Simulation on the oblique penetration of an elliptical cross-section projectile into concrete
-
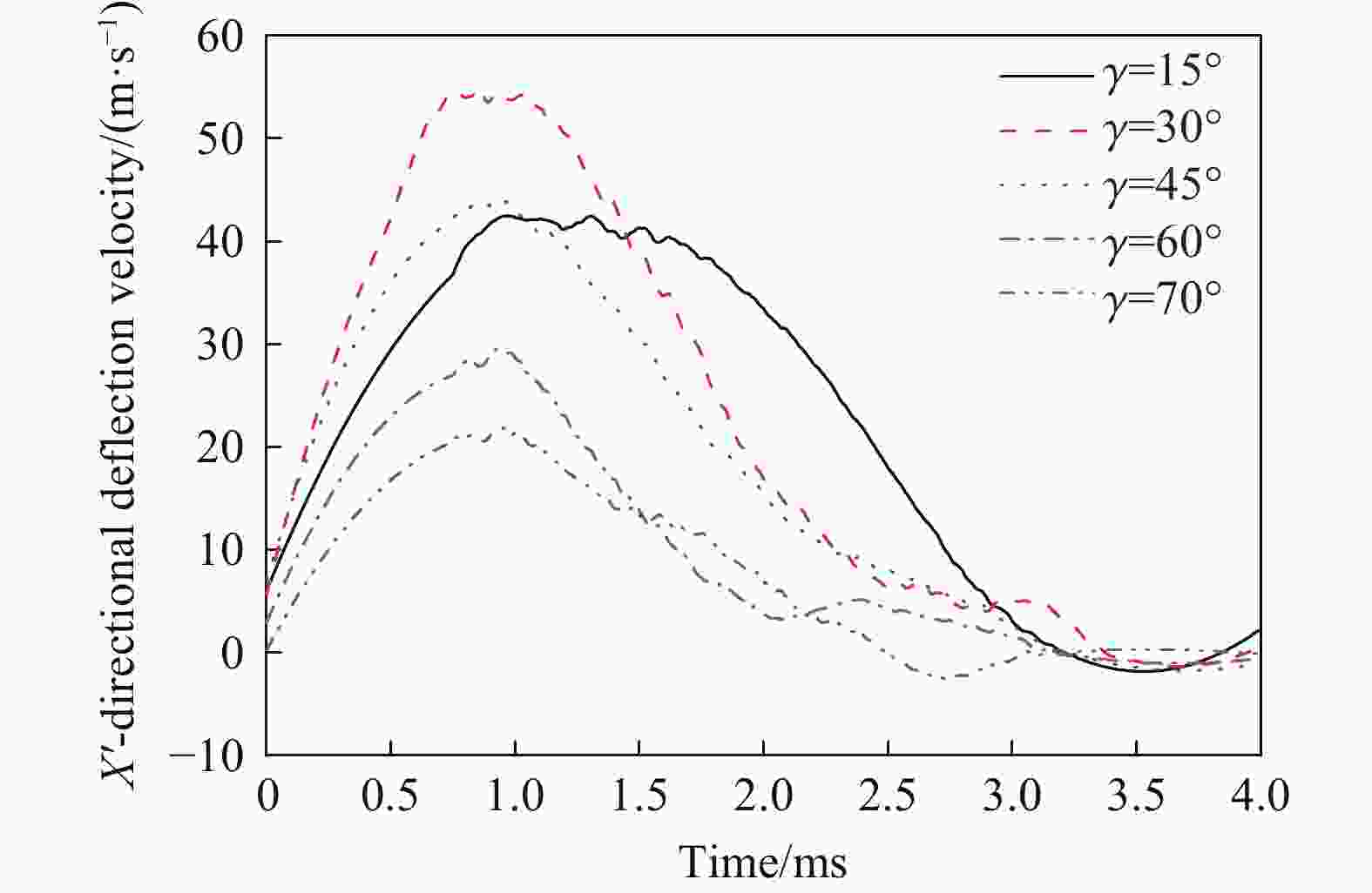
摘要: 为了获取椭圆截面弹体斜侵彻混凝土的弹道特性,采用数值模拟方法开展了系统性研究。构建了可靠的数值模拟模型,对影响弹道偏转的倾角、攻角和滚转角进行了解耦,开展了不同落角下椭圆截面弹体斜侵彻混凝土的数值模拟,深入分析并揭示了弹道偏转、自旋转演变规律及机理。研究结果表明:倾角和攻角导致弹体上、下表面受力面积存在差异,且攻角还会造成弹体表面应力分布不对称,最终产生偏转力矩驱动弹体偏转;随着倾角和攻角的增大,弹体角速度、姿态角和弹道偏移总体上呈增大趋势。在带倾角斜侵彻情况下,竖姿弹体偏转慢、持续时间长,而平姿弹体偏转快、持续时间短,两者在弹道稳定性方面不存在绝对的优劣;在带攻角斜侵彻情况下,竖姿弹体的弹道稳定性相对平姿弹体更好。滚转角叠加倾角导致弹靶交会条件不对称,弹体除偏移和偏转外,还有绕轴的自旋转运动;当滚转角由0°向90°增大时,弹靶交会条件经历对称至不对称再至对称的转变,弹体在水平方向的偏移量和滚转角增量呈先增大后减小的趋势。研究成果可为椭圆截面弹体实际工程应用提供参考。Abstract: To obtain the ballistic characteristics of the oblique penetration of an elliptical cross-section projectile into concrete, a systematic study was carried out using numerical simulation. A reliable finite element numerical simulation model was constructed. The oblique angle, attack angle and axis spin angle that affect the ballistic deflection were decoupling. Numerical simulations of the oblique penetration of an elliptical cross-section projectile into concrete under different drop angles were carried out. The evolution laws of ballistic deflection and spin were deeply analyzed, and the mechanisms of ballistic deflection and spin were explained. The results show that the oblique angle and attack angle lead to the asymmetry of the force-bearing areas on the upper and lower surfaces of the projectile, and the attack angle also leads to the asymmetry of the surface stress of the projectile, eventually generating a deflection torque that prompts the deflection of the projectile. The angular velocity, attitude angle and ballistic offset of the projectile increase with the increases of the oblique angle and attack angle. In the case of oblique penetration with an oblique angle, the projectile in the upright position (γ=0°) deflects slowly and for a long time, while the projectile in the lying position (γ=90°) deflects quickly and for a short time. There is no absolute superiority or inferiority between the two positions in terms of ballistic stability. In the case of oblique penetration with an attack angle, the ballistic stability of the projectile in the upright position is better than that of the projectile in the lying position. The combined effects of the axis spin angle and oblique angle lead to the asymmetry of the projectile-target intersection. Besides offset and deflection, the projectile also has a self-rotating motion around the axis. When the axis spin angle increases from 0° to 90°, the projectile-target intersection condition undergoes a transformation from symmetry to asymmetry and then back to symmetry. The offset in the horizontal direction and the axis spin angle increment of the projectile first increase and then decrease. The research results provide important references for the practical engineering application of the elliptical cross-section projectile.
-
表 1 弹体材料Johnson-Cook本构模型参数[21]
Table 1. Parameters of steel 35CrMnSiA for Johnson-Cook constitutive model[21]
ρ/(g·cm−3) E/GPa $ \nu $ A/MPa B/MPa n C m Tmelt/K 7.85 210 0.29 1280 346 0.372 0.015 1.027 1775 ρ/(g·cm−3) fc/GPa A1 B1 C1 SF,max G/GPa D1 D2 N 2.4 0.035 0.79 1.60 0.007 7 14.8 0.04 1.0 0.61 EF,min T/GPa Pcrush/GPa μcrush μlock Plock/GPa K1/GPa K2/GPa K3/GPa $ {\dot{\varepsilon }}_{00} $ 0.01 0.004 0.016 0.001 0.1 0.8 85 −171 208 1E-6 表 3 数值模拟结果与实验数据的对比
Table 3. Comparison of simulation results with experimental data
实验编号 弹体类型 侵彻速度/(m·s−1) 靶板倾角/° 初始滚转角/° 最终滚转角 侵彻深度 实验值/° 模拟值/° 误差/% 实验值/mm 模拟值/mm 误差/% 4 E1 840 30 54.0 67.0 61.4 8.4 554.4 596.0 7.5 -
[1] 王文杰, 张先锋, 邓佳杰, 等. 椭圆截面弹体侵彻砂浆靶规律分析 [J]. 爆炸与冲击, 2018, 38(1): 164–173. DOI: 10.11883/bzycj-2017-0020.WANG W J, ZHANG X F, DENG J J, et al. Analysis of projectile penetrating into mortar target with elliptical cross-section [J]. Explosion and Shock Waves, 2018, 38(1): 164–173. DOI: 10.11883/bzycj-2017-0020. [2] 刘子豪, 武海军, 高旭东, 等. 椭圆截面弹体侵彻混凝土阻力特性研究 [J]. 北京理工大学学报, 2019, 39(2): 135–141,146. DOI: 10.15918/j.tbit1001-0645.2019.02.005.LIU Z H, WU H J, GAO X D, et al. Study on the resistance characteristics of elliptical cross-section projectile penetrating concrete [J]. Transactions of Beijing Institute of Technology, 2019, 39(2): 135–141,146. DOI: 10.15918/j.tbit1001-0645.2019.02.005. [3] DONG H, LIU Z H, WU H J, et al. Study on penetration characteristics of high-speed elliptical cross-sectional projectiles into concrete [J]. International Journal of Impact Engineering, 2019, 132: 103311. DOI: 10.1016/j.ijimpeng.2019.05.025. [4] LIU J W, LIU C, ZHANG X W, et al. Research on the penetration characteristics of elliptical cross-section projectile into semi-infinite metal targets [J]. International Journal of Impact Engineering, 2023, 173: 104438. DOI: 10.1016/j.ijimpeng.2022.104438. [5] 刘均伟, 张先锋, 刘闯, 等. 椭圆截面弹体侵彻性能的影响因素分析 [J]. 爆炸与冲击, 2023, 43(9): 091409. DOI: 10.11883/bzycj-2023-0132.LIU J W, ZHANG X F, LIU C, et al. Influencing factors of penetration performance of an elliptical cross-section projectile [J]. Explosion and Shock Waves, 2023, 43(9): 091409. DOI: 10.11883/bzycj-2023-0132. [6] 刘均伟, 张先锋, 赵瑶瑶, 等. 在椭圆横截面弹体正侵彻下有限厚铝靶的破坏模式及响应特性 [J]. 爆炸与冲击, 2022, 42(12): 123301. DOI: 10.11883/bzycj-2022-0249.LIU J W, ZHANG X F, ZHAO Y Y, et al. Failure modes and response characteristics of finite-thickness aluminum targets under normal penetration of elliptical cross-section projectiles [J]. Explosion and Shock Waves, 2022, 42(12): 123301. DOI: 10.11883/bzycj-2022-0249. [7] DAI X H, WANG K H, DUAN J, et al. A rigid elliptical cross-sectional projectile with different geometrical characteristics penetration into concrete target [J]. Journal of Physics: Conference Series, 2020, 1507(3): 032001. DOI: 10.1088/1742-6596/1507/3/032001. [8] DAI X H, WANG K H, LI M R, et al. Rigid elliptical cross-section ogive-nose projectiles penetration into concrete targets [J]. Defence Technology, 2021, 17(3): 800–811. DOI: 10.1016/j.dt.2020.05.011. [9] DAI X H, WANG K H, ZHOU G, et al. Analytical and experimental study on elliptical cross-section double-ogive-nose projectile penetration into plain concrete target [J]. Latin American Journal of Solids and Structures, 2024, 21(2): e527. DOI: 10.1590/1679-78257753. [10] 戴湘晖, 王可慧, 周刚, 等. 刚性椭圆截面弹体侵彻性能理论研究 [J]. 现代应用物理, 2024, 15(6): 061001. DOI: 10.12061/j.issn.2095-6223.202407055.DAI X H, WANG K H, ZHOU G, et al. Theoretical study on penetration performance of rigid elliptical cross-section projectile [J]. Modern Applied Physics, 2024, 15(6): 061001. DOI: 10.12061/j.issn.2095-6223.202407055. [11] DONG H, WU H J, REN G, et al. Complexity of space trajectory and macro-micro failure mechanism of elliptical projectile penetrating concrete at high velocity [J]. International Journal of Impact Engineering, 2025, 204: 105386. DOI: 10.1016/j.ijimpeng.2025.105386. [12] 王浩, 武海军, 闫雷, 等. 椭圆横截面弹体斜贯穿双层间隔薄钢板失效模式 [J]. 兵工学报, 2020, 41(S2): 1–11.WANG H, WU H J, YAN L, et al. Failure mode of oblique perforation of truncated ogive-nosed projectiles with elliptic cross-section into double-layered thin steel plate with gap space [J]. Acta Armamentarii, 2020, 41(S2): 1–11. [13] 田泽, 王浩, 武海军, 等. 椭圆变截面弹体斜贯穿薄靶姿态偏转机理 [J]. 兵工学报, 2022, 43(7): 1537–1552. DOI: 10.12382/bgxb.2021.0367.TIAN Z, WANG H, WU H J, et al. Attitude deflection mechanism of projectiles with variable elliptical cross-sections obliquely perforating thin targets [J]. Acta Armamentarii, 2022, 43(7): 1537–1552. DOI: 10.12382/bgxb.2021.0367. [14] 朱超, 张晓伟, 张庆明, 等. 弹体斜侵彻双层钢板的结构响应和失效研究 [J]. 爆炸与冲击, 2023, 43(9): 091408. DOI: 10.11883/bzycj-2023-0017.ZHU C, ZHANG X W, ZHANG Q M, et al. Structural response and failure of projectiles obliquely penetrating into double-layered steel plate targets [J]. Explosion and Shock Waves, 2023, 43(9): 091408. DOI: 10.11883/bzycj-2023-0017. [15] 杨士林, 高旭东, 张先锋, 等. 椭圆类截面弹体侵彻多层间隔钢靶的弹道特性 [J]. 爆炸与冲击, 2025, 45(3): 033303. DOI: 10.11883/bzycj-2024-0096.YANG S L, GAO X D, ZHANG X F, et al. Trajectory characteristics of elliptical cross-section projectile penetrating multi-layer spaced steel targets [J]. Explosion and Shock Waves, 2025, 45(3): 033303. DOI: 10.11883/bzycj-2024-0096. [16] WU H J, DENG X M, DONG H, et al. Three-dimensional trajectory prediction and analysis of elliptical projectile [J]. International Journal of Impact Engineering, 2023, 174: 104497. DOI: 10.1016/j.ijimpeng.2023.104497. [17] 魏海洋, 张先锋, 熊玮, 等. 椭圆截面弹体斜侵彻金属靶体弹道研究 [J]. 爆炸与冲击, 2022, 42(2): 023304. DOI: 10.11883/bzycj-2021-0291.WEI H Y, ZHANG X F, XIONG W, et al. Oblique penetration of elliptical cross-section projectile into metal target [J]. Explosion and Shock Waves, 2022, 42(2): 023304. DOI: 10.11883/bzycj-2021-0291. [18] 魏海洋. 椭圆截面弹体斜侵彻金属靶体弹道特性研究 [D]. 南京: 南京理工大学, 2022. DOI: 10.27241/d.cnki.gnjgu.2022.000186.WEI H Y. Research on the characteristics of penetration trajectory of elliptical cross-section projectile into metal targets [D]. Nanjing: Nanjing University of Science & Technology, 2022. DOI: 10.27241/d.cnki.gnjgu.2022.000186. [19] JOHNSON G R, COOK W H. A constitutive model and data for metals subjected to large strains, high strain rates and high temperatures [C]//Proceedings of the 7th International Symposium on Ballistics. The Hague, The Netherlands, 1983: 541–547. [20] JOHNSON G R, COOK W H. Fracture characteristics of three metals subjected to various strains, strain rates, temperatures and pressures [J]. Engineering Fracture Mechanics, 1985, 21(1): 31–48. DOI: 10.1016/0013-7944(85)90052-9. [21] 戴湘晖, 段建, 周刚, 等. 低速弹体贯穿钢筋混凝土多层靶的破坏特性 [J]. 兵工学报, 2018, 39(4): 698–706. DOI: 10.3969/j.issn.1000-1093.2018.04.009.DAI X H, DUAN J, ZHOU G, et al. Damage effect of low velocity projectile perforating into multi-layered reinforced concrete slabs [J]. Acta Armamentarii, 2018, 39(4): 698–706. DOI: 10.3969/j.issn.1000-1093.2018.04.009. [22] HOLMQUIST T J, JOHNSON G R, COOK W H. A computational constitutive model for concrete subjected to large strains, high strain rates and high pressures [C] //Proceedings of the 14th International Symposium. 1993: 591–600. [23] 任根茂, 吴昊, 方秦, 等. 普通混凝土HJC本构模型参数确定 [J]. 振动与冲击, 2016, 35(18): 9–16. DOI: 10.13465/j.cnki.jvs.2016.14.002.REN G M, WU H, FANG Q, et al. Determinations of HJC constitutive model parameters for normal strength concrete [J]. Journal of Vibration and Shock, 2016, 35(18): 9–16. DOI: 10.13465/j.cnki.jvs.2016.14.002. [24] REN G M, WU H, FANG Q, et al. Triaxial compressive behavior of UHPCC and applications in the projectile impact analyses [J]. Construction and Building Materials, 2016, 113: 1–14. DOI: 10.1016/j.conbuildmat.2016.02.227. -


下载: