• ISSN 1001-1455  CN 51-1148/O3
  • EI、Scopus、CA、JST、EBSCO、DOAJ收录
  • 力学类中文核心期刊
  • 中国科技核心期刊、CSCD统计源期刊

障碍物交错阵列内气体爆燃转爆轰研究

李敏 肖华华

李敏, 肖华华. 障碍物交错阵列内气体爆燃转爆轰研究[J]. 爆炸与冲击, 2025, 45(11): 111001. doi: 10.11883/bzycj-2024-0284
引用本文: 李敏, 肖华华. 障碍物交错阵列内气体爆燃转爆轰研究[J]. 爆炸与冲击, 2025, 45(11): 111001. doi: 10.11883/bzycj-2024-0284
LI Min, XIAO Huahua. Study on deflagration-to-detonation transition in a staggered array of obstacles[J]. Explosion And Shock Waves, 2025, 45(11): 111001. doi: 10.11883/bzycj-2024-0284
Citation: LI Min, XIAO Huahua. Study on deflagration-to-detonation transition in a staggered array of obstacles[J]. Explosion And Shock Waves, 2025, 45(11): 111001. doi: 10.11883/bzycj-2024-0284

障碍物交错阵列内气体爆燃转爆轰研究

doi: 10.11883/bzycj-2024-0284
基金项目: 国家自然科学基金(12302449);安徽省自然科学基金(2308085QE170);特种焊接技术安徽省重点实验室开放基金(2023SW1002)
详细信息
    作者简介:

    李 敏(1988- ),男,博士,副研究员,lim2010@ustc.edu.cn

    通讯作者:

    肖华华(1984- ),男,博士,教授,xiaoh@ustc.edu.cn

  • 中图分类号: O381

Study on deflagration-to-detonation transition in a staggered array of obstacles

  • 摘要: 鉴于目前对障碍物交错阵列内爆燃转爆轰(deflagration-to-detonation transition,DDT)现象的认识不足,采用高精度算法和动态自适应网格求解完全可压缩反应性Navier-Stokes方程,对不同障碍物间距条件下方形障碍物交错阵列内预混氢-空气DDT引发过程进行数值模拟研究。结果表明:减小障碍物间距有利于在火焰加速前期增加火焰面积、后期增强激波压缩未燃气体,从而缩短DDT时间和距离。然而,当障碍物间距减小至某阈值时,会出现结巴式爆轰,使DDT距离增加。DDT主要由障碍物前壁的反射激波与火焰相互作用引起。爆轰绕过障碍物时发生局部解耦,然后与壁面或来自障碍物另一侧的激波和失效爆轰波碰撞时可能引发爆轰再起爆。若障碍物间距太小,激波强度随爆轰的解耦而衰减严重,易导致爆轰失效。方形障碍物交错阵列比圆形更易引发DDT,因前者可在垂直和平行于火焰的传播方向产生反射激波,有助于激波作用于火焰和未燃气体。
  • 图  1  计算域示意图

    Figure  1.  Computational zone

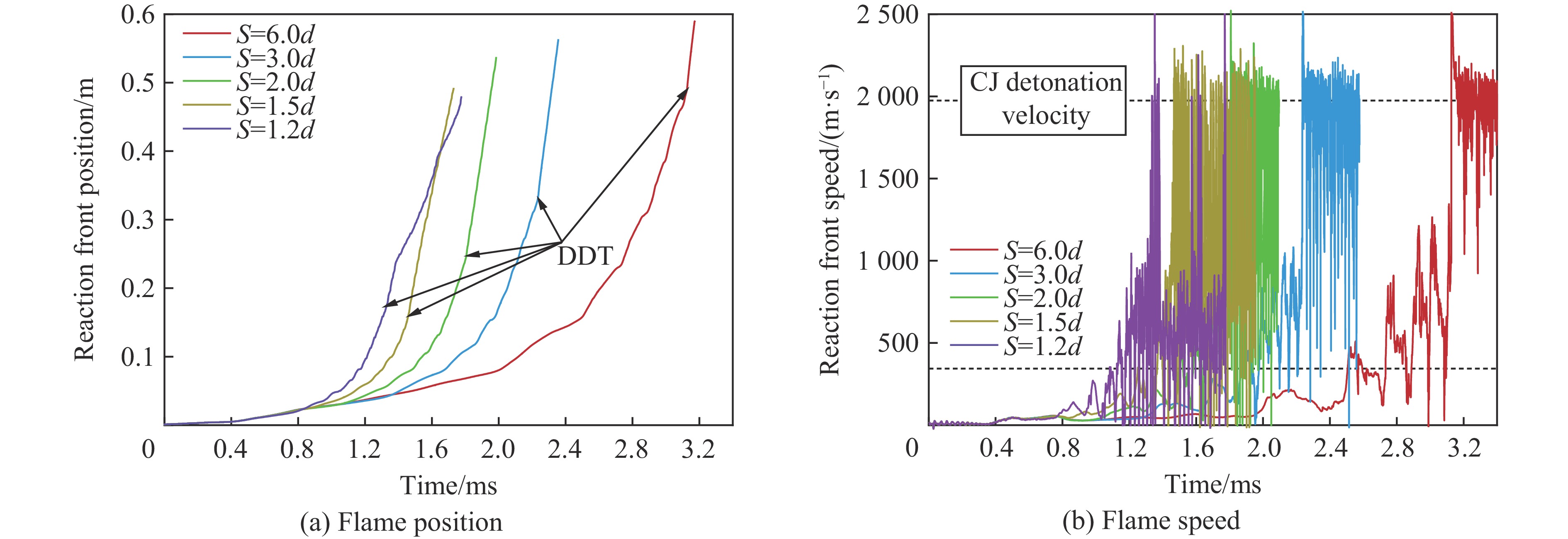
    图  2  火焰位置和传播速度随时间的变化

    Figure  2.  Flame position and propagation speed as a function of time

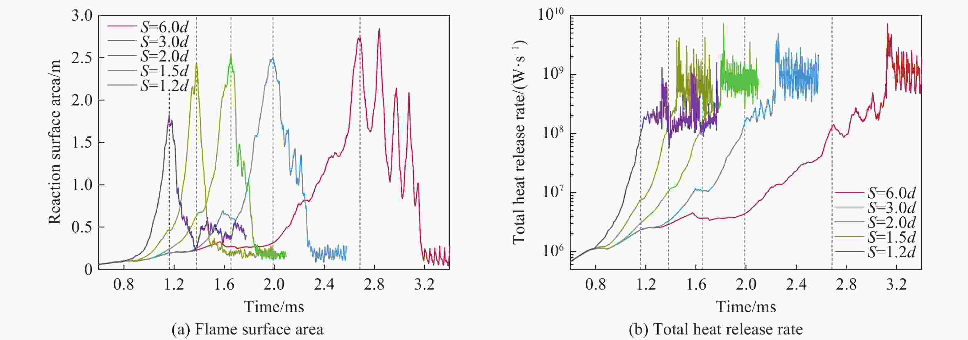
    图  3  火焰表面积和总热释放速率随时间的变化

    Figure  3.  Flame surface area and total heat release rate as a function of time

    图  4  火焰的加速过程

    Figure  4.  Acceleration process of flame

    图  5  DDT过程

    Figure  5.  Process of DDT

    图  6  温度场显示的爆轰传播过程

    Figure  6.  Temperature filed showing the propagation of detonation

    图  7  不同障碍物间距下方形与圆形障碍物阵列中火焰位置随时间变化

    Figure  7.  Flame position as a function of time in square and circular obstacle array under different obstacle spacings

    图  8  不同障碍物间距下方形与圆形障碍物阵列的DDT时间与距离

    Figure  8.  DDT time and distance in square and circular obstacle array under different obstacle spacings

    图  9  方形和圆形障碍物阵列内火焰速度和表面积随时间的变化

    Figure  9.  Flame speed and surface area as a function of time in the square and circular obstacle array

    图  10  方形和圆形障碍物阵列内火焰传播比较

    Figure  10.  Comparison of flame propagation in array of square and circular obstacles

  • [1] CICCARELLI G, DOROFEEV S. Flame acceleration and transition to detonation in ducts [J]. Progress in Energy and Combustion Science, 2008, 34(4): 499–550. DOI: 10.1016/j.pecs.2007.11.002.
    [2] CHAO J, LEE J H S. The propagation mechanism of high speed turbulent deflagrations [J]. Shock Waves, 2003, 12(4): 277–289. DOI: 10.1007/s00193-002-0161-2.
    [3] 归明月, 张镭潆, 崔皓, 等. 与爆轰相关的湍流燃烧 [J]. 空气动力学学报, 2020, 38(3): 515–531. DOI: 10.7638/kqdlxxb-2020.0066.

    GUI M Y, ZHANG L Y, CUI H, et al. Turbulent combustion related with detoantion [J]. Acta Aerodynamica Sinica, 2020, 38(3): 515–531. DOI: 10.7638/kqdlxxb-2020.0066.
    [4] BJERKETVEDT D, BAKKE J R, VAN WINGERDEN K. Gas explosion handbook [J]. Journal of Hazardous Materials, 1997, 52(1): 1–150. DOI: 10.1016/S0304-3894(97)81620-2.
    [5] ROY G D, FROLOV S M, BORISOV A A, et al. Pulse detonation propulsion: challenges, current status, and future perspective [J]. Progress in Energy and Combustion Science, 2004, 30(6): 545–672. DOI: 10.1016/j.pecs.2004.05.001.
    [6] LI J L, FAN W, YAN C J, et al. Performance enhancement of a pulse detonation rocket engine [J]. Proceedings of the Combustion Institute, 2011, 33(2): 2243–2254. DOI: 10.1016/j.proci.2010.07.048.
    [7] 韩文虎, 张博, 王成. 气相爆轰波起爆与传播机理研究进展 [J]. 爆炸与冲击, 2021, 41(12): 121402. DOI: 10.11883/bzycj-2021-0398.

    HAN W H, ZHANG B, WANG C. Progress in studying mechanisms of initiation and propagation for gaseous detonations [J]. Explosion and Shock Waves, 2021, 41(12): 121402. DOI: 10.11883/bzycj-2021-0398.
    [8] WANG C, DONG X Z, CAO J, et al. Experimental investigation of flame acceleration and deflagration-to-detonation transition characteristics using coal gas and air mixture [J]. Combustion Science and Technology, 2015, 187(11): 1805–1820. DOI: 10.1080/00102202.2015.1059332.
    [9] CROSS M, CICCARELLI G. DDT and detonation propagation limits in an obstacle filled tube [J]. Journal of Loss Prevention in the Process Industries, 2015, 36: 380–386. DOI: 10.1016/j.jlp.2014.11.020.
    [10] 余立新, 孙文超, 吴承康. 氢/空气火焰在半开口有障碍管道中的传播特性 [J]. 燃烧科学与技术, 2002, 8(1): 27–30. DOI: 10.3321/j.issn:1006-8740.2002.01.007.

    YU L X, SUN W C, WU C K. Flame propagation of H2-air in a semi-open obstructed tube [J]. Journal of Combustion Science and Technology, 2002, 8(1): 27–30. DOI: 10.3321/j.issn:1006-8740.2002.01.007.
    [11] WANG C J, WEN J X. Numerical simulation of flame acceleration and deflagration-to-detonation transition in hydrogen-air mixtures with concentration gradients [J]. International Journal of Hydrogen Energy, 2017, 42(11): 7657–7663. DOI: 10.1016/j.ijhydene.2016.06.107.
    [12] NI J, PAN J F, QUAYE E K, et al. Numerical simulation of hydrogen-air flame acceleration and detonation initiation in tubes equipped with arc obstacles of different chord lengths [J]. Acta Astronautica, 2020, 177: 192–201. DOI: 10.1016/j.actaastro.2020.07.025.
    [13] TEODORCZYK A, DROBNIAK P, DABKOWSKI A. Fast turbulent deflagration and DDT of hydrogen–air mixtures in small obstructed channel [J]. International Journal of Hydrogen Energy, 2009, 34(14): 5887–5893. DOI: 10.1016/j.ijhydene.2008.11.120.
    [14] 王永佳, 范玮, 李舒欣, 等. 流体障碍物对爆震燃烧起爆性能影响的实验研究 [J]. 推进技术, 2017, 38(3): 646–652. DOI: 10.13675/j.cnki.tjjs.2017.03.021.

    WANG Y J, FAN W, LI S X, et al. Experimental study for effects of fluidic obstacles on detonation initiation performance [J]. Journal of Propulsion Technology, 2017, 38(3): 646–652. DOI: 10.13675/j.cnki.tjjs.2017.03.021.
    [15] WANG J B, ZHAO X Y, FAN L Y, et al. Effects of the quantity and arrangement of reactive jet obstacles on flame acceleration and transition to detonation: a numerical study [J]. Aerospace Science and Technology, 2023, 137: 108269. DOI: 10.1016/j.ast.2023.108269.
    [16] CHENG J, ZHANG B, LIU H, et al. Experimental study on the effects of different fluidic jets on the acceleration of deflagration prior its transition to detonation [J]. Aerospace Science and Technology, 2020, 106: 106203. DOI: 10.1016/j.ast.2020.106203.
    [17] OGAWA T, ORAN E S, GAMEZO V N. Numerical study on flame acceleration and DDT in an inclined array of cylinders using an AMR technique [J]. Computers & Fluids, 2013, 85: 63–70. DOI: 10.1016/j.compfluid.2012.09.029.
    [18] OGAWA T, GAMEZO V N, ORAN E S. Flame acceleration and transition to detonation in an array of square obstacles [J]. Journal of Loss Prevention in the Process Industries, 2013, 26(2): 355–362. DOI: 10.1016/j.jlp.2011.12.009.
    [19] PINOS T, CICCARELLI G. Combustion wave propagation through a bank of cross-flow cylinders [J]. Combustion and Flame, 2015, 162(9): 3254–3262. DOI: 10.1016/j.combustflame.2015.05.013.
    [20] XIAO H H, ORAN E S. Shock focusing and detonation initiation at a flame front [J]. Combustion and Flame, 2019, 203: 397–406. DOI: 10.1016/j.combustflame.2019.02.012.
    [21] XIAO H H, ORAN E S. Flame acceleration and deflagration-to-detonation transition in hydrogen-air mixture in a channel with an array of obstacles of different shapes [J]. Combustion and Flame, 2020, 220: 378–393. DOI: 10.1016/j.combustflame.2020.07.013.
    [22] LI M, LIU D D, SHEN T, et al. Effects of obstacle layout and blockage ratio on flame acceleration and DDT in hydrogen-air mixture in a channel with an array of obstacles [J]. International Journal of Hydrogen Energy, 2022, 47(8): 5650–5662. DOI: 10.1016/j.ijhydene.2021.11.178.
    [23] LI M, XIAO H H. A study of the occurrence of DDT in an array of obstacles: combined effects of longitudinal and transverse obstacle spacings [J]. Fuel, 2024, 357: 129813. DOI: 10.1016/j.fuel.2023.129813.
    [24] LI M, XIAO H H. Influence of longitudinal obstacle spacing on the deflagration-to-detonation transition through a bank of obstacles in a hydrogen-air mixture [J]. International Journal of Hydrogen Energy, 2023, 48(38): 14449–14463. DOI: 10.1016/j.ijhydene.2022.12.323.
    [25] KAPLAN C R, ÖZGEN A, ORAN E S. Chemical-diffusive models for flame acceleration and transition-to-detonation: genetic algorithm and optimisation procedure [J]. Combustion Theory and Modelling, 2019, 23(1): 67–86. DOI: 10.1080/13647830.2018.1481228.
    [26] KESSLER D A, GAMEZO V N, ORAN E S. Simulations of flame acceleration and deflagration-to-detonation transitions in methane–air systems [J]. Combustion and Flame, 2010, 157(11): 2063–2077. DOI: 10.1016/j.combustflame.2010.04.011.
    [27] TAYLOR E M, WU M W, MARTÍN M P. Optimization of nonlinear error for weighted essentially non-oscillatory methods in direct numerical simulations of compressible turbulence [J]. Journal of Computational Physics, 2007, 223(1): 384–397. DOI: 10.1016/j.jcp.2006.09.010.
    [28] BATTEN P, LESCHZINER M A, GOLDBERG U C. Average-state Jacobians and implicit methods for compressible viscous and turbulent flows [J]. Journal of Computational Physics, 1997, 137(1): 38–78. DOI: 10.1006/jcph.1997.5793.
    [29] HOUIM R W, KUO K K. A low-dissipation and time-accurate method for compressible multi-component flow with variable specific heat ratios [J]. Journal of Computational Physics, 2011, 230(23): 8527–8553. DOI: 10.1016/j.jcp.2011.07.031.
    [30] GRINSTEIN F F, MARGOLIN L G, RIDER W J. Implicit large eddy simulation [M]. Cambridge: Cambridge University Press, 2007. DOI: 10.1017/CBO9780511618604.
    [31] ORAN E S. Understanding explosions – from catastrophic accidents to creation of the universe [J]. Proceedings of the Combustion Institute, 2015, 35(1): 1–35. DOI: 10.1016/j.proci.2014.08.019.
    [32] BORIS J P, GRINSTEIN F F, ORAN E S, et al. New insights into large eddy simulation [J]. Fluid Dynamics Research, 1992, 10(4/5/6): 199–228. DOI: 10.1016/0169-5983(92)90023-P.
    [33] LEE J J, DUPRÉ G, KNYSTAUTAS R, et al. Doppler interferometry study of unstable detonations [J]. Shock Waves, 1995, 5(3): 175–181. DOI: 10.1007/bf01435525.
    [34] 潘振华, 张彭岗, 朱跃进, 等. 狭缝内乙烯/氧气预混气体爆轰几何极限的实验 [J]. 航空动力学报, 2016, 31(6): 1297–1302. DOI: 10.13224/j.cnki.jasp.2016.06.003.

    PAN Z H, ZHANG P G, ZHU Y J, et al. Experiment on geometrical limits of gaseous detonation of ethylene/oxygen mixtures in narrow gaps [J]. Journal of Aerospace Power, 2016, 31(6): 1297–1302. DOI: 10.13224/j.cnki.jasp.2016.06.003.
    [35] 颜秉健, 张博, 高远, 等. 气相爆轰波近失效状态的传播模式 [J]. 爆炸与冲击, 2018, 38(6): 1435–1440. DOI: 10.11883/bzycj-2017-0167.

    YAN B J, ZHANG B, GAO Y, et al. Investigation of the propagation modes for gaseous detonation at near-limit condition [J]. Explosion and Shock Waves, 2018, 38(6): 1435–1440. DOI: 10.11883/bzycj-2017-0167.
  • 加载中
图(10)
计量
  • 文章访问数:  809
  • HTML全文浏览量:  219
  • PDF下载量:  103
  • 被引次数: 0
出版历程
  • 收稿日期:  2024-08-13
  • 修回日期:  2025-02-09
  • 网络出版日期:  2025-02-17
  • 刊出日期:  2025-11-05

目录

    /

    返回文章
    返回