Calculation model for the thickness limit of high-strength steel-concrete composite structures under the impact of slender thin-walled projectiles
-
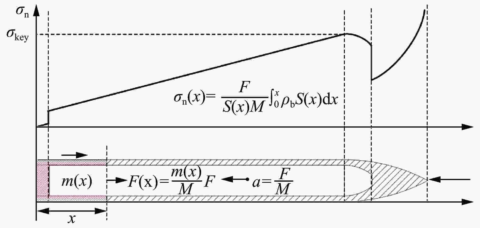
摘要: 针对细长薄壁弹冲击下的高强钢-混凝土复合结构厚度极限计算问题,开展了细长薄壁弹冲击复合靶试验,基于试验结果分析了复合结构防护机理和弹体结构的破坏模式;在原有厚度极限计算模型的基础上,考虑了弹体结构强度这一关键因素,提出了新的厚度极限计算模型,并对相关参数经验性进行了讨论。研究结果表明:高强钢-混凝土复合结构的防护机理在于高强钢提供材料强度,混凝土背板提供支撑刚度,二者优势互补;由于细长薄壁弹体在冲击过程中易发生压缩胀裂破坏,计算模型必须考虑弹体结构强度对冲击效应的影响;复合结构的设计需同时兼顾高强钢力学性能和复合结构厚度极限2个方面。此外,本文计算模型存在参数具有经验性、计算结果偏保守等不足,后续研究还需对该模型加以修正。Abstract: The study aims to solve the problem of calculating the thickness limit of high-strength steel-concrete composite structures under the impact of slender thin-walled projectiles, a key consideration for protective engineering design. A series of impact tests on composite targets were carried out. These targets were composed of different high-strength steel plates and concrete backplates. Slender thin-walled projectiles were launched with a gas gun at controlled velocities, and the impact process were captured by high-speed cameras. The resulting damage to the structures and the failure modes of the projectiles were analyzed using both non-destructive and destructive testing methods. Based on test results, the protective mechanism of the composite structures and the failure modes of projectiles were analyzed. An improved thickness limit calculation model was then developed. Unlike the original model, this new model incorporated the structural strength of slender thin-walled projectiles, considering their wall thickness, material yield strength, and geometric dimensions, and was established based on force equilibrium and energy conservation principles. The results show that the high-strength steel in the composite structures provides material strength to resist penetration, while the concrete backplate offers support stiffness. As slender thin-walled projectiles are prone to compression and expansion cracking during impact, their structural strength must be factored into the calculation model. Moreover, the design of composite structures should consider both the mechanical properties of high-strength steel and the thickness limit. In conclusion, though the proposed model offers a new theoretical approach, it has limitations such as empirical parameters and conservative results. Further research is necessary to refine and enhance the model. The study's findings provide a theoretical basis for the design and application of high-strength steel-concrete composite structures in protective engineering.
-
Key words:
- slender thin-walled projectile /
- high-strength steel /
- concrete /
- composite structure /
- thickness limit
-
表 1 试验值和理论预测值的对比
Table 1. Comparison between the experimental values and the theoretically predicted values
靶体 弹速/(m·s−1) 冲切深度/mm 弹体剩余长度/mm 实测值 理论值 实测值 理论值 5 mm钢-90 mm C60钢筋混凝土 350 − 5.4 − − 10 mm钢-120 mm C60钢筋混凝土 350 3.75 4.3 170.4 172 -
[1] 任辉启, 穆朝民, 刘瑞朝, 等. 精确制导武器侵彻效应与工程防护 [M]. 北京: 科学出版社, 2016: 27–30. [2] 杨秀敏, 邓国强. 常规钻地武器破坏效应的研究现状和发展 [J]. 后勤工程学院学报, 2016, 32(5): 1–9. DOI: 10.3969/j.issn.1672-7843.2016.05.001.YANG X M, DENG G Q. The research status and development of damage effect of conventional earth penetration weapon [J]. Journal of Logistical Engineering University, 2016, 32(5): 1–9. DOI: 10.3969/j.issn.1672-7843.2016.05.001. [3] 赖建中, 何勇, 任辉启. UHPC防护工程材料研究进展 [J]. 防护工程, 2023, 45(1): 1–7. DOI: 10.3969/j.issn.1674-1854.2023.01.001.LAI J Z, HE Y, REN H Q. Progress of UHPC protective engineering material research [J]. Protective Engineering, 2023, 45(1): 1–7. DOI: 10.3969/j.issn.1674-1854.2023.01.001. [4] 徐世烺, 吴平, 周飞, 等. 活性粉末混凝土抗多次侵彻实验研究及数值预测 [J]. 爆炸与冲击, 2021, 41(6): 063301. DOI: 10.11883/bzycj-2020-0165.XU S L, WU P, ZHOU F, et al. Experimental investigation and numerical prediction on resistance of reactive powder concrete to multiple penetration [J]. Explosion and Shock Waves, 2021, 41(6): 063301. DOI: 10.11883/bzycj-2020-0165. [5] 吴平, 周飞, 李庆华, 等. 超高韧性水泥基复合材料—纤维混凝土组合靶体抗两次打击试验研究 [J]. 爆炸与冲击, 2022, 42(3): 033301. DOI: 10.11883/bzycj-2021-0178.WU P, ZHOU F, LI Q H, et al. Experimental study on the resistance of the ultra high toughness cementitious composites material-fiber concrete composite targets subjected to twice projectiles impact [J]. Explosion and Shock Waves, 2022, 42(3): 033301. DOI: 10.11883/bzycj-2021-0178. [6] LAI J Z, WANG H F, YANG H R, et al. Dynamic properties and SPH simulation of functionally graded cementitious composite subjected to repeated penetration [J]. Construction and Building Materials, 2017, 146: 54–65. DOI: 10.1016/j.conbuildmat.2017.04.023. [7] LAI J Z, YANG H R, WANG H F, et al. Properties and modeling of ultra-high-performance concrete subjected to multiple bullet impacts [J]. Journal of Materials in Civil Engineering, 2018, 30(10): 04018256. DOI: 10.1061/(ASCE)MT.1943-5533.0002462. [8] LAI J Z, GUO X J, ZHU Y Y. Repeated penetration and different depth explosion of ultra-high performance concrete [J]. International Journal of Impact Engineering, 2015, 84: 1–12. DOI: 10.1016/j.ijimpeng.2015.05.006. [9] 赖建中, 朱耀勇, 徐升, 等. 超高性能水泥基复合材料抗多次侵彻性能研究 [J]. 爆炸与冲击, 2013, 33(6): 601–607. DOI: 10.11883/1001-1455(2013)06-0601-07.LAI J Z, ZHU Y Y, XU S, et al. Resistance of ultra-high-performance cementitious composites to multiple impact penetration [J]. Explosion and Shock Waves, 2013, 33(6): 601–607. DOI: 10.11883/1001-1455(2013)06-0601-07. [10] BRUHL J C, VARMA A H, JOHNSON W H. Design of composite SC walls to prevent perforation from missile impact [J]. International Journal of Impact Engineering, 2015, 75: 75–87. DOI: 10.1016/j.ijimpeng.2014.07.015. [11] KIM K, LEE K, SHIN J, et al. A study on the resistance of SC walls subjected to missile impact using large-scale impact tests [J]. International Journal of Impact Engineering, 2020, 139: 103507. DOI: 10.1016/j.ijimpeng.2020.103507. [12] KIM K S, MOON I H, CHOI H J, et al. A preliminary study on the local impact behavior of Steel-plate Concrete walls [J]. Annals of Nuclear Energy, 2017, 102: 210–219. DOI: 10.1016/j.anucene.2016.12.006. [13] GUO Q Q, XUE X, GUO C W. Design of steel-concrete composite panels under low-velocity impact: local punching failure [J]. International Journal of Impact Engineering, 2023, 182: 104770. DOI: 10.1016/j.ijimpeng.2023.104770. [14] GUO Q Q, WANG Z Y, CHEN J, et al. Dynamic response and failure mode of steel-concrete composite panels under low-velocity impact [J]. International Journal of Impact Engineering, 2022, 162: 104128. DOI: 10.1016/j.ijimpeng.2021.104128. [15] ZHANG Z, GUO Q Q, DOU X Q, et al. Experimental investigation on the dynamic response of half steel-concrete composite slabs under low-velocity impact [J]. Thin-Walled Structures, 2024, 196: 111451. DOI: 10.1016/j.tws.2023.111451. [16] XU Z, LI Z C, LIU X, et al. An improved formula for perforation of the steel plate reinforced concrete subjected to the rigid missile [J]. Mechanical Engineering Journal, 2020, 7(3): 19–00374. DOI: 10.1299/mej.19-00374. [17] FENG J, LI W B, DING C F, et al. Numerical and analytical investigations on projectile perforation on steel–concrete–steel sandwich panels [J]. Results in Engineering, 2020, 8: 100164. DOI: 10.1016/j.rineng.2020.100164. [18] REMENNIKOV A, GAN E C J, NGO T, et al. The development and ballistic performance of protective steel-concrete composite barriers against hypervelocity impacts by explosively formed projectiles [J]. Composite Structures, 2019, 207: 625–644. DOI: 10.1016/j.compstruct.2018.09.060. [19] CHENG Y H, WU H, JIANG P F, et al. Ballistic resistance of high-strength armor steel against ogive-nosed projectile impact [J]. Thin-Walled Structures, 2023, 183: 110350. DOI: 10.1016/j.tws.2022.110350. [20] CHENG Y H, ZHOU F, WU H, et al. Resistance of composite target against combined effects of large caliber projectile penetration and successive charge explosion [J]. International Journal of Impact Engineering, 2022, 168: 104288. DOI: 10.1016/j.ijimpeng.2022.104288. [21] ZHAI Y X, WU H, FANG Q. Impact resistance of armor steel/ceramic/UHPC layered composite targets against 30CrMnSiNi2A steel projectiles [J]. International Journal of Impact Engineering, 2021, 154: 103888. DOI: 10.1016/j.ijimpeng.2021.103888. [22] 程月华, 吴昊, 谭可可, 等. 装甲钢/UHPC复合靶体抗侵彻性能试验与数值模拟研究 [J]. 爆炸与冲击, 2022, 42(5): 053302. DOI: 10.11883/bzycj-2021-0278.CHENG Y H, WU H, TAN K K, et al. Experimental and numerical studies on penetration resistance of armor steel/UHPC composite target [J]. Explosion and Shock Waves, 2022, 42(5): 053302. DOI: 10.11883/bzycj-2021-0278. [23] 朱擎, 李述涛, 陈叶青, 等. 高强钢-钢筋混凝土复合防护结构厚度极限计算方法 [J]. 力学学报, 2024, 56(7): 2077–2090. DOI: 10.6052/0459-1879-23-209.ZHU Q, LI S T, CHEN Y Q, et al. Calculation of the thickness limit of high-strength steel-reinforced concrete composite protective structures [J]. Chinese Journal of Theoretical and Applied Mechanics, 2024, 56(7): 2077–2090. DOI: 10.6052/0459-1879-23-209. [24] 余同希, 邱信明. 冲击动力学 [M]. 北京: 清华大学出版社, 2011: 193–194. [25] 王礼立. 应力波基础 [M]. 2版. 北京: 国防工业出版社, 2005: 210–272. [26] 屈明, 陈小伟, 陈刚. 细长薄壁弹体撞击钢靶屈曲的数值分析 [J]. 爆炸与冲击, 2008, 28(2): 116–123. DOI: 10.11883/1001-1455(2008)02-0116-08.QU M, CHEN X W, CHEN G. Numerical study on dynamic plastic buckling of deep penetrating projectile [J]. Explosion and Shock Waves, 2008, 28(2): 116–123. DOI: 10.11883/1001-1455(2008)02-0116-08. [27] 陈小伟, 张方举, 徐艾民, 等. 细长薄壁弹体的屈曲和靶体等效分析 [J]. 爆炸与冲击, 2007, 27(4): 296–305. DOI: 10.11883/1001-1455(2007)04-0296-10.CHEN X W, ZHANG F J, XU A M, et al. Buckling analysis of earth penetrating warhead and equivalent conditions of targets [J]. Explosion and Shock Waves, 2007, 27(4): 296–305. DOI: 10.11883/1001-1455(2007)04-0296-10. [28] 陈小伟. 动能深侵彻弹的力学设计(Ⅰ): 侵彻/穿甲理论和弹体壁厚分析 [J]. 爆炸与冲击, 2005, 25(6): 499–505. DOI: 10.11883/1001-1455(2005)06-0499-07.CHEN X W. Mechanics of structural design of EPW (Ⅰ): the penetration/perforation theory and the analysis on the cartridge of projectile [J]. Explosion and Shock Waves, 2005, 25(6): 499–505. DOI: 10.11883/1001-1455(2005)06-0499-07. [29] 陈小伟, 金建明. 动能深侵彻弹的力学设计(Ⅱ): 弹靶的相关力学分析与实例 [J]. 爆炸与冲击, 2006, 26(1): 71–78. DOI: 10.11883/1001-1455(2006)01-0071-08.CHEN X W, JIN J M. Mechanics of structural design of EPW (Ⅱ): analyses on the design of EPW projectiles, concrete targets and example [J]. Explosion and Shock Waves, 2006, 26(1): 71–78. DOI: 10.11883/1001-1455(2006)01-0071-08. [30] 陈小伟, 张方举, 杨世全, 等. 动能深侵彻弹的力学设计(Ⅲ): 缩比实验分析 [J]. 爆炸与冲击, 2006, 26(2): 105–114. DOI: 10.11883/1001-1455(2006)02-0105-10.CHEN X W, ZHANG F J, YANG S Q, et al. Mechanics of structural design of EPW (Ⅲ): investigations on the reduced-scale tests [J]. Explosion and Shock Waves, 2006, 26(2): 105–114. DOI: 10.11883/1001-1455(2006)02-0105-10. [31] 陈小伟, 穿甲/侵彻力学的理论建模与分析-下册 [M]. 北京: 科学出版社, 2019. [32] 焦文俊, 陈小伟. 长杆高速侵彻问题研究进展 [J]. 力学进展, 2019, 49: 201904. DOI: 10.6052/1000-0992-17-021.JIAO W J, CHEN X W. Review on long-rod penetration at hypervelocity [J]. Advances in Mechanics, 2019, 49: 201904. DOI: 10.6052/1000-0992-17-021. [33] 隋树元, 王树山. 终点效应学 [M]. 北京, 国防工业出版社, 2000: 120-165. -


下载: