• ISSN 1001-1455  CN 51-1148/O3
  • EI、Scopus、CA、JST、EBSCO、DOAJ收录
  • 力学类中文核心期刊
  • 中国科技核心期刊、CSCD统计源期刊

有限长锥体诱导的斜爆轰波非定常结构的数值研究

刘江 归明月 张道平 董刚

刘江, 归明月, 张道平, 董刚. 有限长锥体诱导的斜爆轰波非定常结构的数值研究[J]. 爆炸与冲击, 2025, 45(9): 092101. doi: 10.11883/bzycj-2024-0356
引用本文: 刘江, 归明月, 张道平, 董刚. 有限长锥体诱导的斜爆轰波非定常结构的数值研究[J]. 爆炸与冲击, 2025, 45(9): 092101. doi: 10.11883/bzycj-2024-0356
LIU Jiang, GUI Mingyue, ZHANG Daoping, DONG Gang. Numerical study on unsteady structure of oblique detonation wave induced by a finite cone[J]. Explosion And Shock Waves, 2025, 45(9): 092101. doi: 10.11883/bzycj-2024-0356
Citation: LIU Jiang, GUI Mingyue, ZHANG Daoping, DONG Gang. Numerical study on unsteady structure of oblique detonation wave induced by a finite cone[J]. Explosion And Shock Waves, 2025, 45(9): 092101. doi: 10.11883/bzycj-2024-0356

有限长锥体诱导的斜爆轰波非定常结构的数值研究

doi: 10.11883/bzycj-2024-0356
详细信息
    作者简介:

    刘 江(1999- ),男,硕士研究生,ljiang926@163.com

    通讯作者:

    归明月(1977- ),男,博士,副研究员,mygui@njust.edu.cn

  • 中图分类号: O382

Numerical study on unsteady structure of oblique detonation wave induced by a finite cone

  • 摘要: 基于开源代码OpenFOAM对有限长锥体诱导的斜爆轰波开展了数值模拟,并讨论了爆轰波后流场、波阵面结构和爆轰胞格结构。结果表明,在有限长锥体结构的影响下,爆轰波后流场先后受到Taylor-Maccoll流动和Prandtl-Meyer膨胀波的影响。爆轰波阵面不同位置流线上的压力和马赫数在这2种物理过程及波阵面三波结构的影响下,发生震荡变化,随后趋于稳定。在不同波后流场的影响下,爆轰波阵面结构呈现4种不同的结构:类Zel’dovich- Neumann-Döring (ZND)的光滑结构、类胞格的单三波点结构、胞格的双三波点结构和Prandtl-Meyer影响的双三波点结构。借助激波极曲线理论对三波点附近的波系进行了分析,发现在双三波点结构中,面向来流的三波点具有比面向下游的三波点具有更强的爆轰强度,即更高的马赫数和压力。最后,结合上述分析,绘制了爆轰波阵面的三波点轨迹,得到4种不同的胞格结构:光滑平面结构、平行线结构、斜菱形结构和无规则的斜菱形结构。
  • 图  1  计算区域示意图

    Figure  1.  Schematic of the computational domain

    图  2  自适应加密网格局部图

    Figure  2.  Localized view of the adaptive grids

    图  3  不同网格尺度下的密度云图

    Figure  3.  Density fields with different grid scales

    图  4  不同网格尺度下沿锥体表面的压力变化曲线

    Figure  4.  Pressure along the conical surface with different grid scales

    图  5  有限长锥体诱导的斜爆轰波密度云图

    Figure  5.  Density field of the oblique detonation structure induced by a finite cone

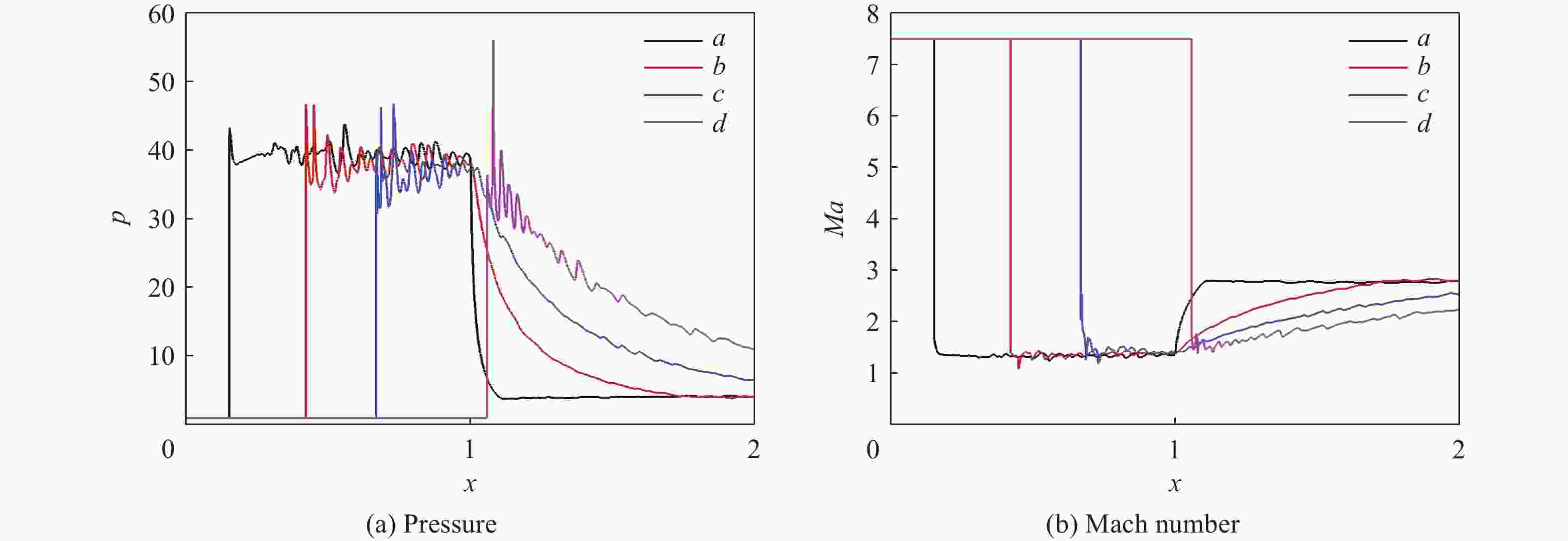
    图  6  沿锥体流线上的压力和马赫数变化曲线

    Figure  6.  Pressure and Mach number along the streamlines with cone

    图  7  AB段波阵面结构局部放大图与极曲线分析

    Figure  7.  Close-up view of wave front structure and polar curves in section AB

    图  8  BC段波阵面结构局部放大图与极曲线分析

    Figure  8.  Close-up view of wave front structure and polar curves in section BC

    图  9  CD段波阵面结构局部放大图与极曲线分析

    Figure  9.  Close-up view of wave front structure and polar curves in section CD

    图  10  Prandtl-Meyer流对斜爆轰波的影响区域

    Figure  10.  Region of influence of Prandtl-Meyer flow on oblique detonation waves

    图  11  DE段局部放大的密度云图

    Figure  11.  Close-up view of density field in section DE

    图  12  斜爆轰波的烟膜数值记录

    Figure  12.  Numerical smoke-foil record of oblique detonation waves

    表  1  初始条件和模型参数[19]

    Table  1.   Initial conditions and model parameters[19]

    v0/(m·s−1) γ p0/Pa T0/K Q/(kJ·g−1) Ea/(kJ·g−1) m/(g·mol−1) Ru/(J·K−1·mol−1)
    2507.9 1.3 101325 300 1.72 2.58 29 8.314
    下载: 导出CSV

    表  2  无量纲化初始条件与模型参数[19]

    Table  2.   Non-dimensional initial conditions and model parameters[19]

    Ma0 γ $\bar p_0 $ $\bar T_0 $ Q/(RT0) Ea/(RT0)
    7.5 1.3 1 1 20 30
    下载: 导出CSV
  • [1] 范宝春, 张旭东, 潘振华, 等. 用于推进的三种爆轰波的结构特征 [J]. 力学进展, 2012, 42(2): 162–169. DOI: 10.6052/1000-0992-2012-2-20120204.

    FAN B C, ZHANG X D, PAN Z H, et al. Fundamental characteristics of three types of detonation waves utilized in propulsion [J]. Advances in Mechanics, 2012, 42(2): 162–169. DOI: 10.6052/1000-0992-2012-2-20120204.
    [2] LI C, KAILASANATH K, ORAN E S. Detonation structures behind oblique shocks [J]. Physics of Fluids, 1994, 6(4): 1600–1611. DOI: 10.1063/1.868273.
    [3] TENG H H, ZHAO W, JIANG Z L. A novel oblique detonation structure and its stability [J]. Chinese Physics Letters, 2007, 24(7): 1985–1988. DOI: 10.1088/0256-307X/24/7/055.
    [4] 归明月, 范宝春. 尖劈诱导的斜爆轰波的精细结构及其影响因素 [J]. 推进技术, 2012, 33(3): 490–494. DOI: 10.13675/j.cnki.tjjs.2012.03.002.

    GUI M Y, FAN B C. Fine structure and its influence factor of wedge-induced oblique detonation waves [J]. Journal of Propulsion Technology, 2012, 33(3): 490–494. DOI: 10.13675/j.cnki.tjjs.2012.03.002.
    [5] TENG H H, JIANG Z L, NG H D. Numerical study on unstable surfaces of oblique detonations [J]. Journal of Fluid Mechanics, 2014, 744(2): 111–128. DOI: 10.1017/jfm.2014.78.
    [6] LIU Y, LIU Y S, WU D, et al. Structure of an oblique detonation wave induced by a wedge [J]. Shock Waves, 2016, 26(2): 161–168. DOI: 10.1007/s00193-015-0600-5.
    [7] LIU Y, HAN X, YAO S, et al. A numerical investigation of the prompt oblique detonation wave sustained by a finite-length wedge [J]. Shock Waves, 2016, 26(6): 729–739. DOI: 10.1007/s00193-016-0626-3.
    [8] YANG L, YUE L, ZHANG Q, et al. Numerical study on the shock/combustion interaction of oblique detonation waves [J]. Aerospace Science and Technology, 2020, 104: 105938. DOI: 10.1016/j.ast.2020.105938.
    [9] 王爱峰, 赵伟, 姜宗林. 斜爆轰的胞格结构及横波传播 [J]. 爆炸与冲击, 2010, 30(4): 349–354. DOI: 10.11883/1001-1455(2010)04-0349-06.

    WANG A F, ZHAO W, JIANG Z L. Cellular structure of oblique detonation and propagation of transverse wave [J]. Explosion and Shock Waves, 2010, 30(4): 349–354. DOI: 10.11883/1001-1455(2010)04-0349-06.
    [10] YANG P, LI H, CHEN Z, et al. Numerical investigation on movement of triple points on oblique detonation surfaces [J]. Physics of Fluids, 2022, 34(6): 066113. DOI: 10.1063/5.0091078.
    [11] YAO K, WANG C, JIANG Z. A numerical study of oblique detonation re-stabilization by expansion waves [J]. Aerospace Science and Technology, 2022, 122: 107409. DOI: 10.1016/j.ast.2022.107409.
    [12] 刘岩, 武丹, 王健平. 低马赫数下斜爆轰波的结构 [J]. 爆炸与冲击, 2015, 35(2): 203–207. DOI: 10.11883/1001-1455(2015)02-0203-05.

    LIU Y, WU D, WANG J P. Structure of oblique detonation wave at low inflow Mach number [J]. Explosion and Shock Waves, 2015, 35(2): 203–207. DOI: 10.11883/1001-1455(2015)02-0203-05.
    [13] ZHANG Z, WEN C, ZHANG W, et al. Formation of stabilized oblique detonation waves in a combustor [J]. Combustion and Flame, 2021, 223: 423–436. DOI: 10.1016/j.combustflame.2020.09.034.
    [14] ZHANG G Q, GAO S F, XIANG G X. Study on initiation mode of oblique detonation induced by a finite wedge [J]. Physics of Fluids, 2021, 33(1): 016102. DOI: 10.1063/5.0035960.
    [15] VERREAULT J, HIGGINS A J. Initiation of detonation by conical projectiles [J]. Proceedings of the Combustion Institute, 2011, 33(2): 2311–2318. DOI: 10.1016/j.proci.2010.07.086.
    [16] KASAHARA J, FUJIWARA T, ENDO T, et al. Chapman-Jouguet oblique detonation structure around hypersonic projectiles [J]. AIAA Journal, 2001, 39(8): 1553–1561. DOI: 10.2514/2.1480.
    [17] 董刚, 范宝春, 李鸿志. 圆锥激波诱导的爆燃和爆轰不稳定性研究 [J]. 兵工学报, 2010, 31(4): 401–408.

    DONG G, FAN B C, LI H Z. An investigation on instability of deflagration and detonation induced by conical shock wave [J]. Acta Armamentarii, 2010, 31(4): 401–408.
    [18] YANG P, NG H D, TENG H, et al. Initiation structure of oblique detonation waves behind conical shocks [J]. Physics of Fluids, 2017, 29(8): 086104. DOI: 10.1063/1.4999482.
    [19] HAN W, WANG C, LAW C K. Three-dimensional simulation of oblique detonation waves attached to cone [J]. Physical Review Fluids, 2019, 4(5): 053201. DOI: 10.1103/PhysRevFluids.4.053201.
    [20] ABISLEIMAN S, SHARMA V, BIELAWSKI R, et al. Structure of three-dimensional conical oblique detonation waves [J]. Combustion and Flame, 2025, 274: 113971. DOI: 10.1016/j.combustflame.2025.113971.
    [21] STURTZER M O, TOGAMI K, YAMASHITA S, et al. Detonation wave generated by a hypervelocity projectile [J]. Heat Transfer Research, 2007, 38(4): 291–297. DOI: 10.1615/HeatTransRes.v38.i4.10.
    [22] 李俊红, 沈清, 程晓丽. 曲面激波诱导斜爆轰的数值模拟 [J]. 推进技术, 2019, 40(11): 2521–2527. DOI: 10.13675/j.cnki.tjjs.190041.

    LI J H, SHEN Q, CHENG X L. Numerical simulation on shock-induced detonation [J]. Journal of Propulsion Technology, 2019, 40(11): 2521–2527. DOI: 10.13675/j.cnki.tjjs.190041.
    [23] MAEDA S, KASAHARA J, MATSUO A. Oblique detonation wave stability around a spherical projectile by a high time resolution optical observation [J]. Combustion and Flame, 2012, 159(2): 887–896. DOI: 10.1016/j.combustflame.2011.09.001.
    [24] 周平, 范宝春, 归明月. 可燃介质中飞行圆球诱导斜爆轰的流场结构 [J]. 爆炸与冲击, 2012, 32(3): 278–282. DOI: 10.11883/1001-1455(2012)03-0278-05.

    ZHOU P, FAN B C, GUI M Y. Flow pattern of oblique detonation induced by a hyperve locity ball in combustible gas [J]. Explosion and Shock Waves, 2012, 32(3): 278–282. DOI: 10.11883/1001-1455(2012)03-0278-05.
    [25] ANDERSON J D. Modern compressible flow: with historical perspective [M]. New York: McGraw-Hill, 1990: 167–371.
    [26] BOURLIOUX A, MAJDA A J. Theoretical and numerical structure for unstable two-dimensional detonations [J]. Combustion and Flame, 1992, 90(3): 211–229. DOI: 10.1016/0010-2180(92)90084-3.
    [27] KURGANOV A, NOELLE S, PETROVA G. Semidiscrete central-upwind schemes for hyperbolic conservation laws and Hamilton-Jacobi equations [J]. SIAM Journal on Scientific Computing, 2001, 23(3): 707–740. DOI: 10.1137/S1064827500373413.
    [28] BADER G, DEUFLHARD P. A semi-implicit mid-point rule for stiff systems of ordinary differential equations [J]. Numerische Mathematik, 1983, 41(3): 373–398. DOI: 10.1007/BF01418331.
    [29] GUI M Y, FAN B C, DONG G. Periodic oscillation and fine structure of wedge-induced oblique detonation waves [J]. Acta Mechanica Sinica, 2011, 27(6): 922–928. DOI: 10.1007/s10409-011-0508-y.
  • 加载中
图(12) / 表(2)
计量
  • 文章访问数:  503
  • HTML全文浏览量:  203
  • PDF下载量:  84
  • 被引次数: 0
出版历程
  • 收稿日期:  2024-09-20
  • 修回日期:  2025-04-02
  • 网络出版日期:  2025-04-08
  • 刊出日期:  2025-09-05

目录

    /

    返回文章
    返回