Damage and failure assessment of framed T-beam type RC shed tunnel under rockfall impact
-
摘要: 钢筋混凝土(reinforced concrete, RC)棚洞是山区公路和铁路设施抗落石冲击的有效原位防护手段,利用LS-DYNA商用有限元软件开展了落石冲击无垫层、铺设厚砂垫层以及厚砂-发泡聚乙烯泡沫(expandable polyethylene, EPE)复合缓冲垫层的原型框架T梁式RC棚洞损伤破坏评估的精细化数值模拟分析。首先,建立落石冲击沪昆铁路某原型框架T梁式RC棚洞的精细化有限元模型。其次,通过与落锤(石)冲击无垫层、带砂和EPE垫层RC板试验结果对比,充分验证了数值仿真方法的适用性和可靠性。进一步,对比分析了落石冲击下无垫层、铺设砂和砂-EPE复合垫层棚洞的损伤破坏和动态响应。最后,以落石最大侵入深度达到棚洞顶板与垫层总厚度作为棚洞失效破坏阈值,给出了棚洞失效破坏对应的落石质量与临界冲击速度关系式,实现棚洞防护性能的快速评估。结果表明:(1) 无垫层棚洞的损伤破坏集中于顶板冲击区域,铺设砂垫层以及砂-EPE复合垫层可平均分别降低落石冲击力峰值92.8%和91.6%;(2) 落石冲击速度较小时,砂-EPE复合垫层的缓冲耗能效果优于砂垫层,冲击速度增大后,复合垫层的防护效果不及砂垫层,顶板承受的冲击力和冲击能量较铺设砂垫层分别增大了89.3%和37.8%;(3) 棚洞失效破坏对应的落石临界冲击速度随落石质量增大呈幂函数衰减规律,铺设垫层可使临界冲击速度提高52%~155%,显著提升棚洞的防护性能。Abstract: Reinforced concrete (RC) shed tunnel serves as an effective in-situ solution for rockfall protection along mountainous highways and railways. Using the commercial software LS-DYNA, refined numerical simulations were conducted to investigate the damage and failure assessment of a prototype framed T-beam type RC shed tunnel under rockfall impact. The simulations considered scenarios both with and without cushions, including 600 mm and
1200 mm sand cushions, as well as1200 mm sand-expandable polyethylene (EPE) composite cushion. Firstly, a refined finite element model of a prototype framed T-beam type RC shed tunnel located on the Shanghai-Kunming railway under rockfall impact was developed, of which the rockfall masses ranging from 1 t to 30 t and impact velocities ranging from 10 m/s to 57 m/s. Secondly, by comparing with the results of existing impact tests on bare RC slab, as well as RC slabs with sand and EPE cushions, the accuracy and reliability of the adopted material constitutive model, mesh size, contact algorithm, and corresponding parameters of the finite element model were validated. Furthermore, the damage patterns and dynamic responses of the prototype shed tunnel without cushion, with sand cushion, and with sand-EPE composite cushion were compared and analyzed. Finally, taking the maximum penetration depth of the rockfall reaching the total thickness of the roof slab and cushion as the failure threshold of the shed tunnel, the corresponding relationship between the rockfall mass and the critical impact velocity was