Influence of tunnel structural confinement on shock wave and fireball generated by explosion of a thermobaric explosive in a tunnel
-
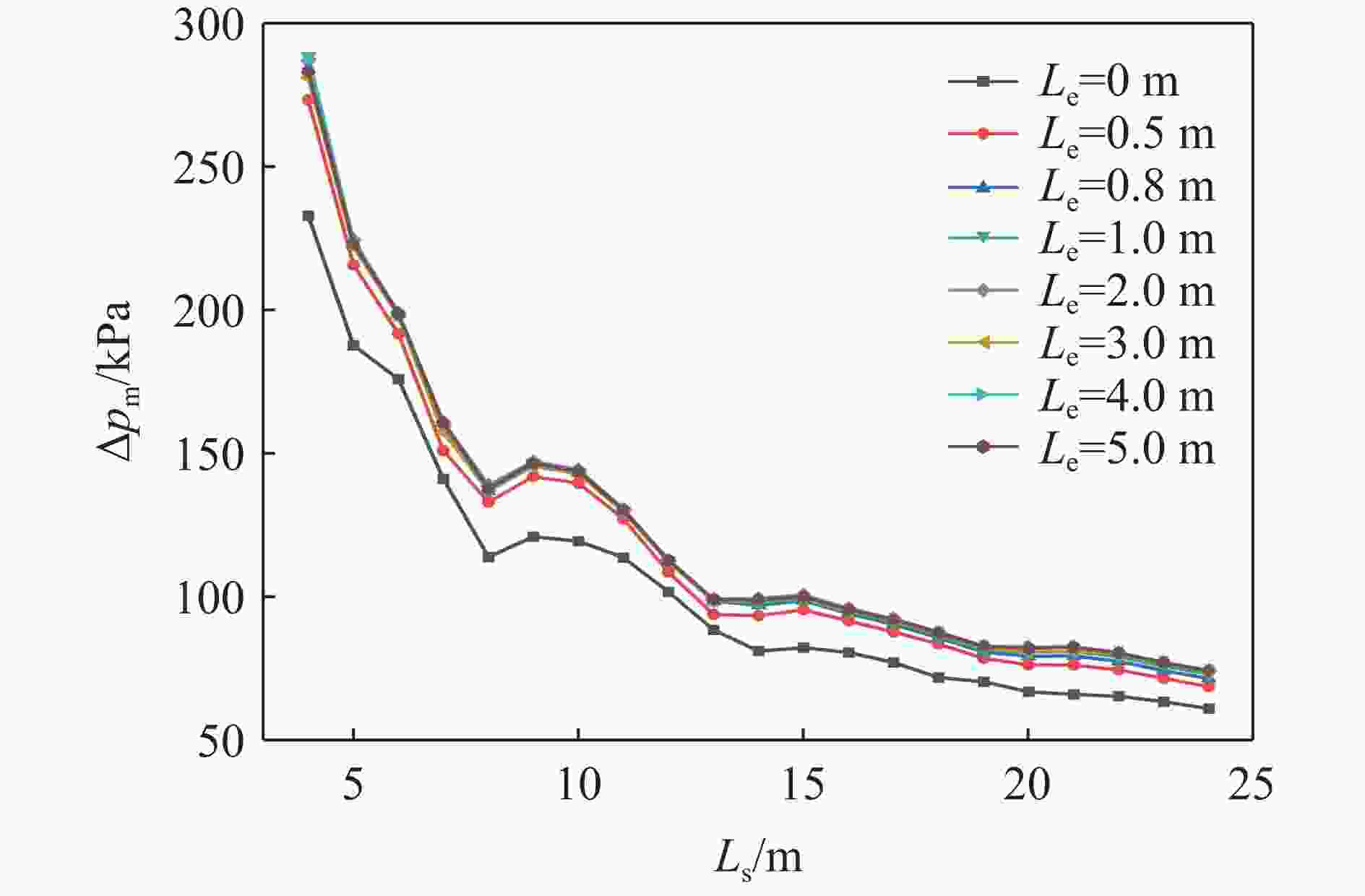
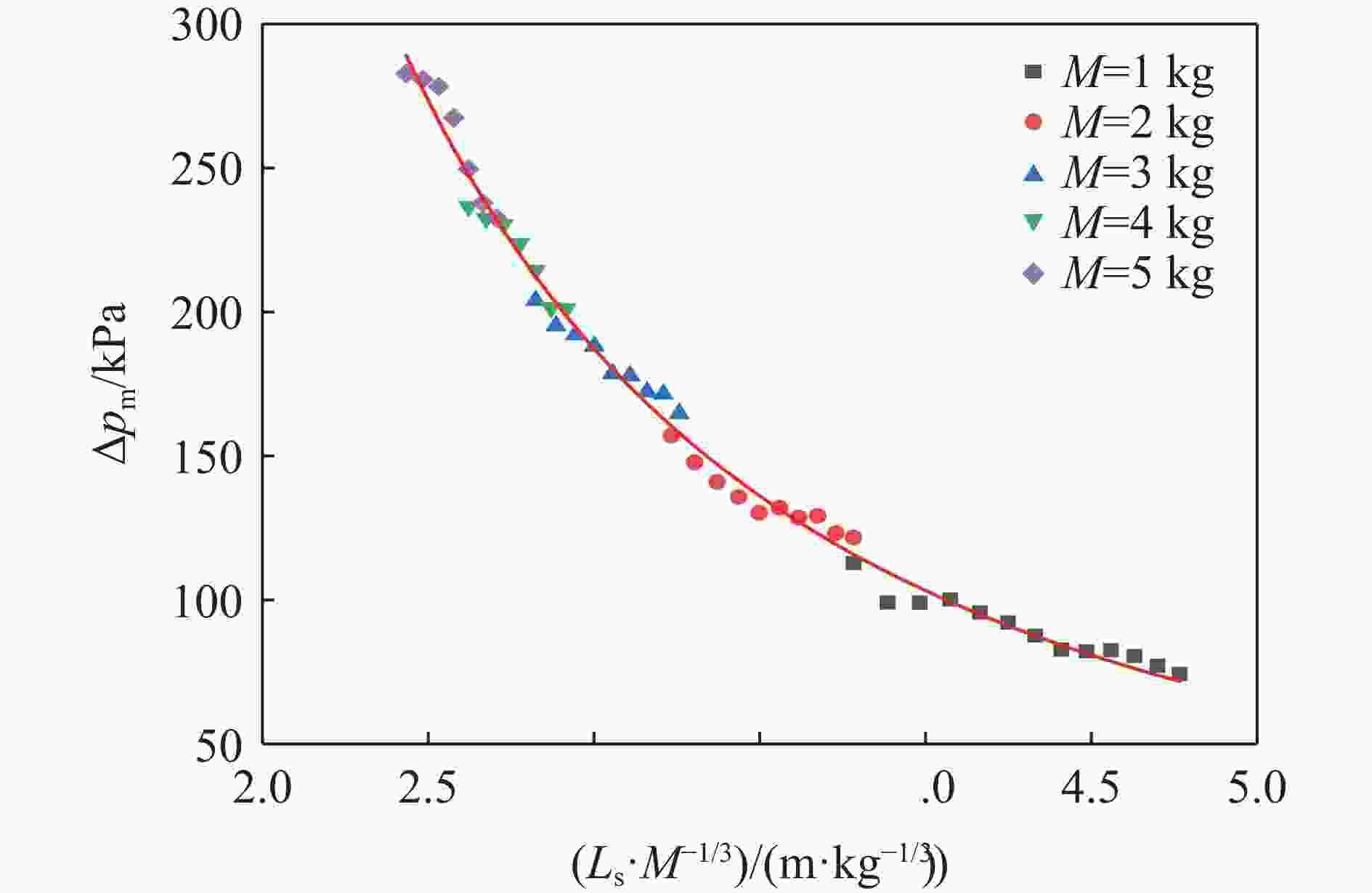
摘要: 为研究温压炸药隧道内爆炸冲击波的传播规律和火团的热效应,基于OpenFOAM开展温压炸药隧道内爆炸数值模拟,与温压炸药隧道内爆炸试验数据对比验证数值模拟精度,研究沿隧道轴线距离、炸药质量对爆炸冲击波传播特性及火团热效应的影响。结果表明:相同装药质量条件下,沿隧道轴线距离大于1/3隧道等效圆直径时,爆炸冲击波超压峰值衰减规律和平面波形成距离不随沿隧道轴线距离变化而变化;冲击波平面波形成后,冲量随沿隧道轴线距离的增大先增大后不变。沿隧道轴线相同距离处爆炸,冲击波形成平面波距离随炸药质量的增加而增大;平面波形成后,冲击波超压峰值衰减规律不受装药质量影响,但冲击波冲量随装药质量的增加而增长。受隧道口泄能效应的影响,隧道内爆炸火团总是向近隧道口方向移动,隧道壁面约束使得火团沿隧道轴线垂直方向发展受限;火团轴线方向出现高温尖端,隧道内轴线方向温度分布具有对称性。进一步建立爆炸火团在不同温度轴线方向传播的最大距离与炸药质量的拟合公式,可预测典型温压炸药隧道内爆炸火球不同温度轴线方向上传播最大距离。Abstract: To investigate the propagation characteristics of blast shock waves and the thermal effects of fireballs in tunnel explosions involving thermobaric explosives, numerical simulations were conducted using OpenFOAM. The simulation accuracy was validated through comparative analysis with experimental data from tunnel explosion tests. The effects of axial distance along the tunnel and explosive mass on shock wave propagation characteristics and fireball thermal effects were systematically studied. The results demonstrate that under identical charge mass conditions when the axial distance exceeds 1/3 of the equivalent tunnel diameter, the attenuation of shock wave overpressure peak and planar wave formation distance remain independent of axial position. After planar wave formation, the impulse increases with axial distance before stabilizing. At the same axial explosion distances, the planar wave formation distance increases with explosive mass. Post planar wave formation, the attenuation pattern of the shock wave overpressure peak remains unaffected by charge mass. In contrast, the impulse exhibits a growth trend proportional to the increase in charge mass. Under the influence of the tunnel portal energy dissipation effect (tunnel effect), explosion-induced fireballs exhibit a consistent propagation tendency toward the proximal tunnel portal. The confinement imposed by tunnel walls restricts the lateral expansion of the fireball perpendicular to the tunnel axis while facilitating the formation of a high-temperature tip along the longitudinal axis. Especially, the temperature distribution along the tunnel axis maintains axial symmetry despite directional propagation biases. A fitting formula was established to characterize the relationship between the maximum axial propagation distance of explosion fireballs at different temperatures and the explosive mass, enabling the prediction of axial spread limits for fireballs at specific temperatures in typical thermobaric explosive detonations within tunnel-confined environments.
-
Key words:
- thermobaric explosive /
- shock wave /
- energy release effect /
- fireball temperature /
- tunnel confinement
-
表 1 JWL状态方程参数的计算结果
Table 1. Computed results of parameters for JWL equation of state
A/GPa B/GPa ω R1 R2 E/GPa EAl/(kJ∙g−1) rAl/(kJ∙g−1∙s−1) 639 4.95 0.33 4.2 1.1 13.3 3.3 930 表 2 冲击波最大超压峰值和冲量的数值模拟结果与试验实测结果的对比
Table 2. Comparison of experimental and simulated results of maximum overpressure peak and impulse of shock wave
Ls/m Δpm I 试验结果/kPa 计算结果/kPa 相对误差/% 试验结果/(kPa·ms) 计算结果/(kPa·ms) 相对误差/% 4.0 278.8 288.2 3.4 598.7 617.0 3.1 6.0 200.9 198.1 1.4 619.7 595.4 3.9 8.0 141.5 137.4 2.9 698.2 712.2 2.0 14.0 93.2 97.9 5.0 740.8 736.7 0.6 16.0 92.9 94.8 2.0 704.8 731.9 3.8 20.0 78.7 80.8 5.3 755.1 746.8 1.1 22.0 73.1 79.1 8.0 702.4 755.1 7.5 表 3 火团在不同温度下的最大传播距离
Table 3. Maximum propagation distances of fireballs at different temperatures
M/kg Lf,m/m Le/m Lf,m/m 1000 K1500 K1000 K1500 K1 3.10 2.83 1.0 2.90 2.65 2 4.60 4.00 2.0 2.92 2.69 3 5.70 5.00 3.0 3.00 2.75 4 6.40 5.60 4.0 3.05 2.80 5 7.10 6.10 5.0 3.10 2.83 -
[1] TÜRKER L. Thermobaric and enhanced blast explosives (TBX and EBX) [J]. Defence Technology, 2016, 12(6): 423–445. DOI: 10.1016/j.dt.2016.09.002. [2] SHIN J, PANG S, KIM W. Enhancing blast mitigation in tunnels with expansion chamber subjected to high explosives detonations for protecting underground facilities [J]. Tunnelling and Underground Space Technology, 2024, 147: 105720. DOI: 10.1016/j.tust.2024.105720. [3] CHEN F, MAO J F, ZHOU J, et al. Thermal environment inside a tunnel after thermobaric explosion [J]. Shock and Vibration, 2017, 2017: 5427485. DOI: 10.1155/2017/5427485. [4] 刘泉, 姚箭, 宋先钊, 等. 初始环境压力对RDX基温压炸药冲击波超压和温度的影响 [J]. 北京理工大学学报, 2024, 44(9): 913–922. DOI: 10.15918/j.tbit.1001-0645.2023.218.LIU Q, YAO J, SONG X Z, et al. Influence of initial ambient pressure on shockwave overpressure and temperature of RDX-based thermobaric explosive [J]. Transactions of Beijing Institute of Technology, 2024, 44(9): 913–922. DOI: 10.15918/j.tbit.1001-0645.2023.218. [5] 李世民, 李晓军, 郭彦朋. 温压炸药自由场爆炸空气冲击波的数值模拟研究 [J]. 爆破, 2011, 28(3): 8–12. DOI: 10.3963/j.issn.1001-487X.2011.03.003.LI S M, LI X J, GUO Y P. Numerical simulation study on airblast of thermobaric explosive explosion in free air [J]. Blasting, 2011, 28(3): 8–12. DOI: 10.3963/j.issn.1001-487X.2011.03.003. [6] 茅靳丰, 陈飞, 侯普民. 温压炸药坑道口部爆炸冲击波毁伤效应研究 [J]. 力学季刊, 2016, 37(1): 184–193. DOI: 10.15959/j.cnki.0254-0053.2016.01.022.MAO J F, CHEN F, HOU P M. Study on shock wave damage effects of thermobaric explosive explosion in tunnel entrance [J]. Chinese Quarterly of Mechanics, 2016, 37(1): 184–193. DOI: 10.15959/j.cnki.0254-0053.2016.01.022. [7] TRZCIŃSKI W A, MAIZ L. Thermobaric and enhanced blast explosives: properties and testing methods [J]. Propellants, Explosives, Pyrotechnics, 2015, 40(5): 632–644. DOI: 10.1002/prep.201400281. [8] 赵新颖, 王伯良, 李席, 等. 温压炸药爆炸冲击波在爆炸堡内的传播规律 [J]. 含能材料, 2016, 24(3): 231–237. DOI: 10.11943/j.issn.1006-9941.2016.03.004.ZHAO X Y, WANG B L, LI X, et al. Shockwave propagation characteristics of thermobaric explosive in an explosion chamber [J]. Chinese Journal of Energetic Materials, 2016, 24(3): 231–237. DOI: 10.11943/j.issn.1006-9941.2016.03.004. [9] 耿振刚, 李秀地, 苗朝阳, 等. 温压炸药爆炸冲击波在坑道内的传播规律研究 [J]. 振动与冲击, 2017, 36(5): 23–29. DOI: 10.13465/j.cnki.jvs.2017.05.005.GENG Z G, LI X D, MIAO C Y, et al. Propagation of blast wave of thermobaric explosive inside a tunnel [J]. Journal of Vibration and Shock, 2017, 36(5): 23–29. DOI: 10.13465/j.cnki.jvs.2017.05.005. [10] 纪玉国, 张国凯, 李干, 等. 坑道内爆炸条件下温压炸药的爆炸特性及其影响因素 [J]. 爆炸与冲击, 2024, 44(3): 032301. DOI: 10.11883/bzycj-2023-0011.JI Y G, ZHANG G K, LI G, et al. Explosion characteristics of thermobaric explosive (TBX) detonated inside a tunnel and the related influential factors [J]. Explosion and Shock Waves, 2024, 44(3): 032301. DOI: 10.11883/bzycj-2023-0011. [11] GOGULYA M F, BRAZHNIKOV M A. Pressure and temperature of the detonation products of explosive materials containing aluminum of various dispersities [J]. Russian Journal of Physical Chemistry B, 2010, 4(5): 773–787. DOI: 10.1134/S19907.93110050131. [12] MAIZ L, TRZCIŃSKI W A, PASZULA J. Optical spectroscopy to study confined and semi-closed explosions of homogeneous and composite charges [J]. Optics and Lasers in Engineering, 2017, 88: 111–119. DOI: 10.1016/j.optlaseng.2016.08.006. [13] 闫潇敏, 苏健军, 李芝绒, 等. 坑道内温压炸药的爆炸热效应研究 [J]. 火工品, 2015(1): 22–25. DOI: 10.3969/j.issn.1003-1480.2015.01.006.YAN X M, SU J J, LI Z R, et al. Experimental study on explosive thermal effect of thermal-baric explosives in tunnel [J]. Initiators and Pyrotechnics, 2015(1): 22–25. DOI: 10.3969/j.issn.1003-1480.2015.01.006. [14] LEE E L, HORNIG H C, KURY J W. Adiabatic expansion of high explosive detonation products: UCRL-50422 [R]. Livermore: University of California Radiation Laboratory at Lawrence, 1968. DOI: 10.2172/4783904. [15] 曹同堂, 周霖, 张向荣, 等. DNAN基熔铸炸药JWL状态方程参数的预估方法 [J]. 北京理工大学学报, 2017, 37(2): 141–145. DOI: 10.15918/j.tbit1001-0645.2017.02.006.CAO T T, ZHOU L, ZHANG X R, et al. A method to predict JWL equation of state parameters for DNAN based melt-cast explosives [J]. Transactions of Beijing Institute of Technology, 2017, 37(2): 141–145. DOI: 10.15918/j.tbit1001-0645.2017.02.006. [16] 陈朗, 冯长根, 赵玉华, 等. 含铝炸药爆轰数值模拟研究 [J]. 北京理工大学学报, 2001, 21(4): 415–419. DOI: 10.3969/j.issn.1001-0645.2001.04.003.CHEN L, FENG C G, ZHAO Y H, et al. Numerical simulations of the detonation of aluminized explosives [J]. Transactions of Beijing Institute of Technology, 2001, 21(4): 415–419. DOI: 10.3969/j.issn.1001-0645.2001.04.003. [17] 薛再清, 徐更光, 王廷增, 等. 用修正的KHT状态方程预报炸药爆轰性能 [J]. 北京理工大学学报, 1998, 18(3): 269–273.XUE Z Q, XU G G, WANG T Z, et al. Using revised KHT equation of state to predict explosives’ detonation property [J]. Journal of Beijing Institute of Technology, 1998, 18(3): 269–273. [18] 项大林, 荣吉利, 李健, 等. 基于KHT程序的RDX基含铝炸药JWL状态方程参数预测研究 [J]. 北京理工大学学报, 2013, 33(3): 239–243. DOI: 10.3969/j.issn.1001-0645.2013.03.005.XIANG D L, RONG J L, LI J, et al. JWL equation of state parameters prediction of RDX-based aluminized explosive based on KHT code [J]. Transactions of Beijing Institute of Technology, 2013, 33(3): 239–243. DOI: 10.3969/j.issn.1001-0645.2013.03.005. [19] 张玉磊, 王胜强, 袁建飞, 等. 方形坑道内爆炸冲击波传播规律 [J]. 含能材料, 2020, 28(1): 46–51. DOI: 10.11943/CJEM2018305.ZHANG Y L, WANG S Q, YUAN J F, et al. Experimental study on the propagation law of blast waves in a square tunnel [J]. Chinese Journal of Energetic Materials, 2020, 28(1): 46–51. DOI: 10.11943/CJEM2018305. [20] BIDABADI M, POORFAR A K, WANG S B, et al. A comparative study of different burning time models for the combustion of aluminum dust particles [J]. Applied Thermal Engineering, 2016, 105: 474–482. DOI: 10.1016/j.applthermaleng.2016.03.022. [21] 张军, 黄含军, 王军评, 等. 炸药驱动式爆炸管的载荷计算 [J]. 装备环境工程, 2021, 18(5): 21–27. DOI: 10.7643/issn.1672-9242.2021.05.004.ZHANG J, HUANG H J, WANG J P, et al. Simulation on the blast load inside the explosively drived shock tube [J]. Equipment Environmental Engineering, 2021, 18(5): 21–27. DOI: 10.7643/issn.1672-9242.2021.05.004. [22] 胡涛, 蒋海燕, 吴国东, 等. 坑道内爆炸平面波形成位置的数值分析 [J]. 火炸药学报, 2023, 46(7): 632–638. DOI: 10.14077/j.issn.1007-7812.202211022.HU T, JIANG H Y, WU G D, et al. Numerical analysis of the formation position of the explosion plane wave in the tunnel [J]. Chinese Journal of Explosives & Propellants, 2023, 46(7): 632–638. DOI: 10.14077/j.issn.1007-7812.202211022. [23] 杨科之, 杨秀敏. 坑道内化爆冲击波的传播规律 [J]. 爆炸与冲击, 2003, 23(1): 37–40. DOI: 10.11883/1001-1455(2003)01-0037-4.YANG K Z, YANG X M. Shock waves propagation inside tunnels [J]. Explosion and Shock Waves, 2003, 23(1): 37–40. DOI: 10.11883/1001-1455(2003)01-0037-4. [24] 奥尔连科 Л П. 爆炸物理学 [M]. 3版. 孙承纬, 译. 北京: 科学出版社, 2011.ОРЛЕНКО Л П. Explosion physics [M]. 3rd ed. SUN C W, trans. Beijing: Science Press, 2011. [25] KANG L M, LIU J P, YAO Y D, et al. Enhancing risk/safety management of HAN-based liquid propellant as a green space propulsion fuel: A study of its hazardous characteristics [J]. Process Safety and Environmental Protection, 2023, 177: 921–931. DOI: 10.1016/j.psep.2023.07.054. [26] LIU W J, BAI C H, LIU Q M, et al. Effect of metal dust fuel at a low concentration on explosive/air explosion characteristics [J]. Combustion and Flame, 2020, 221: 41–49. DOI: 10.1016/j.combustflame.2020.07.025. -


下载: