当期目录
2026,
46(5):
051411. doi: 10.11883/bzycj-2025-0238
摘要:
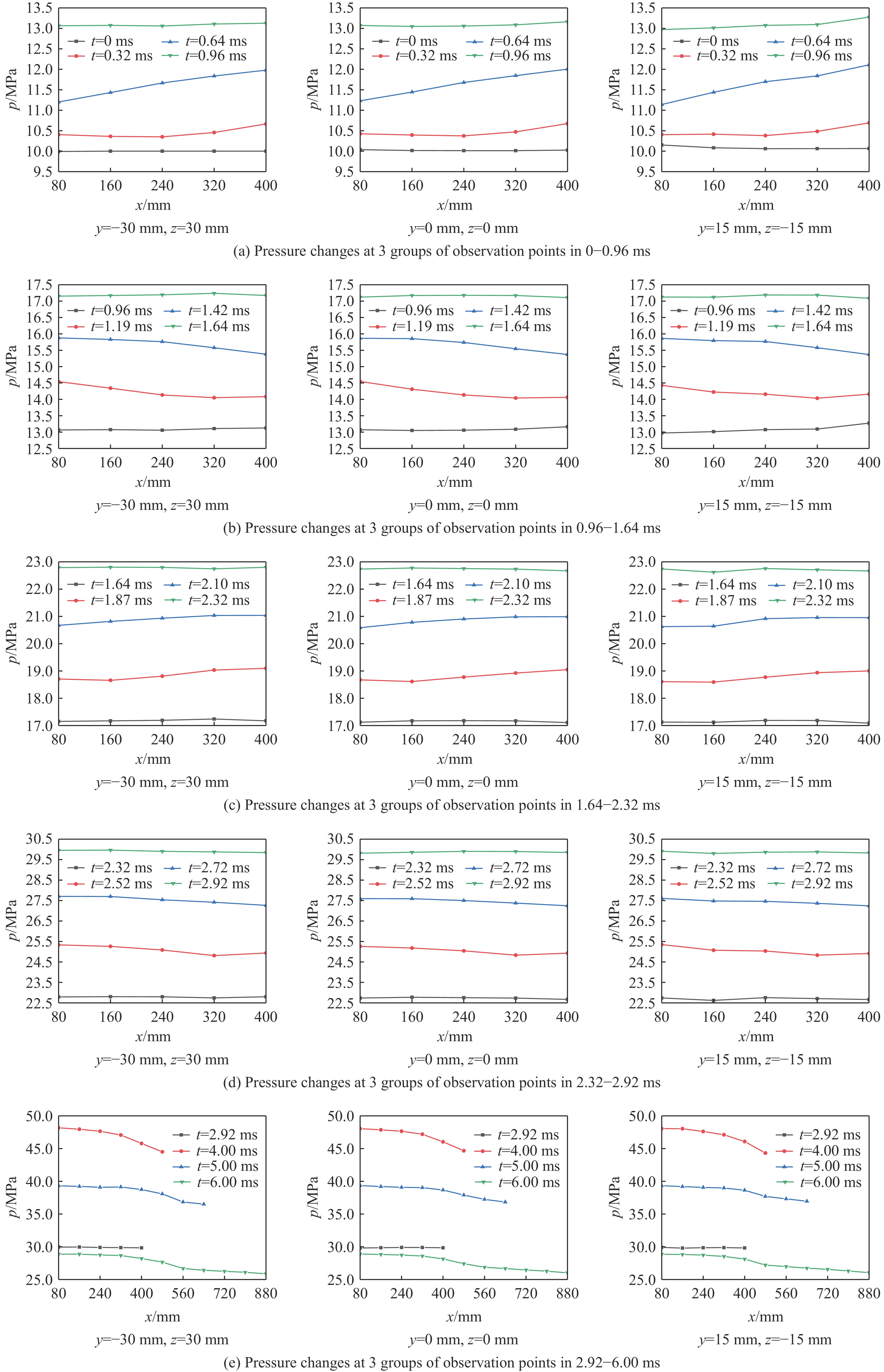
快速准确地评估复杂街区爆炸荷载对实现高效结构抗爆设计及灾后损伤评估具有重要意义,然而传统经验公式、物理模型及数值模拟方法难以兼顾计算效率与预测精度,现有深度学习爆炸荷载预测模型尚难以用于复杂街区场景。为实现复杂街区爆炸荷载快速准确计算,提出了一种物理信息和数据融合驱动的复杂街区爆炸荷载预测方法,其基本思想是采用“空间分区、逐步推理”策略,分别针对起爆街道和非起爆街道构建快速网络预测模型,并通过各街道间的边界压力协同工作。两种网络预测模型通过分别引入镜像爆源方法、信号距离场和能量密度因子融合流场关键物理特征,并分别采用3D-UNet网络、2D-UNet联合3D-UNet组成的级联网络作为架构。基于验证后的数值模拟方法生成了两种网络的目标数据,并开展了对应模型训练。模型预测性能的评估结果表明:该方法能够准确预测复杂街区压力场的时空演化过程,在起爆街道和非起爆街道中的流场预测结果与数值模拟结果的相对误差在20%以内,有效描述了流场中指定位置的压力时程。双网络协同方法的推理耗时约为对应数值模拟方法计算时间的2%,单一时刻流场数据存储代价小于对应D3PLOT文件的0.2%,显著降低了计算与数据存储代价。研究为大型复杂街区爆炸荷载快速评估提供了新方法,可为城市建筑抗爆设计和评估提供高效决策支持。
快速准确地评估复杂街区爆炸荷载对实现高效结构抗爆设计及灾后损伤评估具有重要意义,然而传统经验公式、物理模型及数值模拟方法难以兼顾计算效率与预测精度,现有深度学习爆炸荷载预测模型尚难以用于复杂街区场景。为实现复杂街区爆炸荷载快速准确计算,提出了一种物理信息和数据融合驱动的复杂街区爆炸荷载预测方法,其基本思想是采用“空间分区、逐步推理”策略,分别针对起爆街道和非起爆街道构建快速网络预测模型,并通过各街道间的边界压力协同工作。两种网络预测模型通过分别引入镜像爆源方法、信号距离场和能量密度因子融合流场关键物理特征,并分别采用3D-UNet网络、2D-UNet联合3D-UNet组成的级联网络作为架构。基于验证后的数值模拟方法生成了两种网络的目标数据,并开展了对应模型训练。模型预测性能的评估结果表明:该方法能够准确预测复杂街区压力场的时空演化过程,在起爆街道和非起爆街道中的流场预测结果与数值模拟结果的相对误差在20%以内,有效描述了流场中指定位置的压力时程。双网络协同方法的推理耗时约为对应数值模拟方法计算时间的2%,单一时刻流场数据存储代价小于对应D3PLOT文件的0.2%,显著降低了计算与数据存储代价。研究为大型复杂街区爆炸荷载快速评估提供了新方法,可为城市建筑抗爆设计和评估提供高效决策支持。
2026,
46(5):
051421. doi: 10.11883/bzycj-2025-0103
摘要:
为准确表征金属材料在高应变速率下的应力-应变本构关系,提出了基于图神经网络(graph neural networks,GNN)和KAN(Kolmogorov-Arnold networks)的本构关系的高精度预测模型。为解决传统Johnson-Cook(JC)模型不考虑温度、应变速率与应变之间的耦合效应问题,在GNN模型中构建图结构数据以描述多维参数的非线性关联,在KAN模型中基于Kolmogorov-Arnold定理实现高维输入空间的非线性映射。基于ODS(oxide dispersion strengthened)铜合金的高应变率压缩实验,评估了GNN、KAN和JC的本构关系描述和预测精度。结果表明:GNN与KAN模型在测试集中的平均相对误差分别为8.0%与9.0%,决定系数均高于0.95,显著优于JC模型(平均相对误差为38.0%,决定系数为0.75);将所构建的本构关系模型应用在有限元仿真中,GNN和KAN模型预测的等效塑性应变与应力分布更符合理论特征,而JC模型无法准确描述材料的软化阶段,仿真结果偏差较大。所构建的模型能有效捕捉高应变速率下材料的多场耦合特性,为极端载荷条件下的应力-应变本构关系提供了新的预测方法。
为准确表征金属材料在高应变速率下的应力-应变本构关系,提出了基于图神经网络(graph neural networks,GNN)和KAN(Kolmogorov-Arnold networks)的本构关系的高精度预测模型。为解决传统Johnson-Cook(JC)模型不考虑温度、应变速率与应变之间的耦合效应问题,在GNN模型中构建图结构数据以描述多维参数的非线性关联,在KAN模型中基于Kolmogorov-Arnold定理实现高维输入空间的非线性映射。基于ODS(oxide dispersion strengthened)铜合金的高应变率压缩实验,评估了GNN、KAN和JC的本构关系描述和预测精度。结果表明:GNN与KAN模型在测试集中的平均相对误差分别为8.0%与9.0%,决定系数均高于0.95,显著优于JC模型(平均相对误差为38.0%,决定系数为0.75);将所构建的本构关系模型应用在有限元仿真中,GNN和KAN模型预测的等效塑性应变与应力分布更符合理论特征,而JC模型无法准确描述材料的软化阶段,仿真结果偏差较大。所构建的模型能有效捕捉高应变速率下材料的多场耦合特性,为极端载荷条件下的应力-应变本构关系提供了新的预测方法。
2026,
46(5):
051422. doi: 10.11883/bzycj-2025-0259
摘要:
亚稳态高熵合金因其在高应变率下优异的力学性能而受到广泛关注,然而,由于对其微观结构与冲击响应关系的认识不足,限制了其在高应变率下的工程应用。为此,采用一种结合晶体塑性有限元方法和卷积神经网络的深度学习框架,阐明了微观结构与冲击响应之间的关系。基于晶体塑性模拟收集数据集,该数据集包含高应变率下亚稳态高熵合金在拉伸、压缩及剪切载荷条件下不同织构的完整应力-应变响应和相变体积分数的演变。构建了一个双分支卷积神经网络模型,输入为织构和载荷条件。该模型的两个分支用于预测不同的输出,即应力-应变曲线与马氏体体积分数的演变。基于收集的数据集对卷积神经网络模型进行训练。结果表明,该模型能够准确预测高应变率条件下亚稳态高熵合金的冲击响应。该研究进一步证明了深度学习框架在保证预测精度的同时,相比晶体塑性有限元模拟具有显著的计算效率优势,为高效评估高应变率下亚稳态高熵合金的力学行为提供了一种新思路。
亚稳态高熵合金因其在高应变率下优异的力学性能而受到广泛关注,然而,由于对其微观结构与冲击响应关系的认识不足,限制了其在高应变率下的工程应用。为此,采用一种结合晶体塑性有限元方法和卷积神经网络的深度学习框架,阐明了微观结构与冲击响应之间的关系。基于晶体塑性模拟收集数据集,该数据集包含高应变率下亚稳态高熵合金在拉伸、压缩及剪切载荷条件下不同织构的完整应力-应变响应和相变体积分数的演变。构建了一个双分支卷积神经网络模型,输入为织构和载荷条件。该模型的两个分支用于预测不同的输出,即应力-应变曲线与马氏体体积分数的演变。基于收集的数据集对卷积神经网络模型进行训练。结果表明,该模型能够准确预测高应变率条件下亚稳态高熵合金的冲击响应。该研究进一步证明了深度学习框架在保证预测精度的同时,相比晶体塑性有限元模拟具有显著的计算效率优势,为高效评估高应变率下亚稳态高熵合金的力学行为提供了一种新思路。
2026,
46(5):
051423. doi: 10.11883/bzycj-2025-0324
摘要:
针对单晶金属中微孔洞生长过程的预测问题,建立了一种基于U-Net和Transformer的深度神经网络模型:基于包含初始椭球双孔洞的单晶铜原子模型的分子动力学模拟结果构建数据集;提出了一种基于背景网格的数据预处理方法,在数据集中对模拟结果进行局部统计。算例结果表明,上述深度学习方法能够对单晶金属中微孔洞生长过程中的整体物理量和局部细节信息进行准确预测。
针对单晶金属中微孔洞生长过程的预测问题,建立了一种基于U-Net和Transformer的深度神经网络模型:基于包含初始椭球双孔洞的单晶铜原子模型的分子动力学模拟结果构建数据集;提出了一种基于背景网格的数据预处理方法,在数据集中对模拟结果进行局部统计。算例结果表明,上述深度学习方法能够对单晶金属中微孔洞生长过程中的整体物理量和局部细节信息进行准确预测。
2026,
46(5):
051424. doi: 10.11883/bzycj-2025-0254
摘要:
