Numerical study on the influence of trajectory interference characteristics of multiple projectiles underwater launch
- 
					    摘要: 多航行体水下发射过程中,航行体处于复杂多变的流场环境,其运动弹道偏转不仅受初始速度、横流等条件的影响,还受多体间相互干扰效应的制约。为研究多体水下发射的空泡演化与弹道干扰特性,基于重叠网格技术与有限体积法,结合六自由度运动模型,建立了多体水下发射数值仿真模型,系统分析了空间排列方式、发射速度及横流对弹道偏转的影响机制。结果表明:空间排列方式对弹道偏移的影响较小,实际应用中可采用等边三角形排列以优化发射空间利用率;发射速度增大时,航行体尾涡干扰加剧,流场扰动显著增强,导致弹道间相互干扰效应更加明显;横流速度的增加会加剧模型肩部空泡发展的不对称性,当横流速度超过0.75 m/s时,横流成为弹道偏转的主导因素。研究结果可为多体水下发射的弹道预测和布局优化提供理论依据。Abstract: During the underwater launch of multiple projectiles, each projectile operates within a highly complex and dynamic flow field, where its trajectory deflection is influenced by a combination of factors. These factors include initial conditions such as the projectile’s velocity and the presence of crossflow, as well as the mutual interference effects among the projectiles. To gain a deeper understanding of the cavitation evolution and trajectory interference characteristics during the underwater launch of multiple projectiles, this study develops a comprehensive numerical simulation model. The model integrates the overlapping grid technique and the finite volume method and is coupled with a six-degree-of-freedom(6-DOF) motion model. Through this model, the influence mechanisms of spatial arrangement, launch velocity, and crossflow on trajectory deflection are systematically analyzed. The results of this study reveal several important findings. First, the spatial arrangement of the projectiles has a relatively minor impact on trajectory deflection. An equilateral triangular configuration is found to be an optimal choice for practical applications, as it maximizes the efficient utilization of the launch space. Second, as the launch velocity increases, the wake interference between projectiles becomes more pronounced. This intensified interference leads to significant disturbances in the flow field and stronger mutual trajectory interference among the projectiles. Third, higher crossflow velocities exacerbate the asymmetric development of cavitation near the projectile shoulders. When the crossflow velocity exceeds 0.75 m/s, it becomes the dominant factor influencing trajectory deflection. These research findings provide a robust theoretical foundation for trajectory prediction and layout optimization in the underwater launch of multiple projectiles.
- 
									Key words:
									
 - multiple projectiles /
 - trajectory /
 - water exit /
 - cavitation flow field
 
 - 
						
    
    
    
    
    
    
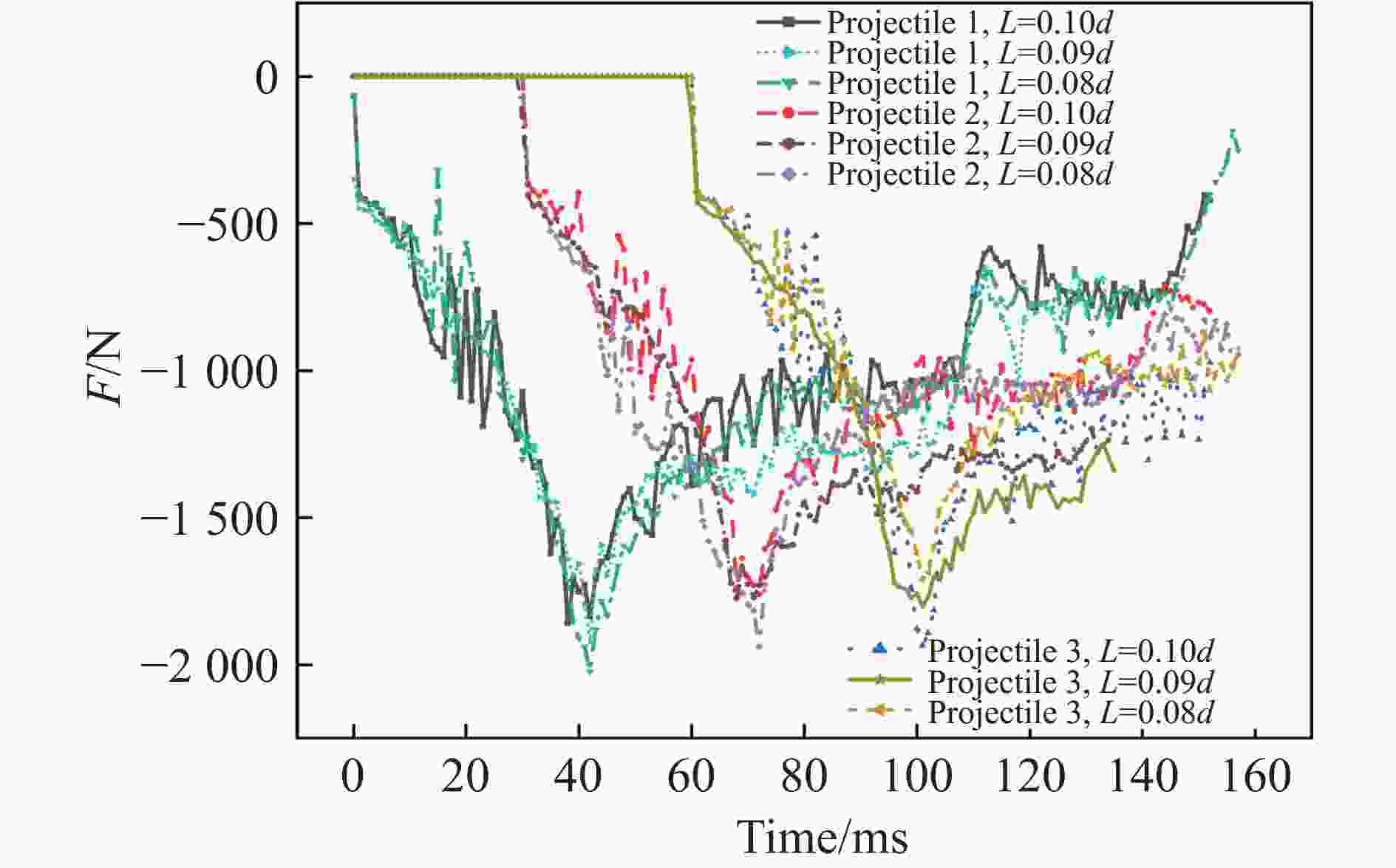
表 1 各航行体所受流场力的峰值大小
Table 1. Peak value of fluid force on various projectiles
Lmesh 所受流场力的峰值/N 与Lmesh =0.10d的误差/% 航行体1 航行体2 航行体3 航行体1 航行体2 航行体3 0.10d 2074 1938 1752 — — — 0.09d 1924 1773 1786 7.23 8.51 1.94 0.08d 1873 1761 1891 9.69 9.13 7.93 表 2 同一水深处(2 500 mm)航行体的弹道偏移
Table 2. Trajectory deviation of projectile at identical water depth (2 500 mm)
排列方式 弹道偏移/mm 航行体1 航行体2 航行体3 x方向 z方向 总偏移 x方向 z方向 总偏移 x方向 z方向 总偏移 等边 −0.24 0.52 0.57 5.11 6.43 8.21 −0.70 0.76 1.03 等腰直角 −0.35 6.84 6.85 12.34 1.56 12.44 −9.01 10.55 13.87 等腰 −4.95 10.89 11.96 3.81 9.11 9.87 −3.14 4.76 5.70 最小偏移 0.57(等边) 8.21(等边) 1.03(等边) 表 3 不同水深、发射速度工况下航行体的弹道偏移
Table 3. Trajectory deviation of projectiles under different water depths and launch velocities
速度/(m·s−1) 弹道偏移/mm 航行体1(hy =3 000 mm) 航行体2(hy =2 500 mm) 航行体3(hy =1 850 mm) x方向 z方向 总偏移 x方向 z方向 总偏移 x方向 z方向 总偏移 36.0 9.07 5.33 10.52 10.55 4.92 11.64 −0.22 4.13 4.14 32.0 1.11 4.73 4.86 2.63 −2.72 3.78 −3.21 2.06 3.81 30.0 15.09 0.46 15.10 5.11 6.43 8.21 −0.60 0.68 0.91 27.0 15.24 −1.24 15.29 −1.08 −7.89 7.96 −2.15 1.35 2.54 25.0 11.65 1.58 11.76 −3.38 0.53 3.42 −3.12 1.53 3.47 22.5 18.34 −0.17 18.34 −3.28 −5.05 6.02 −3.04 0.74 3.13 最大偏移 18.34(22.5 m/s) 11.64(36 m/s) 4.14(36 m/s) 表 4 不同横流速度下航行体的弹道偏移
Table 4. Trajectory deviation of projectiles under different crossflow velocities
横流速度/ 
(m·s−1)弹道偏移/mm 航行体1 航行体2 航行体3 x方向 z方向 总偏移 x方向 z方向 总偏移 x方向 z方向 总偏移 0.50 33.95 −4.11 34.20 −4.60 7.33 8.65 7.36 5.23 9.03 0.75 22.94 −4.59 23.39 40.65 12.25 42.46 10.99 4.78 11.98 1.00 59.98 −32.54 68.24 69.07 −3.13 69.14 19.86 6.23 20.81 最大偏移 68.24 69.14 20.81  - 
						
[1] 王一伟, 黄晨光. 高速航行体水下发射水动力学研究进展 [J]. 力学进展, 2018, 48(1): 201805. DOI: 10.6052/1000-0992-16-020.WANG Y W, HUANG C G. Research progress on hydrodynamics of high speed vehicles in the underwater launching process [J]. Advances in Mechanics, 2018, 48(1): 201805. DOI: 10.6052/1000-0992-16-020. [2] KUNZ R F, BOGER D A, CHYCZEWSKI T S, et al. Multi-phase CFD analysis of natural and ventilated cavitation about submerged bodies [C]//Third ASME/JSME Joint Fluids Engineering Conference. San Francisco: ASME, 1999. [3] KUNZ R F, LINDAU J W, GIBELING H J, et al. Unsteady, three-dimensional multiphase CFD analysis of maneuvering high speed supercavitating vehicles [C]//41st Aerospace Sciences Meeting and Exhibit. Reno: AIAA, 2003. [4] 黄建春, 何友声, 朱世权. 水下高压气体弹射柱体出筒时尾随气泡的数值模拟 [J]. 上海交通大学学报, 1996, 30(1): 49–55. DOI: 10.16183/j.cnki.jsjtu.1996.01.009.HUANG J C, HE Y S, ZHU S Q. Numerical simulation of bubble formation dwring ejection of cylinder from tube by high pressure gas [J]. Journal of Shanghai Jiaotong University, 1996, 30(1): 49–55. DOI: 10.16183/j.cnki.jsjtu.1996.01.009. [5] 殷崇一. 潜射导弹发射与出水载荷研究 [D]. 西安: 西北工业大学, 2004. [6] 张红军, 陆宏志, 裴胤, 等. 潜射导弹出筒过程的三维非定常数值模拟研究 [J]. 水动力学研究与进展, 2010, 25(3): 406–415. DOI: 10.3969/j.issn.1000-4874.2010.03.018.ZHANG H J, LU H Z, PEI Y, et al. Numerical investigation to vertical launching of submarine launching missile [J]. Chinese Journal of Hydrodynamics, 2010, 25(3): 406–415. DOI: 10.3969/j.issn.1000-4874.2010.03.018. [7] 张晓乐, 卢丙举, 胡仁海, 等. 水下航行体垂直发射筒口压力场L/E耦合数值模拟 [J]. 舰船科学技术, 2016, 38(11): 151–155. DOI: 10.3404/j.issn.1672-7619.2016.11.032.ZHANG X L, LU B J, HU R H, et al. L/E coupling numerical simulation of pressure field near launch canister outlet for underwater vehicle vertical launch [J]. Ship Science and Technology, 2016, 38(11): 151–155. DOI: 10.3404/j.issn.1672-7619.2016.11.032. [8] 曹嘉怡, 鲁传敬, 李杰, 等. 潜射导弹水下垂直自抛发射过程研究 [J]. 水动力学研究与进展, 2006, 21(6): 752–759. DOI: 10.3969/j.issn.1000-4874.2006.06.010.CAO J Y, LU C J, LI J, et al. Research on the vertical launching of direct igniting underwater missile [J]. Chinese Journal of Hydrodynamics, 2006, 21(6): 752–759. DOI: 10.3969/j.issn.1000-4874.2006.06.010. [9] 赵一帆. 潜射航行体共架垂直发射流体动力特性研究 [D]. 哈尔滨: 哈尔滨工业大学, 2014. [10] 张素宾, 鲁传敬, 陈鑫. 高速航行体通气空泡形态 [J]. 上海交通大学学报, 2012, 46(2): 329–334. DOI: 10.16183/j.cnki.jsjtu.2012.02.030.ZHANG S B, LU C J, CHEN X. Investigation of ventilated cavity shapes of a high speed underwater vehicle [J]. Journal of Shanghai Jiaotong University, 2012, 46(2): 329–334. DOI: 10.16183/j.cnki.jsjtu.2012.02.030. [11] 王一伟, 黄晨光, 杜特专, 等. 航行体垂直出水载荷与空泡溃灭机理分析 [J]. 力学学报, 2012, 44(1): 39–48. DOI: 10.6052/0459-1879-2012-1-lxxb2011-139.WANG Y W, HUANG C G, DU T Z, et al. Mechanism analysis about cavitation collapse load of underwater vehicles in a vertical launching process [J]. Chinese Journal of Theoretical and Applied Mechanics, 2012, 44(1): 39–48. DOI: 10.6052/0459-1879-2012-1-lxxb2011-139. [12] 任晓庆. 潜射航行体垂直发射过程三维数值模拟 [D]. 哈尔滨: 哈尔滨工业大学, 2015. [13] 姜翼冲. 水下航行体齐射过程流场结构及弹道特性数值研究 [D]. 哈尔滨: 哈尔滨工业大学, 2019. [14] 权晓波, 燕国军, 李岩, 等. 水下航行体垂直发射尾空泡生成演化过程三维数值研究 [J]. 船舶力学, 2014, 18(7): 739–745. DOI: 10.3969/j.issn.1007-7294.2014.07.001.QUAN X B, YAN G J, LI Y, et al. Three-dimensional numerical study on the evolution process of tail bubble of underwater vehicle vertical launching [J]. Journal of Ship Mechanics, 2014, 18(7): 739–745. DOI: 10.3969/j.issn.1007-7294.2014.07.001. [15] 权晓波, 李岩, 魏海鹏, 等. 大攻角下轴对称航行体空化流动特性试验研究 [J]. 水动力学研究与进展, 2008, 23(6): 662–667. DOI: 10.16076/j.cnki.cjhd.2008.06.006.QUAN X B, LI Y, WEI H P, et al. An experiment study on cavitation of underwater vehicle’s surface at large angles of attack [J]. Chinese Journal of Hydrodynamics, 2008, 23(6): 662–667. DOI: 10.16076/j.cnki.cjhd.2008.06.006. [16] CHENG Y S, LIU H. A coupling model of water flows and gas flows in exhausted gas bubble on missile launched underwater [J]. Journal of Hydrodynamics, Ser. B, 2007, 19(4): 403–411. DOI: 10.1016/S1001-6058(07)60133-4. [17] 刘曜, 张永, 胡德斌. 潜射导弹运载器的水弹道控制及近水面航行的稳定性分析 [J]. 弹箭与制导学报, 2005, 25(4): 190–191,197. DOI: 10.3969/j.issn.1673-9728.2005.04.065.LIU Y, ZHANG Y, HU D B. Simulation on capsule’s Trajectory control of submarine launched missile and stability studies of capsule moving near the free surface [J]. Journal of Projectiles, Rockets, Missiles and Guidance, 2005, 25(4): 190–191,197. DOI: 10.3969/j.issn.1673-9728.2005.04.065. [18] 刘曜, 马震宇. 潜载导弹垂直发射水弹道和分离弹道研究 [J]. 船舶工程, 2005, 27(3): 6–9. DOI: 10.3969/j.issn.1000-6982.2005.03.015.LIU Y, MA Z Y. The research on trajectory and hot separation of a vertical submarine launched missile [J]. Ship Engineering, 2005, 27(3): 6–9. DOI: 10.3969/j.issn.1000-6982.2005.03.015. [19] 李国良, 袁湘江, 敖林. 潜射导弹出水载荷数值算法研究 [J]. 力学与实践, 2013, 35(4): 25–30,24. DOI: 10.6052/1000-0879-13-077.LI G L, YUAN X J, AO L. Simulation of under-water launched missile’s water-exit load [J]. Mechanics in Engineering, 2013, 35(4): 25–30,24. DOI: 10.6052/1000-0879-13-077. [20] 贾会霞, 胡俊辉, 施红辉, 等. 出水超空泡的形状与弗劳德数影响的实验研究 [J]. 西安交通大学学报, 2015, 49(3): 67–73. DOI: 10.7652/xjtuxb201503012.JIA H X, HU J H, SHI H H, et al. Experimental research on the shape of water-exit supercavity and the effect of Froude number [J]. Journal of Xi’an Jiaotong University, 2015, 49(3): 67–73. DOI: 10.7652/xjtuxb201503012. [21] 赵蛟龙, 郭百森, 孙龙泉, 等. 细长体倾斜出水的实验研究 [J]. 爆炸与冲击, 2016, 36(1): 113–120. DOI: 10.11883/1001-1455(2016)01-0113-08.ZHAO J L, GUO B S, SUN L Q, et al. Experimental study on oblique water-exit of slender bodies [J]. Explosion and Shock Waves, 2016, 36(1): 113–120. DOI: 10.11883/1001-1455(2016)01-0113-08. [22] 朱睿, 张焕彬, 庄启彬, 等. 跨介质弹体出水稳定性 [J]. 北京理工大学学报, 2023, 43(1): 45–53. DOI: 10.15918/j.tbit1001-0645.2022.031.ZHU R, ZHANG H B, ZHUANG Q B, et al. Water-to-air stability of trans-phase missile [J]. Transactions of Beijing Institute of Technology, 2023, 43(1): 45–53. DOI: 10.15918/j.tbit1001-0645.2022.031. [23] 卢佳兴. 潜射航行体齐射出水流场结构与流体动力特性研究 [D]. 哈尔滨: 哈尔滨工业大学, 2018. [24] 高山, 施瑶, 潘光, 等. 不同通气量下双发航行体水下齐射降载增稳特性研究 [J]. 工程力学, 2024, 41(10): 247–256. DOI: 10.6052/j.issn.1000-4750.2022.08.0699.GAO S, SHI Y, PAN G, et al. Study on load reduction and stability increase characteristics under different ventilation of the submarine-launched salvoed vehicles. [J]. Engineering Mechanics, 2024, 41(10): 247–256. DOI: 10.6052/j.issn.1000-4750.2022.08.0699. [25] 武雨嫣. 潜射航行体齐射出筒过程流场特性分析 [D]. 哈尔滨: 哈尔滨工业大学, 2020. [26] 胡坤. ANSYS CFD入门指南: 计算流体力学基础及应用 [M]. 北京: 机械工业出版社, 2018: 107–109.  - 
						
						
						
						
						
					 

    						
	   			
							
							
下载: