Dynamic response mechanism and cumulative damage effect of Al0.3CoCrFeNi high entropy alloy under repeated impact loading
- 
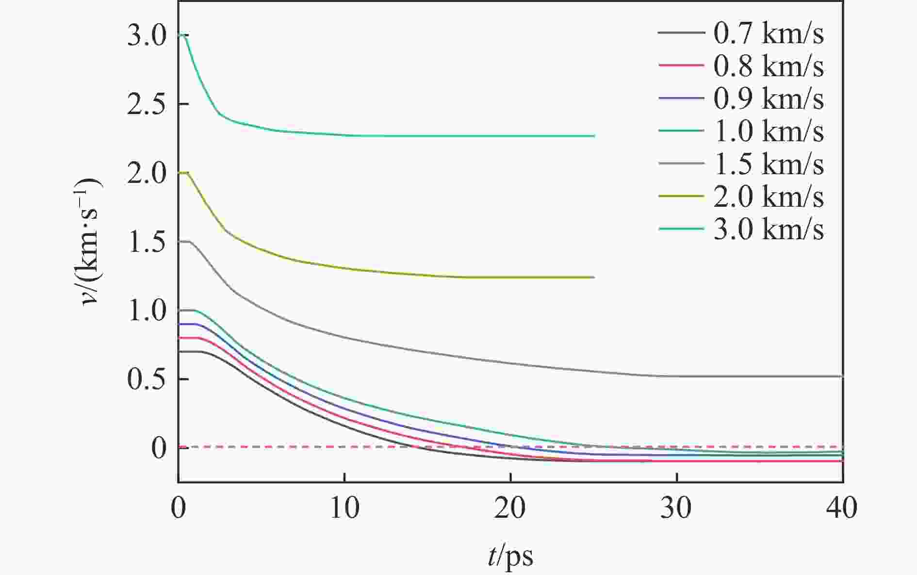
					    摘要: 为了揭示高熵合金(high-entropy alloy, HEA)在冲击载荷下的相结构演变、位错分布、能量吸收及冲击累积效应的变化规律,通过分子动力学模拟,系统探讨了Al0.3CoCrFeNi 高熵合金板在受单次及二次冲击载荷下的动态响应行为。结果显示,首次冲击下,Al0.3CoCrFeNi高熵合金板的塑性区域相结构演变和能量吸收方式具有显著的冲击速度依赖性。随着冲击速度的提高,面心立方相结构的比例呈现三阶段下降趋势,而无序化结构则相应增加。在低速(0.5~1.0 km/s)冲击下,能量主要通过位错网络进行吸收;在中速(1.0~2.0 km/s)冲击下,位错与无序化原子共同吸收能量;在高速(2.0~3.0 km/s)冲击下,无序化原子主导吸收能量。位错线长度在刚性球0.5~0.8 km/s的冲击速度范围内,随冲击速度呈线性增加,而在更高的速度冲击下,因HEA板厚度限制,位错线长度呈下降趋势。应力分析表明,冲击速度提高时,最大应力与塑性区域边界应力随着冲击速度的提高表现出非线性变化的二次关系。二次冲击下,几何特征方面,Al0.3CoCrFeNi 高熵合金板在冲击后形成类梯形的破坏区域,其上坑半径随冲击速度的变化呈现二次变化关系,二次冲击的最小影响区域也与冲击速度呈现二次关系;抗冲击性能方面,随着刚性球首次冲击速度的提高,其二次冲击后的剩余速度也随之上升,HEA板材料抵抗冲击性能降低。在距冲击中心10 nm处,HEA板的弹道极限随着首次冲击速度增加而非线性减小,然而,二次冲击速度的提高会使首次冲击的影响减弱。Abstract: To investigate the evolution of phase structure, dislocation distribution, energy absorption capacity, and impact accumulation effect of high-entropy alloys (HEA) under shock loading, molecular dynamics simulations were employed to systematically analyze the dynamic response behavior of Al0.3CoCrFeNi HEA plate subjected to single and secondary impact load. The results show that under the first impact, the phase structure evolution and energy absorption mode of the plastic region of Al0.3CoCrFeNi HEA plate exhibits significant velocity dependence. As the speed increases, the proportion of face-centered cubic structure shows a three-stage downward trend, while the disorder structure increases accordingly. Under low velocity impact (0.5-1.0 km/s), energy is mainly absorbed by dislocation network; at medium velocity impact (1.0-2.0 km/s), both dislocations and disordered atoms contribute; under high velocity impact (2.0-3.0 km/s), disordered atoms dominate energy absorption. Within the velocity range of 0.5-0.8 km/s of the rigid sphere, the dislocation line length increases linearly with the impact velocity. However, at higher impact velocities, the dislocation line length decreases due to the limitation of the plate thickness. The stress analysis shows that when the impact velocity increases, both the maximum stress and the boundary stress of the plastic zone exhibit nonlinear variations characterized by a quadratic relationship. Under the secondary impact, the Al0.3CoCrFeNi HEA plate forms a damage zone resembling a trapezoidal shape after impact. The radius of the pit within this damage zone exhibits a quadratic relationship with the impact velocity. Additionally, the minimum affected area resulting from the secondary impact also demonstrates a quadratic relationship with the impact velocity. Regarding impact resistance, as the initial impact velocity increases, the residual velocity following the secondary impact also rises, indicating a reduction in the resistance capability of HEA. At a distance of 10 nm from the impact center, the ballistic limit velocity decreases nonlinearly with increasing initial impact velocity. However, an increase in the secondary impact velocity mitigates the effects induced by the initial impact.
- 
									Key words:
									
 - high entropy alloy /
 - repeated impact /
 - molecular dynamics /
 - dynamic defect evolution /
 - cumulative damage
 
 - 
						
    
    
表 1 不同原子对之间相互作用的Lennard-Jones参数
Table 1. Lennard-Jones parameters for interactions between different atom pairs
原子对 ε/eV σ/Å Al-Co 0.0469 2.578 Cr-Co 0.0466 2.456 Fe-Co 0.0477 2.448 Co-Co 0.0043 2.584 Ni-Co 0.0474 2.428 表 2 不同初始速度刚性球冲击HEA板过程中刚性球的速度变化以及相应的时间信息
Table 2. Velocity variation of rigid balls with different initial velocities during their impact on HEA plates as well as the corresponding time formation
vi1/(km·s−1) tp/ps t0/ps vr/(km·s−1) (vi1-vr)2/(km·s−1)2 vi1/(km·s−1) tp/ps t0/ps vr/(km·s−1) (vi1-vr)2/(km·s−1)2 0.7 -- 14.4 0 0.49 1.5 31.7 -- 0.519 1.980 639 0.8 -- 17.4 0 0.64 2.0 18.4 -- 1.240 2.462 400 0.9 -- 19.8 0 0.81 3.0 11.9 -- 2.268 3.856 176 1.0 -- 26.3 0 1.00 表 3 HEA板受不同初始速度刚性球冲击后不同相结构的占比
Table 3. Proportions of different phase structures of HEA plates impacted by rigid balls with different initial velocities
vi1/(km·s−1) ϕ/% vi1/(km·s−1) ϕ/% FCC BCC HCP Other FCC BCC HCP Other 0.7 92.40404 0.03169 0.36583 7.19843 1.8 90.56659 0.03882 0.23237 9.16181 0.8 91.83749 0.04834 0.54063 7.57346 2.0 90.52505 0.03584 0.21256 9.22619 0.9 91.46428 0.06413 0.52804 7.94337 2.5 89.68800 0.04055 0.20395 10.0671 1.0 91.29216 0.05186 0.34857 8.30707 2.8 89.35985 0.03970 0.22055 10.37958 1.5 90.57492 0.03554 0.24414 9.14491 3.0 89.21314 0.04293 0.19173 10.55185 表 4 HEA板受不同初始速度刚性球冲击后的最长位错线长度和最终位错线长度及达到最长位错长度所需的时间
Table 4. The maximum and final dislocation line lengths of HEA plates impacted by rigid balls with different initial velocities as well as the time required to reach the maximum dislocation line length
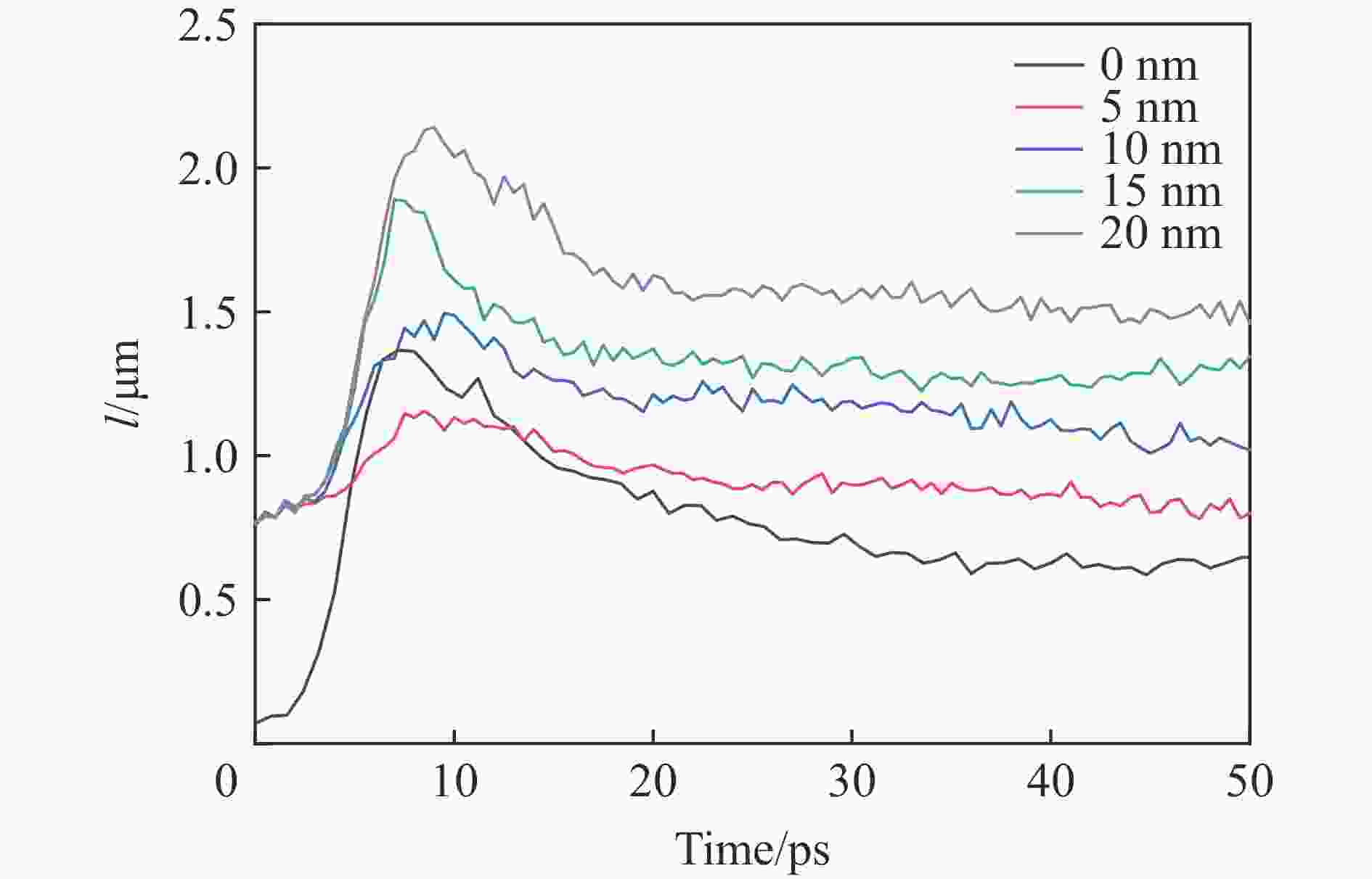
vi1/(km·s−1) lmax/nm $ {t}_{{l}_{\mathrm{m}\mathrm{a}\mathrm{x}}} $/ps lf/nm vi1/(km·s−1) lmax/nm $ {t}_{{l}_{\mathrm{m}\mathrm{a}\mathrm{x}}} $/ps lf/nm 0.5 607.9 10.5 339.1 1.0 1366.5 7.2 646.5 0.7 1185.2 11.2 981.4 1.5 1313.1 5.6 234.1 0.8 1445.2 12.0 1285.5 2.0 1395.4 4.0 247.7 0.9 1557.4 10.4 1143.2 3.0 1376.1 3.5 239.3 表 5 刚性球以1.0 km/s的速度二次冲击 HEA板不同位置后的速度降为零所需的时间和其反弹速度及HEA板的最长位错线长度
Table 5. Time required for the velocity of a rigid ball to drop to zero and its rebound velocity as well as the longest dislocation line length of the HEA plate by secondary impact on different positions at a velocity of 1.0 km/s
S/nm t0/ps vreb/(m·s−1) lmax/mm 0 26.3 17.9 6.465 5 33.1 79.2 7.994 10 30.8 66.3 10.192 15 28.5 40.9 13.433 20 27.4 5.3 14.612 表 6 HEA板受刚性球不同初始速度冲击后距HEA板中心10 nm处的弹道极限数据
Table 6. The ballistic limit at 10 nm from the center of the HEA plate impacted by the rigid ball at different initial velocities
vi1/ 
(km·s−1)vi2/ 
(km·s−1)vr 
(km·s−1)vbl/ 
(km·s−1)a p vi1/ 
(km·s−1)vi2/ 
(km·s−1)vr/ 
(km·s−1)vbl/ 
(km·s−1)a p 0 1.5 0.519 1.372 0.72 2.01 1.0 1.5 0.557 1.361 0.7 2.08 1.8 0.988 1.8 1.014 2.0 1.240 2.0 1.261 2.5 1.776 2.5 1.790 2.8 2.074 2.8 2.092 3.0 2.268 3.0 2.277 3.5 2.729 3.5 2.729 vi1/ 
(km·s−1)vi2/ 
(km·s−1)vr 
(km·s−1)vbl/ 
(km·s−1)a p vi1/ 
(km·s−1)vi2/ 
(km·s−1)vr 
(m·s−1)vbl/ 
(km·s−1)a p 1.5 1.5 0.625 1.316 0.68 2.07 2.0 1.3 0.211 1.270 0.74 1.89 1.8 1.043 1.5 0.629 2.0 1.280 1.8 1.040 2.5 1.803 2.0 1.274 2.8 2.089 2.5 1.803 3.0 2.260 2.8 2.092 -- -- 3.0 2.280 -- -- 3.5 2.729  - 
						
[1] DU M, LIU B, LIU Y, et al. Dynamic behavior of additively manufactured FeCoCrNi high entropy alloy [J]. Metals, 2023, 13(1): 75. DOI: 10.3390/met13010075. [2] HE J Y, WANG Q, ZHANG H S, et al. Dynamic deformation behavior of a face-centered cubic FeCoNiCrMn high-entropy alloy [J]. Science Bulletin, 2018, 63(6): 362–368. DOI: 10.1016/j.scib.2018.01.022. [3] SONG S W, LI H T, LIU P W, et al. Dynamic shock response of high-entropy alloy with elemental anomaly distribution [J]. International Journal of Mechanical Sciences, 2023, 253: 108408. DOI: 10.1016/j.ijmecsci.2023.108408. [4] WU Y Q, LIAW P K, LI R X, et al. Relationship between the unique microstructures and behaviors of high-entropy alloys [J]. International Journal of Minerals, Metallurgy and Materials, 2024, 31(6): 1350–1363. DOI: 10.1007/s12613-023-2777-4. [5] LI Z Z, ZHAO S T, RITCHIE R O, et al. Mechanical properties of high-entropy alloys with emphasis on face-centered cubic alloys [J]. Progress in Materials Science, 2019, 102: 296–345. DOI: 10.1016/j.pmatsci.2018.12.003. [6] CAO T Q, ZHANG Q, WANG L, et al. Dynamic deformation behaviors and mechanisms of CoCrFeNi high-entropy alloys [J]. Acta Materialia, 2023, 260: 119343. DOI: 10.1016/j.actamat.2023.119343. [7] FAN H D, WANG Q Y, EL-AWADY J A, et al. Strain rate dependency of dislocation plasticity [J]. Nature Communications, 2021, 12(1): 1845. DOI: 10.1038/s41467-021-21939-1. [8] JIANG K, LI J G, KAN X K, et al. Adiabatic shear localization induced by dynamic recrystallization in an FCC high entropy alloy [J]. International Journal of Plasticity, 2023, 162: 103550. DOI: 10.1016/j.ijplas.2023.103550. [9] SHEN Y X, SPEAROT D E. Mobility of dislocations in FeNiCrCoCu high entropy alloys [J]. Modelling and Simulation in Materials Science and Engineering, 2021, 29(8): 085017. DOI: 10.1088/1361-651X/ac336a. [10] HAN Y, LI H B, FENG H, et al. Mechanism of dislocation evolution during plastic deformation of nitrogen-doped CoCrFeMnNi high-entropy alloy [J]. Materials Science and Engineering: A, 2021, 814: 141235. DOI: 10.1016/j.msea.2021.141235. [11] LI Z M, TASAN C C, SPRINGER H, et al. Interstitial atoms enable joint twinning and transformation induced plasticity in strong and ductile high-entropy alloys [J]. Scientific Reports, 2017, 7: 40704. DOI: 10.1038/srep40704. [12] SHI K W, CHENG J C, CUI L, et al. Ballistic impact response of Fe40Mn20Cr20Ni20 high-entropy alloys [J]. Journal of Applied Physics, 2022, 132(20): 205105. DOI: 10.1063/5.0130634. [13] SONAR T, IVANOV M, TROFIMOV E, et al. An overview of microstructure, mechanical properties and processing of high entropy alloys and its future perspectives in aeroengine applications [J]. Materials Science for Energy Technologies, 2024, 7: 35–60. DOI: 10.1016/j.mset.2023.07.004. [14] FARAHANI M G, RIZI M B, AGHAAHMADI M, et al. Activation of different twinning mechanisms and their contributions to mechanical behavior of a face-centered cubic Co-based high-entropy alloy [J]. Acta Materialia, 2025, 285: 120665. DOI: 10.1016/j.actamat.2024.120665. [15] ZHAO S T, LI Z Z, ZHU C Y, et al. Amorphization in extreme deformation of the CrMnFeCoNi high-entropy alloy [J]. Science Advances, 2021, 7(5): eabb3108. DOI: 10.1126/sciadv.abb3108. [16] LV Y K, SONG P T, WANG Y Z, et al. Improving mechanical properties of Fe-Mn-Co-Cr high-entropy alloy via annealing after cold rolling [J]. Materials, 2024, 17(3): 676. DOI: 10.3390/ma17030676. [17] HE F, WANG Z J, CHENG P, et al. Designing eutectic high entropy alloys of CoCrFeNiNbX [J]. Journal of Alloys and Compounds, 2016, 656: 284–289. DOI: 10.1016/j.jallcom.2015.09.153. [18] CHEN S J, OH H S, GLUDOVATZ B, et al. Real-time observations of TRIP-induced ultrahigh strain hardening in a dual-phase CrMnFeCoNi high-entropy alloy [J]. Nature Communications, 2020, 11(1): 826. DOI: 10.1038/s41467-020-14641-1. [19] ZHOU C S, KOU Z D, SONG K K, et al. Evading strength-ductility trade-off dilemma in TRIP-assisted Fe50Mn30Co10Cr10 duplex high-entropy alloys via flash annealing and deep cryogenic treatments [J]. Acta Materialia, 2024, 268: 119779. DOI: 10.1016/j.actamat.2024.119779. [20] MUSKERI S, GWALANI B, JHA S, et al. Excellent ballistic impact resistance of Al0.3CoCrFeNi multi-principal element alloy with unique bimodal microstructure [J]. Scientific Reports, 2021, 11(1): 22715. DOI: 10.1038/s41598-021-02209-y. [21] GAO X Z, LU Y P, ZHANG B, et al. Microstructural origins of high strength and high ductility in an AlCoCrFeNi2.1 eutectic high-entropy alloy [J]. Acta Materialia, 2017, 141: 59–66. DOI: 10.1016/j.actamat.2017.07.041. [22] ZHANG W R, LIAW P K, ZHANG Y. Science and technology in high-entropy alloys [J]. Science China Materials, 2018, 61(1): 2–22. DOI: 10.1007/s40843-017-9195-8. [23] LI R N, SONG H Y, AN M R, et al. Atomic-scale insight into mechanical properties and deformation behavior of crystalline/amorphous dual-phase high entropy alloys [J]. Physics Letters A, 2022, 446: 128272. DOI: 10.1016/j.physleta.2022.128272. [24] CHEN Y, RENG S W, PENG J, et al. Chemical short range order and deformation mechanism of a refractory high entropy alloy HfNbTaZr under nanoindentation: an atomistic study [J]. Journal of Materials Research and Technology, 2023, 24: 3588–3598. DOI: 10.1016/j.jmrt.2023.04.074. [25] SUN Z R, SHI C G, LIU C X, et al. The effect of short-range order on mechanical properties of high entropy alloy Al0.3CoCrFeNi [J]. Materials & Design, 2022, 223: 111214. DOI: 10.1016/j.matdes.2022.111214. [26] WU Y C, SHAO J L. FCC-BCC phase transformation induced simultaneous enhancement of tensile strength and ductility at high strain rate in high-entropy alloy [J]. International Journal of Plasticity, 2023, 169: 103730. DOI: 10.1016/j.ijplas.2023.103730. [27] KOSTIUCHENKO T, KÖRMANN F, NEUGEBAUER J, et al. Impact of lattice relaxations on phase transitions in a high-entropy alloy studied by machine-learning potentials [J]. npj Computational Materials, 2019, 5(1): 55. DOI: 10.1038/s41524-019-0195-y. [28] LI L, CHEN H T, FANG Q H, et al. Effects of temperature and strain rate on plastic deformation mechanisms of nanocrystalline high-entropy alloys [J]. Intermetallics, 2020, 120: 106741. DOI: 10.1016/j.intermet.2020.106741. [29] LI W H, XIANG M Z, AITKEN Z H, et al. Unraveling the Hall-Petch to inverse Hall-Petch transition in nanocrystalline high entropy alloys under shock loading [J]. International Journal of Plasticity, 2024, 178: 104010. DOI: 10.1016/j.ijplas.2024.104010. [30] 闻鹏, 陶钢. 温度对CoCrFeMnNi高熵合金冲击响应和塑性变形机制影响的分子动力学研究 [J]. 物理学报, 2022, 71(24): 246101. DOI: 10.7498/aps.71.20221621.WEN P, TAO G. Molecular dynamics study of temperature effects on shock response and plastic deformation mechanism of CoCrFeMnNi high-entropy alloys [J]. Acta Physica Sinica, 2022, 71(24): 246101. DOI: 10.7498/aps.71.20221621. [31] WEN P, DU C X, TAO G, et al. Effect of Mn element on shock response in CoCrFeNiMnx high entropy alloys [J]. Chinese Physics B, 2024, 33(11): 116103. DOI: 10.1088/1674-1056/ad7fd0. [32] LI W H, CHEN S, AITKEN Z, et al. Shock-induced deformation and spallation in CoCrFeMnNi high-entropy alloys at high strain-rates [J]. International Journal of Plasticity, 2023, 168: 103691. DOI: 10.1016/j.ijplas.2023.103691. [33] CHEN X, LIU L, GAO R J, et al. Molecular dynamics simulation of the heterostructure of the CoCrFeMnNi high entropy alloy under an impact load [J]. Modelling and Simulation in Materials Science and Engineering, 2023, 31(8): 085020. DOI: 10.1088/1361-651X/ad084d. [34] PLIMPTON S. Fast parallel algorithms for short-range molecular dynamics [J]. Journal of Computational Physics, 1995, 117(1): 1–19. DOI: 10.1006/jcph.1995.1039. [35] FARKAS D, CARO A. Model interatomic potentials for Fe-Ni-Cr-Co-Al high-entropy alloys [J]. Journal of Materials Research, 2020, 35(22): 3031–3040. DOI: 10.1557/jmr.2020.294. [36] YANG Y C, LIU C X, LIN C Y, et al. The effect of local atomic configuration in high-entropy alloys on the dislocation behaviors and mechanical properties [J]. Materials Science and Engineering: A, 2021, 815: 141253. DOI: 10.1016/j.msea.2021.141253. [37] JONES J E. On the determination of molecular fields: Ⅱ. from the equation of state of a gas [J]. Proceedings of the Royal Society A: Mathematical, Physical and Engineering Sciences, 1924, 106(738): 463–477. DOI: 10.1098/rspa.1924.0082. [38] FAKEN D, JÓNSSON H. Systematic analysis of local atomic structure combined with 3D computer graphics [J]. Computational Materials Science, 1994, 2(2): 279–286. DOI: 10.1016/0927-0256(94)90109-0. [39] STUKOWSKI A. Structure identification methods for atomistic simulations of crystalline materials [J]. Modelling and Simulation in Materials Science and Engineering, 2012, 20(4): 045021. DOI: 10.1088/0965-0393/20/4/045021. [40] TANG Y Q, LI D Y. Dynamic response of high-entropy alloys to ballistic impact [J]. Science Advances, 2022, 8(32): eabp9096. DOI: 10.1126/sciadv.abp9096. [41] LIANG Z Y, WANG X, HUANG W, et al. Strain rate sensitivity and evolution of dislocations and twins in a twinning-induced plasticity steel [J]. Acta Materialia, 2015, 88: 170–179. DOI: 10.1016/j.actamat.2015.01.013. [42] LI X Y, WEI Y J, LU L, et al. Dislocation nucleation governed softening and maximum strength in nano-twinned metals [J]. Nature, 2010, 464(7290): 877–880. DOI: 10.1038/nature08929. [43] MONAVARI M, ZAISER M. Annihilation and sources in continuum dislocation dynamics [J]. Materials Theory, 2018, 2(1): 3. DOI: 10.1186/s41313-018-0010-z. [44] ANDERSON JR C E. Analytical models for penetration mechanics: a review [J]. International Journal of Impact Engineering, 2017, 108: 3–26. DOI: 10.1016/j.ijimpeng.2017.03.018. [45] RECHT R F, IPSON T W. Ballistic perforation dynamics [J]. Journal of Applied Mechanics, 1963, 30(3): 384–390. DOI: 10.1115/1.3636566.  - 
						
						
						
						
						
					 

    						
	   			
							
							
下载: