• ISSN 1001-1455  CN 51-1148/O3
  • EI、Scopus、CA、JST、EBSCO、DOAJ收录
  • 力学类中文核心期刊
  • 中国科技核心期刊、CSCD统计源期刊

反应平衡对TNT约束爆炸准静态压力热力学模型计算结果的影响

黄阳 陈素文 周健

黄阳, 陈素文, 周健. 反应平衡对TNT约束爆炸准静态压力热力学模型计算结果的影响[J]. 爆炸与冲击. doi: 10.11883/bzycj-2025-0027
引用本文: 黄阳, 陈素文, 周健. 反应平衡对TNT约束爆炸准静态压力热力学模型计算结果的影响[J]. 爆炸与冲击. doi: 10.11883/bzycj-2025-0027
HUANG Yang, CHEN Suwen, ZHOU Jian. Influence of reaction equilibrium on thermodynamic model calculations of quasi-static pressure for confined TNT explosions[J]. Explosion And Shock Waves. doi: 10.11883/bzycj-2025-0027
Citation: HUANG Yang, CHEN Suwen, ZHOU Jian. Influence of reaction equilibrium on thermodynamic model calculations of quasi-static pressure for confined TNT explosions[J]. Explosion And Shock Waves. doi: 10.11883/bzycj-2025-0027

反应平衡对TNT约束爆炸准静态压力热力学模型计算结果的影响

doi: 10.11883/bzycj-2025-0027
基金项目: 国家自然科学基金(51678448);学科交叉联合攻关(2023-2-ZD-05);上海市科委“科技创新行动计划”(22dz1202900)
详细信息
    作者简介:

    黄 阳(1999- ),男,博士研究生,2210010@tongji.edu.cn

    通讯作者:

    陈素文(1974- ),女,博士,教授,博士生导师,swchen@tongji.edu.cn

  • 中图分类号: O381

Influence of reaction equilibrium on thermodynamic model calculations of quasi-static pressure for confined TNT explosions

  • 摘要: 约束爆炸准静态压力热力学模型可有效描述压力随当量体积比m/V的变化,并可基于物质组分和温度结果进一步导出气体绝热系数等物理量。然而,基于炸药爆轰和燃烧方程建立的不考虑化学反应平衡的热力学模型,其结果在反应产物中有碳单质析出后与美国UFC 3-340-02结构抗爆规范中的准静态压力曲线出现偏差,且对TNT约束爆炸准静态压力热力学模型中各物理量考虑反应平衡的必要性研究还未见报道。为探究反应平衡对热力学模型计算结果的影响,首先,基于等容过程的能量守恒方程和固体碳析出现象,修正了不考虑反应平衡的热力学模型,提高了模型结果在m/V≥0.371 kg/m3时与UFC曲线的一致性。然后,基于统一的模型求解框架,对比了考虑与不考虑反应平衡的热力学模型结果。研究表明:由于引入化学反应平衡造成的准静态压力最大相对差异小于20%,而固体碳生成时对应的m/V由0.371 kg/m3转变为3.850 kg/m3,温度达到峰值时对应的m/V由0.371 kg/m3转变为0.680 kg/m3,且物质组分和温度结果的差异在m/V>0.1 kg/m3后随m/V的增大逐渐显著。因此,在计算m/V>0.1 kg/m3的TNT约束爆炸工况中与物质组分和温度直接相关的物理量时,有必要采用考虑反应平衡的模型。最后,基于符号回归算法,提出了考虑反应平衡的TNT约束爆炸准静态阶段物质组分、温度和压力的简化计算方法。
  • 图  1  TNT约束爆炸准静态压力的试验结果及对应的UFC曲线

    Figure  1.  Quasi-static pressure from TNT confined explosion experiments and the corresponding UFC curve

    图  2  修正前后准静态压力热力学模型超压结果对比

    Figure  2.  Overpressure result comparison of quasi-static pressure thermodynamic models before and after revision

    图  3  约束爆炸准静态压力热力学模型求解框架

    Figure  3.  The solution framework of thermodynamic quasi-static pressure models for confined explosions

    图  4  反应平衡常数随温度的变化

    Figure  4.  Variation of reaction equilibrium constants with temperature

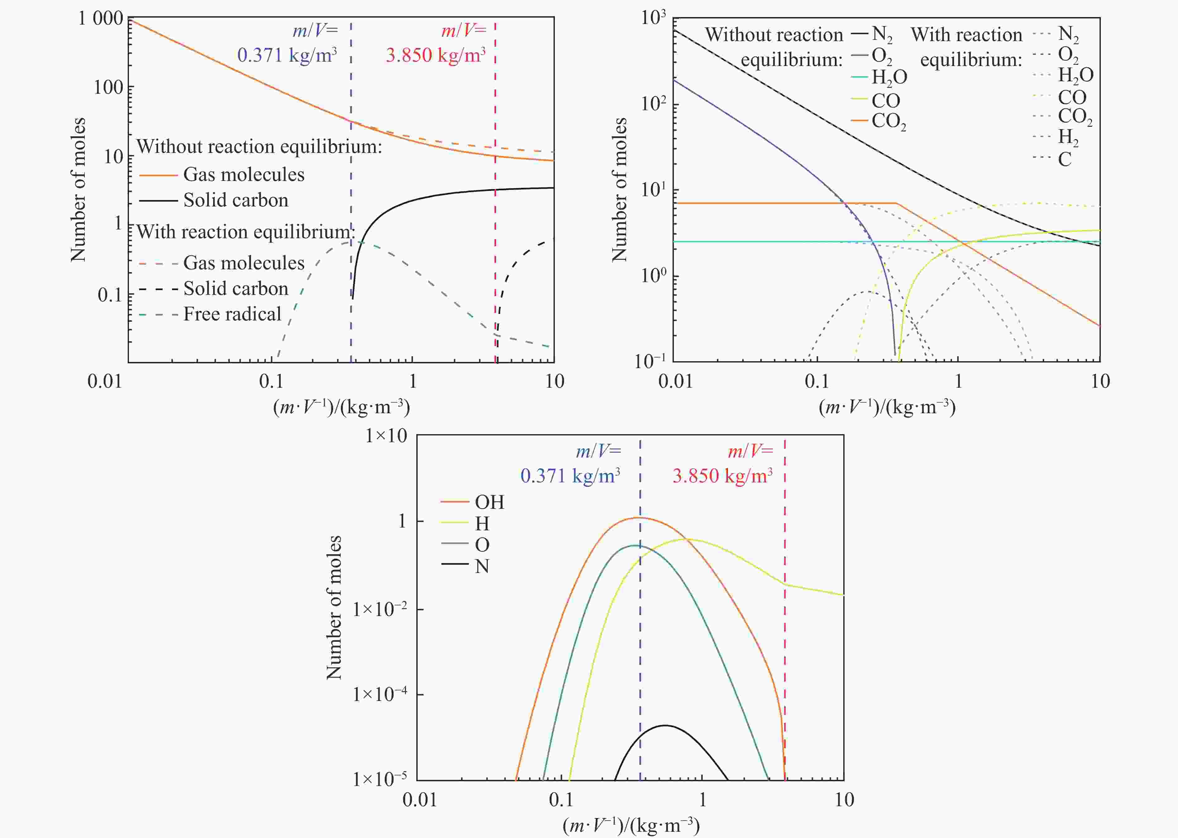
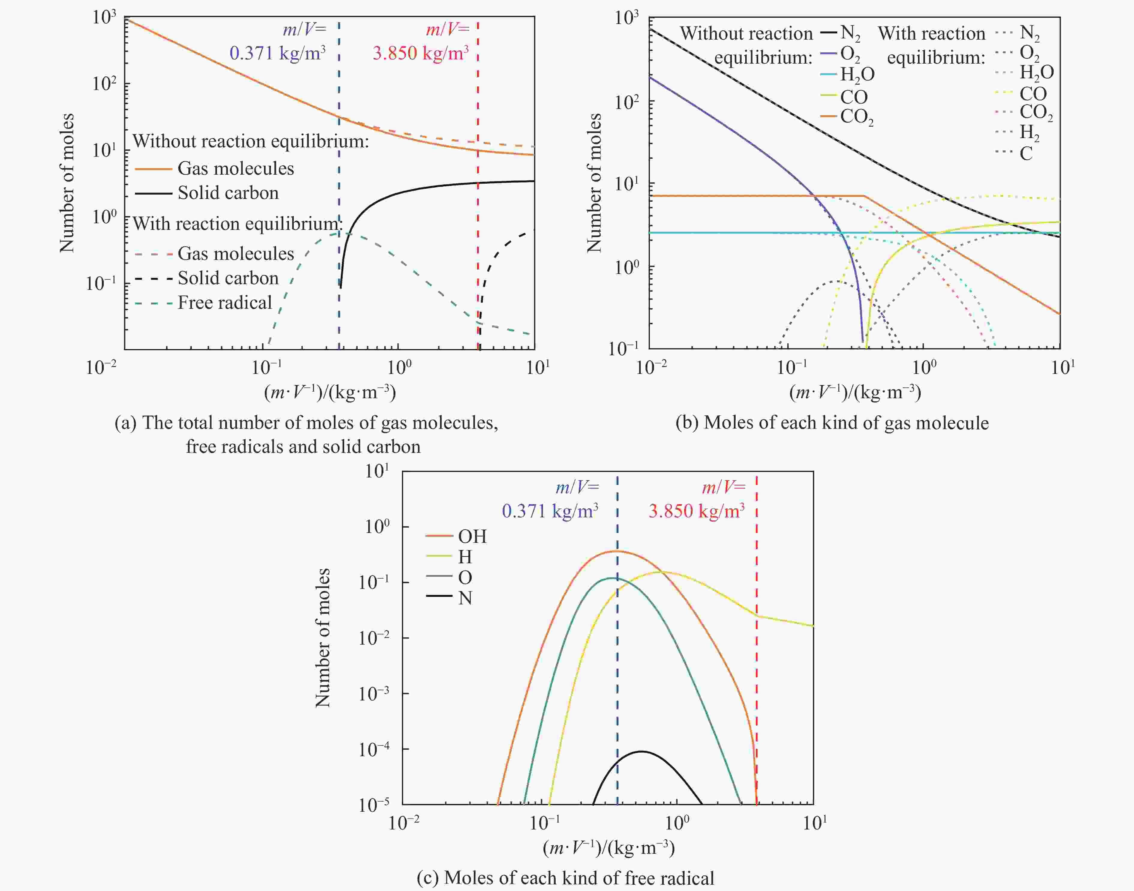
    图  5  生成物摩尔数随当量体积比的变化

    Figure  5.  Variation of product moles versus the mass-to-volume ratio

    图  6  准静态温度的模型结果及与试验结果的对比

    Figure  6.  The model results for adiabatic combustion temperature and comparison with experimental results

    图  7  准静态压力的模型结果及与UFC规范曲线的对比

    Figure  7.  The model results for quasi-static pressure and comparison with the UFC curve

    图  8  热力学模型及简化计算方法的各生成物摩尔数对比

    Figure  8.  Comparison for moles of each product from the thermodynamic model and the simplified method

    图  9  热力学模型及简化计算方法的准静态温度对比

    Figure  9.  Comparison of the adiabatic combustion temperature from thermodynamic models and the simplified method

    图  10  热力学模型及简化计算方法的准静态压力对比

    Figure  10.  Comparison of the quasi-static pressure from thermodynamic models and the simplified method

  • [1] EDRI I, FELDGUN V R, KARINSKI Y S, et al. On blast pressure analysis due to a partially confined explosion: Ⅲ. Afterburning effect [J]. International Journal of Protective Structures, 2012, 3(3): 311–331. DOI: 10.1260/2041-4196.3.3.311.
    [2] KONG X S, ZHOU H, ZHENG C, et al. An experimental study on the mitigation effects of fine water mist on confined-blast loading and dynamic response of steel plates [J]. International Journal of Impact Engineering, 2019, 134: 103370. DOI: 10.1016/j.ijimpeng.2019.103370.
    [3] 李营, 杜志鹏, 陈赶超, 等. 舰艇爆炸毁伤与防护若干关键问题研究进展 [J]. 中国舰船研究, 2024, 19(3): 3–60. DOI: 10.19693/j.issn.1673-3185.03930.

    Li Y, DU Z P, CHEN G C, et al. Fundamental problems in blast-induced damage and protection of naval vessels: a state-of-the-art review [J]. Chinese Journal of Ship Research, 2024, 19(3): 3–60. DOI: 10.19693/j.issn.1673-3185.03930.
    [4] 孔祥韶, 王子棠, 况正, 等. 密闭空间内爆炸载荷抑制效应实验研究 [J]. 爆炸与冲击, 2021, 41(6): 062901. DOI: 10.11883/bzycj-2020-0193.

    KONG X S, WANG Z T, KUANG Z, et al. Experimental study on the mitigation effects of confined-blast loading [J]. Explosion and Shock Waves, 2021, 41(6): 062901. DOI: 10.11883/bzycj-2020-0193.
    [5] GRISARO H Y. Pressure-Impulse diagrams for assessment of structural response due to a fully confined explosion [J]. Engineering Failure Analysis, 2023, 146: 107103. DOI: 10.1016/j.engfailanal.2023.107103.
    [6] WEIBULL H R W. Pressures recorded in partially closed chambers at explosion of TNT charges [J]. Annals of the New York Academy of Sciences, 1968, 152(1): 357–361. DOI: 10.1111/j.1749-6632.1968.tb11987.x.
    [7] ZHANG F, ANDERSON J, YOSHINAKA A. Post-detonation energy release from TNT-aluminum explosives [J]. AIP Conference Proceedings, 2007, 955(1): 885–888. DOI: 10.1063/1.2833268.
    [8] 王等旺, 张德志, 李焰, 等. 爆炸容器内准静态气压实验研究 [J]. 兵工学报, 2012, 33(12): 1493–1497. DOI: 10.3969/j.issn.1000-1093.2012.12.014.

    WANG D W, ZHANG D Z, LI Y, et al. Experiment investigation on quasi-static pressure in explosion containment vessels [J]. Acta Armamentarii, 2012, 33(12): 1493–1497. DOI: 10.3969/j.issn.1000-1093.2012.12.014.
    [9] 张玉磊, 苏健军, 李芝绒, 等. TNT内爆炸准静态压力特性 [J]. 爆炸与冲击, 2018, 38(6): 1429–1434. DOI: 10.11883/bzycj-2017-0170.

    ZHANG Y L, SU J J, LI Z R, et al. Quasi-static pressure characteristic of TNT’s internal explosion [J]. Explosion and Shock Waves, 2018, 38(6): 1429–1434. DOI: 10.11883/bzycj-2017-0170.
    [10] 孔祥韶, 况正, 郑成, 等. 舱室密闭空间中爆炸载荷燃烧增强效应试验研究 [J]. 兵工学报, 2020, 41(1): 75–85. DOI: 10.3969/j.issn.1000-1093.2020.01.009.

    KONG X S, KUANG Z, ZHENG C, et al. Experimental study of afterburning enhancement effect for blast load in confined compartment space [J]. Acta Armamentarii, 2020, 41(1): 75–85. DOI: 10.3969/j.issn.1000-1093.2020.01.009.
    [11] 徐敬博. 舱室内爆载荷作用下结构动态响应相似规律研究 [D]. 武汉: 武汉理工大学, 2019: 32–69. DOI: 10.27381/d.cnki.gwlgu.2019.001805.

    XU J B. Study on similarity laws of dynamic response for structures under blast load in cabin [D]. Wuhan: Wuhan University of Technology, 2019: 32–69. DOI: 10.27381/d.cnki.gwlgu.2019.001805.
    [12] 李营, 张磊, 杜志鹏, 等. 舱内爆炸准静态压力形成机理的研究 [J]. 中国造船, 2020, 61(2): 28–34. DOI: 10.3969/j.issn.1000-4882.2020.02.003.

    LI Y, ZHANG L, DU Z P, et al. Theoretical and experimental study on formation of quasi-static pressure in internal blast [J]. Shipbuilding of China, 2020, 61(2): 28–34. DOI: 10.3969/j.issn.1000-4882.2020.02.003.
    [13] ZHOU H, ZHENG C, YUE X S, et al. TNT equivalency method in confined space based on steel plate deformation [J]. International Journal of Impact Engineering, 2023, 178: 104587. DOI: 10.1016/j.ijimpeng.2023.104587.
    [14] US Department of Defense. UFC 3-340-02 Structures to resist the effects of accidental explosions [S]. Washington: UFC, 2008.
    [15] TYAS A, REAY J J, FAY S D, et al. Experimental studies of the effect of rapid afterburn on shock development of near-field explosions [J]. International Journal of Protective Structures, 2016, 7(3): 452–465. DOI: 10.1177/2041419616665931.
    [16] FEDINA E, FUREBY C. Investigating ground effects on mixing and afterburning during a TNT explosion [J]. Shock Waves, 2013, 23(3): 251–261. DOI: 10.1007/s00193-012-0420-9.
    [17] ZHOU H, YUE X S, ZHENG C, et al. Dynamic behavior of steel plates subjected to confined blast loading considering afterburning effect [J]. International Journal of Impact Engineering, 2024, 188: 104934. DOI: 10.1016/j.ijimpeng.2024.104934.
    [18] KIM C K, MOON J G, LAI M C, et al. Afterburning of TNT explosive products in air with aluminum particles [C]//Proceedings of the 46th AIAA Aerospace Sciences Meeting and Exhibit. Reno: AIAA, 2008: 1029–1039. DOI: 10.2514/6.2008-1029.
    [19] FARRIMOND D G, WOOLFORD S, BARR A D, et al. Experimental studies of confined detonations of plasticized high explosives in inert and reactive atmospheres [J]. Proceedings of the Royal Society A: Mathematical, Physical and Engineering Sciences, 2024, 480(2294): 20240061. DOI: 10.1098/rspa.2024.0061.
    [20] CARLSON R W. Confinement of an explosion by a steel vessel: LA-390 [R]. Los Alamos: LANL, 1945.
    [21] 刘文祥, 张德志, 钟方平, 等. 球形爆炸容器内炸药爆炸形成的准静态气体压力 [J]. 爆炸与冲击, 2018, 38(5): 1045–1050. DOI: 10.11883/bzycj-2017-0056.

    LIU W X, ZHANG D Z, ZHONG F P, et al. Quasi-static gas pressure generated by explosive charge blasting in a spherical explosion containment vessel [J]. Explosion and Shock Waves, 2018, 38(5): 1045–1050. DOI: 10.11883/bzycj-2017-0056.
    [22] FELDGUN V R, KARINSKI Y S, EDRI I, et al. Prediction of the quasi-static pressure in confined and partially confined explosions and its application to blast response simulation of flexible structures [J]. International Journal of Impact Engineering, 2016, 90: 46–60. DOI: 10.1016/j.ijimpeng.2015.12.001.
    [23] KINNEY G F, SEWELL R G S, GRAHAM K J. Peak overpressures for internal blast: NWC TP 6089 [R]. California: Naval Weapons Center, 1979.
    [24] 钟巍, 田宙, 赵阳. 考虑约束爆炸后产物发生化学反应的约束空间内准静态温度计算 [J]. 爆炸与冲击, 2015, 35(6): 777–784. DOI: 10.11883/1001-1455(2015)06-0777-08.

    ZHONG W, TIAN Z, ZHAO Y. Calculation of the quasi-static temperature of confined explosions in consideration of the effect of the chemical reactions with detonation products [J]. Explosion and Shock Waves, 2015, 35(6): 777–784. DOI: 10.11883/1001-1455(2015)06-0777-08.
    [25] 徐维铮, 吴卫国. 密闭空间内爆炸准静态压力理论计算研究 [J]. 中国舰船研究, 2019, 14(5): 124–130. DOI: 10.19693/j.issn.1673-3185.01368.

    XU W Z, WU W G. Study on theoretical calculation of quasi-static pressure for explosion in confined space [J]. Chinese Journal of Ship Research, 2019, 14(5): 124–130. DOI: 10.19693/j.issn.1673-3185.01368.
    [26] EDRI I E, GRISARO H Y, YANKELEVSKY D Z. TNT equivalency in an internal explosion event [J]. Journal of Hazardous Materials, 2019, 374: 248–257. DOI: 10.1016/j.jhazmat.2019.04.043.
    [27] 岳学森, 周沪, 孔祥韶, 等. 舱室内爆载荷燃烧增强效应试验及仿真研究 [J]. 中国舰船研究, 2023, 18(4): 223–232. DOI: 10.19693/j.issn.1673-3185.02708.

    YUE X S, ZHOU H, KONG X S, et al. Experimental and simulation study of afterburning effect for blast load in confined cabin [J]. Chinese Journal of Ship Research, 2023, 18(4): 223–232. DOI: 10.19693/j.issn.1673-3185.02708.
    [28] 岳学森. 舰船舱内爆炸载荷燃烧增强效应及抑制方法研究 [D]. 武汉: 武汉理工大学, 2022. DOI: 10.27381/d.cnki.gwlgu.2022.001554.

    YUE X S. Study on afterburning effect and mitigation method of blast load in confined cabin [D]. Wuhan: Wuhan University of Technology, 2022. DOI: 10.27381/d.cnki.gwlgu.2022.001554.
    [29] Л. П. 奥尔连科. 爆炸物理学(上册) [M]. 3版. 孙承纬, 译. 北京: 科学出版社, 2011: 286–293.

    ОРЛЕНКО Л П. Explosion physics [M]. 3rd ed. SUN C W, trans. Beijing: Science Press, 2011: 286–293.
    [30] MANION J A. NIST chemical kinetics database [DB/OL]. [2024-10-14]. https://webbook.nist.gov/chemistry/name-ser/.
    [31] BUNDY F P, BASSETT W A, WEATHERS M S, et al. The pressure-temperature phase and transformation diagram for carbon; updated through 1994 [J]. Carbon, 1996, 34(2): 141–153. DOI: 10.1016/0008-6223(96)00170-4.
    [32] ORNELLAS D L. Calorimetric detemination of the heat and products of detonation for explosives: October 1961 to April 1982: UCRL-52821 [R]. California: Berkeley Lawrence Livermore Laboratory, 1982.
    [33] 王中友, 李星翰, 甘云丹, 等. 爆热弹中产物组分演化的计算研究 [J]. 火炸药学报, 2022, 45(2): 229–242. DOI: 10.14077/j.issn.1007-7812.202112008.

    WANG Z Y, LI X H, GAN Y D, et al. Study on thermodynamic evolution of detonation products in the detonation bomb test [J]. Chinese Journal of Explosives & Propellants, 2022, 45(2): 229–242. DOI: 10.14077/j.issn.1007-7812.202112008.
    [34] 严传俊, 范玮. 燃烧学 [M]. 2版. 西安: 西北工业大学出版社, 2005.
    [35] ORNELLAS D L. The heat and products of detonation in a calorimeter of CNO, HNO, CHNF, CHNO, CHNOF, and CHNOSi explosives [J]. Combustion and Flame, 1974, 23(1): 37–46. DOI: 10.1016/S0010-2180(74)80025-8.
  • 加载中
图(10)
计量
  • 文章访问数:  293
  • HTML全文浏览量:  64
  • PDF下载量:  41
  • 被引次数: 0
出版历程
  • 收稿日期:  2025-01-24
  • 修回日期:  2025-04-11
  • 网络出版日期:  2025-04-16

目录

    /

    返回文章
    返回