• ISSN 1001-1455  CN 51-1148/O3
  • EI、Scopus、CA、JST、EBSCO、DOAJ收录
  • 力学类中文核心期刊
  • 中国科技核心期刊、CSCD统计源期刊

基于PVDF复合压电效应的低强度冲击波柔性测量

范志强 常瀚林 何天明 郑航 胡敬坤 谭晓丽

范志强, 常瀚林, 何天明, 郑航, 胡敬坤, 谭晓丽. 基于PVDF复合压电效应的低强度冲击波柔性测量[J]. 爆炸与冲击, 2023, 43(1): 013102. doi: 10.11883/bzycj-2022-0152
引用本文: 范志强, 常瀚林, 何天明, 郑航, 胡敬坤, 谭晓丽. 基于PVDF复合压电效应的低强度冲击波柔性测量[J]. 爆炸与冲击, 2023, 43(1): 013102. doi: 10.11883/bzycj-2022-0152
FAN Zhiqiang, CHANG Hanlin, HE Tianming, ZHENG Hang, HU Jingkun, TAN Xiaoli. Flexible measurement of low-intensity shock wave based on coupling piezoelectric effect of PVDF[J]. Explosion And Shock Waves, 2023, 43(1): 013102. doi: 10.11883/bzycj-2022-0152
Citation: FAN Zhiqiang, CHANG Hanlin, HE Tianming, ZHENG Hang, HU Jingkun, TAN Xiaoli. Flexible measurement of low-intensity shock wave based on coupling piezoelectric effect of PVDF[J]. Explosion And Shock Waves, 2023, 43(1): 013102. doi: 10.11883/bzycj-2022-0152

基于PVDF复合压电效应的低强度冲击波柔性测量

doi: 10.11883/bzycj-2022-0152
基金项目: 国家自然科学基金(12072326);中国博士后科学基金(2021T140562);中北大学青年学术带头人支持计划(QX202003)
详细信息
    作者简介:

    范志强(1989- ),男,博士,副教授,fanzhq@nuc.edu.cn

  • 中图分类号: O383

Flexible measurement of low-intensity shock wave based on coupling piezoelectric effect of PVDF

  • 摘要: 为探索低强度冲击波的柔性测量技术,对PVDF(polyvinylidene fluoride)压力传感器开展冲击波加载和灵敏度标定实验,评估其低强度冲击波压力测量的可靠性。基于微结构设计改进薄膜传感器,获得适用于低强度冲击波压力测量的高灵敏柔性传感器,结果表明:单一压电工作模式的薄膜传感器测量低强度冲击波时有效输出电荷量和信噪比较低,测量结果容易受压电膜力电响应非线性、结构表面变形振动以及封装因素的影响,灵敏度系数不稳定、个体差异性大。采用周向固支的微结构设计能够将作用于薄膜传感器表面幅值较低的冲击波转换为幅值较高的面内拉应力,产生的复合压电效应可大幅提高传感器名义灵敏度系数、降低个体差异性。研制的柔性传感器在0.2~0.7 MPa压力范围内名义灵敏度约900~1350 pC/N,相对测量误差不大于±13%。
  • 图  1  PVDF薄膜压力传感器

    Figure  1.  PVDF filmed pressure gauges

    图  2  冲击波测量实验装置

    Figure  2.  Experimental setup of shock wave measurement

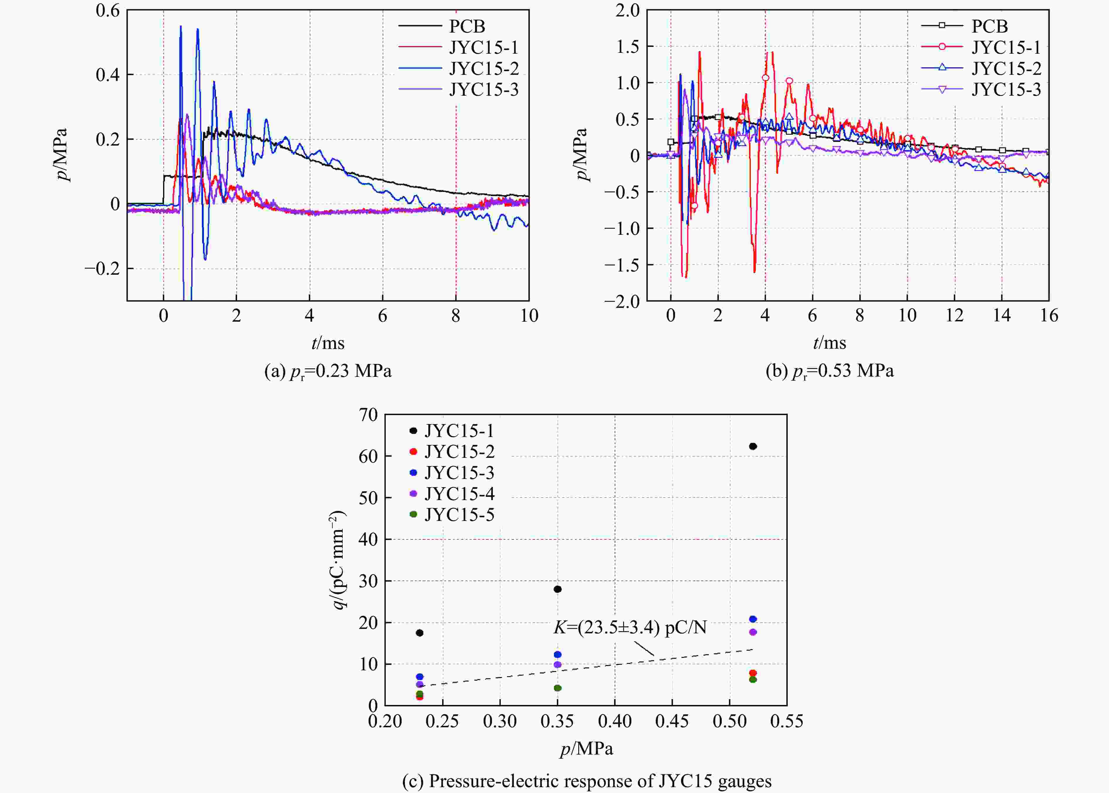
    图  3  JYC15传感器冲击波测量结果与力电响应

    Figure  3.  Shock wave measurement results and pressure-electric response of JYC15 gauges

    图  4  PVF 2-11传感器冲击波测量结果

    Figure  4.  Shock wave measurement results of PVF2-11 gauges

    图  5  CPT传感器冲击波测量结果与力电响应

    Figure  5.  Shock wave measurement results and pressure-electric response of CPT gauges

    图  6  复合压电效应及DSP传感器

    Figure  6.  Coupling piezoelectric effect and DSP pressure gauge

    图  7  DSP压力计有限元模型与von Mises应力云图

    Figure  7.  Finite element model and the von Mises stress map of DSP gauge

    图  8  DSP传感器在面外冲击波作用下的力学响应

    Figure  8.  Mechanical response of DSP pressure gauge subjected to out-of-plane shock

    图  9  DSP面内冲击拉伸实验装置和典型测量结果

    Figure  9.  Experimental setting of in-plane dynamic stretching for DSP and the typical testing result

    图  10  DSP传感器面内拉伸灵敏度系数标定

    Figure  10.  Calibration of sensitivity coefficients of DSP under in-plane stretching deformation

    图  11  DSP传感器冲击波测量结果

    Figure  11.  Shock wave measuring results of DSP gauges

    图  12  柔性靶体上的冲击波测量

    Figure  12.  Shock wave measurement of DSP on flexible target

  • [1] COURTNEY A C, COURTNEY M W. A thoracic mechanism of mild traumatic brain injury due to blast pressure waves [J]. Medical Hypotheses, 2009, 72(1): 76–83. DOI: 10.1016/j.mehy.2008.08.015.
    [2] ROSENFELD J V, MCFARLANE A C, BRAGGE P, et al. Blast-related traumatic brain injury [J]. The Lancet Neurology, 2013, 12(9): 882–893. DOI: 10.1016/S1474-4422(13)70161-3.
    [3] TANIELIAN T, JAYCOX L H, SCHELL T L, et al. Invisible wounds of war [R]. Santa Monica: RAND, 2008.
    [4] LIU Y B, LU Y T, SHAO Y, et al. Mechanism of the traumatic brain injury induced by blast wave using the energy assessment method [J]. Medical Engineering & Physics, 2022, 101: 103767. DOI: 10.1016/j.medengphy.2022.103767.
    [5] 栗志杰, 由小川, 柳占立, 等. 爆炸冲击波作用下颅脑损伤机理的数值模拟研究 [J]. 爆炸与冲击, 2020, 40(1): 015901. DOI: 10.11883/bzycj-2018-0348.

    LI Z J, YOU X C, LIU Z L, et al. Numerical simulation of the mechanism of traumatic brain injury induced by blast shock waves [J]. Explosion and Shock Waves, 2020, 40(1): 015901. DOI: 10.11883/bzycj-2018-0348.
    [6] ARAVIND A, KOSTY J, CHANDRA N, et al. Blast exposure predisposes the brain to increased neurological deficits in a model of blast plus blunt traumatic brain injury [J]. Experimental Neurology, 2020, 332: 113378. DOI: 10.1016/j.expneurol.2020.113378.
    [7] YU X C, AZOR A, SHARP D J, et al. Mechanisms of tensile failure of cerebrospinal fluid in blast traumatic brain injury [J]. Extreme Mechanics Letters, 2020, 38: 100739. DOI: 10.1016/j.eml.2020.100739.
    [8] MA Y J, ZHANGY C, CAI S S, et al. Flexible hybrid electronics for digital healthcare [J]. Advanced Materials, 2020, 32(15): 1902062. DOI: 10.1002/adma.201902062.
    [9] GUO R, ZHANG H L, CAO S L, et al. A self-powered stretchable sensor fabricated by serpentine PVDF film for multiple dynamic monitoring [J]. Materials & Design, 2019, 182: 108025. DOI: 10.1016/j.matdes.2019.108025.
    [10] WANG G, LIU T, SUN X C, et al. Flexible pressure sensor based on PVDF nanofiber [J]. Sensors and Actuators A: Physical, 2018, 280: 319–325. DOI: 10.1016/j.sna.2018.07.057.
    [11] 柴栋梁, 王文廉. 柔性传感冲击波瞬态压力测试方法 [J]. 中国测试, 2018, 44(12): 91–95. DOI: 10.11857/j.issn.1674-5124.2018.12.016.

    CHAI D L, WANG W L. Test method of transient pressure of flexible sensing shock wave [J]. China Measurement & Testing, 2018, 44(12): 91–95. DOI: 10.11857/j.issn.1674-5124.2018.12.016.
    [12] WANG Y C, HUANG C H, LEE Y C, et al. Development of a PVDF sensor array for measurement of the impulsive pressure generated by cavitation bubble collapse [J]. Experiments in Fluids, 2006, 41(3): 365–373. DOI: 10.1007/s00348-006-0135-8.
    [13] 范志强, 马宏昊, 沈兆武, 等. PVDF压力计在结构表面爆炸压力测量中的应用技术研究 [J]. 兵工学报, 2014, 35(S2): 27–32.

    FAN Z Q, MA H H, SHEN Z W, et al. Investigation on application of PVDF gauges in blast pressure measurement on structure surfaces [J]. Acta Armamentarii, 2014, 35(S2): 27–32.
    [14] 吴建梁. 受预张力薄膜的轴对称大挠度问题 [D]. 重庆: 重庆大学, 2009.

    WU J L. Axial symmetrical large deflection of pre-stretched membranes [D]. Chongqing: Chongqing University, 2009.
  • 加载中
图(12)
计量
  • 文章访问数:  1087
  • HTML全文浏览量:  404
  • PDF下载量:  147
  • 被引次数: 0
出版历程
  • 收稿日期:  2022-04-11
  • 修回日期:  2022-07-01
  • 网络出版日期:  2022-09-09
  • 刊出日期:  2023-01-05

目录

    /

    返回文章
    返回