针对Riedel-Hiermaier-Thoma (RHT)本构模型中16个难以标定的参数,基于Pianosi-Wagener (PAWN)全局敏感性分析方法与智能优化算法,联合MATLAB与ANSYS/LS-DYNA仿真计算平台,引入应力-应变曲线面积差作为核心评价指标,开发了计算结果的批量提取与自动化三波对齐技术,构建了一套高效、可靠的RHT本构参数反演体系,首次实现了RHT模型关键参数的全局敏感性分析与自动化反演。结果表明,在16个难以标定的参数中,仅有8个参数对模型响应具有显著的影响。基于智能优化算法的参数反演相对误差控制在0.23%~9.28%之间,并通过半圆盘三点弯试验和缩尺爆破试验验证了其可靠性。该方法显著提升了RHT本构参数的标定效率和准确性,其不依赖于构建庞大的样本数据集,适用于多种荷载工况下的参数标定。相较于传统方法,该方法仅需不到15次迭代即可满足反演精度,能满足计算效率和精度的双重需求,具有良好的工程适用性。
针对Riedel-Hiermaier-Thoma (RHT)本构模型中16个难以标定的参数,基于Pianosi-Wagener (PAWN)全局敏感性分析方法与智能优化算法,联合MATLAB与ANSYS/LS-DYNA仿真计算平台,引入应力-应变曲线面积差作为核心评价指标,开发了计算结果的批量提取与自动化三波对齐技术,构建了一套高效、可靠的RHT本构参数反演体系,首次实现了RHT模型关键参数的全局敏感性分析与自动化反演。结果表明,在16个难以标定的参数中,仅有8个参数对模型响应具有显著的影响。基于智能优化算法的参数反演相对误差控制在0.23%~9.28%之间,并通过半圆盘三点弯试验和缩尺爆破试验验证了其可靠性。该方法显著提升了RHT本构参数的标定效率和准确性,其不依赖于构建庞大的样本数据集,适用于多种荷载工况下的参数标定。相较于传统方法,该方法仅需不到15次迭代即可满足反演精度,能满足计算效率和精度的双重需求,具有良好的工程适用性。
2026,
46(5):
051431. doi: 10.11883/bzycj-2025-0154
摘要:
燃气泄漏爆炸事故严重威胁公共安全,而准确预测可燃气体泄漏爆炸效应的先决条件是确定气体泄漏后的浓度分布。为构建可燃气体泄漏扩散的实时全场时空预测模型,实现等效气云体积的高效预测,提出一种基于双神经网络架构与多阶段训练策略的图神经网络模型(multi-stage dual graph neural network, MSDGNN)。该模型包含2个协同工作的子网络:(1)浓度网络(Ncon),用于建立连续时间步浓度场之间的映射关系;(2)体积网络(Nvol),用于生成每个时间步的等效气云体积,为爆炸风险评估提供量化指标。为进一步提升模型性能,开发了分阶段渐进式训练策略对双网络进行联合优化。验证结果表明:相较于传统单一网络架构(如mesh-based graph network,MGN),双网络架构通过解耦浓度场预测与等效气云体积预测任务,有效规避了单目标损失函数中权重因子对训练过程的干扰。多阶段训练策略通过分步参数优化,可解决传统方法对训练数据拟合不足的问题,使浓度场与等效气云体积的平均绝对百分误差\begin{document}$ {{ \varepsilon }}_{\rm{MAPE}} $\end{document} 分别从49.47%和108.93%大幅降低至7.55%和9.07%;同时,模型泛化误差从41.18%(浓度场)和38.81%(等效气云体积)分别降至8.01%和14.92%。此外,在泄漏速率、泄漏高度及持续时间等关键参数超出训练数据范围时,MSDGNN仍表现出良好的预测鲁棒性。与数值模拟方法相比,本模型在保持预测精度的同时,计算效率提升了3个数量级,可为可燃气体安全监测提供有效的实时分析工具。
燃气泄漏爆炸事故严重威胁公共安全,而准确预测可燃气体泄漏爆炸效应的先决条件是确定气体泄漏后的浓度分布。为构建可燃气体泄漏扩散的实时全场时空预测模型,实现等效气云体积的高效预测,提出一种基于双神经网络架构与多阶段训练策略的图神经网络模型(multi-stage dual graph neural network, MSDGNN)。该模型包含2个协同工作的子网络:(1)浓度网络(Ncon),用于建立连续时间步浓度场之间的映射关系;(2)体积网络(Nvol),用于生成每个时间步的等效气云体积,为爆炸风险评估提供量化指标。为进一步提升模型性能,开发了分阶段渐进式训练策略对双网络进行联合优化。验证结果表明:相较于传统单一网络架构(如mesh-based graph network,MGN),双网络架构通过解耦浓度场预测与等效气云体积预测任务,有效规避了单目标损失函数中权重因子对训练过程的干扰。多阶段训练策略通过分步参数优化,可解决传统方法对训练数据拟合不足的问题,使浓度场与等效气云体积的平均绝对百分误差
2026,
46(5):
051432. doi: 10.11883/bzycj-2025-0320
摘要:
针对传统弹道预测方法计算成本高、难以满足快速评估需求的问题,提出了基于卷积神经网络(convolutional neural network,CNN)的多层混凝土薄靶侵彻弹道高效预测模型。首先,基于经过试验验证的数值模拟方法,分析并明确了弹体角速度对弹道偏转的重要影响,进而将其作为重要的弹靶交会条件,通过系统调整初始参数,构建了包含127组工况的单层混凝土薄靶侵彻数据集。在此基础上,建立了以弹体参数、靶体参数、弹靶交会条件为输入,弹体靶后运动参数为输出的高精度单层靶侵彻弹道预测模型,并进一步结合弹体靶间飞行的刚体运动学方程,构建了完整的侵彻-飞行迭代预测框架,实现了多层间隔混凝土薄靶弹道特性的快速预测。研究结果表明:逆时针角速度增大会导致靶后径向剩余速度正向增大,弹道轨迹向上偏转,顺时针角速度则产生相反效应,弹体角速度是薄靶侵彻过程中不可忽略的重要参数;针对单层靶工况,预测模型训练集和测试集的平均均方误差稳定在0.0012 与0.0019 左右,表现出良好的预测性能;在多层靶预测中,模型在保证精度(剩余速度最大相对误差10.65%,姿态角最大绝对误差3.47°)的前提下,求解时间仅为传统数值模拟方法的0.05%。本研究不仅揭示了弹体角速度这一关键因素对侵彻弹道的影响规律,更提供了一种“数据驱动+物理方程融合”的建模新范式,可为武器毁伤效能评估与设计优化提供参考。
针对传统弹道预测方法计算成本高、难以满足快速评估需求的问题,提出了基于卷积神经网络(convolutional neural network,CNN)的多层混凝土薄靶侵彻弹道高效预测模型。首先,基于经过试验验证的数值模拟方法,分析并明确了弹体角速度对弹道偏转的重要影响,进而将其作为重要的弹靶交会条件,通过系统调整初始参数,构建了包含127组工况的单层混凝土薄靶侵彻数据集。在此基础上,建立了以弹体参数、靶体参数、弹靶交会条件为输入,弹体靶后运动参数为输出的高精度单层靶侵彻弹道预测模型,并进一步结合弹体靶间飞行的刚体运动学方程,构建了完整的侵彻-飞行迭代预测框架,实现了多层间隔混凝土薄靶弹道特性的快速预测。研究结果表明:逆时针角速度增大会导致靶后径向剩余速度正向增大,弹道轨迹向上偏转,顺时针角速度则产生相反效应,弹体角速度是薄靶侵彻过程中不可忽略的重要参数;针对单层靶工况,预测模型训练集和测试集的平均均方误差稳定在
2026,
46(5):
051433. doi: 10.11883/bzycj-2025-0326
摘要:
为研究钽合金爆炸成型弹丸(explosively-formed projectile,EFP)侵彻靶板产生靶后破片的空间散布,首先开展了钽合金EFP侵彻45钢的X光及破片散布试验;其次,采用经试验验证的FE-SPH(finite element-smoothed particle hydrodynamics)固定耦合方法开展了多种弹、靶条件下EFP垂直侵彻靶板的数值模拟,获得了靶后破片空间散布的数据集;最后,采用基于贝叶斯优化的支持向量回归对靶后破片密集飞散角数据进行训练,得到了基于贝叶斯优化的支持向量回归模型。研究结果表明:从试验结果来看,靶后破片云形貌为典型的截椭球状,由于钽、钢密度差异导致不同材料破片径向膨胀能力不同,钢破片分布在椭球的外表面而钽破片分布在椭球的内表面,靶后破片主要集中在验证靶上中心穿孔处周围的圆形区域;采用FE-SPH固定耦合方法模拟再现了靶后破片的形成过程,得到的靶后破片云形貌与试验结果十分接近,靶后破片平均最大飞散角与试验结果的相对误差不超过10%,验证了数值模拟结果的准确性;建立的基于贝叶斯优化的支持向量回归模型能够实现对不同靶板厚度、着靶速度条件下靶后破片的密集飞散角的准确预测,数值模拟结果与模型预测结果的最大相对误差均小于10%,在此基础上可以实现对靶后一定距离内验证靶毁伤面积的快速预测。
为研究钽合金爆炸成型弹丸(explosively-formed projectile,EFP)侵彻靶板产生靶后破片的空间散布,首先开展了钽合金EFP侵彻45钢的X光及破片散布试验;其次,采用经试验验证的FE-SPH(finite element-smoothed particle hydrodynamics)固定耦合方法开展了多种弹、靶条件下EFP垂直侵彻靶板的数值模拟,获得了靶后破片空间散布的数据集;最后,采用基于贝叶斯优化的支持向量回归对靶后破片密集飞散角数据进行训练,得到了基于贝叶斯优化的支持向量回归模型。研究结果表明:从试验结果来看,靶后破片云形貌为典型的截椭球状,由于钽、钢密度差异导致不同材料破片径向膨胀能力不同,钢破片分布在椭球的外表面而钽破片分布在椭球的内表面,靶后破片主要集中在验证靶上中心穿孔处周围的圆形区域;采用FE-SPH固定耦合方法模拟再现了靶后破片的形成过程,得到的靶后破片云形貌与试验结果十分接近,靶后破片平均最大飞散角与试验结果的相对误差不超过10%,验证了数值模拟结果的准确性;建立的基于贝叶斯优化的支持向量回归模型能够实现对不同靶板厚度、着靶速度条件下靶后破片的密集飞散角的准确预测,数值模拟结果与模型预测结果的最大相对误差均小于10%,在此基础上可以实现对靶后一定距离内验证靶毁伤面积的快速预测。
2026,
46(5):
051434. doi: 10.11883/bzycj-2025-0152
摘要:
冲击波压力传感器采集系统兼具高低频动态特性,而传统的基于传递函数的建模方法难以实现整体精准建模,这一问题限制了系统补偿精度的提升。本文提出一种基于麻雀优化算法、变分模态分解和长短期记忆网络的动态特性融合建模方法,旨在解决整体建模难题并提高系统动态特性建模精度。该方法通过优化算法搜索变分模态分解的模态数和惩罚因子,自适应分解响应信号为多个模态分量并识别成分,实现高频与低频分量的有效分离;对低频分量进行动态特性补偿后,将其作为压力信号和原响应信号构建模型输入输出数据集,通过网络完成传感器系统动态特性建模。仿真与实爆试验结果表明,相较于传统的反滤波补偿方法,本方法补偿后信号与典型压力曲线的平均绝对百分比误差降低75%,振荡残余减小38%,满足作为输入压力信号的精度要求;与单一神经网络建模相比,该融合建模方法的误差降至13%,为解决传感器宽频带动态建模难题提供了一条有效途径。
冲击波压力传感器采集系统兼具高低频动态特性,而传统的基于传递函数的建模方法难以实现整体精准建模,这一问题限制了系统补偿精度的提升。本文提出一种基于麻雀优化算法、变分模态分解和长短期记忆网络的动态特性融合建模方法,旨在解决整体建模难题并提高系统动态特性建模精度。该方法通过优化算法搜索变分模态分解的模态数和惩罚因子,自适应分解响应信号为多个模态分量并识别成分,实现高频与低频分量的有效分离;对低频分量进行动态特性补偿后,将其作为压力信号和原响应信号构建模型输入输出数据集,通过网络完成传感器系统动态特性建模。仿真与实爆试验结果表明,相较于传统的反滤波补偿方法,本方法补偿后信号与典型压力曲线的平均绝对百分比误差降低75%,振荡残余减小38%,满足作为输入压力信号的精度要求;与单一神经网络建模相比,该融合建模方法的误差降至13%,为解决传感器宽频带动态建模难题提供了一条有效途径。
2026,
46(5):
051435. doi: 10.11883/bzycj-2025-0179
摘要:
爆炸冲击下钢筋混凝土构件结构响应的高效准确预测对抢修决策、结构加固与防护设计具有关键意义。现有结构响应快速计算方法,例如解析模型、轻量级数据驱动方法,虽具备较高计算效率,但在三维结构响应场计算方面精度受限。提出了一种基于图神经网络(graph neural networks,GNN)的钢筋混凝土柱毁伤快速预测模型,通过GNN中的领域节点聚合机制高效传递结构内部的力学关联信息,从而在爆炸荷载输入与三维构件结构响应之间建立端到端映射,实现对柱体毁伤状态的快速预测。进一步引入多工况特征耦合训练策略,使模型具备适应不同配筋率、爆炸当量和起爆位置等工况的预测能力,显著提升了模型的跨工况泛用性能。结果表明,该模型单次预测耗时仅55 ms,较传统方法速度提升4个数量级,预测误差低于3.33%,在多种爆炸工况下均实现高精度毁伤预测。该研究展示了GNN方法在爆炸毁伤预测中的应用潜力,为爆炸冲击结构毁伤的快速评估与防护优化提供创新技术路径。
爆炸冲击下钢筋混凝土构件结构响应的高效准确预测对抢修决策、结构加固与防护设计具有关键意义。现有结构响应快速计算方法,例如解析模型、轻量级数据驱动方法,虽具备较高计算效率,但在三维结构响应场计算方面精度受限。提出了一种基于图神经网络(graph neural networks,GNN)的钢筋混凝土柱毁伤快速预测模型,通过GNN中的领域节点聚合机制高效传递结构内部的力学关联信息,从而在爆炸荷载输入与三维构件结构响应之间建立端到端映射,实现对柱体毁伤状态的快速预测。进一步引入多工况特征耦合训练策略,使模型具备适应不同配筋率、爆炸当量和起爆位置等工况的预测能力,显著提升了模型的跨工况泛用性能。结果表明,该模型单次预测耗时仅55 ms,较传统方法速度提升4个数量级,预测误差低于3.33%,在多种爆炸工况下均实现高精度毁伤预测。该研究展示了GNN方法在爆炸毁伤预测中的应用潜力,为爆炸冲击结构毁伤的快速评估与防护优化提供创新技术路径。
2026,
46(5):
051436. doi: 10.11883/bzycj-2025-0343
摘要:
为应对传统有限元模拟柱壳结构断裂行为时计算成本高昂的挑战,提出了一种结合相场法与傅里叶神经算子(Fourier neural operator, FNO)的柱壳裂纹演化预测框架。相场法能够自然捕捉裂纹的萌生、扩展与愈合过程,而FNO模型则通过学习临界能量释放率分布、几何和载荷条件与裂纹演化之间的映射关系,实现对裂纹全过程的高效预测。首先,建立了基于有限元的柱壳相场模型,生成裂纹演化数据;随后,构建并训练了用于裂纹萌生与扩展的串联FNO框架。结果表明,该方法不仅在随机临界能量释放率、几何变动和复杂载荷条件下保持了较高的预测精度,而且在计算效率上显著优于传统有限元模拟。
为应对传统有限元模拟柱壳结构断裂行为时计算成本高昂的挑战,提出了一种结合相场法与傅里叶神经算子(Fourier neural operator, FNO)的柱壳裂纹演化预测框架。相场法能够自然捕捉裂纹的萌生、扩展与愈合过程,而FNO模型则通过学习临界能量释放率分布、几何和载荷条件与裂纹演化之间的映射关系,实现对裂纹全过程的高效预测。首先,建立了基于有限元的柱壳相场模型,生成裂纹演化数据;随后,构建并训练了用于裂纹萌生与扩展的串联FNO框架。结果表明,该方法不仅在随机临界能量释放率、几何变动和复杂载荷条件下保持了较高的预测精度,而且在计算效率上显著优于传统有限元模拟。
2026,
46(5):
051441. doi: 10.11883/bzycj-2025-0282
摘要:
受三浦折纸和星形蜂窝的混杂拓扑设计启发,提出了一种新型折纸超材料夹芯复合结构,并融合机器学习实现了其低速冲击响应的预测和多目标优化。通过落锤冲击实验和有限元仿真,系统探究了该结构在低速冲击下的动态力学响应和变形失效模式。结果表明,折纸启发的拓扑结构有效地将传统蜂窝结构的瞬时完全断裂转化为了渐进压溃失效,从而显著提升了其抗冲击性能。随后提出了残差连接增强的深度学习模型,实现了对该结构完整低速冲击响应的快速精确端到端预测,计算效率较有限元仿真大幅提升。并基于该深度学习模型,对关键角度进行了参数分析,揭示了其对冲击响应和等效密度的调控机理,特别是角度变化诱导的壁板拉压变形与折痕弯曲变形间的载荷重新分布现象,使结构能在承载型与缓冲型功能间切换,提供了冲击响应与失效模式主动可调控的机理依据。最后,进一步结合强化学习和帕累托前沿分析,以训练完备的深度学习模型作为代理模型,针对承载防护和缓冲防护需求实现了结构的轻量化多目标优化。在等效密度相近时,折纸超材料能够实现峰值力的大范围调控,有益于针对不同防护场景按需定制化开发的防护结构。
受三浦折纸和星形蜂窝的混杂拓扑设计启发,提出了一种新型折纸超材料夹芯复合结构,并融合机器学习实现了其低速冲击响应的预测和多目标优化。通过落锤冲击实验和有限元仿真,系统探究了该结构在低速冲击下的动态力学响应和变形失效模式。结果表明,折纸启发的拓扑结构有效地将传统蜂窝结构的瞬时完全断裂转化为了渐进压溃失效,从而显著提升了其抗冲击性能。随后提出了残差连接增强的深度学习模型,实现了对该结构完整低速冲击响应的快速精确端到端预测,计算效率较有限元仿真大幅提升。并基于该深度学习模型,对关键角度进行了参数分析,揭示了其对冲击响应和等效密度的调控机理,特别是角度变化诱导的壁板拉压变形与折痕弯曲变形间的载荷重新分布现象,使结构能在承载型与缓冲型功能间切换,提供了冲击响应与失效模式主动可调控的机理依据。最后,进一步结合强化学习和帕累托前沿分析,以训练完备的深度学习模型作为代理模型,针对承载防护和缓冲防护需求实现了结构的轻量化多目标优化。在等效密度相近时,折纸超材料能够实现峰值力的大范围调控,有益于针对不同防护场景按需定制化开发的防护结构。
2026,
46(5):
051442. doi: 10.11883/bzycj-2025-0288
摘要:
桁架类点阵超材料是一类超轻质承载吸能材料,在冲击防护领域具有广阔的应用前景。然而,由于点阵超材料细观构型参数空间庞大,且构型参数与力学响应之间存在复杂的非线性关系,其性能优化面临巨大挑战。针对上述问题,基于桁架类点阵超材料的细观结构特征,提出了一种高效的快速数字化建模方法,并利用 Python 脚本驱动 Abaqus 仿真软件,实现了材料的批量化建模与仿真分析。在此基础上,通过有限元数值模拟建立了不同构型点阵超材料的准静态压缩性能数据集,并利用实验验证了数据集的可靠性。随后,训练了一个人工神经网络模型作为代理函数,并将其嵌入非支配排序遗传算法,对点阵超材料开展多目标优化设计,获得了具有高承载能力、高吸能特性以及兼顾承载吸能性能的点阵超材料构型。研究结果表明,融合机器学习技术与有限元仿真,可有效降低优化设计的计算成本,为复杂点阵超材料的快速性能优化与定制化设计提供技术支撑。
桁架类点阵超材料是一类超轻质承载吸能材料,在冲击防护领域具有广阔的应用前景。然而,由于点阵超材料细观构型参数空间庞大,且构型参数与力学响应之间存在复杂的非线性关系,其性能优化面临巨大挑战。针对上述问题,基于桁架类点阵超材料的细观结构特征,提出了一种高效的快速数字化建模方法,并利用 Python 脚本驱动 Abaqus 仿真软件,实现了材料的批量化建模与仿真分析。在此基础上,通过有限元数值模拟建立了不同构型点阵超材料的准静态压缩性能数据集,并利用实验验证了数据集的可靠性。随后,训练了一个人工神经网络模型作为代理函数,并将其嵌入非支配排序遗传算法,对点阵超材料开展多目标优化设计,获得了具有高承载能力、高吸能特性以及兼顾承载吸能性能的点阵超材料构型。研究结果表明,融合机器学习技术与有限元仿真,可有效降低优化设计的计算成本,为复杂点阵超材料的快速性能优化与定制化设计提供技术支撑。
2026,
46(5):
051443. doi: 10.11883/bzycj-2025-0250
摘要:
装配式建筑结构因其节能环保、质量可控及施工高效快捷等优点,在土木工程中得到了广泛应用。作为装配式建筑结构的核心受力构件,预制钢筋混凝土(precast reinforced concrete,PC)板易受燃气爆炸、工业爆炸和恐怖袭击等威胁。为了准确评估PC板在爆炸作用下的损伤状态,提升结构抗爆能力,并降低人员伤亡风险,通过构建PC板爆炸响应数据集,选取6项几何结构参数和2项爆炸荷载参数作为输入特征,采用3种不同的机器学习算法(GPR、RF和XGBoost)对PC板的最大位移进行预测,采用均方根误差、决定系数、平均绝对误差、散射系数及综合性能目标函数值5项回归评价指标,对3种模型的预测精度进行对比分析;提出了基于支座转角损伤准则的损伤分类评估模型,利用混淆矩阵和5项分类指标(准确率、精确率、召回率、F1分数和Kappa系数)分析3种准则下模型的性能差异,并与简化后的模型及经验预测方法进行对比。结果表明:在最大位移预测方面,3种机器学习模型中表现最佳的为XGBoost模型,其拟合性优于GPR和RF模型,且综合性能最优;在损伤分类预测方面,基于准则Ⅱ的XGBoost损伤分类模型性能最优,损伤识别准确率达92.5%,显示出其高效的损伤类型识别能力。基于XGBoost算法的爆炸作用下PC板损伤分类评估模型具有强大的性能,对结构抗爆和爆后快速损伤评定具有参考价值。
装配式建筑结构因其节能环保、质量可控及施工高效快捷等优点,在土木工程中得到了广泛应用。作为装配式建筑结构的核心受力构件,预制钢筋混凝土(precast reinforced concrete,PC)板易受燃气爆炸、工业爆炸和恐怖袭击等威胁。为了准确评估PC板在爆炸作用下的损伤状态,提升结构抗爆能力,并降低人员伤亡风险,通过构建PC板爆炸响应数据集,选取6项几何结构参数和2项爆炸荷载参数作为输入特征,采用3种不同的机器学习算法(GPR、RF和XGBoost)对PC板的最大位移进行预测,采用均方根误差、决定系数、平均绝对误差、散射系数及综合性能目标函数值5项回归评价指标,对3种模型的预测精度进行对比分析;提出了基于支座转角损伤准则的损伤分类评估模型,利用混淆矩阵和5项分类指标(准确率、精确率、召回率、F1分数和Kappa系数)分析3种准则下模型的性能差异,并与简化后的模型及经验预测方法进行对比。结果表明:在最大位移预测方面,3种机器学习模型中表现最佳的为XGBoost模型,其拟合性优于GPR和RF模型,且综合性能最优;在损伤分类预测方面,基于准则Ⅱ的XGBoost损伤分类模型性能最优,损伤识别准确率达92.5%,显示出其高效的损伤类型识别能力。基于XGBoost算法的爆炸作用下PC板损伤分类评估模型具有强大的性能,对结构抗爆和爆后快速损伤评定具有参考价值。
2026,
46(5):
051444. doi: 10.11883/bzycj-2025-0329
摘要:
利用具有多源、异构、重叠等特征的爆炸事故调查报告建立意外爆炸毁伤知识图谱,对进行数据驱动的爆炸评估以及溯源具有重要作用。针对意外爆炸事故调查数据中存在重叠和嵌套事件的特点,采用以事件联合抽取为核心的知识图谱构建方法以及爆炸调查报告构建了意外爆炸毁伤知识图谱;通过余弦相似度在知识图谱中检索类似爆炸事件并采用贝叶斯分类方法进行分类,较准确地实现了对贝鲁特港口爆炸事故爆炸源物资种类的确定。知识图谱构建结果表明,在意外爆炸毁伤语料库上的事件分类以及事件元素分类分析表明,相较于现有抽取模型,提出的基于动态掩码的事件联合抽取方法的F1值分别提高至少2%和5.4%。溯源分析表明,基于知识图谱的溯源与传统的人工溯源相比,其速度和准确性都有较大的提高。
利用具有多源、异构、重叠等特征的爆炸事故调查报告建立意外爆炸毁伤知识图谱,对进行数据驱动的爆炸评估以及溯源具有重要作用。针对意外爆炸事故调查数据中存在重叠和嵌套事件的特点,采用以事件联合抽取为核心的知识图谱构建方法以及爆炸调查报告构建了意外爆炸毁伤知识图谱;通过余弦相似度在知识图谱中检索类似爆炸事件并采用贝叶斯分类方法进行分类,较准确地实现了对贝鲁特港口爆炸事故爆炸源物资种类的确定。知识图谱构建结果表明,在意外爆炸毁伤语料库上的事件分类以及事件元素分类分析表明,相较于现有抽取模型,提出的基于动态掩码的事件联合抽取方法的F1值分别提高至少2%和5.4%。溯源分析表明,基于知识图谱的溯源与传统的人工溯源相比,其速度和准确性都有较大的提高。
2026,
46(5):
051445. doi: 10.11883/bzycj-2025-0382
摘要:
针对居民燃气爆炸事故灾害演化呈高度非线性、其后果难以精准预测问题,开展了数据驱动下的燃气爆炸后果预测研究。提出了一种基于人工神经网络的爆炸事故后果预测方法,借助大规模数值仿真,生成了涵盖多种居民户型的燃气爆炸后果数据集,通过敏感性分析和准确性验证,最终建立了燃气爆炸后果智能预测模型,其对室内最大爆炸超压和温度的预测误差分别低于15%和5%,空间位置坐标最大误差在25%以内。由此实现了对不同居民户型任意点火位置下的室内最严重爆炸后果及其空间位置的批量预测。结果表明:随着户型面积增大和空间布局逐渐复杂化,最大超压和温度依次提高。客厅区域始终表现为最低超压水平,而未设窗口的卧室墙体附近则易形成超压与温度的极值区域。厨房和卧室点火可分别导致室内产生最严重的超压和温度后果,反映出点火位置对爆炸后果的差异化影响规律。
针对居民燃气爆炸事故灾害演化呈高度非线性、其后果难以精准预测问题,开展了数据驱动下的燃气爆炸后果预测研究。提出了一种基于人工神经网络的爆炸事故后果预测方法,借助大规模数值仿真,生成了涵盖多种居民户型的燃气爆炸后果数据集,通过敏感性分析和准确性验证,最终建立了燃气爆炸后果智能预测模型,其对室内最大爆炸超压和温度的预测误差分别低于15%和5%,空间位置坐标最大误差在25%以内。由此实现了对不同居民户型任意点火位置下的室内最严重爆炸后果及其空间位置的批量预测。结果表明:随着户型面积增大和空间布局逐渐复杂化,最大超压和温度依次提高。客厅区域始终表现为最低超压水平,而未设窗口的卧室墙体附近则易形成超压与温度的极值区域。厨房和卧室点火可分别导致室内产生最严重的超压和温度后果,反映出点火位置对爆炸后果的差异化影响规律。


PDF
本文被引
在线阅读