. It is worth remarking that quenching is the most difficult at stoichiometric concentration, where the limit pressure is the smallest, and the limit pressure will remain constant within a certain concentration range.
The crimped flame arrester is a common disaster prevention and control device. Most of the research focuses on the higher-pressure working conditions instead of the pressure lower than 0.1 MPa when it applies in special areas or environments. This paper explores the quenching characteristics of different combustible gas-air mixtures passing through crimped ribbon flame arresters at different initial pressures to replenish the low-pressure protection test and understand the factors affecting the performance of the flame arrester deeply. The experiments were carried out in the DN80 circular pipe. And the crimped ribbon plate slit channel with a cross-section of an approximately equilateral triangle is 38 mm long and 0.8 mm high. The experimental gases are premixed propane-air with a volume fraction of 4.2% and premixed ethylene-air with different concentrations obtained according to the partial pressure method. The ignition voltage is 10 kV. It is found that the activity, concentration, and initial pressure of combustible gas will affect the stability of flame velocity, propagation mode, and quenching difficulty. The results show that there are three modes of flame propagation: direct quenching, quenching after passing through the flame retardant unit, and quenching failure. They can be explained as the flame not passing through the slits, the flame passing through the slits but being extinguished before reaching the pipe end, and the flame keeps spreading until the pipe end. Also, the velocity oscillation occurs on the unprotected side of the pipeline, and the velocity rises incredibly when the quenching failed flame passes through the protected side. The formula of deflagration flame quenching velocity of premixed propane-air in a closed pipe was established based on the heat transfer effect and verified by the quenching experiment of premixed gas with a volume fraction of 4.2%. The maximum initial pressure is defined as the limit pressure that quenching would fail at initial pressure higher than it. It is proposed to use the limit pressure to characterize the degree of quenching difficulty. It is worth remarking that quenching is the most difficult at stoichiometric concentration, where the limit pressure is the smallest, and the limit pressure will remain constant within a certain concentration range.
2023, 43(1): 013101.
doi: 10.11883/bzycj-2021-0498
Abstract:
According to the Π principle, a similarity law was proposed between the prototype and the scaled-down models of the steel frame under a far-field explosion load. Based on the explosion experiments of steel frame substructures, a numerical model of the substructure was established by AUTODYN to verify the reliability, accuracy, and computational efficiency of the fluid-structure interaction method in the structural explosion response analysis and the analytical blast boundary method by comparing the numerical simulation results with the experiments of the steel frame under the far-field explosion load. The results show that the analytical blast boundary method can reasonably simulate the dynamic response of the steel frame under far-field explosion loads with high computational efficiency. Finally, the dynamic response and damage of a two-story three-span steel frame structure under a far-field explosion load were analyzed by the analytical blast boundary method using different scaling ratios. The results show that when the two-story three-span steel frame is fully scaled according to the geometric similarity ratio, the dynamic displacement responses of the prototype and the scaled-down models of the steel frame under the far-field explosion load are similar. And the damage effects of the prototype and the scaled-down models based on the assessment index of interlayer displacement angle are similar.
According to the Π principle, a similarity law was proposed between the prototype and the scaled-down models of the steel frame under a far-field explosion load. Based on the explosion experiments of steel frame substructures, a numerical model of the substructure was established by AUTODYN to verify the reliability, accuracy, and computational efficiency of the fluid-structure interaction method in the structural explosion response analysis and the analytical blast boundary method by comparing the numerical simulation results with the experiments of the steel frame under the far-field explosion load. The results show that the analytical blast boundary method can reasonably simulate the dynamic response of the steel frame under far-field explosion loads with high computational efficiency. Finally, the dynamic response and damage of a two-story three-span steel frame structure under a far-field explosion load were analyzed by the analytical blast boundary method using different scaling ratios. The results show that when the two-story three-span steel frame is fully scaled according to the geometric similarity ratio, the dynamic displacement responses of the prototype and the scaled-down models of the steel frame under the far-field explosion load are similar. And the damage effects of the prototype and the scaled-down models based on the assessment index of interlayer displacement angle are similar.
2023, 43(1): 013102.
doi: 10.11883/bzycj-2022-0152
Abstract:
To explore the flexible measurement technology of low-intensity shock wave, the sensitivity calibration experiment was performed on PVDF (polyvinylidene fluoride) filmed pressure gauges by using a shock tube. The measurement reliability of flexible PVDF pressure gauge for low intensity shock wave was evaluated. To improve the measurement stability and sensitivity, the filmed pressure gauge was modified based on the microstructure design and obtained a flexible gauge with high force-electric sensitivity, which was more suitable for low-intensity shock wave measurement. It was found that the effective output charge caused by the out-of-plane shock wave and the signal-noise ratio were too low when the pressure gauge was in an individual piezoelectric mode that was mostly used in high intensity pressure measurement. The measurement results were significantly influenced by the nonlinear force-electric response of the piezoelectric membrane, the deformation and vibration of the structural surface, and the packaging factors inside the gauge. The effects of these factors led to unstable piezoelectric sensitivity and large discrepancy among different gauges when the gauges were used under low intensity pressure. By using the micro-structure design with circumferential fixed constraint on the filmed gauge, the low-intensity out-of-plane shock can be transformed into a high-amplitude in-plane tensile stress field in the PVDF filmed gauge, causing a coupling piezoelectric working mode. The coupling piezoelectric effect produced by the micro-structure can greatly improve the nominal sensitivity coefficient of the gauge and reduce the individual difference. The nominal sensitivity of the developed flexible gauge is about 900−1350 pC/N within the 0.2−0.7 MPa pressure range, which is about 40 times higher than that in the individual piezoelectric working mode. In addition, the relative measurement error can be controlled within ±13% under the coupling piezoelectric mode. The proposed flexible measurement method of low-intensity shock wave can provide effective design technique for the development of high-sensitive flexible devices which are suitable for shock wave monitoring of personnel equipment.
To explore the flexible measurement technology of low-intensity shock wave, the sensitivity calibration experiment was performed on PVDF (polyvinylidene fluoride) filmed pressure gauges by using a shock tube. The measurement reliability of flexible PVDF pressure gauge for low intensity shock wave was evaluated. To improve the measurement stability and sensitivity, the filmed pressure gauge was modified based on the microstructure design and obtained a flexible gauge with high force-electric sensitivity, which was more suitable for low-intensity shock wave measurement. It was found that the effective output charge caused by the out-of-plane shock wave and the signal-noise ratio were too low when the pressure gauge was in an individual piezoelectric mode that was mostly used in high intensity pressure measurement. The measurement results were significantly influenced by the nonlinear force-electric response of the piezoelectric membrane, the deformation and vibration of the structural surface, and the packaging factors inside the gauge. The effects of these factors led to unstable piezoelectric sensitivity and large discrepancy among different gauges when the gauges were used under low intensity pressure. By using the micro-structure design with circumferential fixed constraint on the filmed gauge, the low-intensity out-of-plane shock can be transformed into a high-amplitude in-plane tensile stress field in the PVDF filmed gauge, causing a coupling piezoelectric working mode. The coupling piezoelectric effect produced by the micro-structure can greatly improve the nominal sensitivity coefficient of the gauge and reduce the individual difference. The nominal sensitivity of the developed flexible gauge is about 900−1350 pC/N within the 0.2−0.7 MPa pressure range, which is about 40 times higher than that in the individual piezoelectric working mode. In addition, the relative measurement error can be controlled within ±13% under the coupling piezoelectric mode. The proposed flexible measurement method of low-intensity shock wave can provide effective design technique for the development of high-sensitive flexible devices which are suitable for shock wave monitoring of personnel equipment.
2023, 43(1): 013103.
doi: 10.11883/bzycj-2022-0187
Abstract:
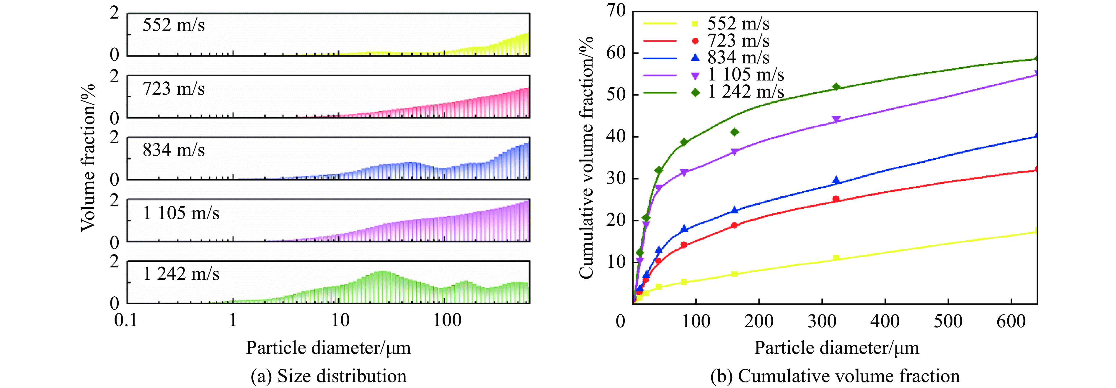
Zr-based bulk metallic glasses are novel class of functional materials that comprehensively use chemical energy and kinetic energy to improve the damage effect of warhead. To investigate the mechanism of shock fragmentation reaction of Zr-based bulk metallic glass fragments, quasi-sealed venting chamber was used to measure the released energy of Zr62.5Nb3Cu14.5Ni14Al6 bulk metallic glass fragments under impact conditions. The fragments were driven by a 14.5 mm ballistic gun, with various levels of velocity, to impact the sealed chamber covered by 0.5 mm thick steel plates. High-speed camera was used to record the shock-fragmentation-reaction process through an observational window. The pressure in the chamber was measured by two pressure sensors installed in different positions on the inner wall of the chamber. The particle size of the fragment debris was measured by laser diffraction method and weighting method. And the debris with different particle sizes was analyzed by X-ray diffraction. According to one dimensional shock wave theory, the impact temperature of Zr-based bulk metallic glass was derived. Combined with the impact temperature, the fragment debris distribution model and metal particle ignition model, the shock-fragmentation-reaction theoretical model was developed to quickly calculate the extent of reaction of Zr-based bulk metallic glass fragments. The experiments results show that the reaction depth of material under impact loading increases with the increase of impact velocity. The distribution of debris conforms to the piecewise power law, and the size distribution of debris was fitted. The main chemical reaction induced by material impacting is the combustion of Zr and O2 in the air, and the main reaction product is ZrO2. Theoretical analysis results show that the shock-fragmentation-reaction theoretical model based on impact heating, debris distribution and debris combustion can explain the reaction law of Zr-based bulk metallic glass under impact loading well. And the theoretical calculation is in good agreement with the experimental results.
Zr-based bulk metallic glasses are novel class of functional materials that comprehensively use chemical energy and kinetic energy to improve the damage effect of warhead. To investigate the mechanism of shock fragmentation reaction of Zr-based bulk metallic glass fragments, quasi-sealed venting chamber was used to measure the released energy of Zr62.5Nb3Cu14.5Ni14Al6 bulk metallic glass fragments under impact conditions. The fragments were driven by a 14.5 mm ballistic gun, with various levels of velocity, to impact the sealed chamber covered by 0.5 mm thick steel plates. High-speed camera was used to record the shock-fragmentation-reaction process through an observational window. The pressure in the chamber was measured by two pressure sensors installed in different positions on the inner wall of the chamber. The particle size of the fragment debris was measured by laser diffraction method and weighting method. And the debris with different particle sizes was analyzed by X-ray diffraction. According to one dimensional shock wave theory, the impact temperature of Zr-based bulk metallic glass was derived. Combined with the impact temperature, the fragment debris distribution model and metal particle ignition model, the shock-fragmentation-reaction theoretical model was developed to quickly calculate the extent of reaction of Zr-based bulk metallic glass fragments. The experiments results show that the reaction depth of material under impact loading increases with the increase of impact velocity. The distribution of debris conforms to the piecewise power law, and the size distribution of debris was fitted. The main chemical reaction induced by material impacting is the combustion of Zr and O2 in the air, and the main reaction product is ZrO2. Theoretical analysis results show that the shock-fragmentation-reaction theoretical model based on impact heating, debris distribution and debris combustion can explain the reaction law of Zr-based bulk metallic glass under impact loading well. And the theoretical calculation is in good agreement with the experimental results.
2023, 43(1): 013104.
doi: 10.11883/bzycj-2021-0529
Abstract:
Adiabatic shear is a common form of deformation and failure of materials under high-speed impact loading. It generally exists in high-speed deformation processes such as high-speed impact, stamping forming, projectile penetration, high-speed cutting, and explosive crushing. A TA2 pure titanium plate with a total deformation of 70% was obtained by multi-pass large strain cold rolling on a two-high mill. By heating cold rolled TA2 pure titanium plates at 500 ℃ and annealing at varying holding times, titanium plates with different recrystallization structures were produced. Based on a hat-shaped specimen and a limit-ring deformation control approach, dynamic impact freezing experiments were carried out on the specimens with different recrystallized structures by using a split Hopkinson pressure bar. The microstructure changes of the specimens before and after impact were characterized by using an optical microscope and a scanning electron microscope. The effects of recrystallized structures on adiabatic shear behaviors of TA2 pure titanium were studied, showing that with the increase of annealing holding time, the proportion of recrystallized grains increases gradually, and the grain distribution changes from dispersion to local aggregation. Under the same strain and strain rate, adiabatic shear bands were observed in all specimens. The specimens with high proportion of recrystallized grains are more likely to induce crack nucleation and propagation in adiabatic shear bands. The changes of recrystallization structures and geometric necessary dislocations before and after deformation were compared. Combined with the analysis of the overall temperature rise in the shear area, the recrystallized grain as the material softening zone can induce the formation of shear band. The adiabatic temperature rise effect mainly occurs in the later stage of the development of shear band, which promotes the secondary recrystallization of materials in the shear band, improves the toughness of materials in the shear band and delays the formation of shear cracks.
Adiabatic shear is a common form of deformation and failure of materials under high-speed impact loading. It generally exists in high-speed deformation processes such as high-speed impact, stamping forming, projectile penetration, high-speed cutting, and explosive crushing. A TA2 pure titanium plate with a total deformation of 70% was obtained by multi-pass large strain cold rolling on a two-high mill. By heating cold rolled TA2 pure titanium plates at 500 ℃ and annealing at varying holding times, titanium plates with different recrystallization structures were produced. Based on a hat-shaped specimen and a limit-ring deformation control approach, dynamic impact freezing experiments were carried out on the specimens with different recrystallized structures by using a split Hopkinson pressure bar. The microstructure changes of the specimens before and after impact were characterized by using an optical microscope and a scanning electron microscope. The effects of recrystallized structures on adiabatic shear behaviors of TA2 pure titanium were studied, showing that with the increase of annealing holding time, the proportion of recrystallized grains increases gradually, and the grain distribution changes from dispersion to local aggregation. Under the same strain and strain rate, adiabatic shear bands were observed in all specimens. The specimens with high proportion of recrystallized grains are more likely to induce crack nucleation and propagation in adiabatic shear bands. The changes of recrystallization structures and geometric necessary dislocations before and after deformation were compared. Combined with the analysis of the overall temperature rise in the shear area, the recrystallized grain as the material softening zone can induce the formation of shear band. The adiabatic temperature rise effect mainly occurs in the later stage of the development of shear band, which promotes the secondary recrystallization of materials in the shear band, improves the toughness of materials in the shear band and delays the formation of shear cracks.
2023, 43(1): 013105.
doi: 10.11883/bzycj-2022-0074
Abstract:
Studying the microstructure evolution of metals subject to shock waves is significant for understanding the structural deformation and failure mechanism of such a pipe under a very high rate of loading. The microstructure evolution and phase transformation characteristics of the material under the action of shock wave are discussed through the microscopic analysis of the cross-section of explosive recovered fragments of 20 steel cylindrical shell driven by explosive expansion. The finite element method (FEM) also was used to simulate the explosion experiment of 20 steel cylindrical shell under the condition of PETN charge and to analyze the cylindrical shell’s thermodynamic characteristics during the expansion fracture process. The results show that the α-grans near the cylinder’s inner surface contain numerous slip lines, distributed in parallel. The FEM simulation indicates that these regions meet the α→ε phase transition thermo-dynamic condition. Furthermore, electron back scattered diffraction (EBSD) analysis of the microstructure of the regions with parallel slips line demonstrates the formation of a strongly fragmented. And there are {332}<113> twins and {112}<111> twins. At the same time, the ε phase structure of the hexagonal close-packed lattice (HCP) exists in the fragmented structure area of the parallel slip line. However, there was no residual ε phase structure in the original structure of the sample and the area except for the sample wall thickness (inner 0–3.0 mm) after the explosion. Analysis deems in which the α→ε→α transformation occurred. The change of material properties caused by phase transformation may affect the cylindrical shell's internal stress and strain state and the fracture process. Considering the impact of the dynamic phase transition of metal materials on the deformation and failure of structures under shock waves, it is significant to accurately simulate the deformation and failure of such cylindrical shells, and it is necessary to further study the influence of phase transformation.
Studying the microstructure evolution of metals subject to shock waves is significant for understanding the structural deformation and failure mechanism of such a pipe under a very high rate of loading. The microstructure evolution and phase transformation characteristics of the material under the action of shock wave are discussed through the microscopic analysis of the cross-section of explosive recovered fragments of 20 steel cylindrical shell driven by explosive expansion. The finite element method (FEM) also was used to simulate the explosion experiment of 20 steel cylindrical shell under the condition of PETN charge and to analyze the cylindrical shell’s thermodynamic characteristics during the expansion fracture process. The results show that the α-grans near the cylinder’s inner surface contain numerous slip lines, distributed in parallel. The FEM simulation indicates that these regions meet the α→ε phase transition thermo-dynamic condition. Furthermore, electron back scattered diffraction (EBSD) analysis of the microstructure of the regions with parallel slips line demonstrates the formation of a strongly fragmented. And there are {332}<113> twins and {112}<111> twins. At the same time, the ε phase structure of the hexagonal close-packed lattice (HCP) exists in the fragmented structure area of the parallel slip line. However, there was no residual ε phase structure in the original structure of the sample and the area except for the sample wall thickness (inner 0–3.0 mm) after the explosion. Analysis deems in which the α→ε→α transformation occurred. The change of material properties caused by phase transformation may affect the cylindrical shell's internal stress and strain state and the fracture process. Considering the impact of the dynamic phase transition of metal materials on the deformation and failure of structures under shock waves, it is significant to accurately simulate the deformation and failure of such cylindrical shells, and it is necessary to further study the influence of phase transformation.
2023, 43(1): 013106.
doi: 10.11883/bzycj-2021-0514
Abstract:
In practical applications, plastic bonded explosive (PBX) explosives are often used as load bearing structural components. Hence, the mechanical strength is an important parameter in PBXs’ design. It is of great interest how to adjust the microscopic characteristics of the material in the manufacturing process to obtain an PBX with the required strength. PBX consists of a large portion of energetic particles with a small portion of binder. Therefore, a large number of randomly distributed microcracks exist inside. Inspired by the successful application of microcrack extension mechanism in the PBXs’ mechanical response simulation in recent years, the theory related to microcrack extension was applied to the strength modeling study. The domain of microcrack growth (DMG) theory was applied to analyze PBXs’ uniaxial tension. The results shows that the increase in tensile load resulted in microcrack extension at different orientation angles, as well as a decrease in the crack interval. Meanwhile, recent studies on the cascading behavior of randomly distributed microcracks show that the crack cascading behavior with each other is controlled by the orientation angle and crack interval of adjacent cracks. The PBX tensile fracture comes from the instable extension of macroscopic cracks, and the macroscopic crack formation and extension both come from the cascading of microcracks. By treating the strength as the minimum load required for catastrophic crack cascade extension, there is a one-to-one correspondence between the strength and the maximum orientation angle of extended crack. Based on the DMG theory, this one-to-one correspondence is expressed as the theoretical model of tensile strength. This theoretical model establishes the connection between the tensile strength and the meso-structure parameters such as stress intensity factor, microcrack diameter and microcrack density. Comparison of tensile strength model predictions with wide temperature range (from –40 ℃ to 45 ℃) experimental data, indicated that this model is capable to describe the PBXs’ tensile strength. Suggestions for the design of strength enhancement of PBXs can be provided by this theoretical model.
In practical applications, plastic bonded explosive (PBX) explosives are often used as load bearing structural components. Hence, the mechanical strength is an important parameter in PBXs’ design. It is of great interest how to adjust the microscopic characteristics of the material in the manufacturing process to obtain an PBX with the required strength. PBX consists of a large portion of energetic particles with a small portion of binder. Therefore, a large number of randomly distributed microcracks exist inside. Inspired by the successful application of microcrack extension mechanism in the PBXs’ mechanical response simulation in recent years, the theory related to microcrack extension was applied to the strength modeling study. The domain of microcrack growth (DMG) theory was applied to analyze PBXs’ uniaxial tension. The results shows that the increase in tensile load resulted in microcrack extension at different orientation angles, as well as a decrease in the crack interval. Meanwhile, recent studies on the cascading behavior of randomly distributed microcracks show that the crack cascading behavior with each other is controlled by the orientation angle and crack interval of adjacent cracks. The PBX tensile fracture comes from the instable extension of macroscopic cracks, and the macroscopic crack formation and extension both come from the cascading of microcracks. By treating the strength as the minimum load required for catastrophic crack cascade extension, there is a one-to-one correspondence between the strength and the maximum orientation angle of extended crack. Based on the DMG theory, this one-to-one correspondence is expressed as the theoretical model of tensile strength. This theoretical model establishes the connection between the tensile strength and the meso-structure parameters such as stress intensity factor, microcrack diameter and microcrack density. Comparison of tensile strength model predictions with wide temperature range (from –40 ℃ to 45 ℃) experimental data, indicated that this model is capable to describe the PBXs’ tensile strength. Suggestions for the design of strength enhancement of PBXs can be provided by this theoretical model.
2023, 43(1): 013201.
doi: 10.11883/bzycj-2022-0226
Abstract:
Based on the compressible multicomponent Navier-Stokes equations, the interaction of a planar shock wave (Ma=1.23) with an annular SF6 cylinder whose inner and outer radii were set as 8 and 17.5 mm respectively was numerically studied. The simulation was conducted based on the finite volume method. For capturing the complex shock and vortex structures as well as the interfaces, the adaptive mesh refinement method, level set method, and fifth-order weighted essentially non-oscillatory scheme were used for the simulation. The adaptive mesh refinement method dynamically refined the uniform Cartesian grids around the multiple moving shocks and accelerated interfaces. The level set method tracked the interface, while the fifth-order weighted essentially non-oscillatory scheme captured discontinuities such as shock waves and contact surfaces. Time advancement was achieved with the third-order strong-stability-preserving Runge-Kutta method. Compared with the previous experimental results, numerical results revealed the complex evolution of shock wave structures generated in the process of four shock transmissions in the annular cylinder. It is found that the transition from free precursor refraction to free precursor von Neumann refraction occurs when the transmitted shock wave passes through the inner cylinder. In addition, the complex shock structures that developed between the inner and outer downstream interfaces cause the pressure gradient direction to reverse several times on the inner downstream interface, which eventually leads to three reversals of vorticity on the inner downstream interface. In the later stage, the “jet” structure formed on the inner cylinder would impact the downstream interfaces, and finally induces the interfaces to generate a pair of primary vortices, a pair of secondary vortices and a reverse “jet”. Quantitative analyses of the variation of the length, width, displacement, the circulation and mixing rate of the annular cylinder were conducted. The results demonstrate that the presence of the inner cylinder attenuates the influence on the height and length of the annular cylinder during the process of small vortexes merging into the large vortexes in the early stage, and increases the mixing rate of the heavy gas and the ambient gas.
Based on the compressible multicomponent Navier-Stokes equations, the interaction of a planar shock wave (Ma=1.23) with an annular SF6 cylinder whose inner and outer radii were set as 8 and 17.5 mm respectively was numerically studied. The simulation was conducted based on the finite volume method. For capturing the complex shock and vortex structures as well as the interfaces, the adaptive mesh refinement method, level set method, and fifth-order weighted essentially non-oscillatory scheme were used for the simulation. The adaptive mesh refinement method dynamically refined the uniform Cartesian grids around the multiple moving shocks and accelerated interfaces. The level set method tracked the interface, while the fifth-order weighted essentially non-oscillatory scheme captured discontinuities such as shock waves and contact surfaces. Time advancement was achieved with the third-order strong-stability-preserving Runge-Kutta method. Compared with the previous experimental results, numerical results revealed the complex evolution of shock wave structures generated in the process of four shock transmissions in the annular cylinder. It is found that the transition from free precursor refraction to free precursor von Neumann refraction occurs when the transmitted shock wave passes through the inner cylinder. In addition, the complex shock structures that developed between the inner and outer downstream interfaces cause the pressure gradient direction to reverse several times on the inner downstream interface, which eventually leads to three reversals of vorticity on the inner downstream interface. In the later stage, the “jet” structure formed on the inner cylinder would impact the downstream interfaces, and finally induces the interfaces to generate a pair of primary vortices, a pair of secondary vortices and a reverse “jet”. Quantitative analyses of the variation of the length, width, displacement, the circulation and mixing rate of the annular cylinder were conducted. The results demonstrate that the presence of the inner cylinder attenuates the influence on the height and length of the annular cylinder during the process of small vortexes merging into the large vortexes in the early stage, and increases the mixing rate of the heavy gas and the ambient gas.
2023, 43(1): 015201.
doi: 10.11883/bzycj-2021-0519
Abstract:
The paper is aimed to determine the distance between blast holes (a) and the distance between boreholes and the empty holes (L) in the straight-hole cutting with empty holes. Firstly, by considering the crack mainly being fractured during the quasi-static expansion of explosion gas and the effect of empty hole, the calculation formula of the crack length is derived; and then, the calculation formulas of the distance between boreholes and the distance between blast holes and the empty hole are determined. Moreover, the formula of the length of the crack zone around the empty hole in the straight-hole cutting with large empty holes is obtained, and the criterion of the radial crack at the blasting side of the empty hole is established based on the effect of stress concentration around empty hole. Secondly, by considering two different design ideas, the blasting parameters and cut blasting effect are compared and analyzed for the blasting in both limestone (hard rock) and mudstone (soft rock),while the reliability of the theoretical analysis is verified by engineering practice. The results show that the rock breaking mechanism of straight-hole cut blasting with empty hole is different under the two design ideas. Namely, if a is taken as the main factor, then the coalescence of cracks between adjacent boreholes is the key factor to the formation of the cavity, whilst if L is taken as the main factor, the bore holes and empty holes are preferentially penetrated to form the cavity based on the empty hole effect. In addition, the contributions of stress wave (dynamic action) and detonation gas (static action) to the crack length in both hard rock and soft rock are about 4∶1 and 9∶1, respectively. Considering the empty hole effect, the flake fracture zone in soft rock is larger than that in hard rock, to which more attention should be paid in the design of blasting parameters. Whereas, the critical length of radial crack initiated from the empty hole is less than the sum of the blasting crack length from cutting hole and the radius of empty hole, so that the radial cracks initiated from the empty hole will not be generated, which can be ignored in the blasting parameter design. The results indicate that the two different design ideas have great influence on cutting blasting parameters and blasting effect, and the calculation model of blasting crack length based on the driven of detonation gas can provide a good reference for the design of blasting parameters.
The paper is aimed to determine the distance between blast holes (a) and the distance between boreholes and the empty holes (L) in the straight-hole cutting with empty holes. Firstly, by considering the crack mainly being fractured during the quasi-static expansion of explosion gas and the effect of empty hole, the calculation formula of the crack length is derived; and then, the calculation formulas of the distance between boreholes and the distance between blast holes and the empty hole are determined. Moreover, the formula of the length of the crack zone around the empty hole in the straight-hole cutting with large empty holes is obtained, and the criterion of the radial crack at the blasting side of the empty hole is established based on the effect of stress concentration around empty hole. Secondly, by considering two different design ideas, the blasting parameters and cut blasting effect are compared and analyzed for the blasting in both limestone (hard rock) and mudstone (soft rock),while the reliability of the theoretical analysis is verified by engineering practice. The results show that the rock breaking mechanism of straight-hole cut blasting with empty hole is different under the two design ideas. Namely, if a is taken as the main factor, then the coalescence of cracks between adjacent boreholes is the key factor to the formation of the cavity, whilst if L is taken as the main factor, the bore holes and empty holes are preferentially penetrated to form the cavity based on the empty hole effect. In addition, the contributions of stress wave (dynamic action) and detonation gas (static action) to the crack length in both hard rock and soft rock are about 4∶1 and 9∶1, respectively. Considering the empty hole effect, the flake fracture zone in soft rock is larger than that in hard rock, to which more attention should be paid in the design of blasting parameters. Whereas, the critical length of radial crack initiated from the empty hole is less than the sum of the blasting crack length from cutting hole and the radius of empty hole, so that the radial cracks initiated from the empty hole will not be generated, which can be ignored in the blasting parameter design. The results indicate that the two different design ideas have great influence on cutting blasting parameters and blasting effect, and the calculation model of blasting crack length based on the driven of detonation gas can provide a good reference for the design of blasting parameters.
2023, 43(1): 015401.
doi: 10.11883/bzycj-2021-0503
Abstract:
Gas explosion accidents occurring in urban shallowly-buried pipe trenches can cause enormous casualties and property damage through shock waves transmitting from explosion vents, while many influencing factors exist in the process of gas explosion. In order to evaluate the disaster consequences of combustible gas explosion in an urban shallow-buried pipe trench systematically, the different conditions were established including different ignition points, different vent sizes, different gas cloud lengths and different trench cross-sectional areas. The computational fluid dynamics software FLACS was used to perform numerical simulation. And the explosion load of the combustible gas was obtained in the X, Y, and Z directions. The characteristics of the explosion overpressure peak distribution were analyzed, and the load generation mechanism was illustrated by analyzing the explosion process. The overpressure criteria were selected to demarcate the dangerous distances and the critical distances for damage to buildings and humans were determined. The mild, moderate, severe dangerous distances for building damage and personal injury were recorded and the influences of different factors on the change of the dangerous distances were analyzed. The results show that when the ignition position is closer to the middle of the pipe trench, the overpressure peak is greater and the dangerous distance is larger. The change of the vent sizes has a little effect on the fluctuation range of the dangerous distance, but has a great effect on the overpressure peak near the vent. The longer the gas cloud length, the greater the overpressure peak and the larger the dangerous distance, but the increase decreases gradually until it remains unchanged. The larger the cross-sectional area of the pipe trench, the greater the overpressure peak and the larger the dangerous distance. When the cross-sectional area of the pipe trench increases, the gas cloud volume participating in the combustion reaction in the pipe trench also increases, which intensifies the reaction degree of the gas explosion. In order to avoid serious disaster consequences, high-rise buildings and dense crowd should be far away from the explosion vent.
Gas explosion accidents occurring in urban shallowly-buried pipe trenches can cause enormous casualties and property damage through shock waves transmitting from explosion vents, while many influencing factors exist in the process of gas explosion. In order to evaluate the disaster consequences of combustible gas explosion in an urban shallow-buried pipe trench systematically, the different conditions were established including different ignition points, different vent sizes, different gas cloud lengths and different trench cross-sectional areas. The computational fluid dynamics software FLACS was used to perform numerical simulation. And the explosion load of the combustible gas was obtained in the X, Y, and Z directions. The characteristics of the explosion overpressure peak distribution were analyzed, and the load generation mechanism was illustrated by analyzing the explosion process. The overpressure criteria were selected to demarcate the dangerous distances and the critical distances for damage to buildings and humans were determined. The mild, moderate, severe dangerous distances for building damage and personal injury were recorded and the influences of different factors on the change of the dangerous distances were analyzed. The results show that when the ignition position is closer to the middle of the pipe trench, the overpressure peak is greater and the dangerous distance is larger. The change of the vent sizes has a little effect on the fluctuation range of the dangerous distance, but has a great effect on the overpressure peak near the vent. The longer the gas cloud length, the greater the overpressure peak and the larger the dangerous distance, but the increase decreases gradually until it remains unchanged. The larger the cross-sectional area of the pipe trench, the greater the overpressure peak and the larger the dangerous distance. When the cross-sectional area of the pipe trench increases, the gas cloud volume participating in the combustion reaction in the pipe trench also increases, which intensifies the reaction degree of the gas explosion. In order to avoid serious disaster consequences, high-rise buildings and dense crowd should be far away from the explosion vent.


PDF
Cited by
Read OL