Experimental study on TNT equivalent coefficients for two new kinds of propellants
-
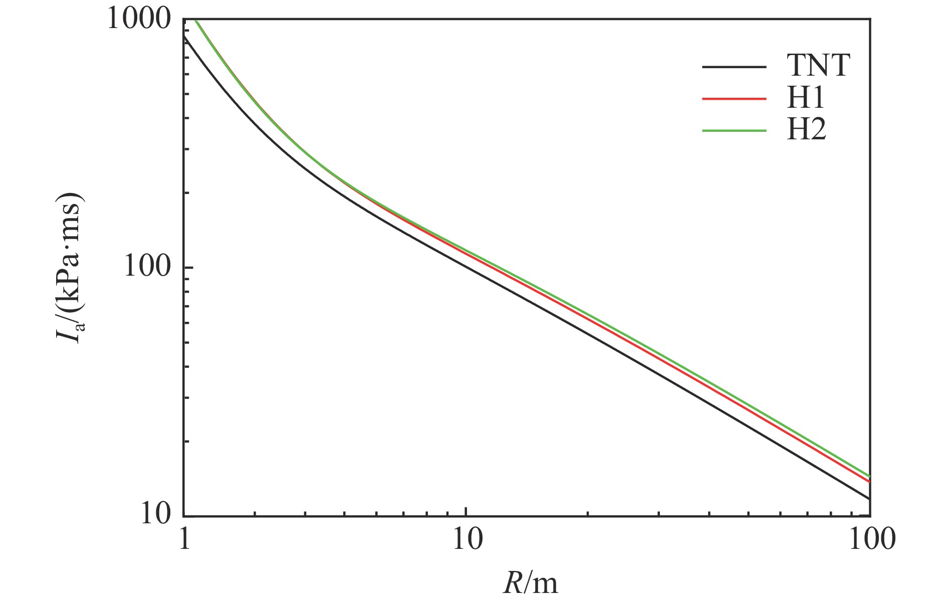
摘要: TNT当量系数是危险品工程抗爆设计和安全距离确定的重要依据。为确定H1和H2两种新型高能发射药的TNT当量系数,分别开展了10 kg TNT和新型发射药的空气自由场静爆实验。基于修正的当量系数计算方法和测量得到的不同爆心距离处冲击波超压时程曲线,确定了不同比例距离处两种高能发射药的超压和比冲量TNT当量系数。研究结果表明,发射药爆炸产生的冲击波传播规律与TNT炸药爆炸产生的冲击波传播规律相同,符合爆炸相似律,相同质量发射药爆炸产生的冲击波超压和比冲量都显著高于TNT的。随着比例距离的增大,H1的超压当量系数先增大后减小,最大值为1.34;H2的超压当量系数逐渐减小,最大值为1.26。两种新型发射药的比冲量TNT当量系数均随比例距离的增大先减小后增大,H2的比冲量TNT当量系数大于H1的,最大值为1.38。本文中修正的计算方法能更准确计算被试样品的TNT当量系数,实验结果可为提高抗爆结构安全性设计提供参考。Abstract: The TNT equivalent coefficient is an important evidence to guide the blast-resistant design and safe-distance determination for dangerous goods. To find out the TNT equivalent coefficients of two new kinds of propellants (H1, H2), a series of free-field static detonation tests were performed for the two propellants (H1, H2) and flaky 2,4,6-trinitrotoluene (TNT). Five repeated tests were carried out for each explosive and the mass of the tested explosive was 10 kg in each test. And the existing method for calculating the TNT equivalent coefficients was modified. Base on the overpressure-time curves of the shock waves at different distances from the explosion centers, the TNT equivalent coefficients for overpressure and specific impulse at different scaling distances were analyzed by the modified calculation method. The results show that the propagations of shock waves induced by explosions of the propellants agree well with the similar law, and are similar with that induced by explosion of the TNT explosive. Meanwhile, the overpressures and specific impulses of shock waves induced by explosions of the two propellants are much higher than those of the TNT explosive. With the increase of scaling distance, the overpressure TNT equivalent coefficient of H1 first increases to 1.34 and then decreases, while that of H2 decrease monotonously, and the maximum value is 1.26. With the increase of the scaling distance, both the specific impulse TNT equivalent coefficients of H1 and H2 first increase and then decrease. The specific impulse TNT equivalent coefficient of H1 with the peak value 1.38 is greater than that of H2. The modified method can be used to accurately calculate the TNT equivalent coefficients of the tested samples, and the results can improve the safety design of blast-resistant structures.
-
Key words:
- propellant /
- TNT equivalent coefficient /
- overpressure /
- specific impulse /
- static explosive
-
表 1 式(1)~(4)中的相关物理参数
Table 1. Physical parameters for formulas (1) − (4)
量符号 含义 $ \Delta {{p}} $ 经气象修正后的冲击波超压峰值,单位为MPa $ \Delta {{{p}}'} $ 实验场大气条件下测量的冲击波超压峰值,单位为MPa $ {p_0} $ 标准大气压,取值101.325 kPa $ p_0' $ 现场大气压,单位为kPa $ R $ 经气象修正后的各测点到爆心实际距离,单位为m $ {{{R}}'} $ 实验现场大气条件下测量各测点到爆心实际距离,单位为m $ t $ 经气象修正后的各测点处冲击波正压作用时间,单位为ms $ {t'} $ 实验现场大气条件下测量得到的各测点处冲击波正压作用时间,单位为ms $ {T_0} $ 标准大气压条件下的绝对温度,取值288.16 K $ T_0' $ 实验现场大气条件下测量到的绝对温度,单位为K $ I $ 经气象修正后的各测点处冲击波比冲量,单位为kPa·ms $ {I'} $ 实验现场大气条件下测量并计算得到的各测点处冲击波超压比冲量,单位为kPa·ms 表 2 不同爆心距离处10 kg TNT爆炸产生的冲击波超压峰值平均值
Table 2. Average values of shock wave overpressure peaks induced by explosion of a 10-kg TNT charge at different distances from the explosion center
R/m $ \Delta {p_{{\text{TNT,a}}}} $/MPa R/m $ \Delta {p_{{\text{TNT,a}}}} $/MPa 2 3.004 9 25 0.010 0 3 1.198 0 30 0.008 1 5 0.227 9 40 0.005 1 7 0.086 0 50 0.004 2 10 0.041 6 60 0.003 0 15 0.023 2 85 0.001 9 20 0.014 3 表 3 不同爆心距离处发射药(H1、H2)爆炸冲击波超压峰值平均值
Table 3. Average values of shock wave overpressure peaks induced by explosion of propellants (H1, H2) at different distances from the explosion center
R/m $ \Delta {p_{{\text{H1,a}}}} $/MPa $ \Delta {p_{{\text{H2,a}}}} $/MPa R/m $ \Delta {p_{{\text{H1,a}}}} $/MPa $ \Delta {p_{{\text{H2,a}}}} $/MPa 2 3.307 0 3.780 2 25 0.0113 0.011 2 3 1.306 8 1.269 7 30 0.008 9 0.008 3 5 0.280 3 0.241 2 40 0.005 6 0.005 0 7 0.100 0 0.095 9 50 0.004 5 0.004 0 10 0.045 3 0.043 7 60 0.003 5 0.002 9 15 0.025 6 0.024 4 85 0.002 4 0.001 8 20 0.015 8 0.014 7 -
[1] 王泽山. 发射药技术的展望 [J]. 中北大学学报(社会科学版), 2001(S1): 36–40; 103. DOI: 10.3969/j.issn.1673-1646.2001.z1.011.WANG Z S. Development and prospect of propellant techniques [J]. Journal of North China Institute of Technology (Social Sciences), 2001(S1): 36–40; 103. DOI: 10.3969/j.issn.1673-1646.2001.z1.011. [2] 宁培毅. 梯恩梯当量 [J]. 现代兵器, 1982(7): 33–38. [3] 张光莹, 周旭, 黄咏政, 等. 动爆冲击波特性分析方法研究 [C]// 第四届全国计算爆炸力学会议论文集. 北京: 中国力学学会, 2008: 282−287. [4] 汪嗣良. 压装CL-20炸药爆轰特性参数测试 [D]. 北京: 北京理工大学, 2016: 26−43.WANG S L. Detonation characteristic parameters testing of pressed CL-20 explosive [D]. Beijing: Beijing Institute of Technology, 2016: 26−43. [5] 王代华, 宋林丽, 张志杰. 基于ICP传感器的存储式冲击波超压测试系统 [J]. 传感技术学报, 2012, 25(4): 478–482. DOI: 10.3969/j.issn.1004-1699.2012.04.012.WANG D H, SONG L L, ZHANG Z J. A stored overpressure measurement system based on ICP sensor for shock wave [J]. Chinese Journal of Sensors and Actuators, 2012, 25(4): 478–482. DOI: 10.3969/j.issn.1004-1699.2012.04.012. [6] 牛余雷, 冯晓军, 李媛媛, 等. 炸药爆轰参数与空中爆炸冲击波超压的关系 [J]. 火炸药学报, 2013, 36(4): 42–45; 64. DOI: 10.3969/j.issn.1007-7812.2013.04.010.NIU Y L, FENG X J, LI Y Y, et al. Relation of air explosion shock wave overpressure and detonation parameters of explosives [J]. Chinese Journal of Explosives and Propellants, 2013, 36(4): 42–45; 64. DOI: 10.3969/j.issn.1007-7812.2013.04.010. [7] 段晓瑜, 崔庆忠, 郭学永, 等. 炸药在空气中爆炸冲击波的地面反射超压实验研究 [J]. 兵工学报, 2016, 37(12): 2277–2283. DOI: 10.3969/j.issn.1000-1093.2016.12.013.DUAN X Y, CUI Q Z, GUO X Y, et al. Experimental investigation of ground reflected overpressure of shock wave in air blast [J]. Acta Armamentarii, 2016, 37(12): 2277–2283. DOI: 10.3969/j.issn.1000-1093.2016.12.013. [8] 王鹏, 魏晓安, 何卫东. 含双芳-3发射药的灌注炸药爆轰性能 [J]. 含能材料, 2013, 21(1): 92–96. DOI: 10.3969/j.issn.1006-9941.2013.01.020.WANG P, WEI X A, HE W D. Detonation performance of perfusion explosive containing SF-3 double-based propellants energetic materials [J]. Chinese Journal of Energetic Materials, 2013, 21(1): 92–96. DOI: 10.3969/j.issn.1006-9941.2013.01.020. [9] HENRYCH J. The dynamics of explosion and its use [M]. Amsterdam: Elsevier, 1979: 218−219. [10] BAKER W E. Explosions in air [M]. Austin: University of Texas Press, 1974: 6−10. [11] SADOVSKYI M A. Mechanical action of air shock waves of explosion, based on experimental data [M]. Moscow: Izd Akad Nauk SSSR, 1952: 1−2. [12] 聂源, 蒋建伟, 李梅. 球形装药动态爆炸冲击波超压场计算模型 [J]. 爆炸与冲击, 2017, 37(5): 951–956. DOI: 10.11883/1001-1455(2017)05-0951-06.NIE Y, JIANG J W, LI M. Overpressure calculation model of sphere charge blasting with moving velocity [J]. Explosion and Shock Waves, 2017, 37(5): 951–956. DOI: 10.11883/1001-1455(2017)05-0951-06. [13] 李党娟, 吴慎将, 杨远生. 基于LabVIEW的冲量测试系统开发 [J]. 国外电子测量技术, 2012, 31(1): 63–66. DOI: 10.3969/j.issn.1002-8978.2012.01.018.LI D J, WU S J, YANG Y S. Development impulse measurement system based on LabVIEW [J]. Foreign Electronic Measurement Technology, 2012, 31(1): 63–66. DOI: 10.3969/j.issn.1002-8978.2012.01.018. [14] 董守华, 李晓杰, 王海波, 等. 事故爆炸冲击波破坏准则综述 [J]. 石油化工安全技术, 1996, 12(4): 40–41. [15] 蔡林刚, 李晓彬, 杜志鹏, 等. 密闭空间中内爆载荷冲量饱和现象研究 [J]. 武汉理工大学学报(交通科学与工程版), 2020, 44(1): 85–90. DOI: 10.3963/j.issn.2095-3844.2020.01.016.CAI L G, LI X B, DU Z P, et al. Study on impulse saturation of internal explosion load in confined space [J]. Journal of Wuhan University of Technology (Transportation Science and Engineering), 2020, 44(1): 85–90. DOI: 10.3963/j.issn.2095-3844.2020.01.016. [16] 牟金磊, 朱锡, 黄晓明. 近壁面水下爆炸冲击波载荷参数研究 [J]. 海军工程大学学报, 2011, 23(1): 23–27. DOI: 10.3969/j.issn.1009-3486.2011.01.005.MU J L, ZHU X, HUANG X M. Parameters of shock waves from underwater explosion near structures [J]. Journal of Naval University of Engineering, 2011, 23(1): 23–27. DOI: 10.3969/j.issn.1009-3486.2011.01.005. [17] 张德志, 李焰, 王等旺, 等. 球形装药近距离爆炸正反射冲击波试验研究 [J]. 兵工学报, 2009, 30(12): 1663–1667. DOI: 10.3321/j.issn:1000-1093.2009.12.018.ZHANG D Z, LI Y, WANG D W, et al. Experiment investigations on normal reflected blast wave near the spherical explosive [J]. Acta Armamentarii, 2009, 30(12): 1663–1667. DOI: 10.3321/j.issn:1000-1093.2009.12.018. [18] 龚苹, 吴宏斌, 翟永兵, 等. 装药近地爆炸的冲击波理论与试验研究 [C]// 第九届全国爆炸力学学术会议论文集. 北京: 中国力学学会, 2012. [19] 罗兴柏, 张玉令, 丁玉奎. 爆炸力学理论教程[M]. 北京: 国防工业出版社, 2016: 291−292. -


下载: