• ISSN 1001-1455  CN 51-1148/O3
  • EI、Scopus、CA、JST、EBSCO、DOAJ收录
  • 力学类中文核心期刊
  • 中国科技核心期刊、CSCD统计源期刊

间隙C掺杂CoCrNi基中熵合金的应变率效应和温度效应

王强 王建军 赵聃 王志华

王强, 王建军, 赵聃, 王志华. 间隙C掺杂CoCrNi基中熵合金的应变率效应和温度效应[J]. 爆炸与冲击, 2026, 46(3): 031402. doi: 10.11883/bzycj-2025-0087
引用本文: 王强, 王建军, 赵聃, 王志华. 间隙C掺杂CoCrNi基中熵合金的应变率效应和温度效应[J]. 爆炸与冲击, 2026, 46(3): 031402. doi: 10.11883/bzycj-2025-0087
WANG Qiang, WANG Jianjun, ZHAO Dan, WANG Zhihua. Strain rate effect and temperature effect of CoCrNi-based medium-entropy alloy with interstitial C doping[J]. Explosion And Shock Waves, 2026, 46(3): 031402. doi: 10.11883/bzycj-2025-0087
Citation: WANG Qiang, WANG Jianjun, ZHAO Dan, WANG Zhihua. Strain rate effect and temperature effect of CoCrNi-based medium-entropy alloy with interstitial C doping[J]. Explosion And Shock Waves, 2026, 46(3): 031402. doi: 10.11883/bzycj-2025-0087

间隙C掺杂CoCrNi基中熵合金的应变率效应和温度效应

doi: 10.11883/bzycj-2025-0087
基金项目: 中国检验检测学会2025年科研项目(KY202502)
详细信息
    作者简介:

    王 强(1995- ),男,博士,工程师,wqiang2013@163.com

  • 中图分类号: O347

Strain rate effect and temperature effect of CoCrNi-based medium-entropy alloy with interstitial C doping

  • 摘要: 为了进一步探索间隙C原子对CoCrNi基中熵合金的应变率效应和温度效应的影响,系统地研究了由面心立方(face-centered cubic,FCC)基体和三级层级沉淀微观结构组成的CoCrNiSi0.3C0.048中熵合金在宽温域、宽应变率范围内的压缩力学行为、微结构演化过程以及变形机理。结果表明,该合金在400 ℃下变形时,其真应力-真应变曲线呈现出明显的“锯齿流变”现象,而且随着应变的增大,锯齿的振幅逐渐减小,直至消失。此外,其准静态下流动应力随温度的变化曲线上出现了反常应力峰(第三型应变时效现象),在高应变率下,第三型应变时效引起的反常应力峰消失。通过微观结构的表征分析,推测其准静态下出现第三型应变时效现象主要是由于间隙C原子的存在,在塑性变形的不断进行和发展过程中,产生了一系列由致密位错胞、微带、层错、位错簇和变形孪晶等组成的类似于非均质结构的混合结构。这些混合结构加剧了间隙原子与移动位错之间的相互作用,进而钉扎位错,出现动态应变时效现象。在动态情况下并未出现第三型应变时效的原因可能是溶质原子的运动相较于位错的运动速度较慢,无法及时钉扎位错。另外,大量的纳米级SiC沉淀的析出弱化了动态加载下间隙原子的“钉扎”作用。
  • 图  1  压缩试样几何尺寸、加载变形过程及变形后试样的微观观测区域示意图

    Figure  1.  Schematic diagram of the geometric dimensions of the specimens, the loading deformation process, and the microscopic observation area of the deformed specimen.

    图  2  准静态0.001 s−1应变率下C48-800-1h MEA的真应力-真应变曲线随温度的变化

    Figure  2.  True stress-strain curves of C48-800-1h MEA under different temperatures at a quasi-static strain rate of 0.001 s−1

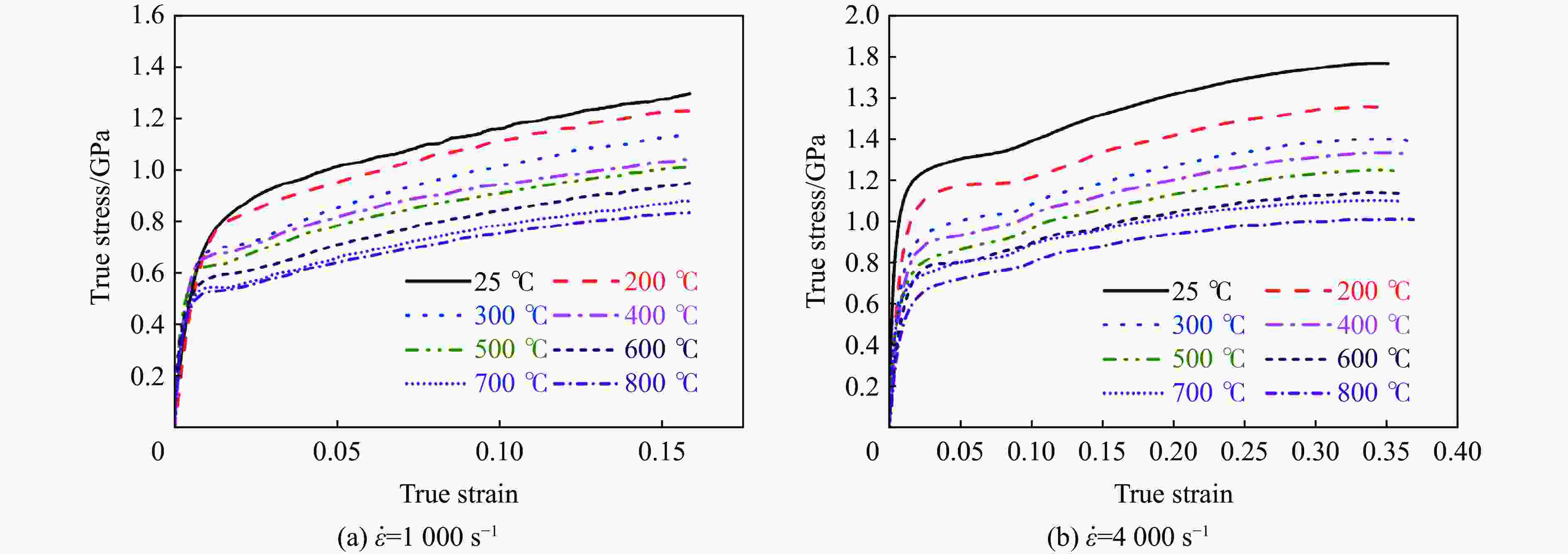
    图  3  不同动态应变率下C48-800-1h MEA的真应力-真应变曲线随温度的变化

    Figure  3.  True stress-strain curves of C48-800-1h MEA under different temperatures at different dynamical strain rates

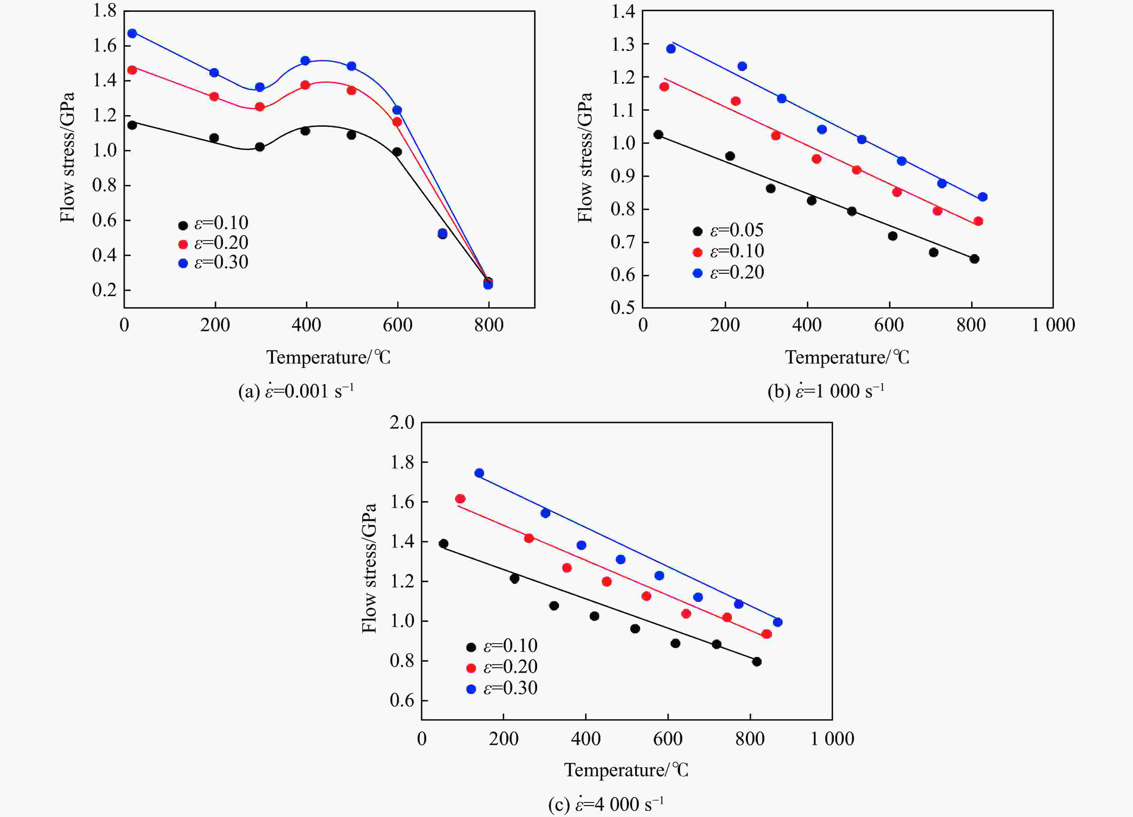
    图  4  C48-800-1h合金在不同应变率下的流动应力随温度的变化

    Figure  4.  Flow stress variation of C48-800-1h MEA at different strain rates with temperature

    图  5  DH36钢在$ \varepsilon $=0.10时流动应力随温度变化的曲线上出现的反常应力峰[31]

    Figure  5.  Anomalous stress peaks in flow stress-temperature curves of DH36 steel at $ \varepsilon $=0.10[31]

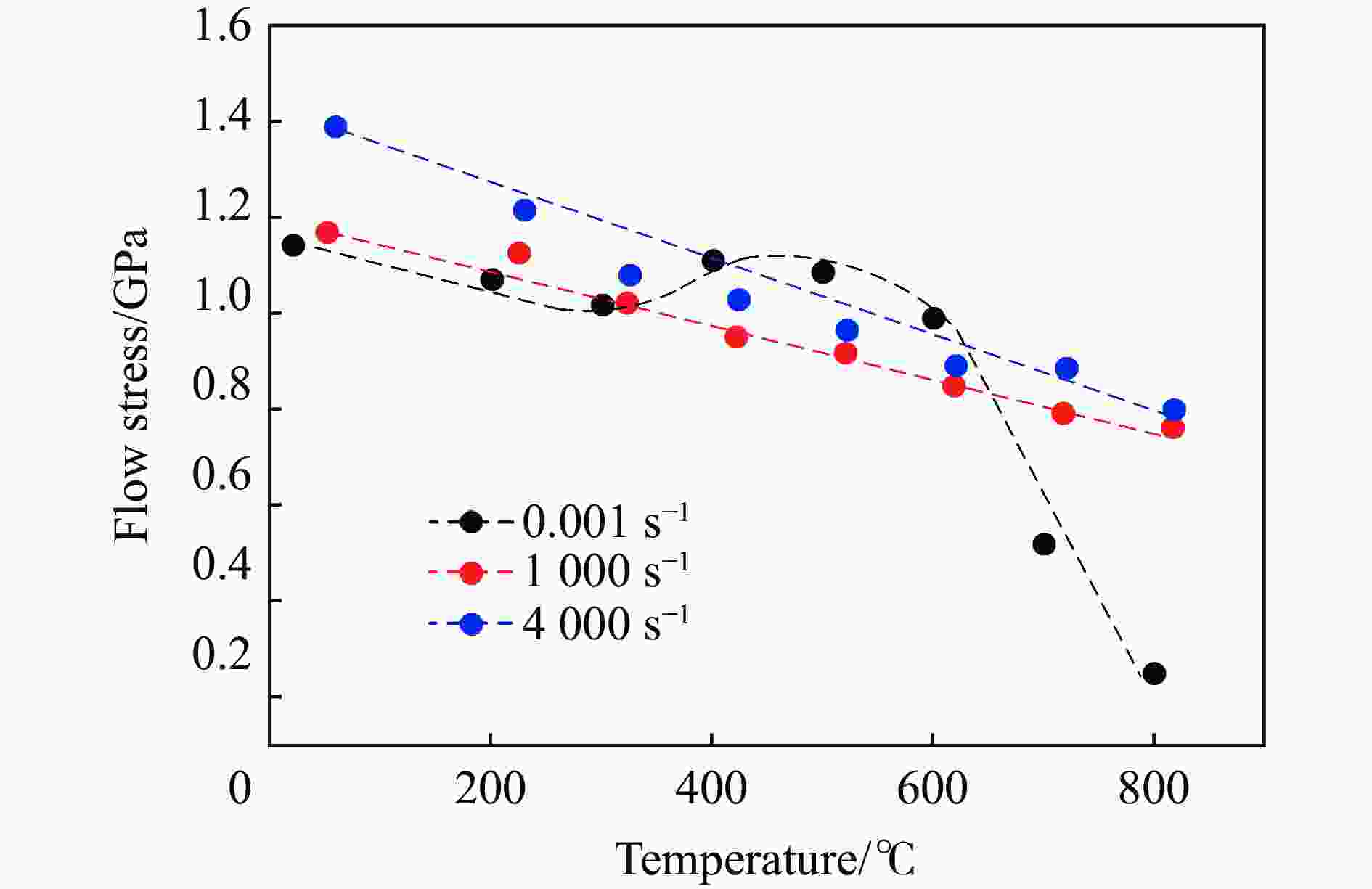
    图  6  $ \varepsilon $=0.10下,应变率对C48-800-1h MEA的流动应力-温度曲线的影响

    Figure  6.  Strain rate effect on flow stress-temperature curves of C48-800-1h MEA at $ \varepsilon $=0.10

    图  7  金属材料在热变形过程典型的应力-应变曲线[45]

    Figure  7.  Typical stress-strain curves of metal materials during thermal deformation[45]

    图  8  不同应变率下,随着温度的升高,C48-800-1h MEA的微观结构演化

    Figure  8.  Microstructure evolution of C48-800-1h MEA with increasing temperature at different strain rates

    图  9  扩散的溶质原子对运动位错的钉扎引起第三型应变时效的示意图[49]

    Figure  9.  Schematic diagram of the third-type strain aging induced by the pining effect of moving dislocation by diffused solute atoms[49]

    图  10  400 ℃时,准静态(0.001 s−1)和动态(4000 s−1)加载下C48-800-1h合金变形后的微观结构

    Figure  10.  Microstructures of the deformed C48-800-1h alloy at 400 ℃ under quasi-static (0.001 s−1) and dynamic (4000 s−1) loadings

  • [1] 乔珺威, 张勇, 王志华. 高熵合金及其性能 [M]. 北京: 科学出版社, 2025.
    [2] ZHANG T W, JIAO Z M, WANG Z H, et al. Dynamic deformation behaviors and constitutive relations of an AlCoCr1.5Fe1.5NiTi0.5 high-entropy alloy [J]. Scripta Materialia, 2017, 136: 15–19. DOI: 10.1016/j.scriptamat.2017.03.039.
    [3] 陈海华, 张先锋, 刘闯, 等. 高熵合金冲击变形行为研究进展 [J]. 爆炸与冲击, 2021, 41(4): 041402. DOI: 10.11883/bzycj-2020-0414.

    CHEN H H, ZHANG X F, LIU C, et al. Research progress on impact deformation behavior of high-entropy alloys [J]. Explosion and Shock Waves, 2021, 41(4): 041402. DOI: 10.11883/bzycj-2020-0414.
    [4] WANG B F, FU A, HUANG X X, et al. Mechanical properties and microstructure of the CoCrFeMnNi high entropy alloy under high strain rate compression [J]. Journal of Materials Engineering and Performance, 2016, 25(7): 2985–2992. DOI: 10.1007/s11665-016-2105-5.
    [5] WANG J J, GUO H X, JIAO Z M, et al. Coupling effects of temperature and strain rate on the mechanical behavior and microstructure evolution of a powder-plasma-arc additive manufactured high-entropy alloy with multi-heterogeneous microstructures [J]. Acta Materialia, 2024, 276: 120147. DOI: 10.1016/j.actamat.2024.120147.
    [6] SCOTT C, REMY B, COLLET J L, et al. Precipitation strengthening in high manganese austenitic TWIP steels [J]. International Journal of Materials Research, 2011, 102(5): 538–549. DOI: 10.3139/146.110508.
    [7] SHEN Y F, DONG X X, SONG X T, et al. Carbon content-tuned martensite transformation in low-alloy TRIP steels [J]. Scientific Reports, 2019, 9(1): 7559. DOI: 10.1038/s41598-019-44105-6.
    [8] ZHOU J H, SHEN Y F, JIA N. Strengthening mechanisms of reduced activation ferritic/martensitic steels: a review [J]. International Journal of Minerals, Metallurgy and Materials, 2021, 28(3): 335–348. DOI: 10.1007/s12613-020-2121-1.
    [9] LI Z M, RAABE D. Strong and ductile non-equiatomic high-entropy alloys: design, processing, microstructure, and mechanical properties [J]. JOM, 2017, 69(11): 2099–2106. DOI: 10.1007/s11837-017-2540-2.
    [10] VENKATALAXMI A, PADMAVATHI B S, AMARANATH T. A general solution of unsteady Stokes equations [J]. Fluid Dynamics Research, 2004, 35(3): 229–236. DOI: 10.1016/j.fluiddyn.2004.06.001.
    [11] WANG Z W, BAKER I, GUO W, et al. The effect of carbon on the microstructures, mechanical properties, and deformation mechanisms of thermo-mechanically treated Fe40.4Ni11.3Mn34.8Al7.5Cr6 high entropy alloys [J]. Acta Materialia, 2017, 126: 346–360. DOI: 10.1016/j.actamat.2016.12.074.
    [12] XIONG F, FU R D, LI Y J, et al. Influences of nitrogen alloying on microstructural evolution and tensile properties of CoCrFeMnNi high-entropy alloy treated by cold-rolling and subsequent annealing [J]. Materials Science and Engineering: A, 2020, 787: 139472. DOI: 10.1016/j.msea.2020.139472.
    [13] WANG Z W, BAKER I, CAI Z H, et al. The effect of interstitial carbon on the mechanical properties and dislocation substructure evolution in Fe40.4Ni11.3Mn34.8Al7.5Cr6 high entropy alloys [J]. Acta Materialia, 2016, 120: 228–239. DOI: 10.1016/j.actamat.2016.08.072.
    [14] KLIMOVA M V, SHAYSULTANOV D G, CHERNICHENKO R S, et al. Recrystallized microstructures and mechanical properties of a C-containing CoCrFeNiMn-type high-entropy alloy [J]. Materials Science and Engineering: A, 2019, 740/741: 201–210. DOI: 10.1016/j.msea.2018.09.113.
    [15] LI Z M, TASAN C C, SPRINGER H, et al. Interstitial atoms enable joint twinning and transformation induced plasticity in strong and ductile high-entropy alloys [J]. Scientific Reports, 2017, 7: 40704. DOI: 10.1038/srep40704.
    [16] CHEN L B, WEI R, TANG K, et al. Heavy carbon alloyed FCC-structured high entropy alloy with excellent combination of strength and ductility [J]. Materials Science and Engineering: A, 2018, 716: 150–156. DOI: 10.1016/j.msea.2018.01.045.
    [17] WANG M M, LI Z M, RAABE D. In-situ SEM observation of phase transformation and twinning mechanisms in an interstitial high-entropy alloy [J]. Acta Materialia, 2018, 147: 236–246. DOI: 10.1016/j.actamat.2018.01.036.
    [18] LI Z M. Interstitial equiatomic CoCrFeMnNi high-entropy alloys: carbon content, microstructure, and compositional homogeneity effects on deformation behavior [J]. Acta Materialia, 2019, 164: 400–412. DOI: 10.1016/j.actamat.2018.10.050.
    [19] KLIMOVA M, SHAYSULTANOV D, SEMENYUK A, et al. Effect of carbon on recrystallised microstructures and properties of CoCrFeMnNi-type high-entropy alloys [J]. Journal of Alloys and Compounds, 2021, 851: 156839. DOI: 10.1016/j.jallcom.2020.156839.
    [20] 王强, 张团卫, 王建军, 等. 高速Taylor冲击下CoCrNiSi0.3C0.048中熵合金变形微观结构的演变机制 [J]. 固体力学学报, 2023, 44(6): 755–770. DOI: 10.19636/j.cnki.cjsm42-1250/o3.2023.040.

    WANG Q, ZHANG T W, WANG J J, et al. Evolution mechanisms of deformed microstructure in CoCrNiSi0.3C0.048 medium-entropy alloy under high-velocity Taylor impact [J]. Chinese Journal of Solid Mechanics, 2023, 44(6): 755–770. DOI: 10.19636/j.cnki.cjsm42-1250/o3.2023.040.
    [21] TSAI C W, LEE C, LIN P T, et al. Portevin-Le Châtelier mechanism in face-centered-cubic metallic alloys from low to high entropy [J]. International Journal of Plasticity, 2019, 122: 212–224. DOI: 10.1016/j.ijplas.2019.07.003.
    [22] HALIM H, WILKINSON M S, NIEWCZAS M. The Portevin–Le Chatelier (PLC) effect and shear band formation in an AA5754 alloy [J]. Acta Materialia, 2007, 55(12): 4151–4160. DOI: 10.1016/j.actamat.2007.03.007.
    [23] HECTOR L G, ZAVATTIERI P D. Nucleation and propagation of Portevin-Le Châtelier bands in austenitic steel with twinning induced plasticity [M]//PROULX T. Experimental and Applied Mechanics, Volume 6. New York: River Publishers, 2011: 855-863. DOI: 10.1007/978-1-4419-9792-0_118.
    [24] RIZZI E, HÄHNER P. On the Portevin-Le Châtelier effect: theoretical modeling and numerical results [J]. International Journal of Plasticity, 2004, 20(1): 121–165. DOI: 10.1016/S0749-6419(03)00035-4.
    [25] ZAVATTIERI P D, SAVIC V, HECTOR JR L G, et al. Spatio-temporal characteristics of the Portevin-Le Châtelier effect in austenitic steel with twinning induced plasticity [J]. International Journal of Plasticity, 2009, 25(12): 2298–2330. DOI: 10.1016/j.ijplas.2009.02.008.
    [26] TONG C J, CHEN M R, YEH J W, et al. Mechanical performance of the AlxCoCrCuFeNi high-entropy alloy system with multiprincipal elements [J]. Metallurgical and Materials Transactions A, 2005, 36(5): 1263–1271. DOI: 10.1007/s11661-005-0218-9.
    [27] OTTO F, DLOUHÝ A, SOMSEN C, et al. The influences of temperature and microstructure on the tensile properties of a CoCrFeMnNi high-entropy alloy [J]. Acta Materialia, 2013, 61(15): 5743–5755. DOI: 10.1016/j.actamat.2013.06.018.
    [28] CARROLL R, LEE C, TSAI C W, et al. Experiments and model for serration statistics in low-entropy, medium-entropy and high-entropy alloys [J]. Scientific Reports, 2015, 5: 16997. DOI: 10.1038/srep16997.
    [29] FANG S C, CHEN W P, FU Z Q. Microstructure and mechanical properties of twinned Al0.5CrFeNiCo0.3C0.2 high entropy alloy processed by mechanical alloying and spark plasma sintering [J]. Materials and Design, 2014, 54: 973–979. DOI: 10.1016/j.matdes.2013.08.099.
    [30] LI J B, GAO B, TANG S, et al. High temperature deformation behavior of carbon-containing FeCoCrNiMn high entropy alloy [J]. Journal of Alloys and Compounds, 2018, 747: 571–579. DOI: 10.1016/j.jallcom.2018.02.332.
    [31] NEMAT-NASSER S, GUO W G. Thermomechanical response of DH-36 structural steel over a wide range of strain rates and temperatures [J]. Mechanics of Materials, 2003, 35(11): 1023–1047. DOI: 10.1016/S0167-6636(02)00323-X.
    [32] NEMAT-NASSER S, GUO W G, CHENG J Y. Mechanical properties and deformation mechanisms of a commercially pure titanium [J]. Acta Materialia, 1999, 47(13): 3705–3720. DOI: 10.1016/S1359-6454(99)00203-7.
    [33] NEMAT-NASSER S, GUO W G, NESTERENKO V F, et al. Dynamic response of conventional and hot isostatically pressed Ti-6Al-4V alloys: experiments and modeling [J]. Mechanics of Materials, 2001, 33(8): 425–439. DOI: 10.1016/S0167-6636(01)00063-1.
    [34] KAPOOR R, NEMAT-NASSER S. Determination of temperature rise during high strain rate deformation [J]. Mechanics of Materials, 1998, 27(1): 1–12. DOI: 10.1016/S0167-6636(97)00036-7.
    [35] WANG J J, GUO W G, GAO X S, et al. The third-type of strain aging and the constitutive modeling of a Q235B steel over a wide range of temperatures and strain rates [J]. International Journal of Plasticity, 2015, 65: 85–107. DOI: 10.1016/j.ijplas.2014.08.017.
    [36] 王建军. 典型金属塑性流动中反常应力峰及其本构关系 [D]. 西安: 西北工业大学, 2017. DOI: 10.7666/d.D01601051.

    WANG J J. Anomalous stress peak in the plastic flow of typical metals and its constitutive model [D]. Xi’an: Northwestern Polytechnical University, 2017. DOI: 10.7666/d.D01601051.
    [37] NEMAT-NASSER S, GUO W G. Thermomechanical response of HSLA-65 steel plates: experiments and modeling [J]. Mechanics of Materials, 2005, 37(2/3): 379–405. DOI: 10.1016/j.mechmat.2003.08.017.
    [38] NEMAT-NASSER S, GUO W G. High strain-rate response of commercially pure vanadium [J]. Mechanics of Materials, 2000, 32(4): 243–260. DOI: 10.1016/S0167-6636(99)00056-3.
    [39] GILAT A, WU X R. Plastic deformation of 1020 steel over a wide range of strain rates and temperatures [J]. International Journal of Plasticity, 1997, 13(6/7): 611–632. DOI: 10.1016/S0749-6419(97)00028-4.
    [40] LEE M H, KIM J H, CHOI B K, et al. Mechanical properties and dynamic strain aging behavior of Zr–1.5Nb–0.4Sn–0.2Fe alloy [J]. Journal of Alloys and Compounds, 2007, 428(1/2): 99–105. DOI: 10.1016/j.jallcom.2006.03.076.
    [41] PENG K P, QIAN K W, CHEN W Z. Effect of dynamic strain aging on high temperature properties of austenitic stainless steel [J]. Materials Science and Engineering: A, 2004, 379(1/2): 372–377. DOI: 10.1016/j.msea.2004.03.004.
    [42] NANDY T K, FENG Q, POLLOCK T M. Elevated temperature deformation and dynamic strain aging in polycrystalline RuAl alloys [J]. Intermetallics, 2003, 11(10): 1029–1038. DOI: 10.1016/S0966-9795(03)00134-1.
    [43] SALVADO F C, TEIXEIRA-DIAS F, WALLEY S M, et al. A review on the strain rate dependency of the dynamic viscoplastic response of FCC metals [J]. Progress in Materials Science, 2017, 88: 186–231. DOI: 10.1016/j.pmatsci.2017.04.004.
    [44] 吴涛. 淬火碳钢温变形流变行为与微观组织演变研究 [D]. 河北秦皇岛: 燕山大学, 2013.

    WU T. Investigations of warm deformation behavior and microstructure evolution of initially quenched carbon steels [D]. Qinhuangdao, Hebei, China: Yanshan University, 2013.
    [45] YANAGIDA A, YANAGIMOTO J. A novel approach to determine the kinetics for dynamic recrystallization by using the flow curve [J]. Journal of Materials Processing Technology, 2004, 151(1/2/3): 33–38. DOI: 10.1016/j.jmatprotec.2004.04.007.
    [46] LIN Y C, CHEN X M. A critical review of experimental results and constitutive descriptions for metals and alloys in hot working [J]. Materials & Design, 2011, 32(4): 1733–1759. DOI: 10.1016/j.matdes.2010.11.048.
    [47] GALI A, GEORGE E P. Tensile properties of high- and medium-entropy alloys [J]. Intermetallics, 2013, 39: 74–78. DOI: 10.1016/j.intermet.2013.03.018.
    [48] 袁康博, 姚小虎, 王瑞丰, 等. 金属材料的率-温耦合响应与动态本构关系综述 [J]. 爆炸与冲击, 2022, 42(9): 091401. DOI: 10.11883/bzycj-2021-0416.

    YUAN K B, YAO X H, WANG R F, et al. A review on rate-temperature coupling response and dynamic constitutive relation of metallic materials [J]. Explosion and Shock Waves, 2022, 42(9): 091401. DOI: 10.11883/bzycj-2021-0416.
    [49] VAN DEN BEUKEL A, KOCKS U F. The strain dependence of static and dynamic strain-aging [J]. Acta Metallurgica, 1982, 30(5): 1027–1034. DOI: 10.1016/0001-6160(82)90211-5.
    [50] NAKADA Y, KEH A S. Serrated flow in Ni-C alloys [J]. Acta Metallurgica, 1970, 18(4): 437–443. DOI: 10.1016/0001-6160(70)90129-X.
    [51] MCCORMIGK P G. A model for the Portevin-Le Châtelier effect in substitutional alloys [J]. Acta Metallurgica, 1972, 20(3): 351–354. DOI: 10.1016/0001-6160(72)90028-4.
    [52] LEI Z F, LIU X J, WU Y, et al. Enhanced strength and ductility in a high-entropy alloy via ordered oxygen complexes [J]. Nature, 2018, 563(7732): 546–550. DOI: 10.1038/s41586-018-0685-y.
    [53] CHEN J, YAO Z H, WANG X B, et al. Effect of C content on microstructure and tensile properties of as-cast CoCrFeMnNi high entropy alloy [J]. Materials Chemistry and Physics, 2018, 210: 136–145. DOI: 10.1016/j.matchemphys.2017.08.011.
    [54] WANG Z W, LU W J, RAABE D, et al. On the mechanism of extraordinary strain hardening in an interstitial high-entropy alloy under cryogenic conditions [J]. Journal of Alloys and Compounds, 2019, 781: 734–743. DOI: 10.1016/j.jallcom.2018.12.061.
    [55] ZHANG L J, YU P F, FAN J T, et al. Investigating the micro and nanomechanical properties of CoCrFeNi-CX high-entropy alloys containing eutectic carbides [J]. Materials Science and Engineering: A, 2020, 796: 140065. DOI: 10.1016/j.msea.2020.140065.
    [56] KLIMOVA M V, SEMENYUK A O, SHAYSULTANOV D G, et al. Effect of carbon on cryogenic tensile behavior of CoCrFeMnNi-type high entropy alloys [J]. Journal of Alloys and Compounds, 2019, 811: 152000. DOI: 10.1016/j.jallcom.2019.152000.
    [57] HAN Y, LI H B, FENG H, et al. Simultaneous enhancement in strength and ductility of Fe50Mn30Co10Cr10 high-entropy alloy via nitrogen alloying [J]. Journal of Materials Science and Technology, 2021, 65: 210–215. DOI: 10.1016/j.jmst.2020.04.072.
    [58] STEPANOV N D, SHAYSULTANOV D G, CHERNICHENKO R S, et al. Effect of thermomechanical processing on microstructure and mechanical properties of the carbon-containing CoCrFeNiMn high entropy alloy [J]. Journal of Alloys and Compounds, 2017, 693: 394–405. DOI: 10.1016/j.jallcom.2016.09.208.
    [59] MEYERS M A, VÖHRINGER O, LUBARDA V A. The onset of twinning in metals: a constitutive description [J]. Acta Materialia, 2001, 49(19): 4025–4039. DOI: 10.1016/S1359-6454(01)00300-7.
    [60] WANG L, BEI H, LI T L, et al. Determining the activation energies and slip systems for dislocation nucleation in body-centered cubic Mo and face-centered cubic Ni single crystals [J]. Scripta Materialia, 2011, 65(3): 179–182. DOI: 10.1016/j.scriptamat.2011.03.036.
    [61] WU Y, ZHANG F, YUAN X Y, et al. Short-range ordering and its effects on mechanical properties of high-entropy alloys [J]. Journal of Materials Science & Technology, 2021, 62: 214–220. DOI: 10.1016/j.jmst.2020.06.018.
    [62] BU Y Q, WU Y, LEI Z F, et al. Local chemical fluctuation mediated ductility in body-centered-cubic high-entropy alloys [J]. Materials Today, 2021, 46: 28–34. DOI: 10.1016/j.mattod.2021.02.022.
    [63] ZHANG R P, ZHAO S T, DING J, et al. Short-range order and its impact on the CrCoNi medium-entropy alloy [J]. Nature, 2020, 581(7808): 283–287. DOI: 10.1038/s41586-020-2275-z.
    [64] CHEN X F, WANG Q, CHENG Z Y, et al. Direct observation of chemical short-range order in a medium-entropy alloy [J]. Nature, 2021, 592(7856): 712–716. DOI: 10.1038/s41586-021-03428-z.
    [65] COTTRELL A H, JASWON M A. Distribution of solute atoms round a slow dislocation [J]. Proceedings of the Royal Society A: Mathematical, Physical and Engineering Sciences, 1949, 199(1056): 104–114. DOI: 10.1098/rspa.1949.0128.
    [66] MCCORMICK P G. The Portevin-Le Châtelier effect in a pressurized low carbon steel [J]. Acta Metallurgica, 1973, 21(7): 873–878. DOI: 10.1016/0001-6160(73)90144-2.
    [67] PINK E, KUMAR S. Patterns of serrated flow in a low-carbon steel [J]. Materials Science and Engineering: A, 1995, 201(1/2): 58–64. DOI: 10.1016/0921-5093(95)09772-4.
    [68] SLEESWYK A W. Slow strain-hardening of ingot iron [J]. Acta Metallurgica, 1958, 6(9): 598–603. DOI: 10.1016/0001-6160(58)90101-9.
    [69] YUAN K B, GUO W G, LI D W, et al. Influence of heat treatments on plastic flow of laser deposited Inconel 718: testing and microstructural based constitutive modeling [J]. International Journal of Plasticity, 2021, 136: 102865. DOI: 10.1016/j.ijplas.2020.102865.
  • 加载中
图(10)
计量
  • 文章访问数:  503
  • HTML全文浏览量:  199
  • PDF下载量:  52
  • 被引次数: 0
出版历程
  • 收稿日期:  2025-03-19
  • 修回日期:  2025-08-18
  • 网络出版日期:  2025-08-19
  • 刊出日期:  2026-03-05

目录

    /

    返回文章
    返回