established, which enabled rapid assessment of protective performance of shed tunnel. It indicates that: (1) Under the impact of a 15 t rockfall at velocities of 10 m/s and 25 m/s, the damage to the shed tunnel without cushion is primarily concentrated in the impact area of the roof slab. On average, the use of sand cushion and sand-EPE composite cushion reduces the peak impact force by 92.8% and 91.6%, respectively; (2) At impact velocity of 10 m/s, the sand-EPE composite cushion exhibits superior buffering and energy dissipation performance compared to the sand cushion. However, with impact velocity increasing to 25 m/s, the EPE in the composite cushion is rapidly compacted, leading to a diminished protective effect. In this scenario, the impact force and energy transferred to the roof slab with the composite cushion are 89.3% and 37.8% higher than those with the sand cushion, respectively; (3) The critical impact velocity of rockfall corresponding to the failure damage of the shed tunnel follows an exponential decay trend as the rockfall mass increases. The application of cushions can increase the critical impact velocity by 52% to 155%, significantly improving the protective performance of the shed tunnel.-
Key words:
- framed RC shed tunnel /
- rockfall impact /
- damage and failure /
- sand cushion /
- sand-EPE composite cushion
-
表 1 混凝土本构模型参数
Table 1. Constitutive model parameters of concrete
参数类别 特征值 混凝土强度等级 C25 C30 C35 模量参数 剪切模量G/MPa 8199 8981 9701 体积模量K/MPa 10932 11975 12935 剪切破坏面参数 三轴压缩面常数项α/MPa 4.80 5.92 7.10 三轴压缩面线性项θ 0.3511 0.3503 0.3494 三轴压缩面非线性项λ/MPa 1.3393 1.9765 2.6808 三轴压缩面指数项β/MPa−1 0.1118 0.0820 0.0631 扭转面常数项α1 0.82 0.82 0.82 扭转面线性项θ1/MPa−1 0 0 0 扭转面非线性项λ1 0.2407 0.2407 0.2407 扭转伸面指数项β1/MPa−1 0.0193 0.0162 0.0140 三轴拉伸面常数项α2 0.76 0.76 0.76 三轴拉伸面线性项θ2/MPa−1 0 0 0 三轴拉伸面非线性项λ2 0.26 0.26 0.26 三轴拉伸面指数项β2/MPa−1 0.0166 0.0140 0.0121 帽盖函数参数 帽盖椭圆度比R 2.74 2.51 2.34 帽盖初始位置X0/MPa 54.927 62.495 70.063 最大塑性体积应变W 0.065 0.065 0.065 线性形状参数D1/MPa−1 6.11×10−4 6.11×10−4 6.11×10−4 二次项形状参数D2/MPa−2 2.23×10−6 2.23×10−6 2.23×10−6 损伤参数 压缩断裂能/(MPa·mm) 3.19 3.62 4.04 延性软化参数B 20 20 20 脆性软化参数D 0.1 0.1 0.1 拉伸断裂能/(MPa·mm) 0.0638 0.0725 0.0808 剪切断裂能/(MPa·mm) 0.0638 0.0725 0.0808 剪-压过渡段参数 5 5 5 剪-拉过渡段参数 1 1 1 中等压力修正软化参数 4.8 4.8 4.8 应变率效应参数 压缩应变率参数η0c 1.34×10−4 1.15×10−4 1.05×10−4 压缩应变率指数项参数Nc 0.78 0.78 0.78 拉伸应变率参数η0t 1.15×10−5 1.10×10−5 1.05×10−5 拉伸应变率指数项参数Nt 0.36 0.36 0.36 最大允许压缩过应力OVERC/MPa 18.83 19.57 20.72 最大允许拉伸过应力OVERT/MPa 18.83 19.57 20.72 剪切与拉伸有效流动系数比值 1 1 1 断裂能应变率指数参数 1 1 1 参数 剪切模量G/Pa 卸载体积模量Ku/Pa 塑性屈服函数常数项a0/Pa2 塑性屈服函数线性项a1/Pa 塑性屈服函数二次项a2 7.69×107 3×108 1.76×107 5820 0.48 表 3 冲击工况
Table 3. Impact scenarios
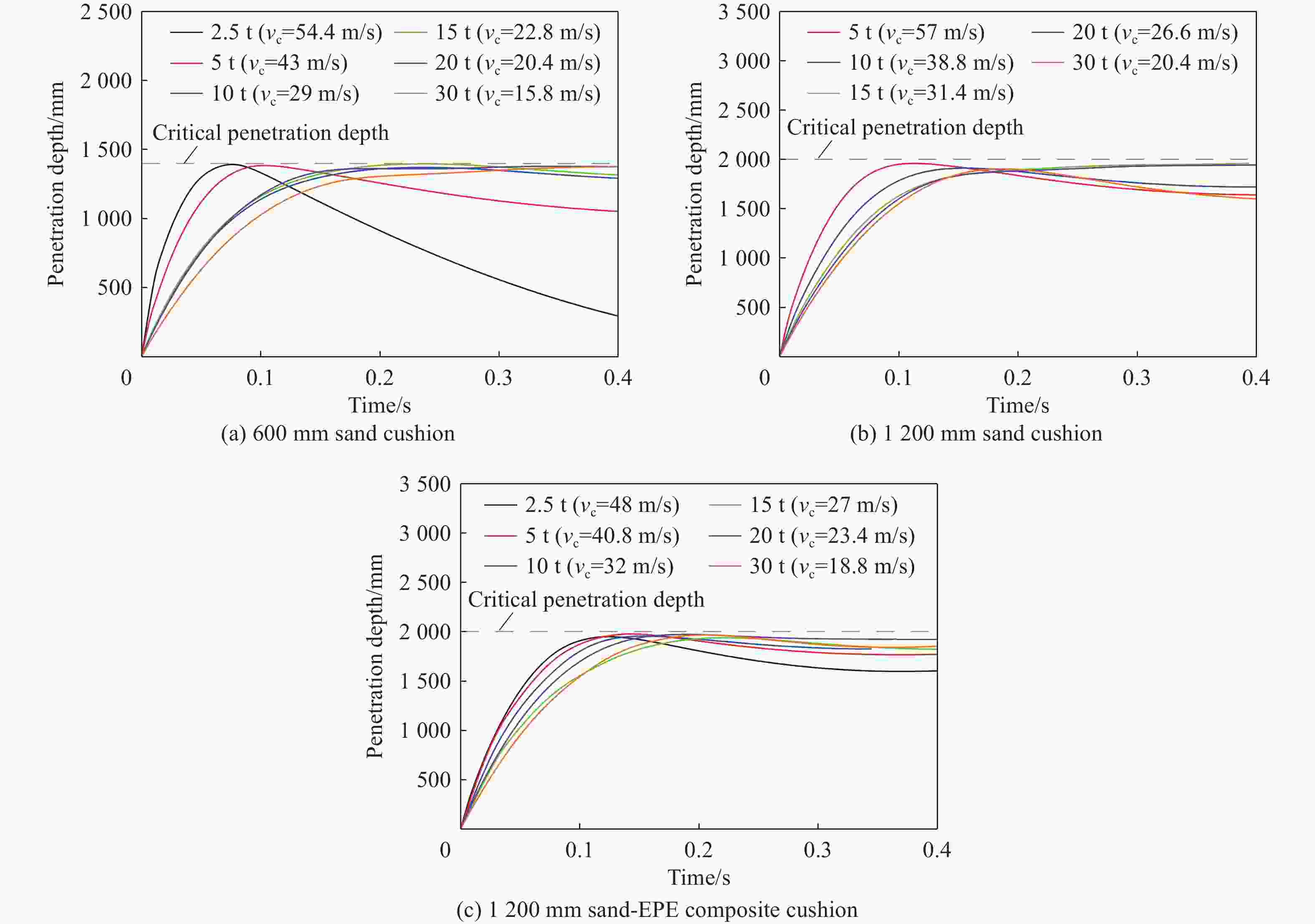
工况编号 垫层类型 落石质量/t 冲击速度/(m·s−1) V10-1 无垫层 15 10 V10-2 砂垫层 15 10 V10-3 砂-EPE复合垫层 15 10 V25-1 无垫层 15 25 V25-2 砂垫层 15 25 V25-3 砂-EPE复合垫层 15 25 表 4 不同质量落石冲击RC棚洞的临界冲击速度和最大侵入深度
Table 4. Critical impact velocities and maximal penetration depth of rockfall with different masses impacting RC shed tunnel
落石质量/t 无垫层 600 mm砂垫层 1 200 mm砂垫层 砂-EPE复合垫层 临界冲击
速度/(m·s−1)落石最大侵入
深度/mm临界冲击
速度/(m·s−1)落石最大侵入
深度/mm临界冲击
速度/(m·s−1)落石最大侵入
深度/mm临界冲击
速度/(m·s−1)落石最大侵入
深度/mm1.0 46.2 788 - - - - - - 2.5 30.0 789 54.4 1392 - - 48.0 1948 5.0 22.4 739 43.0 1384 57.0 1960 40.8 1976 10.0 17.2 757 29.0 1370 38.8 1912 32.0 1955 15.0 15.0 756 22.8 1396 31.4 1961 27.0 1938 20.0 12.6 739 20.4 1382 26.6 1951 23.4 1972 30.0 10.0 768 15.8 1376 20.4 1903 18.8 1967 -
[1] VOLKWEIN A, SCHELLENBERG K, LABIOUSE V, et al. Rockfall characterisation and structural protection-a review [J]. Natural Hazards and Earth System Sciences, 2011, 11: 2617–2651. DOI: 10.5194/nhess-11-2617-2011. [2] 四川省市场监督管理局. 公路明(棚)洞勘察设计指南: DB51/T 2599-2019 [S]. 成都: 西南交通大学出版社, 2019. [3] HO T S, MASUYA H, TAKASHITA N. Experimental study concerning impact characteristics by collision of weight on sand cushion over steel beam [J]. International Journal of Geomate, 2013, 4(1): 471–476. DOI: 10.21660/2013.7.2112. [4] BHATTI A Q. Falling-weight impact response for prototype RC type rock-shed with sand cushion [J]. Materials and Structures, 2014, 48(10): 3367–3375. DOI: 10.1617/s11527-014-0405-5. [5] ZHAO P, YUAN S, Li L P, et al. Experimental study on the multi-impact resistance of a composite cushion composed of sand and geofoam [J]. Geotextiles and Geomembranes, 2021, 49: 45–56. DOI: 10.1016/j.geotexmem.2020.09.004. [6] SPADARI M, KARDANI M, CARTERET R D, et al. Statistical evaluation of rockfall energy ranges for different geological settings of New South Wales, Australia [J]. Engineering Geology, 2013, 158: 57–65. DOI: 10.1016/j.enggeo.2013.03.007. [7] 汪蛟龙. 彻底关断桥事故调查: 击断桥墩的巨石重达 200 吨 [EB/OL]. (2009-07-28) [2024-08-16]. http://news.cctv.com/china/20090728/109292.shtml.WANG J L. Investigation of the Chediguan bridge collapse accident: The boulder that broke the bridge pier weighed up to 200 tons[EB/OL]. (2009-07-28) [2024-08-16]. http://news.cctv.com/china/20090728/109292.shtml. [8] WYLLIE D C. Rock Fall Engineering [M]. Boca Raton: CRC Press, Taylor and Francis Group, 2014. [9] 袁松, 郑国强, 张生, 等. 汶川地震后10年公路明(棚)洞病害及处治工程的启示 [J]. 隧道建设, 2019, 39(8): 1372–1379. DOI: 10.3973/j.issn.2096-4498.2019.08.020.YUAN S, ZHENG G Q, ZHANG S, et al. Lessons learnt from disease and treatment engineering of opencut (shed) tunnels in 10-years after Wenchuan Earthquake [J]. Tunnel Construction, 2019, 39(8): 1372–1379. DOI: 10.3973/j.issn.2096-4498.2019.08.020. [10] KISHI N, KONNO H, IKEDA K, et al. Prototype impact tests on ultimate impact resistance of PC rock-sheds [J]. International Journal of Impact Engineering, 2002, 27(9): 969–985. DOI: 10.1016/S0734-743X(02)00019-2. [11] ZHAO P, XIE L Z, LI L P, et al. Large-scale rockfall impact experiments on a RC rock-shed with a newly proposed cushion layer composed of sand and EPE [J]. Engineering Structures, 2018, 175: 386–398. DOI: 10.1016/j.engstruct.2018.08.046. [12] YU B X, ZHOU X J, TANG J H, et al. Impact resistance performance and optimization of the sand-EPE composite cushion in rock sheds [J]. Journal of Mountain Science, 2024, 21(2): 676–689. DOI: 10.1007/s11629-023-8403-0. [13] DELHOMME F, MOMMESSIN M, MOUGIN J P, et al. Behavior of a structurally dissipating rock-shed: experimental analysis and study of punching effects [J]. International Journal of Solids and Structures, 2005, 42(14): 4204–4219. DOI: 10.1016/j.ijsolstr.2004.12.008. [14] OTHMAN H, MARZOUK H. An experimental investigation on the effect of steel reinforcement on impact response of reinforced concrete plates [J]. International Journal of Impact Engineering, 2016, 88: 12–21. DOI: 10.1016/j.ijimpeng.2015.08.015. [15] XIAO Y, LI B, FUJIKAKE K. Behavior of reinforced concrete slabs under low-velocity impact [J]. ACI Structural Journal, 2017, 114(3): 643–658. DOI: 10.14359/51689565. [16] ZHONG H N, YU L, YU Z X, et al. Study on mechanical behavior of rockfall impacts on a shed slab based on experiment and SPH–FEM coupled method [J]. Structures, 2021, 33: 1283–1298. DOI: 10.1016/j.istruc.2021.05.021. [17] ZHAO H, LYU Z P, LIU H Y. Numerical simulation of a shed-tunnel structure’s dynamic response to repeated rockfall impacts using the finite element-smoothed particle hydrodynamics method [J]. Buildings, 2024, 14: 3143. DOI: 10.3390/buildings14103143. [18] 王爽, 周晓军, 姜波, 等. 落石冲击下隧道大跨度棚洞的动力响应数值分析与抗冲击研究 [J]. 爆炸与冲击, 2016, 36(4): 548–556. DOI: 10.11883/1001-1455(2016)04-0548-09.WANG S, ZHOU X J, JIANG B, et al. Numerical analysis of dynamic response and impact resistance of a large-span rock shed in a tunnel under rockfall impact [J]. Explosion and Shock Waves, 2016, 36(4): 548–556. DOI: 10.11883/1001-1455(2016)04-0548-09. [19] 王东坡, 周良坤, 裴向军, 等. 滚石冲击棚洞砂土垫层物理模型试验及数值模拟研究 [J]. 振动与冲击, 2020, 39(18): 195–202. DOI: 10.13465/j.cnki.Jvs.2020.18.026.WANG D P, ZHOU L K, PEI X J, et al. Experimental and numerical study on rockfall impacts on sand-soil cushions [J]. Journal of Vibration and Shock, 2020, 39(18): 195–202. DOI: 10.13465/j.cnki.Jvs.2020.18.026. [20] 王星, 任博, 王庆, 等. 落石冲击砂土-EPE-棚洞顶板的精细化动力响应模拟 [J]. 北京交通大学学报, 2022, 46(3): 118–127. DOI: 10.11860/j.issn.1673-0291.20210099.WANG X, REN B, WANG Q, et al. Refined dynamic response simulation of sand-EPE-tunnel shed roof with rockfall impact [J]. Journal of Beijing Jiaotong University, 2022, 46(3): 118–127. DOI: 10.11860/j.issn.1673-0291.20210099. [21] 李瑞文, 陈洋, 吴昊, 等. 落石撞击下铺设砂石-EPE复合垫层钢筋混凝土棚洞的损伤破坏分析 [J]. 工程力学, 2024, https://link.cnki.net/urlid/11.2595.O3.20240428.0958.002. DOI: 10.6052/j.issn.1000-4750.2023.12.0944.LI R W, CHEN Y, WU H, et al. Damage and failure analysis of reinforced concrete sheds with sand-EPE composite cushion under rockfall impacts [J]. Engineering Mechanics, 2024, https://link.cnki.net/urlid/11.2595.O3.20240428.0958.002. DOI: 10.6052/j.issn.1000-4750.2023.12.0944. [22] OTHMAN H, MARZOUK H. Finite-Element analysis of reinforced concrete plates subjected to repeated impact loads [J]. Journal of Structural Engineering, 2017, 143(9): 04017120. DOI: 10.1061/(ASCE)ST.1943-541X.0001852. [23] CALVETTI F, PRISCO C, VECCHIOTTI M. Experimental and numerical study of rock-fall impacts on granular soils [J]. Rivista Italiana Di Geotecnica, 2005, 4(4): 95–109. [24] 王东坡, 易雪斌, 周良坤, 等. 滚石冲击EPE-砂土复合垫层明洞动力响应研究 [J]. 振动与冲击, 2022, 41(23): 201–210. DOI: 10.13465/j.cnki.jvs.2022.23.0.24.WANG D P, YI X B, ZHOU L K, et al. Dynamic response of open cut tunnel with EPE-sand composite cushion under rolling stone impact [J]. Journal of Vibration and Shock, 2022, 41(23): 201–210. DOI: 10.13465/j.cnki.jvs.2022.23.0.24. [25] ZHANG N, LI R W, WU H. Assessment on concrete constitutive models for numerical simulations of vehicular collisions with RC bridge piers [J]. Structures, 2023, 53: 1582–1599. DOI: 10.1016/j.istruc.2023.05.037. [26] WANG W, MORGENTHAL G. Dynamic analyses of square RC pier column subjected to barge impact using efficient models [J]. Engineering Structures, 2017, 151: 20–32. DOI: 10.1016/j.engstruct.2017.08.003. [27] HENG K, LI R W, LI Z R, et al. Dynamic responses of highway bridge subjected to heavy truck impact [J]. Engineering Structures, 2021, 232: 111828. DOI: 10.1016/j.engstruct.2020.111828. [28] LI Z C, JIA P C, JIA J Y, et al. Impact-resistant design of RC slabs in nuclear power plant buildings [J]. Nuclear Engineering and Technology, 2022, 54(10): 3745–3765. DOI: 10.1016/j.net.2022.05.027. [29] 王海生, 张锦华, 陈力, 等. 落石冲击砂垫层的动力响应数值分析 [J]. 振动与冲击, 2022, 41(6): 86–96+212. DOI: 10.13465/j.cnki.jvs.2022.06.012.WANG H S, ZHANG J H, CHEN L, et al. Numerical investigation on the dynamic responses of rockfall impact onto a sand cushion [J]. Journal of Vibration and Shock, 2022, 41(6): 86–96+212. DOI: 10.13465/j.cnki.jvs.2022.06.012. [30] Guideline for European technical approval of falling rock protection kits: ETAG 027 [S]. Brussels: European Organization for Technical Approvals: 2008. [31] CHEN L W, WU H, FANG Q, et al. Numerical analysis of collision between a tractor-trailer and bridge pier [J]. International Journal of Protective Structures, 2018, 9(4): 484–503. DOI: 10.1177/2041419618775124. [32] LSTC. LS-DYNA keyword user’s manual [M]. California: Livermore Software Technology Corporation (LSTC), 2013. [33] YUEN T Y P, WENG M C, FU Y Y, et al. Assessing the impact of rockfall on a bridge by using hybrid DEM/FEM analysis: A case study in Central Taiwan [J]. Engineering Geology, 2023, 314: 107000. DOI: 10.1016/j.enggeo.2023.107000. [34] 中华人民共和国交通运输部. 公路隧道设计规范 第一册 土建工程: JTG 3370.1-2018 [S]. 北京: 人民交通出版社, 2018. -


下载: