优先发表
优先发表栏目展示本刊经同行评议确定正式录用的文章,这些文章目前处在编校过程,尚未确定卷期及页码,但可以根据DOI进行引用。
显示方式:
, 最新更新时间 , doi: 10.11883/bzycj-2025-0325
摘要:
针对传统金属射流在侵彻混凝土目标时存在毁伤面积有限、动态响应不足等问题,首次提出了一种新型高熵合金/铝/聚四氟乙烯(high-entropy alloys/aluminium/polytetrafluoroethylene,HEA/Al/PTFE)双层含能复合药型罩结构。采用真空电弧熔炼、粉末压制与烧结工艺,成功制备出带截顶内衬的半球形复合罩,并通过试验与数值模拟相结合的方法,系统研究了其成型机理、侵彻特性与毁伤效能。试验结果表明,相较于单层HEA罩,该复合结构能显著增强混凝土内部的碎裂和裂纹扩展能力,有效融合了HEA的优异力学性能与Al/PTFE的高能量释放特性。数值模拟表明,内衬对HEA射流具有抑制径向发散、提升射流中段凝聚性的“包覆”作用,但其多次碰撞-追随-分离行为也会延迟系统动态平衡。进一步建立了该复合罩分区成型理论模型,通过引入能量损失系数修正爆轰能量传递过程。通过理论预测结果与数值模拟结果的对比,形成的射流半径与杵体半径的误差小于15%。在此基础上分析了内衬厚度和高度对射流成型的影响规律,确定最优参数为厚度3.5 mm、高度12 mm,可在射流凝聚性、长度及毁伤威力之间实现最佳平衡。
针对传统金属射流在侵彻混凝土目标时存在毁伤面积有限、动态响应不足等问题,首次提出了一种新型高熵合金/铝/聚四氟乙烯(high-entropy alloys/aluminium/polytetrafluoroethylene,HEA/Al/PTFE)双层含能复合药型罩结构。采用真空电弧熔炼、粉末压制与烧结工艺,成功制备出带截顶内衬的半球形复合罩,并通过试验与数值模拟相结合的方法,系统研究了其成型机理、侵彻特性与毁伤效能。试验结果表明,相较于单层HEA罩,该复合结构能显著增强混凝土内部的碎裂和裂纹扩展能力,有效融合了HEA的优异力学性能与Al/PTFE的高能量释放特性。数值模拟表明,内衬对HEA射流具有抑制径向发散、提升射流中段凝聚性的“包覆”作用,但其多次碰撞-追随-分离行为也会延迟系统动态平衡。进一步建立了该复合罩分区成型理论模型,通过引入能量损失系数修正爆轰能量传递过程。通过理论预测结果与数值模拟结果的对比,形成的射流半径与杵体半径的误差小于15%。在此基础上分析了内衬厚度和高度对射流成型的影响规律,确定最优参数为厚度3.5 mm、高度12 mm,可在射流凝聚性、长度及毁伤威力之间实现最佳平衡。
, 最新更新时间 , doi: 10.11883/bzycj-2025-0144
摘要:
探究了CoCrFeNiCux高熵合金作为药型罩材料在爆炸成型弹丸领域中的应用潜力,旨在通过优化药型罩结构提升爆炸成形弹丸的成形性能和毁伤效能。通过准静态和动态拉伸试验研究了CoCrFeNiCux高熵合金的力学性能,并拟合了Johnson-Cook本构模型参数。结果表明,2种高熵合金(x=0, 1)均表现出优异的塑性、延展性及正应变率敏感性,动态屈服强度随应变率升高显著提升。基于AUTODYN软件对比分析了紫铜与高熵合金药型罩的成形规律,发现高熵合金因强度高导致初始结构成形困难,弹丸尾部闭合不良。通过对药型罩进行均匀变壁厚优化,使形成的爆炸成型弹丸长径比分别提升至2.0(x=0)和2.5(x=1),速度分别达到2260 和2357 m/s。侵彻性能验证表明,优化后的弹丸对100 mm厚4340 钢靶的侵彻深度分别为37.8和41.5 mm,对1000 mm厚C35混凝土靶的侵彻深度分别达287.6和303.7 mm,扩孔直径均超过装药口径的260%,显示出优异的侵彻毁伤能力。研究结果表明,通过优化CoCrFeNiCux高熵合金药型罩结构可显著改善爆炸成型弹丸的成形质量与侵彻性能,为高效毁伤战斗部设计提供了理论依据与新思路。
探究了CoCrFeNiCux高熵合金作为药型罩材料在爆炸成型弹丸领域中的应用潜力,旨在通过优化药型罩结构提升爆炸成形弹丸的成形性能和毁伤效能。通过准静态和动态拉伸试验研究了CoCrFeNiCux高熵合金的力学性能,并拟合了Johnson-Cook本构模型参数。结果表明,2种高熵合金(x=0, 1)均表现出优异的塑性、延展性及正应变率敏感性,动态屈服强度随应变率升高显著提升。基于AUTODYN软件对比分析了紫铜与高熵合金药型罩的成形规律,发现高熵合金因强度高导致初始结构成形困难,弹丸尾部闭合不良。通过对药型罩进行均匀变壁厚优化,使形成的爆炸成型弹丸长径比分别提升至2.0(x=0)和2.5(x=1),速度分别达到
, 最新更新时间 , doi: 10.11883/bzycj-2025-0046
摘要:
针对现役民用飞机铝合金加筋结构机头端框挡板存在的轻量化不足问题,在深入探究泡沫铝夹芯结构抗鸟体冲击吸能机理的基础上,提出了一种新型泡沫铝夹层挡板结构。该结构采用非对称面板设计,高塑性2024-T3铝合金作为上面板,高强度7075 -T6铝合金作为下面板,中间填充泡沫铝芯层,用以替代传统铝合金加筋板,旨在保证优异抗鸟撞性能的同时显著减轻结构重量。首先通过铝合金平板的高速鸟体撞击试验,验证了鸟体本构模型及接触算法的有效性,结合参数反演与仿真算例,验证了泡沫铝材料本构模型的准确性与适用性;进一步,利用Pam-crash软件对加筋板结构与泡沫铝夹芯结构端框进行了鸟撞瞬态冲击动力学仿真,对比分析了二者的冲击响应特性与能量吸收机理差异。研究表明:加筋板主要依靠塑性变形来吸收鸟撞能量,而泡沫铝夹芯结构则通过芯层的压缩坍塌失效、上面板的塑性大变形机制协同吸收能量;优化后的泡沫铝夹芯结构在能量吸收效率方面显著优于传统加筋板结构;基于泡沫铝夹芯结构的吸能特性,完成了覆盖挡板全区域的优化设计方案;基于全覆盖鸟撞冲击仿真结果,所提出的泡沫铝夹芯挡板设计方案在保持与现役结构同等抗鸟撞性能的前提下,减轻了30%以上的结构重量。
针对现役民用飞机铝合金加筋结构机头端框挡板存在的轻量化不足问题,在深入探究泡沫铝夹芯结构抗鸟体冲击吸能机理的基础上,提出了一种新型泡沫铝夹层挡板结构。该结构采用非对称面板设计,高塑性2024-T3铝合金作为上面板,高强度
, 最新更新时间 , doi: 10.11883/bzycj-2025-0339
摘要:
以CoCrFeNiMn高熵合金为研究对象,首先开展了不同温度与应变率下的压缩实验,获得了应力-应变数据;随后基于实验结果建立了修正的Johnson-Cook本构模型,并用于有限元仿真生成机器学习训练数据。在此基础上构建人工神经网络(artificial neural network, ANN)模型,对材料流动应力进行学习与预测。为实现神经网络在有限元框架中的高效应用,开发了基于FORTRAN的自动代码生成工具,将训练完成的ANN模型嵌入到Abaqus/Explicit计算平台中。结果表明,该方法预测精度高,相对误差低于1%,且计算效率优于传统本构模型。基于数据驱动的神经网络方法可有效替代传统本构模型在有限元中的应用,为金属材料的数值建模与模拟提供了一条有效路径。
以CoCrFeNiMn高熵合金为研究对象,首先开展了不同温度与应变率下的压缩实验,获得了应力-应变数据;随后基于实验结果建立了修正的Johnson-Cook本构模型,并用于有限元仿真生成机器学习训练数据。在此基础上构建人工神经网络(artificial neural network, ANN)模型,对材料流动应力进行学习与预测。为实现神经网络在有限元框架中的高效应用,开发了基于FORTRAN的自动代码生成工具,将训练完成的ANN模型嵌入到Abaqus/Explicit计算平台中。结果表明,该方法预测精度高,相对误差低于1%,且计算效率优于传统本构模型。基于数据驱动的神经网络方法可有效替代传统本构模型在有限元中的应用,为金属材料的数值建模与模拟提供了一条有效路径。
, 最新更新时间 , doi: 10.11883/bzycj-2025-0288
摘要:
桁架类点阵超材料是一类超轻质承载吸能材料,在冲击防护领域具有广阔的应用前景。然而,由于点阵超材料细观构型参数空间庞大,且构型参数与力学响应之间存在复杂的非线性关系,其性能优化面临巨大挑战。针对上述问题,基于桁架类点阵超材料的细观结构特征,提出了一种高效的快速数字化建模方法,并利用 Python 脚本驱动 Abaqus 仿真软件,实现了材料的批量化建模与仿真分析。在此基础上,通过有限元数值模拟建立了不同构型点阵超材料的准静态压缩性能数据集,并利用实验验证了数据集的可靠性。随后,训练了一个人工神经网络(artificial neural network,ANN)模型作为代理函数,并将其嵌入非支配排序遗传算法(non-dominated sorting genetic algorithm II,NSGA-II),对点阵超材料开展多目标优化设计,获得了具有高承载能力、高吸能特性以及兼顾承载吸能性能的点阵超材料构型。研究结果表明,融合机器学习技术与有限元仿真,可有效降低优化设计的计算成本,为复杂点阵超材料的快速性能优化与定制化设计提供技术支撑。
桁架类点阵超材料是一类超轻质承载吸能材料,在冲击防护领域具有广阔的应用前景。然而,由于点阵超材料细观构型参数空间庞大,且构型参数与力学响应之间存在复杂的非线性关系,其性能优化面临巨大挑战。针对上述问题,基于桁架类点阵超材料的细观结构特征,提出了一种高效的快速数字化建模方法,并利用 Python 脚本驱动 Abaqus 仿真软件,实现了材料的批量化建模与仿真分析。在此基础上,通过有限元数值模拟建立了不同构型点阵超材料的准静态压缩性能数据集,并利用实验验证了数据集的可靠性。随后,训练了一个人工神经网络(artificial neural network,ANN)模型作为代理函数,并将其嵌入非支配排序遗传算法(non-dominated sorting genetic algorithm II,NSGA-II),对点阵超材料开展多目标优化设计,获得了具有高承载能力、高吸能特性以及兼顾承载吸能性能的点阵超材料构型。研究结果表明,融合机器学习技术与有限元仿真,可有效降低优化设计的计算成本,为复杂点阵超材料的快速性能优化与定制化设计提供技术支撑。
, 最新更新时间 , doi: 10.11883/bzycj-2025-0103
摘要:
为准确表征金属材料在高应变速率下的应力-应变本构关系,提出了基于图神经网络(graph neural networks,GNN)和KAN(Kolmogorov-Arnold networks)的本构关系的高精度预测模型。为解决传统Johnson-Cook(JC)模型不考虑温度、应变速率与应变之间的耦合效应问题,在GNN模型中构建图结构数据以描述多维参数的非线性关联,在KAN模型中基于Kolmogorov-Arnold定理实现高维输入空间的非线性映射。基于ODS(oxide dispersion strengthened)铜合金的高应变率压缩实验,评估了GNN、KAN和JC的本构关系描述和预测精度。结果表明:GNN与KAN模型在测试集中的平均相对误差分别为8.0%与9.0%,决定系数均高于0.95,显著优于JC模型(平均相对误差为38.0%,决定系数为0.75);将所构建的本构关系模型应用在有限元仿真中,GNN和KAN模型预测的等效塑性应变与应力分布更符合理论特征,而JC模型无法准确描述材料的软化阶段,仿真结果偏差较大。所构建的模型能有效捕捉高应变速率下材料的多场耦合特性,为极端载荷条件下的应力-应变本构关系提供了新的预测方法。
为准确表征金属材料在高应变速率下的应力-应变本构关系,提出了基于图神经网络(graph neural networks,GNN)和KAN(Kolmogorov-Arnold networks)的本构关系的高精度预测模型。为解决传统Johnson-Cook(JC)模型不考虑温度、应变速率与应变之间的耦合效应问题,在GNN模型中构建图结构数据以描述多维参数的非线性关联,在KAN模型中基于Kolmogorov-Arnold定理实现高维输入空间的非线性映射。基于ODS(oxide dispersion strengthened)铜合金的高应变率压缩实验,评估了GNN、KAN和JC的本构关系描述和预测精度。结果表明:GNN与KAN模型在测试集中的平均相对误差分别为8.0%与9.0%,决定系数均高于0.95,显著优于JC模型(平均相对误差为38.0%,决定系数为0.75);将所构建的本构关系模型应用在有限元仿真中,GNN和KAN模型预测的等效塑性应变与应力分布更符合理论特征,而JC模型无法准确描述材料的软化阶段,仿真结果偏差较大。所构建的模型能有效捕捉高应变速率下材料的多场耦合特性,为极端载荷条件下的应力-应变本构关系提供了新的预测方法。
, 最新更新时间 , doi: 10.11883/bzycj-2024-0488
摘要:
本文针对固支圆板在多次远场空爆载荷下的位移响应问题,基于膜理论能量方程,提出一种理论建模方法:通过将多次空爆载荷简化为线性衰减脉冲序列,首次建立了考虑应变率强化效应与累积硬化效应的固支圆板位移响应理论模型。首次加载阶段采用线性位移场近似,后续加载阶段引入二次函数位移场假设,推导出多次爆炸下中点位移的递推公式。通过LS-Dyna二次、三次空爆数值模拟验证表明,理论解与模拟结果的误差分别为20%~30%和20%以下。理论模型表明,圆板中点位移可表征为末次爆炸单独位移与前期累积位移的加权平方根函数,且后期爆炸的位移增量随前期累积位移增大而减小。该模型为多次空爆毁伤评估提供了理论依据,揭示了累积毁伤的非线性增长特性,对优化爆炸打击策略具有指导意义。
本文针对固支圆板在多次远场空爆载荷下的位移响应问题,基于膜理论能量方程,提出一种理论建模方法:通过将多次空爆载荷简化为线性衰减脉冲序列,首次建立了考虑应变率强化效应与累积硬化效应的固支圆板位移响应理论模型。首次加载阶段采用线性位移场近似,后续加载阶段引入二次函数位移场假设,推导出多次爆炸下中点位移的递推公式。通过LS-Dyna二次、三次空爆数值模拟验证表明,理论解与模拟结果的误差分别为20%~30%和20%以下。理论模型表明,圆板中点位移可表征为末次爆炸单独位移与前期累积位移的加权平方根函数,且后期爆炸的位移增量随前期累积位移增大而减小。该模型为多次空爆毁伤评估提供了理论依据,揭示了累积毁伤的非线性增长特性,对优化爆炸打击策略具有指导意义。
, 最新更新时间 , doi: 10.11883/bzycj-2025-0243
摘要:
为解决材料动态复合加载过程中实现稳定应力比的难题,基于电磁Hopkinson杆(electromagnetic Hopkinson bar, ESHB)平台开发了一种新型装置,实现了单边同步动态拉/压-扭复合加载。阐述了装置的构型与加载原理,该装置可以独立产生梯形拉伸/压缩应力波和扭转应力波。通过精度达0.1 μs的数字延时发生器确保了加载的同步性,可将不同类型波到达试样的时间差控制在5 μs内,克服了波速不同带来的挑战。此外,还分析了同步控制方法及波的传播历程。为验证该装置,对CoCrFeMnNi高熵合金试样进行了动态拉-扭实验。实验结果证明了该装置的高可靠性和有效性,加载过程中可以实现试样达到约1.7的稳定应力比。更重要的是,实验证明梯形波加载能显著提升动态复合加载中的应力比稳定性,效果远超正弦波加载。该实验方法使研究材料在复杂应力状态(高应变率、多轴加载)下的动态力学响应成为可能,稳定应力比加载的成功实现,为精准表征动态多轴条件下材料的屈服准则与失效机制开辟了新途径。
为解决材料动态复合加载过程中实现稳定应力比的难题,基于电磁Hopkinson杆(electromagnetic Hopkinson bar, ESHB)平台开发了一种新型装置,实现了单边同步动态拉/压-扭复合加载。阐述了装置的构型与加载原理,该装置可以独立产生梯形拉伸/压缩应力波和扭转应力波。通过精度达0.1 μs的数字延时发生器确保了加载的同步性,可将不同类型波到达试样的时间差控制在5 μs内,克服了波速不同带来的挑战。此外,还分析了同步控制方法及波的传播历程。为验证该装置,对CoCrFeMnNi高熵合金试样进行了动态拉-扭实验。实验结果证明了该装置的高可靠性和有效性,加载过程中可以实现试样达到约1.7的稳定应力比。更重要的是,实验证明梯形波加载能显著提升动态复合加载中的应力比稳定性,效果远超正弦波加载。该实验方法使研究材料在复杂应力状态(高应变率、多轴加载)下的动态力学响应成为可能,稳定应力比加载的成功实现,为精准表征动态多轴条件下材料的屈服准则与失效机制开辟了新途径。
, 最新更新时间 , doi: 10.11883/bzycj-2025-0040
摘要:
随着全球恐怖主义和工业事故的增加,对基础设施在爆炸冲击下的安全性研究变得尤为迫切。试验作为探究材料和结构在爆炸冲击下动力响应和损伤特性的关键手段,它能安全、高效、准确地模拟爆炸冲击加载技术成为了该领域的研究热点与挑战。综述了模拟远场爆炸荷载的等效加载试验技术的研究进展,包括炸药驱动激波管、高压气体驱动激波管、落锤冲击试验机和液压驱动模拟器等。这些技术在模拟爆炸冲击波方面各有优势和局限,但都致力于提供一个安全、可控的实验环境,以复现爆炸产生的高速气流和冲击波。通过对比分析,揭示了各种技术在模拟爆炸载荷的准确性、适用性和操作便利性等,并讨论了它们在实际应用中的潜力和挑战。最后,介绍了一种基于液气相变膨胀的新型模拟爆炸加载试验技术并展望了后续研究方向。
随着全球恐怖主义和工业事故的增加,对基础设施在爆炸冲击下的安全性研究变得尤为迫切。试验作为探究材料和结构在爆炸冲击下动力响应和损伤特性的关键手段,它能安全、高效、准确地模拟爆炸冲击加载技术成为了该领域的研究热点与挑战。综述了模拟远场爆炸荷载的等效加载试验技术的研究进展,包括炸药驱动激波管、高压气体驱动激波管、落锤冲击试验机和液压驱动模拟器等。这些技术在模拟爆炸冲击波方面各有优势和局限,但都致力于提供一个安全、可控的实验环境,以复现爆炸产生的高速气流和冲击波。通过对比分析,揭示了各种技术在模拟爆炸载荷的准确性、适用性和操作便利性等,并讨论了它们在实际应用中的潜力和挑战。最后,介绍了一种基于液气相变膨胀的新型模拟爆炸加载试验技术并展望了后续研究方向。
, 最新更新时间 , doi: 10.11883/bzycj-2025-0041
摘要:
随着超高速武器的飞速发展,开展超高速武器战斗部侵彻混凝土遮弹层效能分析对于新建和已建防护结构的设计与安全评估具有重要意义。针对超高速武器战斗部打击普通强度混凝土(normal strength concrete, NSC)、超高性能混凝土(ultra-high performance concrete, UHPC)和刚玉块石混凝土(corundum rubble concrete, CRC)3种典型遮弹层问题,首先,通过对比钢/钨合金弹体侵彻3种靶体试验和数值仿真结果,验证有限元仿真分析方法中数值算法、网格尺寸和材料模型参数取值等的可靠性;然后,基于侵彻深度和弹体残余长度等效的网格过渡策略,建立了适用于原型工况分析的数值仿真分析方法;最后,在Ma为3~8工况下,开展对AGM-183A超高速武器战斗部侵彻3种遮弹层的数值模拟。结果表明:AGM-183A超高速武器战斗部分别以Ma=4、Ma=4和Ma=3侵彻NSC、UHPC和CRC遮弹层的极限侵彻深度为4.26、3.74和1.00 m,侵彻速度继续增大时,弹体弧柱交接处因局部应力集中发生断裂等结构失稳现象导致侵彻效能下降。与常规声速钻地武器战斗部SDB、WDU-43/B和BLU-109/B侵彻爆炸破坏深度相比,AGM-183A侵彻NSC遮弹层的深度分别达到3.2、1.6和1.8倍,侵彻UHPC遮弹层的深度分别达到4.7、2.1和2.2倍,侵彻CRC遮弹层的深度分别达到3.4、1.3和1.5倍。3种遮弹层抗AGM-183A超高速武器战斗部侵彻的建议设计厚度分别为8.01、7.03和1.88 m,UHPC相对NSC遮弹层的抗超高速侵彻能力提升不明显,CRC遮弹层可以有效兼顾抵抗常规声速和超高速战斗部打击,建议设计时优先采用。
随着超高速武器的飞速发展,开展超高速武器战斗部侵彻混凝土遮弹层效能分析对于新建和已建防护结构的设计与安全评估具有重要意义。针对超高速武器战斗部打击普通强度混凝土(normal strength concrete, NSC)、超高性能混凝土(ultra-high performance concrete, UHPC)和刚玉块石混凝土(corundum rubble concrete, CRC)3种典型遮弹层问题,首先,通过对比钢/钨合金弹体侵彻3种靶体试验和数值仿真结果,验证有限元仿真分析方法中数值算法、网格尺寸和材料模型参数取值等的可靠性;然后,基于侵彻深度和弹体残余长度等效的网格过渡策略,建立了适用于原型工况分析的数值仿真分析方法;最后,在Ma为3~8工况下,开展对AGM-183A超高速武器战斗部侵彻3种遮弹层的数值模拟。结果表明:AGM-183A超高速武器战斗部分别以Ma=4、Ma=4和Ma=3侵彻NSC、UHPC和CRC遮弹层的极限侵彻深度为4.26、3.74和1.00 m,侵彻速度继续增大时,弹体弧柱交接处因局部应力集中发生断裂等结构失稳现象导致侵彻效能下降。与常规声速钻地武器战斗部SDB、WDU-43/B和BLU-109/B侵彻爆炸破坏深度相比,AGM-183A侵彻NSC遮弹层的深度分别达到3.2、1.6和1.8倍,侵彻UHPC遮弹层的深度分别达到4.7、2.1和2.2倍,侵彻CRC遮弹层的深度分别达到3.4、1.3和1.5倍。3种遮弹层抗AGM-183A超高速武器战斗部侵彻的建议设计厚度分别为8.01、7.03和1.88 m,UHPC相对NSC遮弹层的抗超高速侵彻能力提升不明显,CRC遮弹层可以有效兼顾抵抗常规声速和超高速战斗部打击,建议设计时优先采用。
, 最新更新时间 , doi: 10.11883/bzycj-2024-0324
摘要:
基于霍普金森压杆技术,采用新设计的微型纯Ⅰ型断裂试样和配套夹具,提出了一种针对陶瓷材料的新型动态断裂测试方法,试样的起裂时间由应变片法测得;对氧化铝陶瓷开展了不同加载速率下的动态断裂实验,采用实验-数值方法得到了材料的Ⅰ型动态应力强度因子曲线及动态断裂韧性。结果显示:随着加载速率从0.45 TPa·m1/2·s−1提高到1.83 TPa·m1/2·s−1,氧化铝陶瓷的Ⅰ型动态断裂韧性值由8.39 MPa·m1/2增加至15.76 MPa·m1/2,而起裂时间则随着加载速率的增加而不断提前。由断口分析可知,随着加载速率的增加,氧化铝陶瓷由沿晶断裂占主导的失效模式逐步转变为以穿晶-沿晶相混合的断裂模式。这期间,更多的微缺陷被激活并扩展形成微裂纹,从而导致混合型断裂模式的发生。材料失效模式的转变将引起更多的能量耗散,这是断裂韧性升高的根本原因。
基于霍普金森压杆技术,采用新设计的微型纯Ⅰ型断裂试样和配套夹具,提出了一种针对陶瓷材料的新型动态断裂测试方法,试样的起裂时间由应变片法测得;对氧化铝陶瓷开展了不同加载速率下的动态断裂实验,采用实验-数值方法得到了材料的Ⅰ型动态应力强度因子曲线及动态断裂韧性。结果显示:随着加载速率从0.45 TPa·m1/2·s−1提高到1.83 TPa·m1/2·s−1,氧化铝陶瓷的Ⅰ型动态断裂韧性值由8.39 MPa·m1/2增加至15.76 MPa·m1/2,而起裂时间则随着加载速率的增加而不断提前。由断口分析可知,随着加载速率的增加,氧化铝陶瓷由沿晶断裂占主导的失效模式逐步转变为以穿晶-沿晶相混合的断裂模式。这期间,更多的微缺陷被激活并扩展形成微裂纹,从而导致混合型断裂模式的发生。材料失效模式的转变将引起更多的能量耗散,这是断裂韧性升高的根本原因。
, 最新更新时间 , doi: 10.11883/bzycj-2025-0282
摘要:
受三浦折纸和星形蜂窝的混杂拓扑设计启发,提出了一种新型折纸超材料夹芯复合结构,并融合机器学习实现了其低速冲击响应的预测和多目标优化。通过落锤冲击实验和有限元仿真,系统探究了该结构在低速冲击下的动态力学响应和变形失效模式。结果表明,折纸启发的拓扑结构有效地将传统蜂窝结构的瞬时完全断裂转化为了渐进压溃失效,从而显著提升了其抗冲击性能。随后提出了残差连接增强的深度学习模型,实现了对该结构完整低速冲击响应的快速精确端到端预测,计算效率较有限元仿真大幅提升。并基于此参数分析了关键角度对冲击响应和等效密度的调控机理,特别是角度变化诱导的壁板拉压变形与折痕弯曲变形间的载荷重新分布现象,使结构能在承载型与缓冲型功能间切换,提供了冲击响应与失效模式主动可调控的机理依据。最后,进一步结合强化学习和帕累托前沿分析,以训练完备的深度学习模型作为代理模型,针对承载防护和缓冲防护需求实现了结构的轻量化多目标优化。在等效密度相近时,折纸超材料能够实现峰值力的大范围调控,有益于针对不同防护场景按需定制化开发的防护结构。
受三浦折纸和星形蜂窝的混杂拓扑设计启发,提出了一种新型折纸超材料夹芯复合结构,并融合机器学习实现了其低速冲击响应的预测和多目标优化。通过落锤冲击实验和有限元仿真,系统探究了该结构在低速冲击下的动态力学响应和变形失效模式。结果表明,折纸启发的拓扑结构有效地将传统蜂窝结构的瞬时完全断裂转化为了渐进压溃失效,从而显著提升了其抗冲击性能。随后提出了残差连接增强的深度学习模型,实现了对该结构完整低速冲击响应的快速精确端到端预测,计算效率较有限元仿真大幅提升。并基于此参数分析了关键角度对冲击响应和等效密度的调控机理,特别是角度变化诱导的壁板拉压变形与折痕弯曲变形间的载荷重新分布现象,使结构能在承载型与缓冲型功能间切换,提供了冲击响应与失效模式主动可调控的机理依据。最后,进一步结合强化学习和帕累托前沿分析,以训练完备的深度学习模型作为代理模型,针对承载防护和缓冲防护需求实现了结构的轻量化多目标优化。在等效密度相近时,折纸超材料能够实现峰值力的大范围调控,有益于针对不同防护场景按需定制化开发的防护结构。
, 最新更新时间 , doi: 10.11883/bzycj-2024-0404
摘要:
为了发展基于结构装药非冲击点火反应演化的物理机制的工程模型、描述反应演化过程并量化表征反应烈度,本文基于装药反应裂纹扩展的主控机制,考虑了空腔膨胀体积,以断裂韧性与反应压力为主要参量,构建了约束装药燃烧反应演化模型,可描述装药燃烧过程中燃烧气体产物增压和壳体结构约束强度的变化过程。利用质量惯性约束作用下的PBX-3炸药燃烧反应演化实验,验证了约束装药反应燃烧演化模型的可靠性。分析结果表明:模型计算获得的反应增压历程与实验中的反应压力增长趋势(通过质量块运动速度历程推算)大致吻合,考虑结构泄压效应的模型能够反映压力增长历程中燃烧产气增压与泄气释压竞争的物理机制,压力增长趋势随泄压面积系数的变化关系符合机理分析预期。
为了发展基于结构装药非冲击点火反应演化的物理机制的工程模型、描述反应演化过程并量化表征反应烈度,本文基于装药反应裂纹扩展的主控机制,考虑了空腔膨胀体积,以断裂韧性与反应压力为主要参量,构建了约束装药燃烧反应演化模型,可描述装药燃烧过程中燃烧气体产物增压和壳体结构约束强度的变化过程。利用质量惯性约束作用下的PBX-3炸药燃烧反应演化实验,验证了约束装药反应燃烧演化模型的可靠性。分析结果表明:模型计算获得的反应增压历程与实验中的反应压力增长趋势(通过质量块运动速度历程推算)大致吻合,考虑结构泄压效应的模型能够反映压力增长历程中燃烧产气增压与泄气释压竞争的物理机制,压力增长趋势随泄压面积系数的变化关系符合机理分析预期。
, 最新更新时间 , doi: 10.11883/bzycj-2025-0100
摘要:
高速破片撞击燃油箱时产生液压水锤效应,其引发的燃油喷溅可能导致燃油箱引燃甚至爆炸,从而降低高价值目标的生存能力。为研究液压水锤效应导致的燃油喷溅特性,进行了高速破片撞击模拟燃油箱的试验,测试并分析了喷溅燃油的速度特性和空间分布特性;提出了液团初始运动速度v0与液团发散速度的概念,在此基础上建立了描述喷溅燃油时空分布的理论模型;根据侵彻孔口的裂纹情况和孔边缘金属材料的形状变化,并考虑液体内压力分布的影响,对流量系数Cv的取值进行分类:当v0≤737 m/s时,Cv的取值范围为0.60~0.70;当737 m/s<v0<906 m/s时,Cv的取值范围为0.25~0.55;当v0≥906 m/s时,Cv的取值范围为0.75~0.95。研究表明,燃油喷溅轴向距离的理论计算结果与试验结果平均误差在15%以内,修正后的径向距离理论计算结果与试验结果误差在5%左右,即理论模型计算结果可较好复现试验结果。
高速破片撞击燃油箱时产生液压水锤效应,其引发的燃油喷溅可能导致燃油箱引燃甚至爆炸,从而降低高价值目标的生存能力。为研究液压水锤效应导致的燃油喷溅特性,进行了高速破片撞击模拟燃油箱的试验,测试并分析了喷溅燃油的速度特性和空间分布特性;提出了液团初始运动速度v0与液团发散速度的概念,在此基础上建立了描述喷溅燃油时空分布的理论模型;根据侵彻孔口的裂纹情况和孔边缘金属材料的形状变化,并考虑液体内压力分布的影响,对流量系数Cv的取值进行分类:当v0≤737 m/s时,Cv的取值范围为0.60~0.70;当737 m/s<v0<906 m/s时,Cv的取值范围为0.25~0.55;当v0≥906 m/s时,Cv的取值范围为0.75~0.95。研究表明,燃油喷溅轴向距离的理论计算结果与试验结果平均误差在15%以内,修正后的径向距离理论计算结果与试验结果误差在5%左右,即理论模型计算结果可较好复现试验结果。
, 最新更新时间 , doi: 10.11883/bzycj-2024-0505
摘要:
针对飞行器常用的碳纤维增强聚合物基复合材料层合板(carbon fiber-reinforced polymer,CFRP)抗冲击性能研究需求,对T800/3200 CFRP层合板进行球形破片侵彻试验与静爆试验,使用CT扫描技术与毁伤评估理论进行深入分析,研究了T800/3200 CFRP层合板在破片侵彻与爆炸冲击波2种典型载荷下的损伤特性与性能,并与航空制造业常用的2024-T3航空铝进行了试验对比。研究表明:T800/3200 CFRP层合板遭受球形破片侵彻后将产生近似台体的脱层失效区域,且失效区域的体积随着破片侵彻速度的增大而减小;T800/3200 CFRP层合板抵抗破片冲击载荷的能力不及航空铝板,吸收动能的能力约为航空铝板的一半;但其抗爆性能显著优于航空铝,在航行任务中更有助于保证飞行器的安全。
针对飞行器常用的碳纤维增强聚合物基复合材料层合板(carbon fiber-reinforced polymer,CFRP)抗冲击性能研究需求,对T800/3200 CFRP层合板进行球形破片侵彻试验与静爆试验,使用CT扫描技术与毁伤评估理论进行深入分析,研究了T800/3200 CFRP层合板在破片侵彻与爆炸冲击波2种典型载荷下的损伤特性与性能,并与航空制造业常用的2024-T3航空铝进行了试验对比。研究表明:T800/3200 CFRP层合板遭受球形破片侵彻后将产生近似台体的脱层失效区域,且失效区域的体积随着破片侵彻速度的增大而减小;T800/3200 CFRP层合板抵抗破片冲击载荷的能力不及航空铝板,吸收动能的能力约为航空铝板的一半;但其抗爆性能显著优于航空铝,在航行任务中更有助于保证飞行器的安全。
, 最新更新时间 , doi: 10.11883/bzycj-2024-0470
摘要:
在物理学中,“源”指的是物质或能量的出发点,而“汇”则是指物质或能量的到达点。类比地下爆炸能量源问题,提出了理想流体空穴湮灭的能量汇问题,详细分析了理想流体空穴湮灭问题中能量的平衡关系与调整机制,建立了流体压力做功与能量汇聚、传递和转化的关系,引入了描述能量汇“向心汇聚”问题的特征能量因子。分析了特征能量因子的物理机理与数学依据,阐述了特征能量因子的特点、优势以及适用范围。能量汇特征能量因子包含了汇聚能量、空穴的几何尺寸以及流体的物理性质等信息,能够很好地表征能量汇问题的“汇聚”特性,可为后续固体“能量汇”问题的研究奠定理论基础。
在物理学中,“源”指的是物质或能量的出发点,而“汇”则是指物质或能量的到达点。类比地下爆炸能量源问题,提出了理想流体空穴湮灭的能量汇问题,详细分析了理想流体空穴湮灭问题中能量的平衡关系与调整机制,建立了流体压力做功与能量汇聚、传递和转化的关系,引入了描述能量汇“向心汇聚”问题的特征能量因子。分析了特征能量因子的物理机理与数学依据,阐述了特征能量因子的特点、优势以及适用范围。能量汇特征能量因子包含了汇聚能量、空穴的几何尺寸以及流体的物理性质等信息,能够很好地表征能量汇问题的“汇聚”特性,可为后续固体“能量汇”问题的研究奠定理论基础。
, 最新更新时间 , doi: 10.11883/bzycj-2025-0171
摘要:
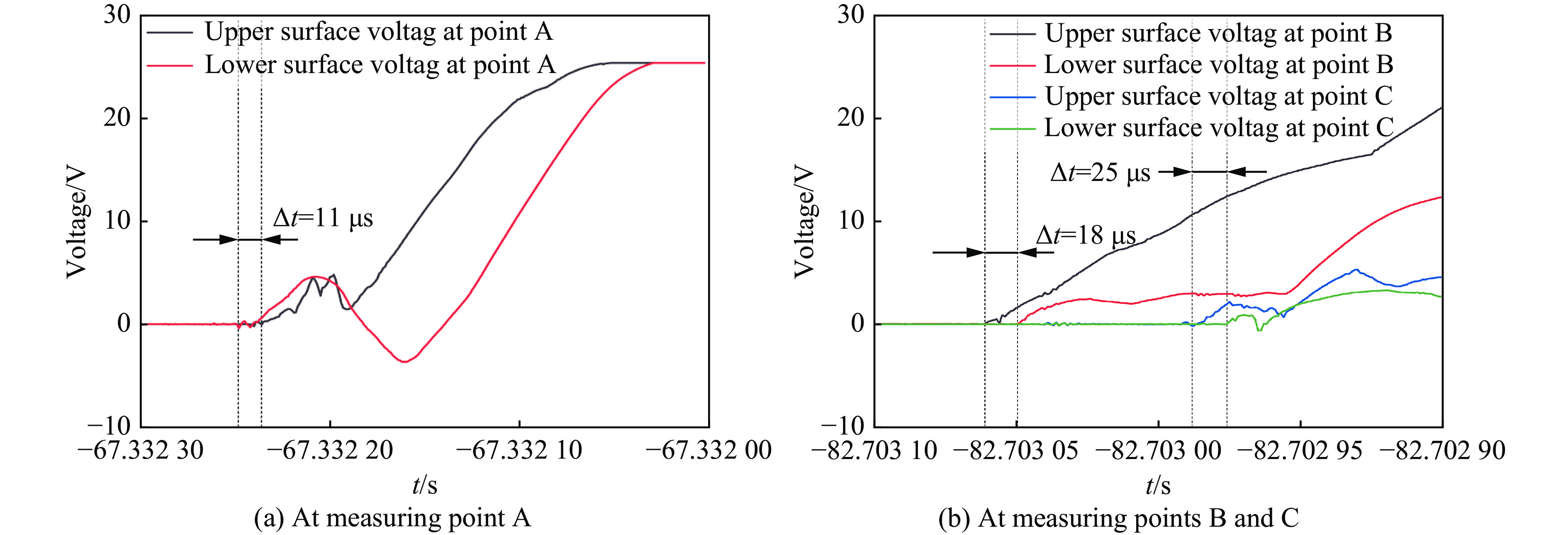
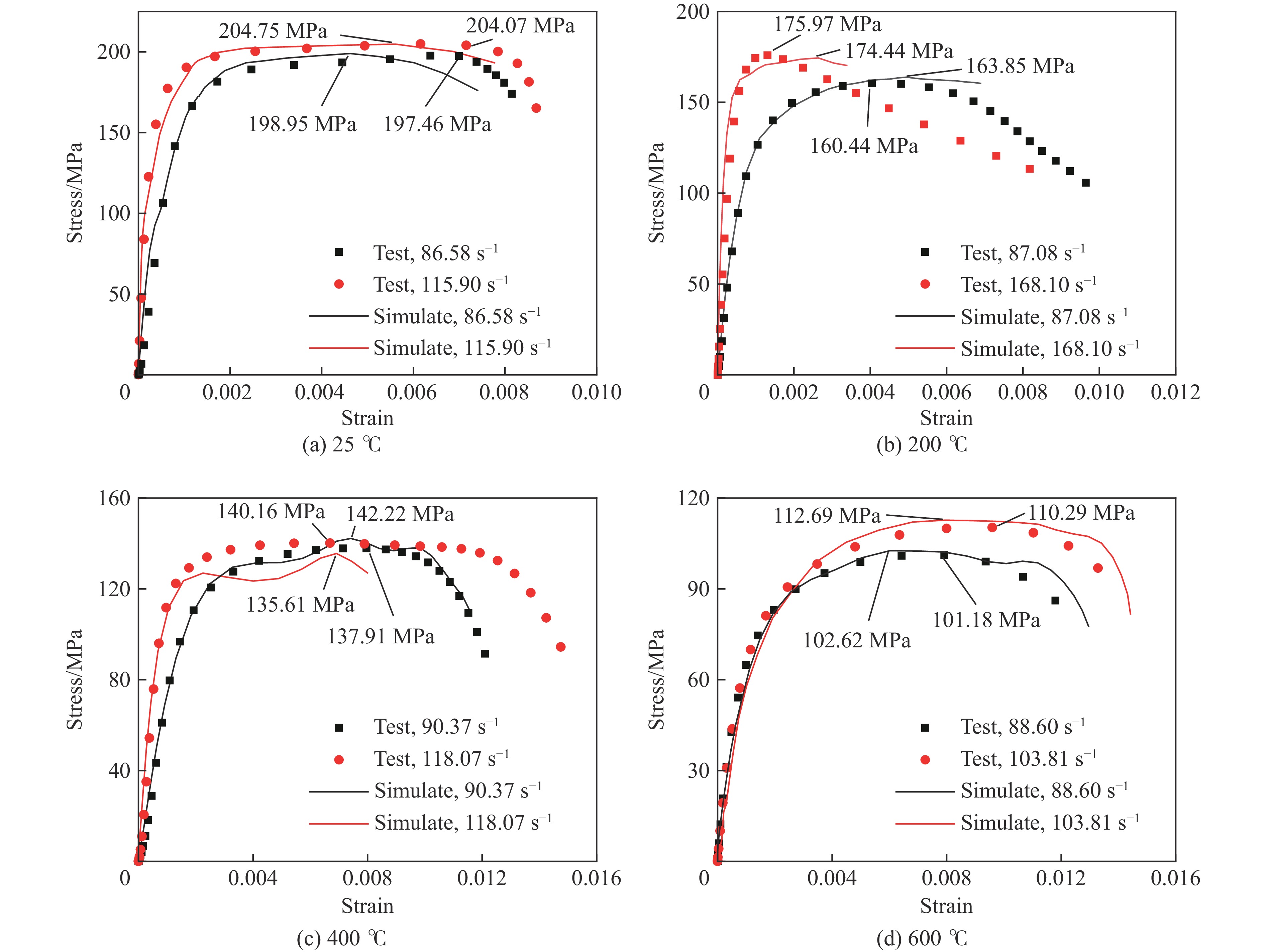
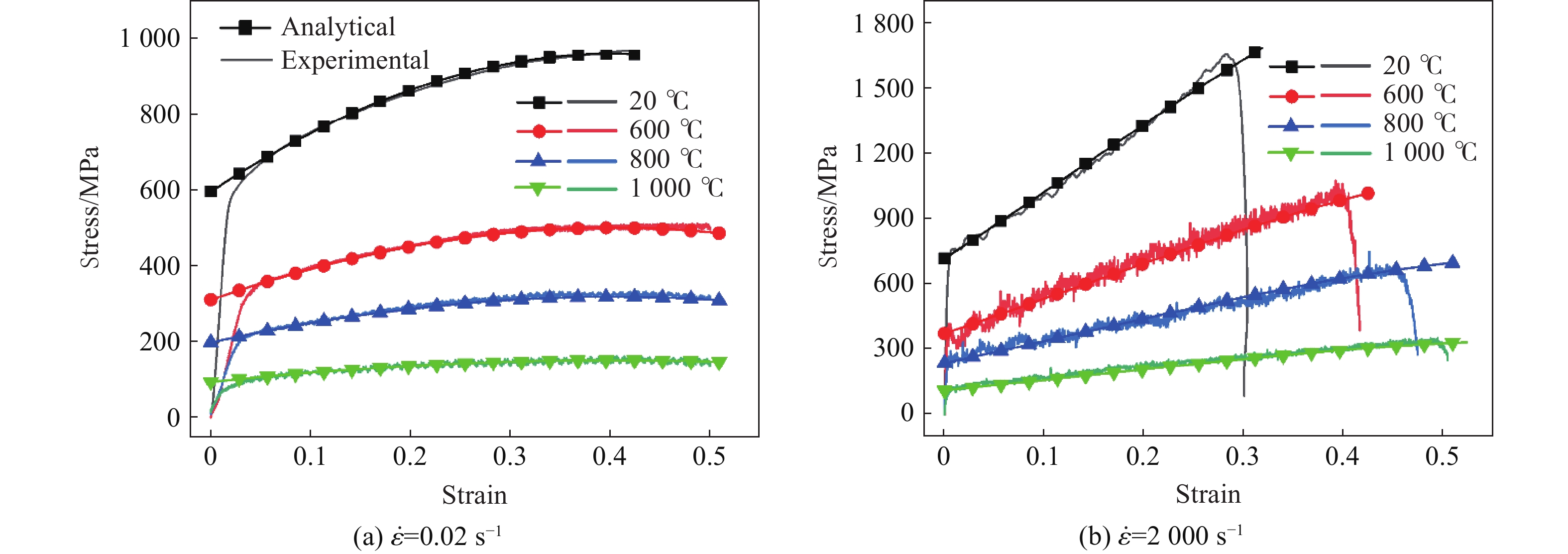
为研究超高性能混凝土(ultra-high performance concrete, UHPC)在高温-爆炸冲击耦合作用下的动态力学特性,采用高温分离式霍普金森压杆(split Hopkinson pressure bar, SHPB)实验系统,开展了25~600 ℃温度及90~200 s−1应变率范围内C140 UHPC单轴压缩实验,系统分析了高温与冲击耦合作用下材料的强度、应变、韧性、应力-应变关系及破坏形态,揭示了温度与应变率效应对其动态力学性能的影响规律,并基于温度效应修正了Holmquist-Johnson-Cook(HJC)本构模型屈服面。结果表明:UHPC在高温动态压缩下表现出显著的应变率强化效应,但高温同时劣化其力学性能;材料应变能力与韧性演化规律源于温度效应与应变率效应的协同作用;在相同温度下,提高应变率可加剧UHPC的破坏程度。当温度超过400 ℃时,UHPC基体劣化及钢纤维氧化致使材料整体呈现脆性破坏特征,然而其局部芯部仍保持完整并具有显著残余承载能力;修正后的HJC屈服面适用于该类材料在高温与冲击耦合作用下的动态力学性能研究。
为研究超高性能混凝土(ultra-high performance concrete, UHPC)在高温-爆炸冲击耦合作用下的动态力学特性,采用高温分离式霍普金森压杆(split Hopkinson pressure bar, SHPB)实验系统,开展了25~600 ℃温度及90~200 s−1应变率范围内C140 UHPC单轴压缩实验,系统分析了高温与冲击耦合作用下材料的强度、应变、韧性、应力-应变关系及破坏形态,揭示了温度与应变率效应对其动态力学性能的影响规律,并基于温度效应修正了Holmquist-Johnson-Cook(HJC)本构模型屈服面。结果表明:UHPC在高温动态压缩下表现出显著的应变率强化效应,但高温同时劣化其力学性能;材料应变能力与韧性演化规律源于温度效应与应变率效应的协同作用;在相同温度下,提高应变率可加剧UHPC的破坏程度。当温度超过400 ℃时,UHPC基体劣化及钢纤维氧化致使材料整体呈现脆性破坏特征,然而其局部芯部仍保持完整并具有显著残余承载能力;修正后的HJC屈服面适用于该类材料在高温与冲击耦合作用下的动态力学性能研究。
, 最新更新时间 , doi: 10.11883/bzycj-2025-0178
摘要:
基于热最优输运无网格(hot optimal transportation meshfree, HOTM)方法,提出了能够准确预测弹药在冲击载荷下响应特性的无网格数值仿真方法,建立了炸药在冲击载荷下的高精度热-力-化学耦合模型,综合考虑了炸药起爆过程中的温度效应和压力效应,将炸药起爆的Arrhenius热-化学反应耦合模型和局部高压引发的Lee-Tarver压力三项式点火模型有机耦合,实现了对不同冲击速度下炸药不同起爆机制的准确模拟,从而预测弹药在遭受冲击载荷过程中的高速接触、金属外壳大塑性变形、材料断裂、热传导、炸药起爆、化学反应产物膨胀做功等复杂的物理现象。以子弹撞击弹药(速度850 m/s)和破片撞击弹药(1850 m/s)2种不同冲击速度的典型冲击场景数值模拟为例,分析了冲击速度对炸药起爆机制和弹药整体响应的影响规律,并与相关试验结果进行对比。结果表明,本方法可有效刻画冲击作用下的材料大变形、摩擦生热、热点形成及化学反应传播等耦合机制,研究成果可为弹药抗冲击设计优化和安全性评估提供可靠的技术支撑。
基于热最优输运无网格(hot optimal transportation meshfree, HOTM)方法,提出了能够准确预测弹药在冲击载荷下响应特性的无网格数值仿真方法,建立了炸药在冲击载荷下的高精度热-力-化学耦合模型,综合考虑了炸药起爆过程中的温度效应和压力效应,将炸药起爆的Arrhenius热-化学反应耦合模型和局部高压引发的Lee-Tarver压力三项式点火模型有机耦合,实现了对不同冲击速度下炸药不同起爆机制的准确模拟,从而预测弹药在遭受冲击载荷过程中的高速接触、金属外壳大塑性变形、材料断裂、热传导、炸药起爆、化学反应产物膨胀做功等复杂的物理现象。以子弹撞击弹药(速度850 m/s)和破片撞击弹药(
, 最新更新时间 , doi: 10.11883/bzycj-2024-0511
摘要:
为实现大尺度复杂空间范围内强爆炸冲击波的高效数值模拟。基于扩散界面多组分模型,建立适用于极端条件、任意多介质相互作用的可压缩多相流数值方法,并结合人工智能技术,提出一种具有MUSCL-THINC-BVD特征的且兼具鲁棒性、低耗散、高效率重构方法。该方法能够在激波、接触间断和物质界面等关键区域自适应选择最优重构方式,实现全局数值耗散最小化,同时较传统BVD(boundary variation diminishing)框架下的格式具有更高的计算效率。进一步结合全球地理信息系统,发展了自动化几何建模与网格剖分技术、网格自适应及大规模并行计算方法,从而能够高效处理网格规模达数十亿、压力范围覆盖103~1015 Pa、模拟区域不小于10 km的大尺度复杂城市环境中的强爆炸冲击波问题。通过对复杂地形及真实城市建筑条件下冲击波传播过程的完整数值模拟,验证了数值方法可靠性。
为实现大尺度复杂空间范围内强爆炸冲击波的高效数值模拟。基于扩散界面多组分模型,建立适用于极端条件、任意多介质相互作用的可压缩多相流数值方法,并结合人工智能技术,提出一种具有MUSCL-THINC-BVD特征的且兼具鲁棒性、低耗散、高效率重构方法。该方法能够在激波、接触间断和物质界面等关键区域自适应选择最优重构方式,实现全局数值耗散最小化,同时较传统BVD(boundary variation diminishing)框架下的格式具有更高的计算效率。进一步结合全球地理信息系统,发展了自动化几何建模与网格剖分技术、网格自适应及大规模并行计算方法,从而能够高效处理网格规模达数十亿、压力范围覆盖103~1015 Pa、模拟区域不小于10 km的大尺度复杂城市环境中的强爆炸冲击波问题。通过对复杂地形及真实城市建筑条件下冲击波传播过程的完整数值模拟,验证了数值方法可靠性。
, 最新更新时间 , doi: 10.11883/bzycj-2025-0290
摘要:
超重力离心模型试验是模拟原型爆炸效应的有效手段,其成功应用依赖于能够复现原状土动力响应的相似土样。针对砂砾土爆炸离心模拟中存在的粒径效应与材料相似性难题,建立一套系统的相似土样配制与验证方法。通过理论分析,将影响爆炸地冲击效应的关键土性参数聚焦于密度和波速(波阻抗),而控制这些参数的核心是土体的级配特征。采用剔除法、等量替代法、相似级配法和混合法4种缩尺方法制备了12种不同最大粒径的相似土样,通过孔隙比试验和有效围压下的弯曲元测试,揭示了砂砾土极孔隙比与细粒含量、平均粒径的量化关系,进而建立了小应变弹性模量的经验预测模型。通过对比模型预测的波速与原位实测数据,结果表明:不均匀系数、细粒含量和平均粒径是实现砂砾土爆炸动力相似的关键控制指标;采用等量替代法配制的最大粒径为10 mm的相似土样,在上述指标上与原状土最等效。基于此相似土样的超重力离心爆炸试验进一步证实,爆源平面内的归一化峰值加速度衰减规律与原位数据高度一致。通过控制关键级配指标并采用等量替代法,可成功配制出在爆炸动力响应上与原状砂砾土等效的相似材料,从而为相关领域的离心机模型试验提供切实可行的技术途径。
超重力离心模型试验是模拟原型爆炸效应的有效手段,其成功应用依赖于能够复现原状土动力响应的相似土样。针对砂砾土爆炸离心模拟中存在的粒径效应与材料相似性难题,建立一套系统的相似土样配制与验证方法。通过理论分析,将影响爆炸地冲击效应的关键土性参数聚焦于密度和波速(波阻抗),而控制这些参数的核心是土体的级配特征。采用剔除法、等量替代法、相似级配法和混合法4种缩尺方法制备了12种不同最大粒径的相似土样,通过孔隙比试验和有效围压下的弯曲元测试,揭示了砂砾土极孔隙比与细粒含量、平均粒径的量化关系,进而建立了小应变弹性模量的经验预测模型。通过对比模型预测的波速与原位实测数据,结果表明:不均匀系数、细粒含量和平均粒径是实现砂砾土爆炸动力相似的关键控制指标;采用等量替代法配制的最大粒径为10 mm的相似土样,在上述指标上与原状土最等效。基于此相似土样的超重力离心爆炸试验进一步证实,爆源平面内的归一化峰值加速度衰减规律与原位数据高度一致。通过控制关键级配指标并采用等量替代法,可成功配制出在爆炸动力响应上与原状砂砾土等效的相似材料,从而为相关领域的离心机模型试验提供切实可行的技术途径。
, 最新更新时间 , doi: 10.11883/bzycj-2025-0175
摘要:
为研究爆炸冲击荷载作用下剪切增强效应和应变率效应对混凝土类材料状态方程的影响,基于水泥砂浆静水压缩和平板撞击两类状态方程行为实验,利用Kong-Fang混凝土类材料流体弹塑性模型和LS-DYNA中光滑粒子伽辽金(smoothed particle Galerkin, SPG)算法,建立能科学表征混凝土类材料包括剪切增强效应和应变率效应在内的复杂动态力学行为的高精度数值模型。在此基础上,定量分析剪切增强效应和应变率效应对混凝土类材料状态方程行为的影响,并指出剔除平板撞击实验中剪切增强和应变率耦合效应所面临的困难。结果表明:利用Kong-Fang模型和SPG算法可精确模拟混凝土类材料包括剪切增强效应和应变率效应在内的复杂动态力学行为;为实现爆炸冲击荷载作用下混凝土类材料在高-中-低压下动态力学行为的精细化模拟,要依据可靠的状态方程行为实验数据建立混凝土类材料宽广压力范围状态方程;在利用平板撞击实验数据标定状态方程参数时,须剔除剪切增强和应变率耦合效应的影响;建立混凝土类材料宽广压力范围状态方程存在悖论,利用数值迭代策略可能是解决困难的有效手段。研究结论可为后续利用数值迭代策略剔除剪切增强效应和应变率效应对混凝土类材料状态方程的影响,并进一步建立爆炸冲击荷载作用下混凝土类材料高精度宽广压力范围状态方程提供依据。
为研究爆炸冲击荷载作用下剪切增强效应和应变率效应对混凝土类材料状态方程的影响,基于水泥砂浆静水压缩和平板撞击两类状态方程行为实验,利用Kong-Fang混凝土类材料流体弹塑性模型和LS-DYNA中光滑粒子伽辽金(smoothed particle Galerkin, SPG)算法,建立能科学表征混凝土类材料包括剪切增强效应和应变率效应在内的复杂动态力学行为的高精度数值模型。在此基础上,定量分析剪切增强效应和应变率效应对混凝土类材料状态方程行为的影响,并指出剔除平板撞击实验中剪切增强和应变率耦合效应所面临的困难。结果表明:利用Kong-Fang模型和SPG算法可精确模拟混凝土类材料包括剪切增强效应和应变率效应在内的复杂动态力学行为;为实现爆炸冲击荷载作用下混凝土类材料在高-中-低压下动态力学行为的精细化模拟,要依据可靠的状态方程行为实验数据建立混凝土类材料宽广压力范围状态方程;在利用平板撞击实验数据标定状态方程参数时,须剔除剪切增强和应变率耦合效应的影响;建立混凝土类材料宽广压力范围状态方程存在悖论,利用数值迭代策略可能是解决困难的有效手段。研究结论可为后续利用数值迭代策略剔除剪切增强效应和应变率效应对混凝土类材料状态方程的影响,并进一步建立爆炸冲击荷载作用下混凝土类材料高精度宽广压力范围状态方程提供依据。
, 最新更新时间 , doi: 10.11883/bzycj-2025-0123
摘要:
为了深入研究氨气-氢气-空气预混气体火焰在管道内外的燃烧特性,在长2000 mm的不锈钢管道中开设尺寸为400 mm×70 mm的观察窗,借助高速摄影和压力传感器,测试分析了化学计量比(Ф=1)的条件下掺氨量(φ)在30%~85%范围内对火焰形态和管道内外压力演化的影响。结果表明,掺氨量(φ)会显著影响管道中火焰的传播过程以及压力时程曲线。管道内火焰的传播速度随掺氨量的增加而降低,到达由二次爆炸引起的回流现象的时间也随之延长;管内距离泄爆口400 mm处设置压力测点PS1采集数据,各工况下管道内压力曲线均呈现p1、p2和p3的三峰结构,3个压力峰分别由泄爆口薄膜破裂、管内气体泄放以及管外二次爆炸产生的气体回流引起,p1的大小取决于泄爆膜的抗拉强度,其幅值几乎与掺氨量(φ)无关,p2和p3均随着掺氨量(φ)的增加而升高,其中p3升高速率最大;管外距离泄爆口500 mm处设置压力测点PS2采集数据,管外二次爆炸压力峰值(pout)随着掺氨量(φ)的增加而降低,到达pout的时间则随之延长。
为了深入研究氨气-氢气-空气预混气体火焰在管道内外的燃烧特性,在长
, 最新更新时间 , doi: 10.11883/bzycj-2025-0145
摘要:
为有效控制受限空间氢-空气爆炸强度,并揭示含甲基膦酸二甲酯(dimethyl methylphosphonate, O=P(CH3)(OCH3)2)的微米级水雾的抑爆机理,通过定容燃烧弹试验平台及Chemkin-Pro程序,开展了试验研究和化学动力学分析。结果表明:含O=P(CH3)(OCH3)2的细水雾可导致火焰锋面细胞状结构增多,促使火焰失稳传播;当Φ=0.8, 1.0和1.5时,含O=P(CH3)(OCH3)2的细水雾有效衰减了平均火焰传播速度(衰减率为24.2%~47.2%)并阻止了郁金香火焰形成,取而代之的是波纹状火焰。含O=P(CH3)(OCH3)2的细水雾通过降低层流燃烧速度降低升压速率,另一方面增强火焰的失稳特性提高升压速率,最终抑制效果(衰减率为41.0%~65.8%)取决于上述2种作用的耦合效应。含的O=P(CH3)(OCH3)2的细水雾通过降低H∙、O∙和OH∙的浓度实现爆炸的有效抑制,其中H∙、O∙和OH∙的浓度衰减80%以上。细水雾基于火焰前沿冷却效应和物理稀释效应实现爆炸抑制,O=P(CH3)(OCH3)2基于分解后产生的HOPO∙、HOPO2∙、HPO2∙、PO(OH)2∙和PO(H)(OH)∙,捕捉H∙和OH∙,生成H2和H2O等稳定化合物,从而中断氢-空气爆炸过程中的链式反应。
为有效控制受限空间氢-空气爆炸强度,并揭示含甲基膦酸二甲酯(dimethyl methylphosphonate, O=P(CH3)(OCH3)2)的微米级水雾的抑爆机理,通过定容燃烧弹试验平台及Chemkin-Pro程序,开展了试验研究和化学动力学分析。结果表明:含O=P(CH3)(OCH3)2的细水雾可导致火焰锋面细胞状结构增多,促使火焰失稳传播;当Φ=0.8, 1.0和1.5时,含O=P(CH3)(OCH3)2的细水雾有效衰减了平均火焰传播速度(衰减率为24.2%~47.2%)并阻止了郁金香火焰形成,取而代之的是波纹状火焰。含O=P(CH3)(OCH3)2的细水雾通过降低层流燃烧速度降低升压速率,另一方面增强火焰的失稳特性提高升压速率,最终抑制效果(衰减率为41.0%~65.8%)取决于上述2种作用的耦合效应。含的O=P(CH3)(OCH3)2的细水雾通过降低H∙、O∙和OH∙的浓度实现爆炸的有效抑制,其中H∙、O∙和OH∙的浓度衰减80%以上。细水雾基于火焰前沿冷却效应和物理稀释效应实现爆炸抑制,O=P(CH3)(OCH3)2基于分解后产生的HOPO∙、HOPO2∙、HPO2∙、PO(OH)2∙和PO(H)(OH)∙,捕捉H∙和OH∙,生成H2和H2O等稳定化合物,从而中断氢-空气爆炸过程中的链式反应。
, 最新更新时间 , doi: 10.11883/bzycj-2025-0250
摘要:
装配式建筑结构因其节能环保、质量可控及施工高效快捷等优点,在土木工程中得到了广泛应用。作为装配式建筑结构的核心受力构件,预制钢筋混凝土(precast reinforced concrete,PC)板易受燃气爆炸、工业爆炸和恐怖袭击等威胁。为了准确评估PC板在爆炸作用下的损伤状态,提升结构抗爆能力,并降低人员伤亡风险,通过构建PC板爆炸响应数据集,选取6项几何结构参数和2项爆炸荷载参数作为输入特征,采用3种不同的机器学习算法(GPR、RF和XGBoost)对PC板的最大位移进行预测,采用均方根误差、决定系数、平均绝对误差、散射系数及综合性能目标函数值5项回归评价指标,对3种模型的预测精度进行对比分析;提出了基于支座转角损伤准则的损伤分类评估模型,利用混淆矩阵和5项分类指标(准确率、精确率、召回率、F1分数和Kappa系数)分析3种准则下模型的性能差异,并与简化后的模型及经验预测方法进行对比。结果表明:在最大位移预测方面,3种机器学习模型中表现最佳的为XGBoost模型,其拟合性优于GPR和RF模型且综合性能最优;在损伤分类预测方面,基于准则Ⅱ的XGBoost损伤分类模型性能最优,损伤识别准确率达92.5%,显示出其高效的损伤类型识别能力。基于XGBoost算法的爆炸作用下PC板损伤分类评估模型具有强大的性能,对结构抗爆和爆后快速损伤评定具有参考价值。
装配式建筑结构因其节能环保、质量可控及施工高效快捷等优点,在土木工程中得到了广泛应用。作为装配式建筑结构的核心受力构件,预制钢筋混凝土(precast reinforced concrete,PC)板易受燃气爆炸、工业爆炸和恐怖袭击等威胁。为了准确评估PC板在爆炸作用下的损伤状态,提升结构抗爆能力,并降低人员伤亡风险,通过构建PC板爆炸响应数据集,选取6项几何结构参数和2项爆炸荷载参数作为输入特征,采用3种不同的机器学习算法(GPR、RF和XGBoost)对PC板的最大位移进行预测,采用均方根误差、决定系数、平均绝对误差、散射系数及综合性能目标函数值5项回归评价指标,对3种模型的预测精度进行对比分析;提出了基于支座转角损伤准则的损伤分类评估模型,利用混淆矩阵和5项分类指标(准确率、精确率、召回率、F1分数和Kappa系数)分析3种准则下模型的性能差异,并与简化后的模型及经验预测方法进行对比。结果表明:在最大位移预测方面,3种机器学习模型中表现最佳的为XGBoost模型,其拟合性优于GPR和RF模型且综合性能最优;在损伤分类预测方面,基于准则Ⅱ的XGBoost损伤分类模型性能最优,损伤识别准确率达92.5%,显示出其高效的损伤类型识别能力。基于XGBoost算法的爆炸作用下PC板损伤分类评估模型具有强大的性能,对结构抗爆和爆后快速损伤评定具有参考价值。
, 最新更新时间 , doi: 10.11883/bzycj-2025-0164
摘要:
内凹蜂窝的悬链线增强方法通过同步改善中空结构提升承载、增强负泊松比效应、改善变形模式、利用悬链线结构高承载实现耐撞性的显著提升,在此基础上提出增强内凹蜂窝夹层梁。采用“冲压+粘接”方法分别制造传统、增强内凹蜂窝夹层梁金属样件开展三点弯曲实验,结果显示:悬链线结构通过抑制传统内凹蜂窝侧胞壁绕节点的旋转变形将其初始塑性变形后承载力的下降比例由29.3%减小至6.6%。相较于传统内凹蜂窝夹层梁,等相对密度增强内凹蜂窝夹层梁的最大承载力、能量吸收分别提高26.7%、8.9%。开展参数化研究确定面板、芯层壁厚对夹层梁三点弯曲力学行为均具有显著影响。基于参数化研究结果开展以面板、芯层壁厚为变量的夹层梁抗冲击性能多目标优化,相较于夹层梁初始结构,优化后夹层梁最大承载力和能量吸收分别提高64.9%和46.9%。与面内、面外传统蜂窝夹层梁分别进行等壁厚、等质量下的抗冲击性能对比,证明提出增强内凹蜂窝夹层梁更优异的吸能防护性能。研究结果可为传统蜂窝夹层结构的强化设计提供有益指导。
内凹蜂窝的悬链线增强方法通过同步改善中空结构提升承载、增强负泊松比效应、改善变形模式、利用悬链线结构高承载实现耐撞性的显著提升,在此基础上提出增强内凹蜂窝夹层梁。采用“冲压+粘接”方法分别制造传统、增强内凹蜂窝夹层梁金属样件开展三点弯曲实验,结果显示:悬链线结构通过抑制传统内凹蜂窝侧胞壁绕节点的旋转变形将其初始塑性变形后承载力的下降比例由29.3%减小至6.6%。相较于传统内凹蜂窝夹层梁,等相对密度增强内凹蜂窝夹层梁的最大承载力、能量吸收分别提高26.7%、8.9%。开展参数化研究确定面板、芯层壁厚对夹层梁三点弯曲力学行为均具有显著影响。基于参数化研究结果开展以面板、芯层壁厚为变量的夹层梁抗冲击性能多目标优化,相较于夹层梁初始结构,优化后夹层梁最大承载力和能量吸收分别提高64.9%和46.9%。与面内、面外传统蜂窝夹层梁分别进行等壁厚、等质量下的抗冲击性能对比,证明提出增强内凹蜂窝夹层梁更优异的吸能防护性能。研究结果可为传统蜂窝夹层结构的强化设计提供有益指导。
, 最新更新时间 , doi: 10.11883/bzycj-2025-0087
摘要:
为了进一步探索间隙C原子对CoCrNi基中熵合金的应变率效应和温度效应的影响,系统地研究了由面心立方(face-centered cubic,FCC)基体和三级层级沉淀微观结构组成的CoCrNiSi0.3C0.048中熵合金在宽温域、宽应变率范围内的压缩力学行为、微结构演化过程以及变形机理。结果表明,该合金在400 ℃下变形时,其真应力-真应变曲线呈现出明显的“锯齿流变”现象,而且随着应变的增大,锯齿的振幅逐渐减小,直至消失。此外,其准静态下流动应力随温度的变化曲线上出现了反常应力峰(第三型应变时效现象),在高应变率下,第三型应变时效引起的反常应力峰消失。通过微观结构的表征分析,推测其准静态下出现第三型应变时效现象主要是由于间隙C原子的存在,在塑性变形的不断进行和发展过程中,产生了一系列由致密位错胞、微带、层错、位错簇和变形孪晶等组成的类似于非均质结构的混合结构。这些混合结构加剧了间隙原子与移动位错之间的相互作用,进而钉扎位错,出现动态应变时效现象。在动态情况下并未出现第三型应变时效的原因可能是溶质原子的运动相较于位错的运动速度较慢,无法及时钉扎位错。另外,大量的纳米级SiC沉淀的析出弱化了动态加载下间隙原子的“钉扎”作用。
为了进一步探索间隙C原子对CoCrNi基中熵合金的应变率效应和温度效应的影响,系统地研究了由面心立方(face-centered cubic,FCC)基体和三级层级沉淀微观结构组成的CoCrNiSi0.3C0.048中熵合金在宽温域、宽应变率范围内的压缩力学行为、微结构演化过程以及变形机理。结果表明,该合金在400 ℃下变形时,其真应力-真应变曲线呈现出明显的“锯齿流变”现象,而且随着应变的增大,锯齿的振幅逐渐减小,直至消失。此外,其准静态下流动应力随温度的变化曲线上出现了反常应力峰(第三型应变时效现象),在高应变率下,第三型应变时效引起的反常应力峰消失。通过微观结构的表征分析,推测其准静态下出现第三型应变时效现象主要是由于间隙C原子的存在,在塑性变形的不断进行和发展过程中,产生了一系列由致密位错胞、微带、层错、位错簇和变形孪晶等组成的类似于非均质结构的混合结构。这些混合结构加剧了间隙原子与移动位错之间的相互作用,进而钉扎位错,出现动态应变时效现象。在动态情况下并未出现第三型应变时效的原因可能是溶质原子的运动相较于位错的运动速度较慢,无法及时钉扎位错。另外,大量的纳米级SiC沉淀的析出弱化了动态加载下间隙原子的“钉扎”作用。
, 最新更新时间 , doi: 10.11883/bzycj-2025-0027
摘要:
约束爆炸准静态压力热力学模型可有效描述压力随当量体积比m/V的变化,并可基于物质组分和温度结果进一步导出气体绝热系数等物理量。然而,基于炸药爆轰和燃烧方程建立的不考虑化学反应平衡的热力学模型,其结果在反应产物中有碳单质析出后与美国UFC 3-340-02结构抗爆规范中的准静态压力曲线出现偏差,且对TNT约束爆炸准静态压力热力学模型中各物理量考虑反应平衡的必要性研究还未见报道。为探究反应平衡对热力学模型计算结果的影响,首先,基于等容过程的能量守恒方程和固体碳析出现象,修正了不考虑反应平衡的热力学模型,提高了模型结果在m/V≥0.371 kg/m3时与UFC曲线的一致性。然后,基于统一的模型求解框架,对比了考虑与不考虑反应平衡的热力学模型结果。研究表明:由于引入化学反应平衡造成的准静态压力最大相对差异小于20%,而固体碳生成时对应的m/V由0.371 kg/m3转变为3.850 kg/m3,温度达到峰值时对应的m/V由0.371 kg/m3转变为0.680 kg/m3,且物质组分和温度结果的差异在m/V>0.1 kg/m3后随m/V的增大逐渐显著。因此,在计算m/V>0.1 kg/m3的TNT约束爆炸工况中与物质组分和温度直接相关的物理量时,有必要采用考虑反应平衡的模型。最后,基于符号回归算法,提出了考虑反应平衡的TNT约束爆炸准静态阶段物质组分、温度和压力的简化计算方法。
约束爆炸准静态压力热力学模型可有效描述压力随当量体积比m/V的变化,并可基于物质组分和温度结果进一步导出气体绝热系数等物理量。然而,基于炸药爆轰和燃烧方程建立的不考虑化学反应平衡的热力学模型,其结果在反应产物中有碳单质析出后与美国UFC 3-340-02结构抗爆规范中的准静态压力曲线出现偏差,且对TNT约束爆炸准静态压力热力学模型中各物理量考虑反应平衡的必要性研究还未见报道。为探究反应平衡对热力学模型计算结果的影响,首先,基于等容过程的能量守恒方程和固体碳析出现象,修正了不考虑反应平衡的热力学模型,提高了模型结果在m/V≥0.371 kg/m3时与UFC曲线的一致性。然后,基于统一的模型求解框架,对比了考虑与不考虑反应平衡的热力学模型结果。研究表明:由于引入化学反应平衡造成的准静态压力最大相对差异小于20%,而固体碳生成时对应的m/V由0.371 kg/m3转变为3.850 kg/m3,温度达到峰值时对应的m/V由0.371 kg/m3转变为0.680 kg/m3,且物质组分和温度结果的差异在m/V>0.1 kg/m3后随m/V的增大逐渐显著。因此,在计算m/V>0.1 kg/m3的TNT约束爆炸工况中与物质组分和温度直接相关的物理量时,有必要采用考虑反应平衡的模型。最后,基于符号回归算法,提出了考虑反应平衡的TNT约束爆炸准静态阶段物质组分、温度和压力的简化计算方法。
, 最新更新时间 , doi: 10.11883/bzycj-2024-0497
摘要:
层状复合岩体广泛存在于矿山开采、隧道开挖以及边坡治理能工程领域,其内部强度往往呈梯度变化。通过环氧树脂材料模拟层状复合岩体,利用动态光弹性-数字图像相关综合实验系统对爆炸应力波在梯度介质中的传播过程进行可视化和精细化分析,研究爆炸应力波在正向梯度和反向梯度2种情况下的衰减规律和能流密度演化规律,通过对比动态光弹条纹直观分析在不同传播路径下的透反射特征,通过数字图像相关法定量分析爆炸应力波衰减速度的差异。结果表明:爆炸应力波在正向传播路径中条纹级数没有明显变化,在节理面处有明显的反射,在反向传播路径中条纹级数呈衰减的规律,在节理面处动光弹条纹具有很好的连续性,爆炸应力波在反向梯度介质中具有更好的穿透性。梯度介质中节理和材料的改变使水平应力衰减的速度发生改变,在正向梯度介质中水平应力的衰减速度更快。通过引入坡印廷矢量对其能流密度进行比较,发现在相同测点处正向梯度材料中能流密度额衰减速度更快,爆炸应力波在正向梯度材料中的传播过程属于“吸能”过程。
层状复合岩体广泛存在于矿山开采、隧道开挖以及边坡治理能工程领域,其内部强度往往呈梯度变化。通过环氧树脂材料模拟层状复合岩体,利用动态光弹性-数字图像相关综合实验系统对爆炸应力波在梯度介质中的传播过程进行可视化和精细化分析,研究爆炸应力波在正向梯度和反向梯度2种情况下的衰减规律和能流密度演化规律,通过对比动态光弹条纹直观分析在不同传播路径下的透反射特征,通过数字图像相关法定量分析爆炸应力波衰减速度的差异。结果表明:爆炸应力波在正向传播路径中条纹级数没有明显变化,在节理面处有明显的反射,在反向传播路径中条纹级数呈衰减的规律,在节理面处动光弹条纹具有很好的连续性,爆炸应力波在反向梯度介质中具有更好的穿透性。梯度介质中节理和材料的改变使水平应力衰减的速度发生改变,在正向梯度介质中水平应力的衰减速度更快。通过引入坡印廷矢量对其能流密度进行比较,发现在相同测点处正向梯度材料中能流密度额衰减速度更快,爆炸应力波在正向梯度材料中的传播过程属于“吸能”过程。
, 最新更新时间 , doi: 10.11883/bzycj-2024-0520
摘要:
为了研究翼身融合(blended wing body, BWB)新构型民机的结构坠撞响应,以美国国家航空航天局提出的拉挤杆缝合一体化(pultruded rod stitched efficient unitized structure, PRSEUS)结构为基础,用临界机动载荷(2.5g过载和−1.0g过载)和客舱增压载荷(2倍客舱增压载荷)共3种典型载荷工况作为评估BWB结构强度、刚度的输入条件,建立了一款450座级的BWB民机结构模型。在垂向7.92~9.14 m/s的坠撞工况下,进行了数值模拟,重点分析了客舱空间保持情况、客舱地板的加速度响应以及主要承力结构的冲击特性。结果表明:BWB机身在不同冲击速度下客舱区域均基本保持完整,主要破坏发生在客舱地板以下区域,可生存空间得到保持;翼身融合构型民机在坠撞时产生的加速度响应分布呈现由中央过道向机体侧降低的趋势,且中央过道处的加速度峰值较高;结构吸能方面,隔框是最主要的吸能结构,其次是机身肋板,而货舱立柱未很好的压溃吸能。
为了研究翼身融合(blended wing body, BWB)新构型民机的结构坠撞响应,以美国国家航空航天局提出的拉挤杆缝合一体化(pultruded rod stitched efficient unitized structure, PRSEUS)结构为基础,用临界机动载荷(2.5g过载和−1.0g过载)和客舱增压载荷(2倍客舱增压载荷)共3种典型载荷工况作为评估BWB结构强度、刚度的输入条件,建立了一款450座级的BWB民机结构模型。在垂向7.92~9.14 m/s的坠撞工况下,进行了数值模拟,重点分析了客舱空间保持情况、客舱地板的加速度响应以及主要承力结构的冲击特性。结果表明:BWB机身在不同冲击速度下客舱区域均基本保持完整,主要破坏发生在客舱地板以下区域,可生存空间得到保持;翼身融合构型民机在坠撞时产生的加速度响应分布呈现由中央过道向机体侧降低的趋势,且中央过道处的加速度峰值较高;结构吸能方面,隔框是最主要的吸能结构,其次是机身肋板,而货舱立柱未很好的压溃吸能。
, 最新更新时间 , doi: 10.11883/bzycj-2024-0471
摘要:
为准确预测建筑外爆威力场,解决传统经验公式中未能充分考虑环境因素的复杂性而导致的精度受限、数值仿真在处理大规模城市场景时效率低下的难题,构建了一种基于图神经网络(graph neural network, GNN)的爆炸威力场预测模型,直接利用建筑的几何特征,对其表面的爆炸峰值超压、峰值冲量及冲击波到达时间等三维物理场的进行预测。与数值仿真结果的对比验证表明,本文模型展现出了卓越的预测性能:对不同几何结构的单体建筑表面超压参数的预测均方误差为0.97%;对复杂几何建筑、建筑群落建筑表面超压参数的平均预测误差为3.17%;当应用于实际城市区域时,平均预测误差为1.29%;物理场单次预测耗时不超过0.6 s,与数值仿真相比速度提升3~4个数量级。基于模型的高精度预测,不仅可以重构建筑表面任意位置的超压时程曲线,还能准确评估结构的毁伤程度。
为准确预测建筑外爆威力场,解决传统经验公式中未能充分考虑环境因素的复杂性而导致的精度受限、数值仿真在处理大规模城市场景时效率低下的难题,构建了一种基于图神经网络(graph neural network, GNN)的爆炸威力场预测模型,直接利用建筑的几何特征,对其表面的爆炸峰值超压、峰值冲量及冲击波到达时间等三维物理场的进行预测。与数值仿真结果的对比验证表明,本文模型展现出了卓越的预测性能:对不同几何结构的单体建筑表面超压参数的预测均方误差为0.97%;对复杂几何建筑、建筑群落建筑表面超压参数的平均预测误差为3.17%;当应用于实际城市区域时,平均预测误差为1.29%;物理场单次预测耗时不超过0.6 s,与数值仿真相比速度提升3~4个数量级。基于模型的高精度预测,不仅可以重构建筑表面任意位置的超压时程曲线,还能准确评估结构的毁伤程度。
, 最新更新时间 , doi: 10.11883/bzycj-2024-0443
摘要:
超临界CO2相变破岩是冲击波与高压气体协同作用下的动态破坏过程。为深入探究多孔同步激发与地应力耦合条件下的超临界CO2相变破岩机制,针对CO2现场破岩实际工况,基于薄壁圆筒理论解析了单孔初始破岩压力,结合一维爆生气体膨胀理论,构建了地应力作用下多孔冲击波与高压气体联合破岩半径预测模型,并通过现场多孔CO2相变破岩试验进行了对比验证。结果表明:当致裂管埋深较浅时,地应力对岩体应力分布的影响较微弱;当单孔压力一致时,致裂孔数量越多,各孔的叠加峰值应力越大,在垂直于测试孔布置方向,各孔的峰值应力均呈U型抛物线分布,两端的致裂孔的叠加应力最大,而在平行于测试孔布置方向,各孔的峰值应力均呈倒U型抛物线分布,中部致裂孔的叠加应力最大。此外,利用声波测试得到的现场多孔冲击下岩体损伤破坏范围呈三维漏斗形状,竖向损伤破坏范围在5.05~5.73 m之间,平面损伤破坏范围在4.3~5.6 m之间,其中平面损伤破坏范围测试值与理论计算值的相对误差在5.0%~18.7%之间,计算误差多来自各致裂孔叠加应力的不均匀性。进一步分析可知:超临界CO2相变破岩半径随致裂孔叠加应力呈半抛物线式增长,随致裂孔深度呈对数式增长;当岩体抗压强度增大时,岩石断裂韧度近线性增长,对应破岩半径近线性下降。研究成果可为多孔超临界CO2相变破岩工程参数优化提供定量化设计依据。
超临界CO2相变破岩是冲击波与高压气体协同作用下的动态破坏过程。为深入探究多孔同步激发与地应力耦合条件下的超临界CO2相变破岩机制,针对CO2现场破岩实际工况,基于薄壁圆筒理论解析了单孔初始破岩压力,结合一维爆生气体膨胀理论,构建了地应力作用下多孔冲击波与高压气体联合破岩半径预测模型,并通过现场多孔CO2相变破岩试验进行了对比验证。结果表明:当致裂管埋深较浅时,地应力对岩体应力分布的影响较微弱;当单孔压力一致时,致裂孔数量越多,各孔的叠加峰值应力越大,在垂直于测试孔布置方向,各孔的峰值应力均呈U型抛物线分布,两端的致裂孔的叠加应力最大,而在平行于测试孔布置方向,各孔的峰值应力均呈倒U型抛物线分布,中部致裂孔的叠加应力最大。此外,利用声波测试得到的现场多孔冲击下岩体损伤破坏范围呈三维漏斗形状,竖向损伤破坏范围在5.05~5.73 m之间,平面损伤破坏范围在4.3~5.6 m之间,其中平面损伤破坏范围测试值与理论计算值的相对误差在5.0%~18.7%之间,计算误差多来自各致裂孔叠加应力的不均匀性。进一步分析可知:超临界CO2相变破岩半径随致裂孔叠加应力呈半抛物线式增长,随致裂孔深度呈对数式增长;当岩体抗压强度增大时,岩石断裂韧度近线性增长,对应破岩半径近线性下降。研究成果可为多孔超临界CO2相变破岩工程参数优化提供定量化设计依据。
, 最新更新时间 , doi: 10.11883/bzycj-2025-0154
摘要:
燃气泄漏爆炸事故严重威胁公共安全,而准确预测可燃气体泄漏爆炸效应的先决条件是确定气体泄漏后的浓度分布。为构建可燃气体泄漏扩散的实时全场时空预测模型,实现等效气云体积的高效预测,提出一种基于双神经网络架构与多阶段训练策略的图神经网络模型(multi-stage dual graph neural network, MSDGNN)。该模型包含2个协同工作的子网络:(1)浓度网络(Ncon),用于建立连续时间步浓度场之间的映射关系;(2)体积网络(Nvol),用于生成每个时间步的等效气体云体积,为爆炸风险评估提供量化指标。为进一步提升模型性能,开发了分阶段渐进式训练策略对双网络进行联合优化。验证结果表明:相较于传统单一网络架构(如mesh-based graph network,MGN),双网络架构通过解耦浓度场预测与等效气云体积预测任务,有效规避了单目标损失函数中权重因子对训练过程的干扰。多阶段训练策略通过分步参数优化,可解决传统方法对训练数据拟合不足的问题,使浓度场与等效气云体积的平均绝对百分误差\begin{document}$ {{ \varepsilon }}_{\rm{MAPE}} $\end{document} ![]()
![]()
分别从49.47%和108.93%大幅降低至7.55%和9.07%;同时,模型泛化误差从41.18%(浓度场)和38.81%(等效气云体积)分别降至8.01%和14.92%。此外,在泄漏速率、泄漏高度及持续时间等关键参数超出训练数据范围时,MSDGNN仍表现出良好的预测鲁棒性。与数值模拟方法相比,本模型在保持预测精度的同时,计算效率提升了3个数量级,可为可燃气体安全监测提供有效的实时分析工具。
燃气泄漏爆炸事故严重威胁公共安全,而准确预测可燃气体泄漏爆炸效应的先决条件是确定气体泄漏后的浓度分布。为构建可燃气体泄漏扩散的实时全场时空预测模型,实现等效气云体积的高效预测,提出一种基于双神经网络架构与多阶段训练策略的图神经网络模型(multi-stage dual graph neural network, MSDGNN)。该模型包含2个协同工作的子网络:(1)浓度网络(Ncon),用于建立连续时间步浓度场之间的映射关系;(2)体积网络(Nvol),用于生成每个时间步的等效气体云体积,为爆炸风险评估提供量化指标。为进一步提升模型性能,开发了分阶段渐进式训练策略对双网络进行联合优化。验证结果表明:相较于传统单一网络架构(如mesh-based graph network,MGN),双网络架构通过解耦浓度场预测与等效气云体积预测任务,有效规避了单目标损失函数中权重因子对训练过程的干扰。多阶段训练策略通过分步参数优化,可解决传统方法对训练数据拟合不足的问题,使浓度场与等效气云体积的平均绝对百分误差
, 最新更新时间 , doi: 10.11883/bzycj-2025-0134
摘要:
为研究高强材料与异形结构联合防护下工程的抗侵彻能力,设计了一种超高强球面结构加固靶体,利用\begin{document}$\varnothing $\end{document} ![]()
![]()
125 mm火炮开展了系列400 m/s冲击速度下的侵彻试验,得到了弹体破坏形态和靶体侵彻深度等试验数据。结合半无限厚混凝土靶体的抗侵彻试验进行对比分析,探讨了材料高强力学性能以及球状偏航结构等因素对弹体偏转破碎、侵彻能力的影响。结果表明:在400 m/s的侵彻速度下,设计的超高强球面结构的无量纲侵彻深度为0.11,弹体偏转角为呈83°,质量损失率达23.66%,结构抗侵彻能力为C40混凝土的9倍,防护能力较普通混凝土有显著提升。超高强球面结构的非对称撞击力促使来袭弹发生偏转破碎,使弹体头部产生严重侵蚀,并在侵彻过程中产生跳弹、二次着靶以及折断等行为,可有效阻挡弹体侵入结构内部,极大削弱来袭弹体在防护结构中的侵爆作用。
为研究高强材料与异形结构联合防护下工程的抗侵彻能力,设计了一种超高强球面结构加固靶体,利用
, 最新更新时间 , doi: 10.11883/bzycj-2025-0106
摘要:
为了揭示高熵合金(high-entropy alloy, HEA)在冲击载荷下的相结构演变、位错分布、能量吸收及冲击累积效应的变化规律,通过分子动力学模拟,系统探讨了Al0.3CoCrFeNi 高熵合金板在受单次及二次冲击载荷下的动态响应行为。结果显示,首次冲击下,Al0.3CoCrFeNi高熵合金板的塑性区域相结构演变和能量吸收方式具有显著的冲击速度依赖性。随着冲击速度的提高,面心立方相结构的比例呈现三阶段下降趋势,而无序化结构则相应增加。在低速(0.5~1.0 km/s)冲击下,能量主要通过位错网络进行吸收;在中速(1.0~2.0 km/s)冲击下,位错与无序化原子共同吸收能量;在高速(2.0~3.0 km/s)冲击下,无序化原子主导吸收能量。位错线长度在刚性球0.5~0.8 km/s的冲击速度范围内,随冲击速度呈线性增加,而在更高的速度冲击下,因HEA板厚度限制,位错线长度呈下降趋势。应力分析表明,冲击速度提高时,最大应力与塑性区域边界应力随着冲击速度的提高表现出非线性变化的二次关系。二次冲击下,几何特征方面,Al0.3CoCrFeNi 高熵合金板在冲击后形成类梯形的破坏区域,其上坑半径随冲击速度的变化呈现二次变化关系,二次冲击的最小影响区域也与冲击速度呈现二次关系;抗冲击性能方面,随着刚性球首次冲击速度的提高,其二次冲击后的剩余速度也随之上升,HEA板材料抵抗冲击性能降低。在距冲击中心10 nm处,HEA板的弹道极限随着首次冲击速度增加而非线性减小,然而,二次冲击速度的提高会使首次冲击的影响减弱。
为了揭示高熵合金(high-entropy alloy, HEA)在冲击载荷下的相结构演变、位错分布、能量吸收及冲击累积效应的变化规律,通过分子动力学模拟,系统探讨了Al0.3CoCrFeNi 高熵合金板在受单次及二次冲击载荷下的动态响应行为。结果显示,首次冲击下,Al0.3CoCrFeNi高熵合金板的塑性区域相结构演变和能量吸收方式具有显著的冲击速度依赖性。随着冲击速度的提高,面心立方相结构的比例呈现三阶段下降趋势,而无序化结构则相应增加。在低速(0.5~1.0 km/s)冲击下,能量主要通过位错网络进行吸收;在中速(1.0~2.0 km/s)冲击下,位错与无序化原子共同吸收能量;在高速(2.0~3.0 km/s)冲击下,无序化原子主导吸收能量。位错线长度在刚性球0.5~0.8 km/s的冲击速度范围内,随冲击速度呈线性增加,而在更高的速度冲击下,因HEA板厚度限制,位错线长度呈下降趋势。应力分析表明,冲击速度提高时,最大应力与塑性区域边界应力随着冲击速度的提高表现出非线性变化的二次关系。二次冲击下,几何特征方面,Al0.3CoCrFeNi 高熵合金板在冲击后形成类梯形的破坏区域,其上坑半径随冲击速度的变化呈现二次变化关系,二次冲击的最小影响区域也与冲击速度呈现二次关系;抗冲击性能方面,随着刚性球首次冲击速度的提高,其二次冲击后的剩余速度也随之上升,HEA板材料抵抗冲击性能降低。在距冲击中心10 nm处,HEA板的弹道极限随着首次冲击速度增加而非线性减小,然而,二次冲击速度的提高会使首次冲击的影响减弱。


在线阅读
PDF
本文被引