2026年 46卷 第1期
2026, 46(1): 011001.
doi: 10.11883/bzycj-2024-0457
摘要:
靠近水面的空中爆炸是舰船的重要威胁之一。为了研究水面传播冲击波的载荷特性,采用TNT/RDX(40/60)炸药开展了触水、近水和空中3种典型比高条件下的爆炸实验,测量得到了冲击波超压和爆炸的高速摄影图像。采用数值模拟方法进一步研究了爆炸现象和水面冲击波的载荷规律。结果表明:触水、近水和空中爆炸现象存在显著差异。触水爆炸时,爆轰产物直接驱动水面形成半球形空腔,水坑边缘的水被挤压向上飞溅形成空心水柱;近水爆炸时,爆轰产物对水面的碰撞作用相对较弱,水面上的冲击波主要以马赫波沿着水面向外传播;空中爆炸时,冲击波在水面存在明显的规则和非规则反射区。在同等当量条件下,触水爆炸时的水面冲击波超压较近水爆炸的低,但水中冲击波压力更高,因此水面不能再看成刚性平面。通过数据拟合得到了触水和典型近水爆炸条件下,水面上水平距离在0.5~4.0 m/kg1/3范围内的冲击波超压和正压持续时间计算公式,可为冲击波载荷计算和分析提供参考。
靠近水面的空中爆炸是舰船的重要威胁之一。为了研究水面传播冲击波的载荷特性,采用TNT/RDX(40/60)炸药开展了触水、近水和空中3种典型比高条件下的爆炸实验,测量得到了冲击波超压和爆炸的高速摄影图像。采用数值模拟方法进一步研究了爆炸现象和水面冲击波的载荷规律。结果表明:触水、近水和空中爆炸现象存在显著差异。触水爆炸时,爆轰产物直接驱动水面形成半球形空腔,水坑边缘的水被挤压向上飞溅形成空心水柱;近水爆炸时,爆轰产物对水面的碰撞作用相对较弱,水面上的冲击波主要以马赫波沿着水面向外传播;空中爆炸时,冲击波在水面存在明显的规则和非规则反射区。在同等当量条件下,触水爆炸时的水面冲击波超压较近水爆炸的低,但水中冲击波压力更高,因此水面不能再看成刚性平面。通过数据拟合得到了触水和典型近水爆炸条件下,水面上水平距离在0.5~4.0 m/kg1/3范围内的冲击波超压和正压持续时间计算公式,可为冲击波载荷计算和分析提供参考。
2026, 46(1): 011101.
doi: 10.11883/bzycj-2025-0160
摘要:
为深入了解跨介质结构体在高速入水过程中会受到多次尾拍作用,基于VOF多相流方法开展了跨介质入水结构体及其附体带攻角倾斜入水工况下自空泡产生、发展至溃灭全过程的载荷研究,分析了入水结构体主体及附体结构入水全过程的载荷特性,揭示了入水倾角对尾拍、空泡溃灭载荷及入水稳定性的影响规律。结果表明:空泡溃灭阶段为结构体入水过程中的最危险工况,随入水倾角增大,空泡溃灭阶段结构体轴、法向受力增大,法向过载系数趋近于常数;当入水倾角由60°增至90°后,结构体的俯仰力矩系数增大了47.1%;大倾角入水能够增益空泡溃灭阶段水平尾舵的轴、法向载荷环境,改善结构体入水稳定性,但同时会恶化垂直尾舵的轴向载荷环境;空泡溃灭阶段尾空泡击打结构体尾部瞬间,结构体三向转动被抑制,处于短暂静止状态。
为深入了解跨介质结构体在高速入水过程中会受到多次尾拍作用,基于VOF多相流方法开展了跨介质入水结构体及其附体带攻角倾斜入水工况下自空泡产生、发展至溃灭全过程的载荷研究,分析了入水结构体主体及附体结构入水全过程的载荷特性,揭示了入水倾角对尾拍、空泡溃灭载荷及入水稳定性的影响规律。结果表明:空泡溃灭阶段为结构体入水过程中的最危险工况,随入水倾角增大,空泡溃灭阶段结构体轴、法向受力增大,法向过载系数趋近于常数;当入水倾角由60°增至90°后,结构体的俯仰力矩系数增大了47.1%;大倾角入水能够增益空泡溃灭阶段水平尾舵的轴、法向载荷环境,改善结构体入水稳定性,但同时会恶化垂直尾舵的轴向载荷环境;空泡溃灭阶段尾空泡击打结构体尾部瞬间,结构体三向转动被抑制,处于短暂静止状态。
2026, 46(1): 011102.
doi: 10.11883/bzycj-2024-0435
摘要:
多航行体水下发射过程中,航行体处于复杂多变的流场环境,其运动弹道偏转不仅受初始速度、横流等条件的影响,还受多体间相互干扰效应的制约。为研究多体水下发射的空泡演化与弹道干扰特性,基于重叠网格技术与有限体积法,结合六自由度运动模型,建立了多体水下发射数值仿真模型,系统分析了空间排列方式、发射速度及横流对弹道偏转的影响机制。结果表明:空间排列方式对弹道偏移的影响较小,实际应用中可采用等边三角形排列以优化发射空间利用率;发射速度增大时,航行体尾涡干扰加剧,流场扰动显著增强,导致弹道间相互干扰效应更加明显;横流速度的增加会加剧模型肩部空泡发展的不对称性,当横流速度超过0.75 m/s时,横流成为弹道偏转的主导因素。研究结果可为多体水下发射的弹道预测和布局优化提供理论依据。
多航行体水下发射过程中,航行体处于复杂多变的流场环境,其运动弹道偏转不仅受初始速度、横流等条件的影响,还受多体间相互干扰效应的制约。为研究多体水下发射的空泡演化与弹道干扰特性,基于重叠网格技术与有限体积法,结合六自由度运动模型,建立了多体水下发射数值仿真模型,系统分析了空间排列方式、发射速度及横流对弹道偏转的影响机制。结果表明:空间排列方式对弹道偏移的影响较小,实际应用中可采用等边三角形排列以优化发射空间利用率;发射速度增大时,航行体尾涡干扰加剧,流场扰动显著增强,导致弹道间相互干扰效应更加明显;横流速度的增加会加剧模型肩部空泡发展的不对称性,当横流速度超过0.75 m/s时,横流成为弹道偏转的主导因素。研究结果可为多体水下发射的弹道预测和布局优化提供理论依据。
2026, 46(1): 011103.
doi: 10.11883/bzycj-2024-0274
摘要:
通过实验方法研究了铝蜂窝夹芯板在入水冲击载荷作用下的压力载荷特性和结构变形机理。首先,搭建了蜂窝夹芯板入水冲击实验平台,开展了不同落体高度下的蜂窝夹芯板入水冲击实验,通过三维扫描仪得到了面板的变形结果,并监测了不同测点的入水冲击压力时程,同时验证了实验的可重复性。在此基础上,研究了蜂窝夹芯板入水冲击过程中的压力载荷特性,并与不同结构的入水冲击压力进行了对比。此外,分析了蜂窝夹芯板的变形模式、最终挠度等特性,给出了面板最终挠度和芯层压缩量的拟合公式。研究结果表明,蜂窝夹芯板表面的入水冲击压力分布不均匀,但在一定落体高度范围内,其压力峰值均与落体高度近似呈线性变化。与刚性平板入水冲击相比,蜂窝夹芯板的入水冲击压力峰值较小。相比同质量的等效铝板而言,蜂窝夹芯板的入水冲击压力峰值更小,压力持续时间更长。不同落体高度下,蜂窝夹芯板的面板变形模式基本一致。随着落体高度的增加,蜂窝夹芯板前面板和后面板中点处的最终挠度近似呈斜率减小的二次抛物线增长。在入水冲击载荷作用下,蜂窝夹芯板后面板的变形明显小于等效铝板的变形,表明蜂窝夹芯板具有更好的抗冲击性能。
通过实验方法研究了铝蜂窝夹芯板在入水冲击载荷作用下的压力载荷特性和结构变形机理。首先,搭建了蜂窝夹芯板入水冲击实验平台,开展了不同落体高度下的蜂窝夹芯板入水冲击实验,通过三维扫描仪得到了面板的变形结果,并监测了不同测点的入水冲击压力时程,同时验证了实验的可重复性。在此基础上,研究了蜂窝夹芯板入水冲击过程中的压力载荷特性,并与不同结构的入水冲击压力进行了对比。此外,分析了蜂窝夹芯板的变形模式、最终挠度等特性,给出了面板最终挠度和芯层压缩量的拟合公式。研究结果表明,蜂窝夹芯板表面的入水冲击压力分布不均匀,但在一定落体高度范围内,其压力峰值均与落体高度近似呈线性变化。与刚性平板入水冲击相比,蜂窝夹芯板的入水冲击压力峰值较小。相比同质量的等效铝板而言,蜂窝夹芯板的入水冲击压力峰值更小,压力持续时间更长。不同落体高度下,蜂窝夹芯板的面板变形模式基本一致。随着落体高度的增加,蜂窝夹芯板前面板和后面板中点处的最终挠度近似呈斜率减小的二次抛物线增长。在入水冲击载荷作用下,蜂窝夹芯板后面板的变形明显小于等效铝板的变形,表明蜂窝夹芯板具有更好的抗冲击性能。
2026, 46(1): 011104.
doi: 10.11883/bzycj-2025-0092
摘要:
为揭示水下接触爆炸气泡脉动特性的变化规律,弥补现有理论对接触爆炸工况研究的不足,基于不可压缩无黏流体假设,建立了刚性壁面接触爆炸的半球形气泡动力学模型,推导了气泡最大半径、初始半径以及脉动周期与自由场参数的定量关系。理论分析表明,接触爆炸气泡最大半径、初始半径及脉动周期为自由场工况的1.26倍(理论比例系数)。通过LS-DYNA软件对0.300、0.233和5.000 g TNT装药在不同水深条件下的水下爆炸进行数值模拟,结果表明:接触爆炸气泡最大半径和脉动周期的模拟值分别为自由场气泡的1.22~1.24倍和1.20~1.21倍,与理论预测的相对误差小于5%。进一步通过水箱实验验证接触爆炸气泡最大半径与脉动周期分别为自由场的1.10和1.06倍,实际工况因受流体可压缩性、气泡不稳定变形等因素影响,实际比例系数略低于理论比例系数。
为揭示水下接触爆炸气泡脉动特性的变化规律,弥补现有理论对接触爆炸工况研究的不足,基于不可压缩无黏流体假设,建立了刚性壁面接触爆炸的半球形气泡动力学模型,推导了气泡最大半径、初始半径以及脉动周期与自由场参数的定量关系。理论分析表明,接触爆炸气泡最大半径、初始半径及脉动周期为自由场工况的1.26倍(理论比例系数)。通过LS-DYNA软件对0.300、0.233和5.000 g TNT装药在不同水深条件下的水下爆炸进行数值模拟,结果表明:接触爆炸气泡最大半径和脉动周期的模拟值分别为自由场气泡的1.22~1.24倍和1.20~1.21倍,与理论预测的相对误差小于5%。进一步通过水箱实验验证接触爆炸气泡最大半径与脉动周期分别为自由场的1.10和1.06倍,实际工况因受流体可压缩性、气泡不稳定变形等因素影响,实际比例系数略低于理论比例系数。
2026, 46(1): 011105.
doi: 10.11883/bzycj-2024-0332
摘要:
为探究水下接触和近场爆炸下沉箱码头的毁伤机理和荷载特性,基于沉箱码头缩尺模型试验,采用有限元数值模拟开展对比研究,分析了沉箱码头内冲击波荷载的传播、衰减规律以及沉箱码头的破坏过程和毁伤机理。研究结果表明:水下接触和近场爆炸下,沉箱码头的毁伤区域和破坏特征基本一致,码头迎爆外墙和面板为主要破坏区域,迎爆外墙呈爆坑、破口的破坏现象,面板呈现管沟连接处横向通长裂缝、纵向裂缝并掀飞的破坏现象,沉箱码头侧墙和仓格内纵横隔墙毁伤相对轻微。水下接触和近场爆炸下,沉箱码头内冲击波在仓格的隔墙和填砂界面发生反射和透射现象,码头迎爆外墙、侧墙、板均受到冲击载荷,冲击波荷载在沉箱内的衰减速度由陡至缓,沉箱码头的毁伤特征在水下爆炸冲击波阶段基本形成,毁伤形成时间略大于2倍的冲击波在沉箱码头内的传播时长。
为探究水下接触和近场爆炸下沉箱码头的毁伤机理和荷载特性,基于沉箱码头缩尺模型试验,采用有限元数值模拟开展对比研究,分析了沉箱码头内冲击波荷载的传播、衰减规律以及沉箱码头的破坏过程和毁伤机理。研究结果表明:水下接触和近场爆炸下,沉箱码头的毁伤区域和破坏特征基本一致,码头迎爆外墙和面板为主要破坏区域,迎爆外墙呈爆坑、破口的破坏现象,面板呈现管沟连接处横向通长裂缝、纵向裂缝并掀飞的破坏现象,沉箱码头侧墙和仓格内纵横隔墙毁伤相对轻微。水下接触和近场爆炸下,沉箱码头内冲击波在仓格的隔墙和填砂界面发生反射和透射现象,码头迎爆外墙、侧墙、板均受到冲击载荷,冲击波荷载在沉箱内的衰减速度由陡至缓,沉箱码头的毁伤特征在水下爆炸冲击波阶段基本形成,毁伤形成时间略大于2倍的冲击波在沉箱码头内的传播时长。
2026, 46(1): 011106.
doi: 10.11883/bzycj-2024-0515
摘要:
深海水下爆炸中的冲击波载荷和气泡脉动规律因其极端环境的复杂性,在理论与试验研究中面临诸多挑战。针对深海水下爆炸现象,基于气泡统一方程理论模型,使用数值模拟方法开展不同水深、爆距和装药量工况下的水下爆炸冲击波和气泡脉动研究。结果表明:冲击波压力峰值主要受装药量和爆距的影响,并随水深增大而略有上升;冲击波冲量与比冲击波能在水深和爆距增大时呈下降趋势,但与装药量正相关;气泡脉动半径则主要由装药量和水深共同决定,在深水环境气泡脉动现象减弱。相较于传统的Cole经验公式,基于Zhang方程计算得到的气泡脉动半径在0.1~10 km范围内有所减小。此外,气泡在一个完整脉动周期内的膨胀阶段持续时间普遍略长于坍缩阶段。
深海水下爆炸中的冲击波载荷和气泡脉动规律因其极端环境的复杂性,在理论与试验研究中面临诸多挑战。针对深海水下爆炸现象,基于气泡统一方程理论模型,使用数值模拟方法开展不同水深、爆距和装药量工况下的水下爆炸冲击波和气泡脉动研究。结果表明:冲击波压力峰值主要受装药量和爆距的影响,并随水深增大而略有上升;冲击波冲量与比冲击波能在水深和爆距增大时呈下降趋势,但与装药量正相关;气泡脉动半径则主要由装药量和水深共同决定,在深水环境气泡脉动现象减弱。相较于传统的Cole经验公式,基于Zhang方程计算得到的气泡脉动半径在0.1~10 km范围内有所减小。此外,气泡在一个完整脉动周期内的膨胀阶段持续时间普遍略长于坍缩阶段。
2026, 46(1): 011107.
doi: 10.11883/bzycj-2025-0180
摘要:
针对舰艇抗爆炸冲击性能评估面临的强非线性流固耦合、结构大变形及损伤破坏演化等关键力学问题,耦合近场动力学(peridynamics, PD)和光滑粒子流体动力学(smoothed particle hydrodynamics, SPH)各自的优势,提出了适用于水下爆炸冲击模拟的高效PD-SPH数值方法。采用SPH模拟水下冲击波传播及其流固耦合效应,采用PD方法精确表征固体结构从弹性变形至渐进损伤破坏的全过程力学行为,建立了非药式水下爆炸冲击波加载装置的PD-SPH数值模型。针对大规模粒子计算效率瓶颈,开发了基于区域分解和数据通信机制的多GPU (graphics processing unit)并行计算框架。系统验证和并行效率测试表明,该方法可准确预测冲击波壁面压力和靶体动态变形,成功复现薄板结构的典型裂纹扩展模式,并可用于开展复杂夹层板毁伤全过程模拟。在超过500万个粒子的复杂流固耦合场景中,8卡RTX4090相比单卡RTX4090加速比为4.13,并行效率为51.6%,实际计算时间可以压缩到近1 h。同时,多GPU并行与传统CPU (central processing unit)并行相比,加速比可达9倍以上。
针对舰艇抗爆炸冲击性能评估面临的强非线性流固耦合、结构大变形及损伤破坏演化等关键力学问题,耦合近场动力学(peridynamics, PD)和光滑粒子流体动力学(smoothed particle hydrodynamics, SPH)各自的优势,提出了适用于水下爆炸冲击模拟的高效PD-SPH数值方法。采用SPH模拟水下冲击波传播及其流固耦合效应,采用PD方法精确表征固体结构从弹性变形至渐进损伤破坏的全过程力学行为,建立了非药式水下爆炸冲击波加载装置的PD-SPH数值模型。针对大规模粒子计算效率瓶颈,开发了基于区域分解和数据通信机制的多GPU (graphics processing unit)并行计算框架。系统验证和并行效率测试表明,该方法可准确预测冲击波壁面压力和靶体动态变形,成功复现薄板结构的典型裂纹扩展模式,并可用于开展复杂夹层板毁伤全过程模拟。在超过500万个粒子的复杂流固耦合场景中,8卡RTX4090相比单卡RTX4090加速比为4.13,并行效率为51.6%,实际计算时间可以压缩到近1 h。同时,多GPU并行与传统CPU (central processing unit)并行相比,加速比可达9倍以上。
2026, 46(1): 011108.
doi: 10.11883/bzycj-2024-0455
摘要:
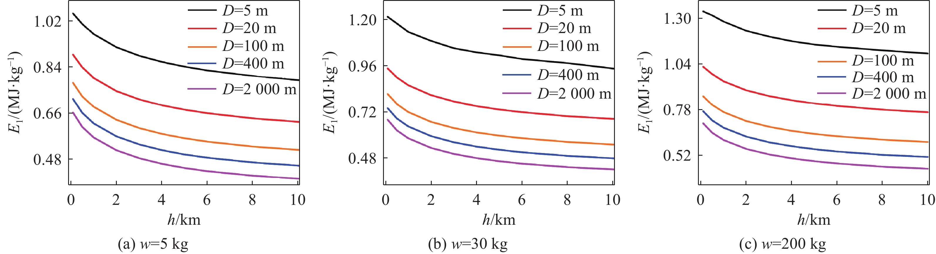
为了选择适合水中大距离非接触性侵彻毁伤的聚能装药结构,针对爆炸成型弹丸(explosively formed projectile, EFP)、杆式射流(jetting projectile charge, JPC)、聚能射流(shaped charge jet, SCJ)3种典型聚能装药结构,开展了不同侵彻体入水前、着靶前、穿靶后的速度测试及对水中双层间隔靶的侵彻实验,建立了靶前水介质长度为0~100 cm时的水中侵彻数值计算模型,分析了靶前水介质长度对聚能装药水中毁伤元时序特性、水中前向冲击波压力峰值、水中侵彻速度及水中双层间隔靶侵彻性能的影响。结果表明:3种聚能装药侵彻水中间隔靶时,前向冲击波均先于侵彻体到达靶板。随着水介质长度的增大,前靶板处的前向冲击波压力峰值呈线性下降,后靶板处的前向冲击波压力峰值呈非线性下降;EFP、JPC和SCJ速度呈非线性下降,其中SCJ靶前速度约是JPC靶前速度的2倍。在靶前水介质长度不大于25 cm时,EFP在前靶板上形成的最大穿孔直径达到了5 cm,是JPC穿孔直径的1.3倍,是SCJ穿孔直径的3倍;在靶前水介质长度不大于100 cm时,JPC和SCJ对双层间隔靶具有较好的侵彻效果,且JPC的侵彻性能要优于SCJ。
为了选择适合水中大距离非接触性侵彻毁伤的聚能装药结构,针对爆炸成型弹丸(explosively formed projectile, EFP)、杆式射流(jetting projectile charge, JPC)、聚能射流(shaped charge jet, SCJ)3种典型聚能装药结构,开展了不同侵彻体入水前、着靶前、穿靶后的速度测试及对水中双层间隔靶的侵彻实验,建立了靶前水介质长度为0~100 cm时的水中侵彻数值计算模型,分析了靶前水介质长度对聚能装药水中毁伤元时序特性、水中前向冲击波压力峰值、水中侵彻速度及水中双层间隔靶侵彻性能的影响。结果表明:3种聚能装药侵彻水中间隔靶时,前向冲击波均先于侵彻体到达靶板。随着水介质长度的增大,前靶板处的前向冲击波压力峰值呈线性下降,后靶板处的前向冲击波压力峰值呈非线性下降;EFP、JPC和SCJ速度呈非线性下降,其中SCJ靶前速度约是JPC靶前速度的2倍。在靶前水介质长度不大于25 cm时,EFP在前靶板上形成的最大穿孔直径达到了5 cm,是JPC穿孔直径的1.3倍,是SCJ穿孔直径的3倍;在靶前水介质长度不大于100 cm时,JPC和SCJ对双层间隔靶具有较好的侵彻效果,且JPC的侵彻性能要优于SCJ。
2026, 46(1): 013101.
doi: 10.11883/bzycj-2024-0388
摘要:
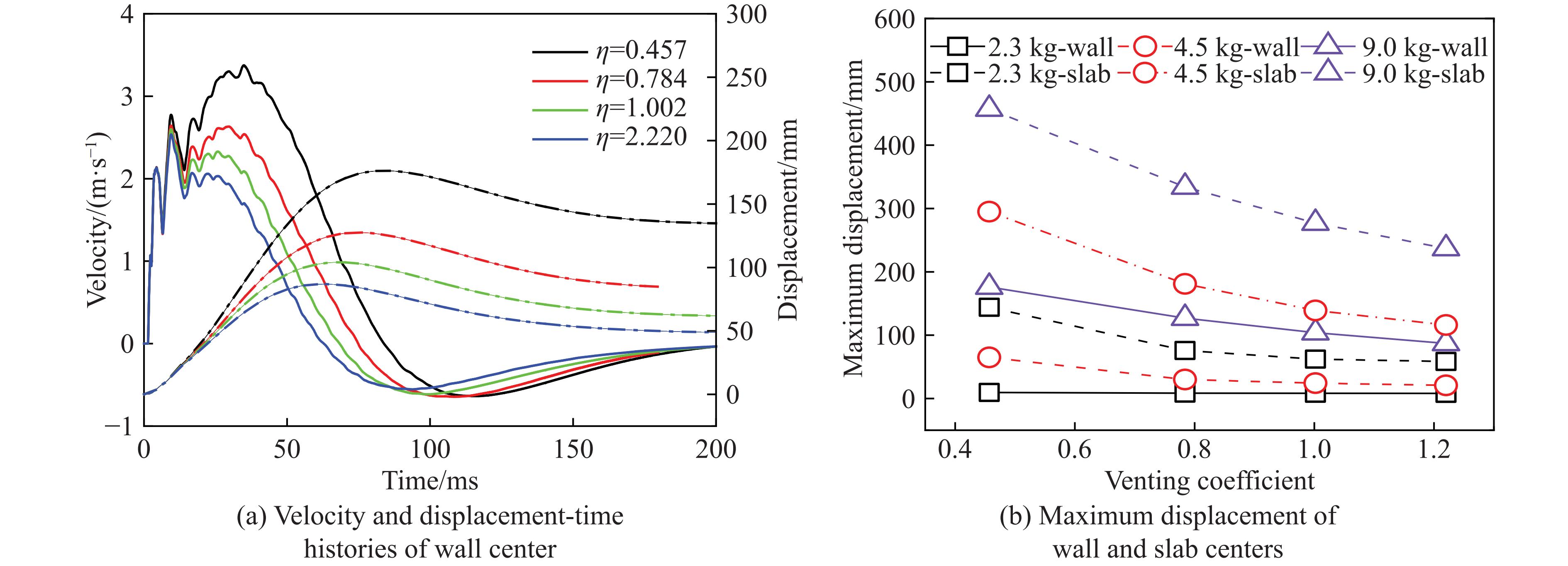
爆炸冲击波在钢筋混凝土(reinforced concrete,RC)箱型结构中难以向外自由扩散,经多次反射叠加后可加剧结构的破坏。为全面探究RC箱型结构内爆炸载荷特性及其动力行为特征,通过复现完全密闭和半密闭(带泄爆口)RC箱型结构的内爆炸试验,验证了所采用有限元建模和分析方法的适用性。进一步,针对典型RC箱型结构和美国联邦应急管理署规定的爆炸恐怖袭击类型,开展了3种爆炸威胁和4种泄爆面积下的内爆炸数值模拟分析,考察了结构内壁面中心和内角隅处的载荷及其分布以及结构的动力行为特征。结果表明:泄爆面积对各特征点爆炸波峰值超压的影响较小,而爆炸波冲量随泄爆面积的增大近似呈指数形式降低;结构内壁面的载荷分布受结构尺寸的影响显著,呈内凹或W形;当泄爆系数从0.457增大至1.220时,墙板最大位移可降低50%以上;相较于超压准则,冲量准则可以更准确地评估构件毁伤等级。最后,提出了考虑泄爆面积的冲量增强因子和毁伤增强因子计算方法,能够较好地预测不同泄爆系数下的内爆炸载荷和结构动力行为。
爆炸冲击波在钢筋混凝土(reinforced concrete,RC)箱型结构中难以向外自由扩散,经多次反射叠加后可加剧结构的破坏。为全面探究RC箱型结构内爆炸载荷特性及其动力行为特征,通过复现完全密闭和半密闭(带泄爆口)RC箱型结构的内爆炸试验,验证了所采用有限元建模和分析方法的适用性。进一步,针对典型RC箱型结构和美国联邦应急管理署规定的爆炸恐怖袭击类型,开展了3种爆炸威胁和4种泄爆面积下的内爆炸数值模拟分析,考察了结构内壁面中心和内角隅处的载荷及其分布以及结构的动力行为特征。结果表明:泄爆面积对各特征点爆炸波峰值超压的影响较小,而爆炸波冲量随泄爆面积的增大近似呈指数形式降低;结构内壁面的载荷分布受结构尺寸的影响显著,呈内凹或W形;当泄爆系数从0.457增大至1.220时,墙板最大位移可降低50%以上;相较于超压准则,冲量准则可以更准确地评估构件毁伤等级。最后,提出了考虑泄爆面积的冲量增强因子和毁伤增强因子计算方法,能够较好地预测不同泄爆系数下的内爆炸载荷和结构动力行为。
2026, 46(1): 013201.
doi: 10.11883/bzycj-2024-0483
摘要:
为提升氟聚物基活性破片的毁伤效率,拓展其应用范围,研制了一种“核壳”式复合结构活性破片,该破片采用湿混法,引入碳纤维增强基体材料的强度,采用特定的烧结条件,制备了PTFE/Al/CF钨粉和PTFE/Al/CF钨球2种试样,并开展了相应的基本力学性能试验。通过2种结构破片侵彻3 mm+3 mm+2 mm+2 mm多层间隔铝靶试验,采用Python自编的源程序对试验数据进行自动处理,获得了各层靶板的穿孔面积、变形体积以及反应光强总量,对比分析了不同速度和约束条件下多层间隔靶的毁伤特征差异。结果表明:“核壳”式破片侵彻能力更强,低速可穿透4层靶板,但穿孔面积较小,穿孔直径约为0.95倍破片直径;均质破片穿孔面积更大,但侵彻能力较弱,穿孔直径约为1.21倍破片直径,高速条件下只能穿透3层靶板;钢壳约束显著提升了破片的穿孔和侵彻能力。破片的主要活性反应发生在与第2层靶的撞击过程中,但其释能反应对穿孔效应的促进作用有限,毁伤特征差异主要取决于破片的力学特性。
为提升氟聚物基活性破片的毁伤效率,拓展其应用范围,研制了一种“核壳”式复合结构活性破片,该破片采用湿混法,引入碳纤维增强基体材料的强度,采用特定的烧结条件,制备了PTFE/Al/CF钨粉和PTFE/Al/CF钨球2种试样,并开展了相应的基本力学性能试验。通过2种结构破片侵彻3 mm+3 mm+2 mm+2 mm多层间隔铝靶试验,采用Python自编的源程序对试验数据进行自动处理,获得了各层靶板的穿孔面积、变形体积以及反应光强总量,对比分析了不同速度和约束条件下多层间隔靶的毁伤特征差异。结果表明:“核壳”式破片侵彻能力更强,低速可穿透4层靶板,但穿孔面积较小,穿孔直径约为0.95倍破片直径;均质破片穿孔面积更大,但侵彻能力较弱,穿孔直径约为1.21倍破片直径,高速条件下只能穿透3层靶板;钢壳约束显著提升了破片的穿孔和侵彻能力。破片的主要活性反应发生在与第2层靶的撞击过程中,但其释能反应对穿孔效应的促进作用有限,毁伤特征差异主要取决于破片的力学特性。
2026, 46(1): 014101.
doi: 10.11883/bzycj-2025-0037
摘要:
金属桥箔电爆炸驱动绝缘飞片的冲击起爆与点火技术在武器装备的起爆与点火系统中被广泛应用。为弥补现有研究对飞片运动过程中流场演化规律描述不足的缺陷,促进该技术向能量高效利用以及小型化等方面发展,搭建了双脉冲激光纹影瞬态观测实验系统,获得了不同时刻下流场的密度分布以及飞片的运动距离,同时,建立了金属桥箔电爆炸驱动飞片运动过程的二维轴对称流体动力学计算模型与计算方法,计算时充分考虑了加速膛内外流场在飞片运动、冲击波压缩以及高温高压等离子体膨胀等作用下的演化规律,采用相变体积分数法描述桥箔在电能作用下由固相到等离子体相的转变,建立了等离子体状态方程以准确描述等离子体的状态,采用动网格模型描述了飞片在流场驱动下的运动。计算与实验得到的流场密度分布具有较好的贴合性,且飞片运动距离和飞片运动速度的最大相对误差分别为6.1%与8.1%,验证了计算模型与计算方法的准确性。研究结果表明:电容为0.33 μF、起爆电压为2800 V时,研究范围内,流场压强最大值基本维持在1×107 Pa左右;流场温度逐渐从516 ns时刻的9950 K降低到2310 ns时的3100 K;流场等离子体相分布逐渐由扁平状发展为长条状,等离子体相与飞片运动垂直方向的最大扩散距离为0.8 mm。1360 ns后,由于飞片突破冲击波波阵面,流场的压强分布与温度分布的前端突起。
金属桥箔电爆炸驱动绝缘飞片的冲击起爆与点火技术在武器装备的起爆与点火系统中被广泛应用。为弥补现有研究对飞片运动过程中流场演化规律描述不足的缺陷,促进该技术向能量高效利用以及小型化等方面发展,搭建了双脉冲激光纹影瞬态观测实验系统,获得了不同时刻下流场的密度分布以及飞片的运动距离,同时,建立了金属桥箔电爆炸驱动飞片运动过程的二维轴对称流体动力学计算模型与计算方法,计算时充分考虑了加速膛内外流场在飞片运动、冲击波压缩以及高温高压等离子体膨胀等作用下的演化规律,采用相变体积分数法描述桥箔在电能作用下由固相到等离子体相的转变,建立了等离子体状态方程以准确描述等离子体的状态,采用动网格模型描述了飞片在流场驱动下的运动。计算与实验得到的流场密度分布具有较好的贴合性,且飞片运动距离和飞片运动速度的最大相对误差分别为6.1%与8.1%,验证了计算模型与计算方法的准确性。研究结果表明:电容为0.33 μF、起爆电压为


PDF
本文被引
在线阅读