• ISSN 1001-1455  CN 51-1148/O3
  • EI、Scopus、CA、JST、EBSCO、DOAJ收录
  • 力学类中文核心期刊
  • 中国科技核心期刊、CSCD统计源期刊

基于Hopkinson压杆的M型试样动态拉伸实验方法研究

舒旗 董新龙 俞鑫炉

舒旗, 董新龙, 俞鑫炉. 基于Hopkinson压杆的M型试样动态拉伸实验方法研究[J]. 爆炸与冲击, 2020, 40(8): 084101. doi: 10.11883/bzycj-2019-0433
引用本文: 舒旗, 董新龙, 俞鑫炉. 基于Hopkinson压杆的M型试样动态拉伸实验方法研究[J]. 爆炸与冲击, 2020, 40(8): 084101. doi: 10.11883/bzycj-2019-0433
SHU Qi, DONG Xinlong, YU Xinlu. A dynamic tensile method for M-shaped specimen loaded by Hopkinson pressure bar[J]. Explosion And Shock Waves, 2020, 40(8): 084101. doi: 10.11883/bzycj-2019-0433
Citation: SHU Qi, DONG Xinlong, YU Xinlu. A dynamic tensile method for M-shaped specimen loaded by Hopkinson pressure bar[J]. Explosion And Shock Waves, 2020, 40(8): 084101. doi: 10.11883/bzycj-2019-0433

基于Hopkinson压杆的M型试样动态拉伸实验方法研究

doi: 10.11883/bzycj-2019-0433
基金项目: 国家自然科学基金(11672143)
详细信息
    作者简介:

    舒 旗(1993- ),男,硕士研究生,949344533@qq.com

    通讯作者:

    董新龙(1964- ),男,博士,教授,博士生导师,dongxinlong@nbu.edu.cn

  • 中图分类号: O347.4

A dynamic tensile method for M-shaped specimen loaded by Hopkinson pressure bar

  • 摘要: 采用传统分离式Hopkinson压杆进行M型试样的动态拉伸实验,可避免试样与杆的连接问题,但该方法并未得到发展和验证。本文中,采用有限元数值分析和实验方法,对M型试样动态拉伸实验进行分析和改进。结果表明:(1)改进的封闭M型试样,可以增强试样整体刚度,有效减少试样畸变引起的附加弯矩对拉伸标段的影响,方便通过Hopkinson压杆加载实现一维拉伸变形;(2)采用试样刚度系数修正法,可消除M型试样整体结构的弹性变形对测试的影响,精确获得试样拉伸标段的塑性应变;(3)高加载率下,建议采用波形整器加载,可显著减少试样结构引起的载荷震荡现象、改善两端的应力平衡,获得准确的动态拉伸应力应变曲线,实现5 900 s−1甚至更高应变率下的动态拉伸实验。研究方法可为M型试样拉伸实验设计和应用提供参考。
  • 图  1  M型试样的拉伸加载原理

    Figure  1.  Schematic of quasi-static and dynamic tensile test for M-specimen

    图  2  M型试样变形和改进

    Figure  2.  M-shaped specimen deformation and improvement

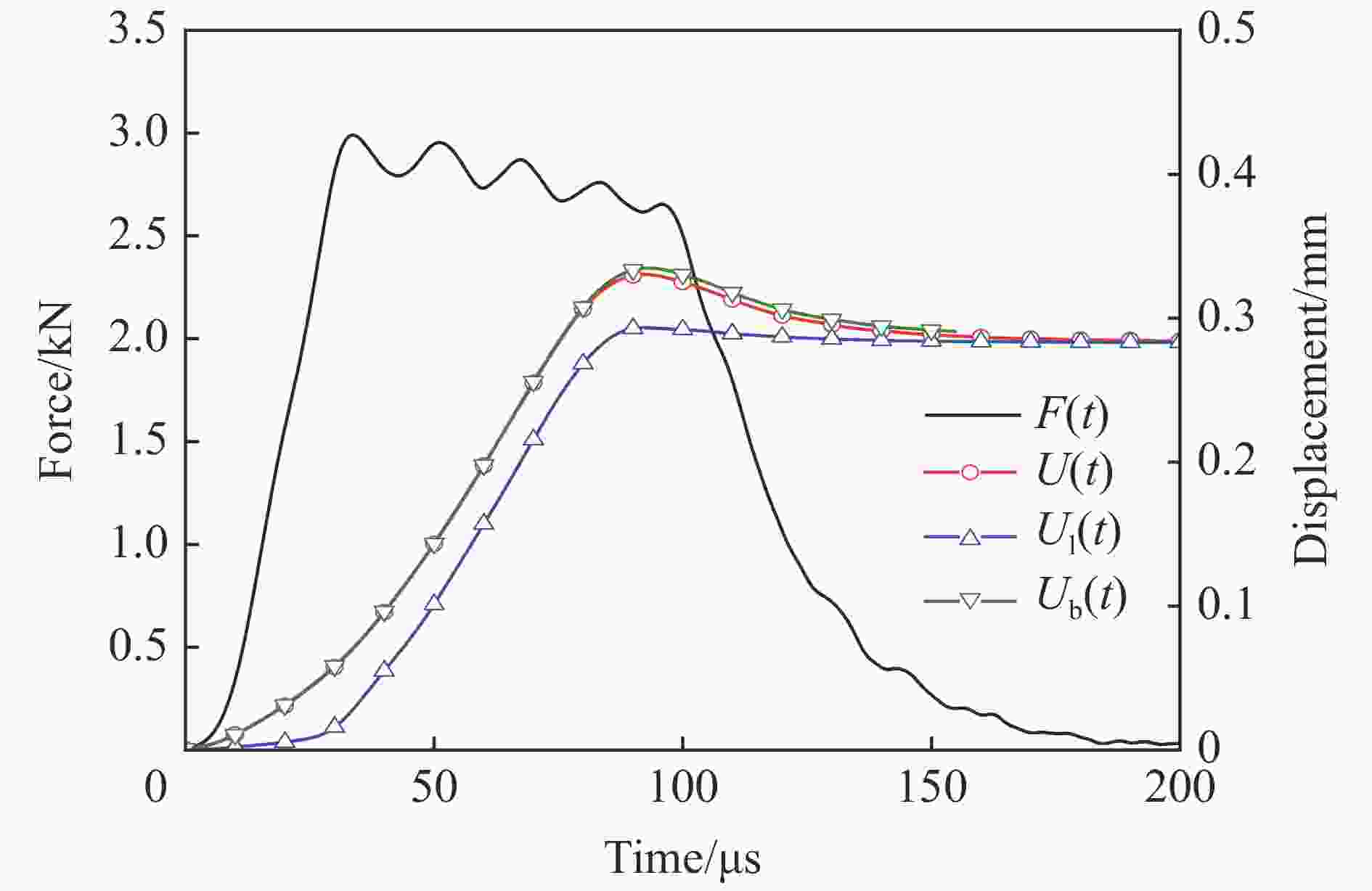
    图  3  M型试样的加载力、压缩位移和整体变形

    Figure  3.  Dynamic force, compression displacement and global deformation of M-specimen

    图  4  拉伸标段不同位置点的应力比较和轴向应力演化

    Figure  4.  Stress comparison and axial stress evolution at different points of tensile section

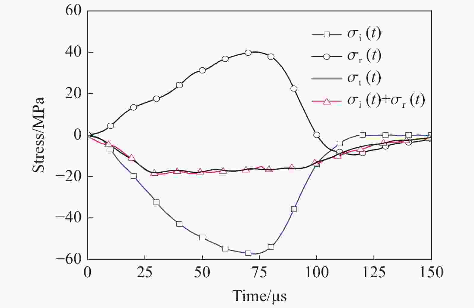
    图  5  典型的入射波、反射波和透射波

    Figure  5.  Typical incident, reflected and transmitted wave

    图  6  不同速度下载荷的震荡

    Figure  6.  Loading oscillation at different velocities

    图  7  三角波加载下的入射波、反射波和透射波

    Figure  7.  Incident, reflected and transmitted wave by pulse shaper

    图  8  动态载荷、位移和标段位移

    Figure  8.  Dynamic force, global and local displacement

    图  9  力-位移曲线及修正

    Figure  9.  Amendment of force-displacement curve

    图  10  实验模拟应力应变曲线和本构方程

    Figure  10.  Stress-strain curves and constitutive equation

    图  11  不同应变率下的真应力应变曲线

    Figure  11.  True stress-strain curves under different strain rates

    图  12  载荷和位移曲线

    Figure  12.  Load and displacement curves

    图  13  试样两端的载荷-位移曲线

    Figure  13.  Force-displacement curve

    图  14  应力应变曲线及弹性修正

    Figure  14.  Stress-strain curves before and after elastic correction

    图  15  典型的入射波、反射波及透射波

    Figure  15.  Typical incident, reflected and transmitted waves

    图  16  试样加载过程

    Figure  16.  Specimen loading process

    图  17  应力、应变曲线

    Figure  17.  Stress and strain curves

    图  18  拉伸应力应变曲线

    Figure  18.  Tensile stress-strain curves

  • [1] DAVIES R M. A critical study of the Hopkinson pressure bar [J]. Philosophical Transactions of the Royal Society A: Mathematical, Physical and Engineering Sciences, 1948, 240(821): 375–457. DOI: 10.1098/rsta.1948.0001.
    [2] KOLSKY H. An investigation of the mechanical properties of materials at very high rates of loading [J]. Proceedings of the Physical Society, Section B, 1949, 62(11): 676–700. DOI: 10.1088/0370-1301/62/11/302.
    [3] GRAY Ⅲ G T, BLUMENTHAL W R. Split-Hopkinson pressure bar testing of soft materials [C] // KUHN H, MEDLIN D. SAM handbook: mechanical testing and evaluation. Materials Park, OH: ASM International, 2000: 488−496.
    [4] 王礼立. 应力波基础[M]. 2版. 北京: 国防工业出版社, 2005.
    [5] 胡时胜, 王礼立, 宋力, 等. Hopkinson压杆技术在中国的发展回顾 [J]. 爆炸与冲击, 2014, 34(6): 641–657. DOI: 10.11883/1001-1455(2014)06-0641-17.

    HU S S, WANG L L, SONG L, et al. Review of the development of Hopkinson pressure bar technique in China [J]. Explosion and Shock Waves, 2014, 34(6): 641–657. DOI: 10.11883/1001-1455(2014)06-0641-17.
    [6] DUFFY J, CAMPBELL J D, HAWLEY R H. On the use of a torsional split Hopkinson bar to study rate effects in 1100-0 aluminum [J]. Journal of Applied Mechanics, 1971, 38(1): 83–91. DOI: 10.1115/1.3408771.
    [7] NICHOLAS T. Tensile testing of materials at high rates of strain [J]. Experimental Mechanics, 1981, 21(5): 177–185. DOI: 10.1007/BF02326644.
    [8] OGAWA K. Impact-tension compression test by using a split-Hopkinson bar [J]. Experimental Mechanics, 1984, 24(2): 81–86. DOI: 10.1007/BF02324987.
    [9] STAAB G H, GILAT A. A direct-tension split Hopkinson bar for high strain-rate testing [J]. Experimental Mechanics, 1991, 31(3): 232–235. DOI: 10.1007/BF02326065.
    [10] 宋顺成, 田时雨. Hopkinson冲击拉杆的改进及应用 [J]. 爆炸与冲击, 1992, 12(1): 62–67.

    SONG S C, TIAN S Y. Dynamic tensile testing of materials using the hollow Hopkinson bars instead of the solid Hopkinson bars [J]. Explosion and Shock Waves, 1992, 12(1): 62–67.
    [11] 胡时胜, 邓德涛, 任小彬. 材料冲击拉伸实验的若干问题探讨 [J]. 实验力学, 1998, 13(1): 9–14.

    HU S S, DENG D T, REN X B. A study on impact tensile test of materials [J]. Journal of Experimental Mechanics, 1998, 13(1): 9–14.
    [12] 田宏伟, 郭伟国. 动态拉伸试验中试样应变测试的有效性分析 [J]. 实验力学, 2008, 23(5): 403–410.

    TIAN H W, GUO W G. Validity analysis of sample strain measurement in dynamic tensile experiment [J]. Journal of Experimental Mechanics, 2008, 23(5): 403–410.
    [13] 彭刚, 冯家臣, 胡时胜, 等. 纤维增强复合材料高应变率拉伸实验技术研究 [J]. 实验力学, 2004, 19(2): 136–143. DOI: 10.3969/j.issn.1001-4888.2004.02.002.

    PENG G, FENG J C, HU S S, et al. A Study on high strain rate tensile experimental technique aimed at fiber reinforced composite [J]. Journal of Experimental Mechanics, 2004, 19(2): 136–143. DOI: 10.3969/j.issn.1001-4888.2004.02.002.
    [14] MOHR D, GARY G. M-shaped specimen for the high-strain rate tensile testing using a split Hopkinson pressure bar apparatus [J]. Experimental Mechanics, 2007, 47(5): 681–692. DOI: 10.1007/s11340-007-9035-y.
    [15] CADONI E, FORNI D, GIELETA R, et al. Tensile and compressive behaviour of S355 mild steel in a wide range of strain rates [J]. The European Physical Journal Special Topics, 2018, 227(1−2): 29–43. DOI: 10.1140/epjst/e2018-00113-4.
    [16] 史同亚, 刘东升, 陈伟, 等. 激光选区熔化增材制造GP1不锈钢动态拉伸力学响应与层裂破坏 [J]. 爆炸与冲击, 2019, 39(7): 49–60. DOI: 10.11883/bzycj-2019-0015.

    SHI T Y, LIU D S, CHENG W, et al. Dynamic tensile behavior and spall fracture of GP1 stainless steel processed by selective laser melting [J]. Explosion and Shock Waves, 2019, 39(7): 49–60. DOI: 10.11883/bzycj-2019-0015.
    [17] SONG B, NISHIDA E, SANBORN B, et al. Compressive and tensile stress-strain responses of additively manufactured (AM) 304 L stainless steel at high strain rates [J]. Journal of Dynamic Behavior of Materials, 2017, 3(3): 412–425. DOI: 10.1007/s40870-017-0122-6.
    [18] 丁利, 李怀学, 王玉岱, 等. 热处理对激光选区熔化成形316不锈钢组织与拉伸性能的影响 [J]. 中国激光, 2015, 42(4): 0406003. DOI: 10.3788/CJL201542.0406003.

    DING L, LI H X, WANG Y D, et al. Heat treatment on microstructure and tensile strength of 316 stainless steel by selective laser melting [J]. Chinese Journal of Lasers, 2015, 42(4): 0406003. DOI: 10.3788/CJL201542.0406003.
  • 加载中
图(18)
计量
  • 文章访问数:  3369
  • HTML全文浏览量:  1511
  • PDF下载量:  114
  • 被引次数: 0
出版历程
  • 收稿日期:  2019-11-18
  • 修回日期:  2020-01-20
  • 网络出版日期:  2020-07-25
  • 刊出日期:  2020-08-01

目录

    /

    返回文章
    返回