Modeling and analysis of non-medicinal type underwater explosion shock wave loading using PD-SPH coupling method
-
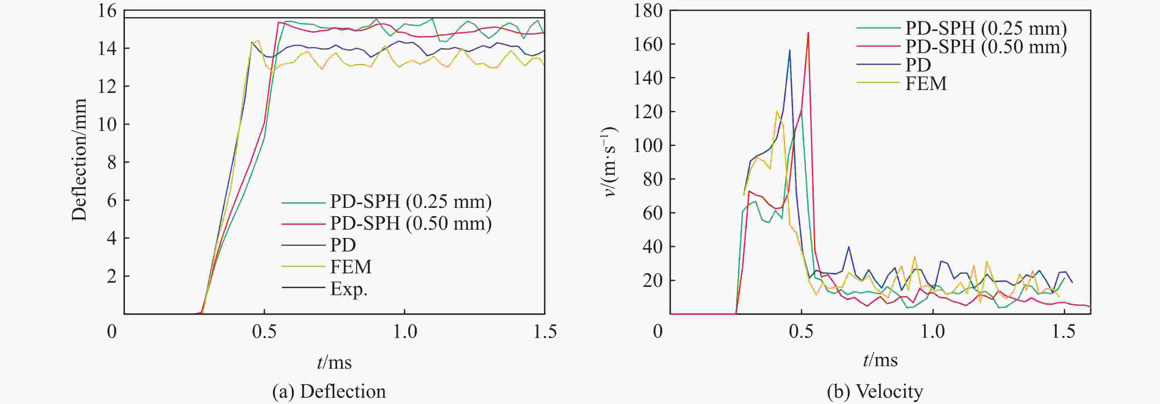
摘要: 舰艇抗爆炸冲击性能评估面临强非线性流固耦合、结构大变形及损伤破坏演化等关键力学问题挑战。通过耦合近场动力学(peridynamics, PD)和光滑粒子流体动力学(smoothed particle hydrodynamics, SPH)的各自优势,构建适用于水下爆炸冲击模拟的高效PD-SPH数值模型。采用SPH模拟水下冲击波传播及其流固耦合效应,通过PD方法精确表征固体结构从弹性变形至渐进损伤破坏的全过程力学行为,建立非药式水下爆炸冲击波加载装置的PD-SPH数值模型。针对大规模粒子计算效率瓶颈,开发基于区域分解与数据通信机制的多GPU并行计算框架。通过系统验证与并行效率测试表明,该方法可准确预测冲击波壁面压力与靶体动态变形,成功复现薄板结构的典型裂纹扩展模式,并可开展复杂夹层板毁伤全过程模拟。在超过500万个粒子的复杂流固耦合场景中,实际计算时间可以压缩到近1个小时。研究成果可为舰艇抗爆结构设计提供了高精度、高效率的数值分析工具,对水下爆炸流固耦合问题的工程应用具有重要参考价值。
-
关键词:
Abstract: The evaluation method of ship's explosion shock resistance is challenged by some key mechanical problems, such as strong nonlinear fluid-structure coupling, large-deformation and failure evolution of solid structure. By coupling the respective advantages of peridynamics (PD) and smoothed particle hydrodynamics (SPH), an efficient PD-SPH numerical model suitable for underwater explosion shock simulations is developed. The SPH method is employed to simulate underwater shock wave propagation and fluid-structure interaction, while the PD method accurately characterizes the complete mechanical behavior of solid structures from elastic deformation to progressive damage failure. A PD-SPH numerical model is established for non-medicinal underwater shock wave loading devices. To improve the computational efficiency in large-scale simulations, a multi-GPU parallel computing framework based on domain decomposition and data-communication mechanisms is established. Model validation and parallel efficiency tests demonstrate that the proposed method can accurately predict shock wave wall pressure and target dynamic deformation, successfully reproduce typical crack propagation patterns in thin-plate structures, and simulate the entire damage process of complex grid sandwich structure. In complex fluid-structure coupling scenarios with more than 5 million particles, the actual calculation time can be compressed to nearly 1 hours. The research outcomes provide a high-precision and efficient numerical analysis tool for the design of explosion-resistant naval structures, offering significant reference value for engineering applications of fluid-structure interaction in underwater explosion problems. -
计量
- 文章访问数: 239
- HTML全文浏览量: 30
- PDF下载量: 61
- 被引次数: 0


下载: