• ISSN 1001-1455  CN 51-1148/O3
  • EI、Scopus、CA、JST、EBSCO、DOAJ收录
  • 力学类中文核心期刊
  • 中国科技核心期刊、CSCD统计源期刊

燃料浓度对受限空间内氢气/空气预混气体爆炸特性的影响

楚紫涵 张云 安文鑫 唐新宇 张欣 赵越 谭迎新 曹雄 尉存娟 曹卫国

楚紫涵, 张云, 安文鑫, 唐新宇, 张欣, 赵越, 谭迎新, 曹雄, 尉存娟, 曹卫国. 燃料浓度对受限空间内氢气/空气预混气体爆炸特性的影响[J]. 爆炸与冲击. doi: 10.11883/bzycj-2025-0140
引用本文: 楚紫涵, 张云, 安文鑫, 唐新宇, 张欣, 赵越, 谭迎新, 曹雄, 尉存娟, 曹卫国. 燃料浓度对受限空间内氢气/空气预混气体爆炸特性的影响[J]. 爆炸与冲击. doi: 10.11883/bzycj-2025-0140
CHU Zihan, ZHANG Yun, AN Wenxin, TANG Xinyu, ZHANG Xin, ZHAO Yue, TAN Yingxin, CAO Xiong, YU Cunjuan, CAO Weiguo. The influence of fuel concentration on the explosion dynamics characteristics of hydrogen/air premixed gas in confined spaces[J]. Explosion And Shock Waves. doi: 10.11883/bzycj-2025-0140
Citation: CHU Zihan, ZHANG Yun, AN Wenxin, TANG Xinyu, ZHANG Xin, ZHAO Yue, TAN Yingxin, CAO Xiong, YU Cunjuan, CAO Weiguo. The influence of fuel concentration on the explosion dynamics characteristics of hydrogen/air premixed gas in confined spaces[J]. Explosion And Shock Waves. doi: 10.11883/bzycj-2025-0140

燃料浓度对受限空间内氢气/空气预混气体爆炸特性的影响

doi: 10.11883/bzycj-2025-0140
基金项目: 国家自然科学基金项目(12202409);山西省基础研究重大项目(202403021223003);山西省高等学校青年学术带头人项目(2024Q024)
详细信息
    作者简介:

    楚紫涵(2002- ),女,博士研究生,B202514003@nuc.edu.cn

    通讯作者:

    张 云(1986- ),女,博士,副教授,zhangyun@nuc.edu.cn

  • 中图分类号: O389

The influence of fuel concentration on the explosion dynamics characteristics of hydrogen/air premixed gas in confined spaces

  • 摘要: 氢能作为一种零碳能源,凭借其高能量密度和零碳排放的特性,在国防关键系统中具有广阔的应用前景。为提高能源的利用效率并保障安全,采用试验与数值模拟相结合的方法,系统研究了受限空间内氢气浓度对爆炸动力学特性的影响;在圆柱形容器中进行试验,使用压力传感器和高速摄像机记录爆炸过程中的压力变化和火焰传播规律;同时,结合CFD数值模拟技术,采用包含19步反应的氢气/空气详细化学反应机理,准确捕捉了预混气体爆炸过程中气流速度的时空演化过程。结果表明:最大爆炸压力出现在氢气体积分数为30%时,峰值达到0.623 94 MPa;火焰面积峰值在氢气体积分数为30%和45%工况下最大,相比体积分数为15%和60%时分别提高了14.6%和6.3%,其中,氢气体积分数为30%时,火焰面积在8.2 ms时最快达到峰值。此外,在圆柱侧壁与端壁交界区域,由于几何约束导致未燃氢气积聚,造成局部密度和压力升高,在流场中形成4个明显的高速区。在9 ms时,流场中心线上的气流速度呈对称分布,且单侧出现双峰值结构。在氢气体积分数为45%工况下,初期气流速度因局部热释放较强而呈现瞬态速度优势;而氢气体积分数为30%时,凭借其持续稳定的燃烧过程,气流在后期实现速度反超,体现出近化学计量比条件下的高效燃烧稳定性,为高效氢气燃烧系统的设计与性能提升提供了科学依据。
  • 图  1  氢能在国防工业相关领域中的应用

    Figure  1.  Hydrogen energy in fields related to the defense industry

    图  2  试验装置示意图

    Figure  2.  Schematic diagram of the test setup

    图  3  网格划分示意图

    Figure  3.  Schematic diagram of meshing

    图  4  数值模拟结果验证

    Figure  4.  Validation of numerical simulation results

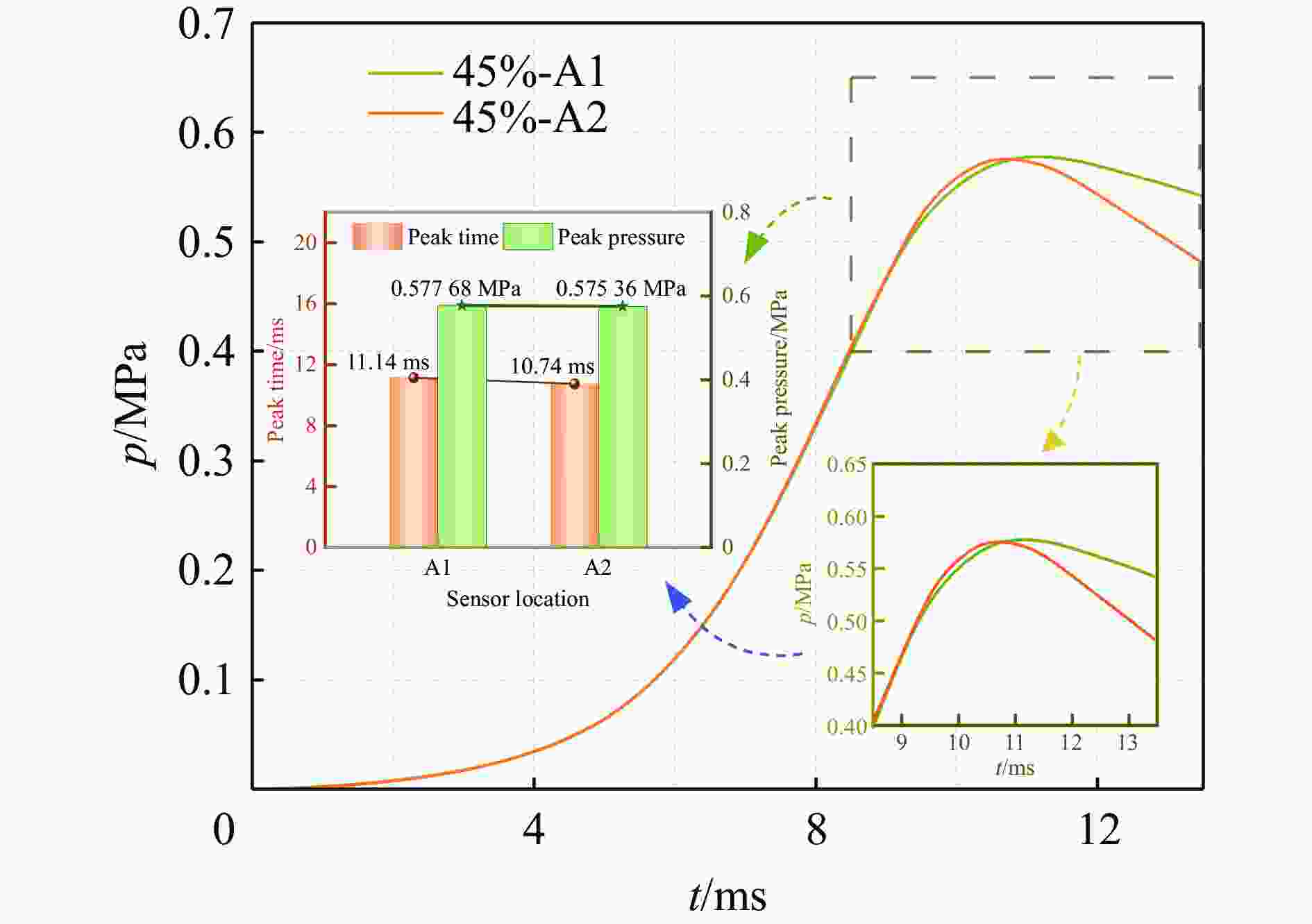
    图  5  氢气体积分数为45%时A1与A2监测点测得的压力曲线

    Figure  5.  Pressure curves measured at monitoring points A1 and A2 when the volume fraction of hydrogen is 45%

    图  6  理论最大爆炸压力与实际最大爆炸压力(A2)

    Figure  6.  Theoretical maximum explosion pressure compared to actual maximum explosion pressure (A2)

    图  7  氢气体积分数为30%和60%时爆炸压力以及压力上升速率曲线

    Figure  7.  Explosive pressure and pressure rise rate curves for when the volume fraction of hydrogen is 30% and 60%

    图  8  受限空间内氢气体积分数为45 vol.%时火焰传播图像

    Figure  8.  Flame propagation images in a confined space when the volume fraction of hydrogen is 45%

    图  9  氢气体积分数为30 vol.%时火焰传播面积曲线

    Figure  9.  Flame propagation area curve when the volume fraction of hydrogen is 30%

    图  10  不同氢气体积分数下火焰传播面积特性参数

    Figure  10.  Characteristic parameters of flame propagation area at different volume fractions of hydrogen

    图  11  氢气体积分数为30%时容器中的速度场分布

    Figure  11.  Velocity field distribution in the vessel when the volume fractions of hydrogen is 30%

    图  12  氢气体积分数为30%时的流场分布

    Figure  12.  Flow field distribution when the volume fractions of hydrogen is 30%

    图  13  不同氢气体积分数下气流速度云图

    Figure  13.  Velocity clouds of airflow at different volume fractions of hydrogen

  • [1] ZHANG C B, JIN P G, CHEN C F, et al. Flame propagation characteristics and surface functional groups changes of corn starch dust during the combustion process [J]. Powder Technology, 2023, 430: 118995. DOI: 10.1016/j.powtec.2023.118995.
    [2] ZHAO Y, XIAO X, ZHANG X, et al. Experiment study on the explosion suppressing characteristics and mechanism of melamine cyanurate and ammonium dihydrogen phosphate for lignite dust [J]. Powder Technology, 2024, 448: 120246. DOI: 10.1016/j.powtec.2024.120246.
    [3] WANG B, ZHANG C B, ZHANG X, et al. Exploration of corn starch dust combustion and explosion mechanisms via thermal decomposition and functional group changes [J]. Powder Technology, 2025, 456: 120816. DOI: 10.1016/j.powtec.2025.120816.
    [4] ZHANG Y, LIU R Q, CAO W G, et al. Effects of RDX and HMX on the thermal stability properties of modified double-base propellants [J]. FirePhysChem, 2025, 5(5): 420–427. DOI: 10.1016/j.fpc.2025.01.006.
    [5] LI S Y, CHEN R K, ZHANG Y, et al. The effect of NH3 concentration on explosion venting characteristics and combustion mechanism [J]. International Journal of Hydrogen Energy, 2025, 101: 1172–1182. DOI: 10.1016/j.ijhydene.2025.01.021.
    [6] CHENG S Q, CHEN R K, ZHANG Y, et al. Exploring the venting properties and reaction mechanism of NH3/Air mixtures by combining experiments and molecular dynamics simulations [J]. International Journal of Hydrogen Energy, 2025, 109: 712–722. DOI: 10.1016/j.ijhydene.2025.02.147.
    [7] International Military Council on Climate and Security. The world climate and security report 2024 [R]. IMCCS, 2021.
    [8] PATA U K, DESTEK M A, MANGA M, et al. Militarization of NATO countries sparks climate change? Investigating the moderating role of technological progress and financial development [J]. Journal of Cleaner Production, 2023, 409: 137241. DOI: 10.1016/j.jclepro.2023.137241.
    [9] 吴蝶, 胡斌. 双碳目标下氢能产业发展的演化博弈研究 [J]. 工程管理科技前沿, 2024, 43(6): 90–96. DOI: 10.11847/fj.43.6.90.

    WU D, HU B. Research on the evolution game of hydrogen energy industry development under the double-carbon target [J]. Frontiers of Science and Technology of Engineering Management, 2024, 43(6): 90–96. DOI: 10.11847/fj.43.6.90.
    [10] LICHTHARDT J P, TAPPAN B C, DE N N, et al. Novel segregated solid propulsion system with separately stored fuel and oxidizer [J]. Propellants, Explosives, Pyrotechnics, 2022, 47(11): e202200142. DOI: 10.1002/prep.202200142.
    [11] ZHANG B B, CHENG Y F, MA X W, et al. Damage power enhancement of fuel air explosive with typical metal hydrides additions [J]. Case Studies in Thermal Engineering, 2024, 64: 105440. DOI: 10.1016/j.csite.2024.105440.
    [12] 李玉艳, 徐森, 蒋榕培, 等. 氧化亚氮基单元复合推进剂的燃烧热性能研究 [J]. 爆破器材, 2024, 53(2): 22–28. DOI: 10.3969/j.issn.1001-8352.2024.02.004.

    LI Y Y, XU S, JIANG R P, et al. Study on combustion heat and performances of nitrous oxide based composite monopropellant [J]. Explosive Materials, 2024, 53(2): 22–28. DOI: 10.3969/j.issn.1001-8352.2024.02.004.
    [13] CAO Y, GAO K H, LI B, et al. Influence of vent size and vent burst pressure on vented ethylene-air explosion: experimental and numerical study [J]. Process Safety and Environmental Protection, 2023, 170: 297–309. DOI: 10.1016/j.psep.2022.12.012.
    [14] LI H T, CHEN X K, SHU C M, et al. Experimental and numerical investigation of the influence of laterally sprayed water mist on a methane-air jet flame [J]. Chemical Engineering Journal, 2019, 356: 554–569. DOI: 10.1016/j.cej.2018.09.051.
    [15] ZHANG S Z, WANG X, ZHANG Q, et al. Numerical study on explosion risk and building structure dynamics of long-distance oil and gas tunnels [J]. Fire, 2024, 7(9): 302. DOI: 10.3390/fire7090302.
    [16] JING Q, XU H J, YANG Z Y, et al. The influence of jet medium disturbance on combustion of hydrogen-doped natural gas in low temperature environment [J]. Renewable Energy, 2025, 245: 122790. DOI: 10.1016/j.renene.2025.122790.
    [17] RUI S C, WANG Q, Wang C J, et al. Effects of ignition location and vent area on the external explosion in vented hydrogen explosions [J]. Process Safety and Environmental Protection, 2024, 183: 602–616. DOI: 10.1016/j.psep.2023.10.070.
    [18] WANG X Y, LI B, HAN B, et al. Explosion of high pressure hydrogen tank in fire: mechanism, criterion, and consequence assessment [J]. Journal of Energy Storage, 2023, 72: 108455. DOI: 10.1016/j.est.2023.108455.
    [19] WANG C H, GUO J, WANG H Z, et al. Duct-vented explosion of stoichiometric hydrogen/methane/air mixtures at various hydrogen ratios [J]. Fuel, 2023, 333(Pt 1): 126376. DOI: 10.1016/j.fuel.2022.126376.
    [20] CAO X Y, ZHOU Y Q, WANG Z R, et al. Experimental research on hydrogen/air explosion inhibition by the ultrafine water mist [J]. International Journal of Hydrogen Energy, 2022, 47(56): 23898–23908. DOI: 10.1016/j.ijhydene.2022.05.165.
    [21] 陈晓坤, 王君, 程方明. 氢气抑爆材料及其抑爆机理研究进展 [J]. 爆炸与冲击, 2024, 44(11): 111101. DOI: 10.11883/bzycj-2023-0418.

    CHEN X K, WANG J, CHENG F M. Research progress on hydrogen gas explosion suppression materials and their suppression mechanisms [J]. Explosion and Shock Waves, 2024, 44(11): 111101. DOI: 10.11883/bzycj-2023-0418.
    [22] 蔡冲冲, 苏洋, 王燕. 富氢甲烷的爆燃特性与爆炸抑制研究进展 [J]. 爆炸与冲击, 2024, 44(7): 071101. DOI: 10.11883/bzycj-2023-0330.

    CAI C C, SU Y, WANG Y. Research progress on the deflagration characteristics and explosion suppression of hydrogen-rich methane [J]. Explosion and Shock Waves, 2024, 44(7): 071101. DOI: 10.11883/bzycj-2023-0330.
    [23] 韩长霖, 田原. 某缩尺推力室燃烧和传热特性研究 [J]. 火箭推进, 2020, 46(1): 28–34. DOI: 10.3969/j.issn.1672-9374.2020.01.004.

    HAN C L, TIAN Y. Study on combustion and heat transfer characteristics of a scaled trust chamber [J]. Journal of Rocket Propulsion, 2020, 46(1): 28–34. DOI: 10.3969/j.issn.1672-9374.2020.01.004.
    [24] 岳文龙, 郑大勇, 颜勇, 等. 我国高性能液氧液氢发动机技术发展概述 [J]. 中国航天, 2021(10): 20–25. DOI: 10.3969/j.issn.1002-7742.2021.10.004.

    YUE W L, ZHENG D Y, YAN Y, et al. Overiew of technical development of high performance LOX/LH2 in China [J]. Aerospace China, 2021(10): 20–25. DOI: 10.3969/j.issn.1002-7742.2021.10.004.
    [25] OZBEK E, YALIN G, KARAOGLAN M U, et al. Architecture design and performance analysis of a hybrid hydrogen fuel cell system for unmanned aerial vehicle [J]. International Journal of Hydrogen Energy, 2021, 46(30): 16453–16464. DOI: 10.1016/j.ijhydene.2020.12.216.
    [26] CORAL G, KINEFUCHI K, NAKATA D, et al. Design and testing of additively manufactured high-efficiency resistojet on hydrogen propellant [J]. Acta Astronautica, 2021, 181: 14–27. DOI: 10.1016/j.actaastro.2020.12.047.
    [27] 郗雪辰, 杨鹏飞, 王宽亮. 非均匀氢气/空气混合物中一维爆轰波的振荡特性 [J]. 兵工学报, 2023, 44(4): 982–993. DOI: 10.12382/bgxb.2021.0804.

    XI X C, YANG P F, WANG K L. Oscillations characteristics of one-dimensional detonation waves in non-uniform hydrogen-air mixture [J]. Acta Armamentarii, 2023, 44(4): 982–993. DOI: 10.12382/bgxb.2021.0804.
    [28] 雷特, 武郁文, 徐高, 等. 基于大涡模拟方法的三维旋转爆轰流场结构研究 [J]. 兵工学报, 2024, 45(1): 85–96. DOI: 10.12382/bgxb.2022.0470.

    LEI T, WU Y W, XU G, et al. Study on three-dimensional rotating detonation flow field structures based on large eddy simulation [J]. Acta Armamentarii, 2024, 45(1): 85–96. DOI: 10.12382/bgxb.2022.0470.
    [29] HE X, YANG G D, KONG D P. Hydrogen jet fire accident prediction model for hydrogen refueling station based on hybrid neural network [J]. Process Safety and Environmental Protection, 2025, 197: 107027. DOI: 10.1016/j.psep.2025.107027.
    [30] HUANG Q, SUN Z Y, DU Y L. Enhancing safety in hydrogen storage: understanding the dynamic process in hydrogen-methane mixtures during the pressurized leakage [J]. Process Safety and Environmental Protection, 2024, 192: 1554–1565. DOI: 10.1016/j.psep.2024.10.100.
    [31] RUI S C, XIAO J J, WANG C J, et al. Numerical study of external explosion in vented hydrogen explosions [J]. Process Safety and Environmental Protection, 2024, 191: 1516–1533. DOI: 10.1016/j.psep.2024.09.022.
    [32] LI H C, HOUIM R W. Pore-scale resolved simulation of quenching, acceleration, and transition to detonation of hydrogen explosions by metal foams [J]. Combustion and Flame, 2024, 259: 113118. DOI: 10.1016/j.combustflame.2023.113118.
    [33] GUO Q, LIU J, LIANG W K, et al. Transition of characteristic explosion limits: from hydrogen to diethyl ether [J]. Combustion and Flame, 2024, 261: 113280. DOI: 10.1016/j.combustflame.2023.113280.
    [34] CHEN D, WU C Q, LI J. Assessment of modeling methods for predicting load resulting from hydrogen-air detonation [J]. Process Safety and Environmental Protection, 2023, 180: 752–765. DOI: 10.1016/j.psep.2023.10.051.
    [35] HU S T, ZHANG Z W, GONG H, et al. Effect of mesh aluminum alloy on hydrogen and propane explosion characteristics [J]. Process Safety and Environmental Protection, 2024, 192: 946–959. DOI: 10.1016/j.psep.2024.10.064.
    [36] 余明高, 阳旭峰, 郑凯, 等. 障碍物对甲烷/氢气爆炸特性的影响 [J]. 爆炸与冲击, 2018, 38(1): 19–27. DOI: 10.11883/bzycj-2017-0172.

    YU G M, YANG X F, ZHENG K, et al. Effect of obstacles on explosion characteristics of methane/hydrogen [J]. Explosion and Shock Waves, 2018, 38(1): 19–27. DOI: 10.11883/bzycj-2017-0172.
    [37] 马梦飞, 於星, 张爱凤, 等. 开放空间高压氢气射流中点火爆炸的实验研究 [J]. 爆炸与冲击, 2024, 44(6): 062101. DOI: 10.11883/bzycj-2023-0037.

    MA M F, YU X, ZHANG A F, et al. An experimental study on ignition and explosion of high-pressure hydrogen jet in open space [J]. Explosion and Shock Waves, 2024, 44(6): 062101. DOI: 10.11883/bzycj-2023-0037.
    [38] 杜赛枫, 张凯, 陈昊, 等. 破膜压力对氢-空气预混气体燃爆特性的影响 [J]. 爆炸与冲击, 2023, 43(2): 025401. DOI: 10.11883/bzycj-2022-0174.

    DU S F, ZHANG K, CHEN H, et al. Effects of vent burst pressure on explosion characteristics of premixed hydrogen-air gases [J]. Explosion and Shock Waves, 2023, 43(2): 025401. DOI: 10.11883/bzycj-2022-0174.
    [39] MA X Y, NIE B S, WANG W L, et al. Investigation on explosion characteristics of hydrogen-air mixtures diluted with inert gases in confined spaces [J]. International Journal of Hydrogen Energy, 2025, 100: 138–148. DOI: 10.1016/j.ijhydene.2024.11.461.
    [40] LI Y C, BI M S, ZHOU Y H, et al. Evaluation of unrestricted hydrogen and hydrogen-methane explosion venting through duct [J]. International Journal of Hydrogen Energy, 2021, 46(9): 7011–7021. DOI: 10.1016/j.ijhydene.2020.11.138.
    [41] CAO M T, ZHANG Y S, LI R Z, et al. Explosion and vented explosion behaviors of low-concentration gas in large-scale pipes [J]. Engineering Science and Technology, an International Journal, 2023, 42: 101410. DOI: 10.1016/j.jestch.2023.101410.
    [42] 皇新宇, 纪强, 张宪堂, 等. 地应力作用下四孔掏槽爆破破岩机理数值模拟研究 [J]. 山东科技大学学报(自然科学版), 2022, 41(2): 60-69. DO1: 10.16452/j. cnki. sdkjzk. 2022.02. 007.

    HUANG X Y, JI Q, ZHANG X T, et al. Numerical simulation research on rock breaking mechanism of four-hole cut blasting under ground stress [J]. Journal of Shandong University of Science and Technology (Natural Science), 2022, 41(2): 60-69. DO1: 10.16452/j. cnki. sdkjzk. 2022.02. 007.
    [43] LIU C W, LIAO Y H, YANG W, et al. Estimation of explosion overpressure associated with background leakage in natural gas pipelines [J]. Journal of Natural Gas Science and Engineering, 2021, 89: 103883. DOI: 10.1016/j.jngse.2021.103883.
    [44] I Y P, CHENG T L. Application of CFD model in an LPG tank explosion accident [J]. Journal of Loss Prevention in the Process Industries, 2021, 69: 104367. DOI: 10.1016/j.jlp.2020.104367.
    [45] MOMFERATOS G, GIANNISSI S G, TOLIAS I C, et al. Vapor cloud explosions in various types of confined environments: CFD analysis and model validation [J]. Journal of Loss Prevention in the Process Industries, 2022, 75: 104681. DOI: 10.1016/j.jlp.2021.104681.
    [46] PICO P, RATKOVICH N, MUÑOZ F, et al. Analysis of the explosion behaviour of wheat starch/pyrolysis gases hybrid mixtures through experimentation and CFD-DPM simulations [J]. Powder Technology, 2020, 374: 330–347. DOI: 10.1016/j.powtec.2020.07.016.
    [47] GANJI H B, EBRAHIMI R. Numerical estimation of blowout, flashback, and flame position in MIT micro gas-turbine chamber [J]. Chemical Engineering Science, 2013, 104: 857–867. DOI: 10.1016/j.ces.2013.09.056.
    [48] FENG G J, ZHANG J L, CHEN M X, et al. Mathematical representation of liquid jet diffusion characteristics effected with evaporation process in supersonic crossflow [J]. Fuel, 2023, 353: 129110. DOI: 10.1016/j.fuel.2023.129110.
    [49] SONG Y F, ZHANG Q. Quantitative research on gas explosion inhibition by water mist [J]. Journal of Hazardous Materials, 2019, 363: 16–25. DOI: 10.1016/j.jhazmat.2018.09.059.
    [50] ZHUANG C J, ZHANG L J, TAO G, et al. Effect of concentration, obstacles, and ignition location on the explosion overpressure of hydrogen-air in a closed-vessel [J]. International Journal of Hydrogen Energy, 2023, 48(61): 23737–23747. DOI: 10.1016/j.ijhydene.2023.03.024.
  • 加载中
图(13)
计量
  • 文章访问数:  661
  • HTML全文浏览量:  311
  • PDF下载量:  269
  • 被引次数: 0
出版历程
  • 收稿日期:  2025-05-14
  • 修回日期:  2025-09-01
  • 网络出版日期:  2025-09-04

目录

    /

    返回文章
    返回