Experimental study on the coupling of shock wave and temperature field from a thermobaric explosive in a confined space
-
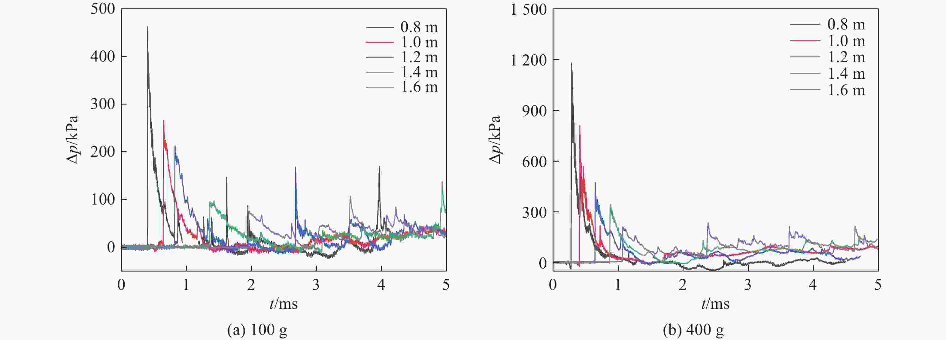
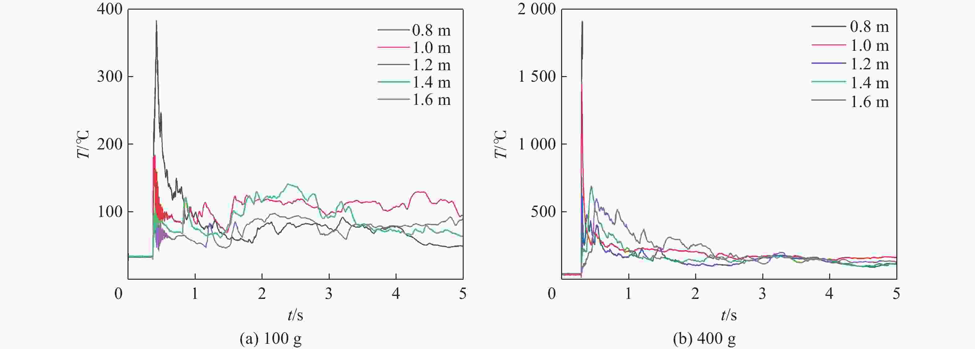
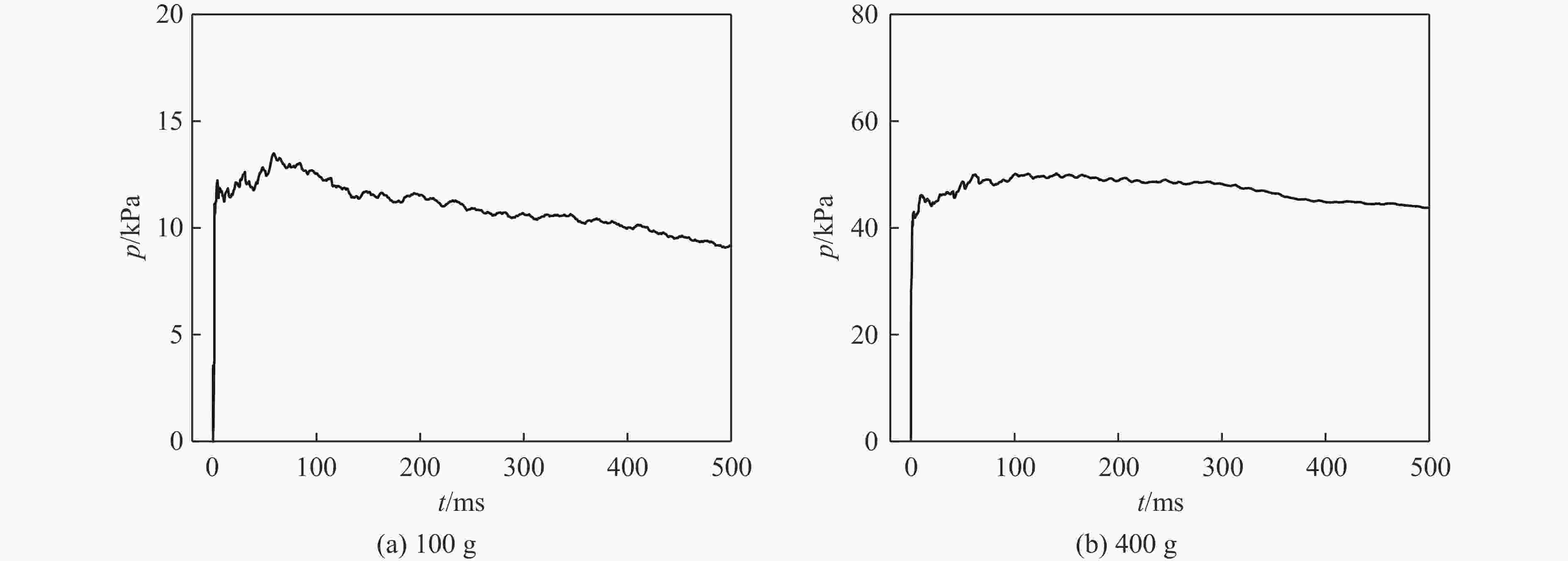
摘要: 为研究温压炸药在密闭空间内爆炸时冲击波与温度的耦合增强效应,以100~400 g温压炸药为研究对象,在密闭建筑空间内开展爆炸试验研究,利用压力传感器和热电偶获得了密闭空间内不同位置处的爆炸压力和温度数据,揭示了温压炸药爆炸产生的冲击波与温度场演变特征及传播规律。结果表明:温压炸药内爆炸产生的温度场具有显著的二次升温和长持时特征;建立了基于比例爆距的初始温度峰值衰减模型。温压炸药内爆炸冲击波超压峰值的TNT等效当量系数随比例爆距的增大呈下凹双曲线变化趋势,在比例爆距为1.7 m/kg1/3时,冲击波超压的TNT等效当量系数达到最小值1.43,该位置是有氧后燃反应能量对冲击波超压峰值产生显著作用的转折点。建立了冲击波超压峰值的两阶段预测模型,分别描述了非理想爆轰与铝粉有氧后燃效应在不同区域对冲击波超压的贡献。基于爆炸产物膨胀和后燃升温引起的压力上升,建立了温压炸药内爆炸准静态压力预测模型,以100 g装药的准静态压力为基准,200、300、400 g装药质量下的准静态压力分别增至基准值的2.27、3.21、4.18倍,准静态压力在爆轰产物和后燃升温的耦合作用下呈非线性增长。Abstract: In order to investigate the coupled enhancement effects of shock wave and temperature generated by thermobaric explosives in confined spaces, internal explosion experiments were conducted with 100−400 g charges in a confined building space. Pressure sensors and thermocouples were employed to obtain the explosion pressure and temperature data at different locations within the confined space. The experiments revealed the evolution characteristics and propagation patterns of the shock wave and temperature field produced by the thermobaric explosive. The results show that the temperature generated by the internal explosion of the thermobaric explosive exhibits significant secondary heating and prolonged duration characteristics. A decay model for the initial peak temperature based on the scaled distance was established. The TNT equivalence coefficient of the shock wave from the internal explosion of the thermobaric explosive exhibits a concave hyperbolic trend with increasing scaled distance. At a scaled distance of 1.7 m/kg1/3, the TNT equivalence coefficient of the shock wave overpressure reaches a minimum value of 1.43, indicating that this position is the turning point where the energy from aerobic afterburn combustion exerts a significant effect on the peak overpressure. A two-stage prediction model for the peak overpressure was established, describing the contributions of non-ideal detonation and the aerobic afterburn effect of aluminum powder to the shock wave in different regions. Based on the pressure rise caused by the expansion of detonation products and the temperature rise due to afterburn combustion, a quasi-static pressure prediction model for the internal explosion of thermobaric explosives was established. Taking the quasi-static pressure of the 100 g charge as the reference, the quasi-static pressures for the 200, 300, and 400 g charges increased to 2.27, 3.21, and 4.18 times the reference value, respectively, showing a nonlinear growth under the coupled effect of detonation product expansion and afterburn temperature rise.
-
Key words:
- thermobaric explosive /
- confined space /
- shock wave /
- temperature field /
- quasi-static pressure /
- equivalent effect
-
表 1 不同装药质量温压炸药内爆炸各测点正压作用时间
Table 1. Positive pressure durations of internal explosions for thermobaric explosives with different charge masses
装药质量/g 正压作用时间/μs d=0.8 m d=1.0 m d=1.2 m d=1.4 m d=1.6 m 100 469.38 664.83 736.16 882.87 958.18 200 635.12 739.64 825.07 964.68 994.61 300 801.25 816.95 880.98 997.53 1013.42 400 904.62 956.78 978.94 1048.36 1085.44 -
[1] 陈飞翔, 张国凯, 何勇, 等. 温压炸药隧道内爆炸结构约束对冲击波及爆炸火团的影响规律 [J]. 爆炸与冲击, 2025, 45(12): 122202. DOI: 10.11883/bzycj-2024-0486.CHEN F X, ZHANG G K, HE Y, et al. Influence of tunnel structural confinement on shock wave and fireball generated by explosion of a thermobaric explosive in a tunnel [J]. Explosion and Shock Waves, 2025, 45(12): 122202. DOI: 10.11883/bzycj-2024-0486. [2] HAHMA A, PALOVUORI K, ROMU H. Experimental studies on metal fueled thermobaric explosives [C]//Proceedings of the FINNEX 2002 Seminar. Levi, Kittilä: Puolustusvoimien Teknillinen Tutkimuslaitos, Julkaisuja, 2002: 211-218. [3] MOHAMED A K, MOSTAFA H E, ELBASUNEY S. Nanoscopic fuel-rich thermobaric formulations: chemical composition optimization and sustained secondary combustion shock wave modulation [J]. Journal of Hazardous Materials, 2016, 301: 492–503. DOI: 10.1016/j.jhazmat.2015.09.019. [4] PEUKER J M, LYNCH P, KRIER H, et al. Optical depth measurements of fireballs from aluminized high explosives [J]. Optics and Lasers in Engineering, 2009, 47(9): 1009–1015. DOI: 10.1016/j.optlaseng.2009.04.011. [5] KIM C K, LAI M C, ZHANG Z C, et al. Modeling and numerical simulation of afterburning of thermobaric explosives in a closed chamber [J]. International Journal of Precision Engineering and Manufacturing, 2017, 18(7): 979–986. DOI: 10.1007/s12541-017-0115-3. [6] TÜRKER L. Thermobaric and enhanced blast explosives (TBX and EBX) [J]. Defence Technology, 2016, 12(6): 423–445. DOI: 10.1016/j.dt.2016.09.002. [7] 王梓昂, 翟红波, 李芝绒, 等. 不同炸药在圆筒装置内爆炸冲击波载荷传播规律与分布特性 [J]. 弹箭与制导学报, 2019, 39(1): 11–14,20. DOI: 10.15892/j.cnki.djzdxb.2019.01.003.WANG Z A, ZHAI H B, LI Z R, et al. Study on propagation rules and distribution characteristics of explosion shock wave loading on different explosives inside cylindrical device [J]. Journal of Projectiles, Rockets, Missiles and Guidance, 2019, 39(1): 11–14,20. DOI: 10.15892/j.cnki.djzdxb.2019.01.003. [8] 李芝绒, 王胜强, 蒋海燕, 等. 圆筒装置内爆炸压力载荷特性实验研究 [J]. 爆炸与冲击, 2019, 39(10): 102202. DOI: 10.11883/bzycj-2018-0327.LI Z R, WANG S Q, JIANG H Y, et al. Experimental studies on characteristics of explosion pressure load in cylinder apparatus [J]. Explosion and Shock Waves, 2019, 39(10): 102202. DOI: 10.11883/bzycj-2018-0327. [9] 陈昊, 陶钢. 温压弹在有限空间内爆炸的超压测试和分析 [J]. 爆破器材, 2009, 38(5): 4–7. DOI: 10.3969/j.issn.1001-8352.2009.05.002.CHEN H, TAO G. The test and analysis on overpressure generated by thermo-baric grenade explosion in limited space [J]. Explosive Materials, 2009, 38(5): 4–7. DOI: 10.3969/j.issn.1001-8352.2009.05.002. [10] LI X D, CHEN H J, YIN J P, et al. Corner convergence effect of enclosed blast shock wave and high-pressure range [J]. Applied Sciences, 2022, 12(22): 11341. DOI: 10.3390/app122211341. [11] 徐维铮, 吴卫国. 后燃烧效应对约束空间内爆炸载荷的影响规律 [J]. 中国舰船研究, 2019, 14(1): 52–58. DOI: 10.19693/j.issn.1673-3185.01263.XU W Z, WU W G. Afterburning effect on blast load in confined space [J]. Chinese Journal of Ship Research, 2019, 14(1): 52–58. DOI: 10.19693/j.issn.1673-3185.01263. [12] GOGULYA M F, BRAZHNIKOV M A. Pressure and temperature of the detonation products of explosive materials containing aluminum of various dispersities [J]. Russian Journal of Physical Chemistry B, 2010, 4(5): 773–787. DOI: 10.1134/S1990793110050131. [13] MAIZ L, TRZCIŃSKI W A, PASZULA J. Investigation of fireball temperatures in confined thermobaric explosions [J]. Propellants, Explosives, Pyrotechnics, 2017, 42(2): 142–148. DOI: 10.1002/prep.201600150. [14] MAIZ L, TRZCIŃSKI W A, PASZULA J. Optical spectroscopy to study confined and semi-closed explosions of homogeneous and composite charges [J]. Optics and Lasers in Engineering, 2017, 88: 111–119. DOI: 10.1016/j.optlaseng.2016.08.006. [15] 裴明敬, 田朝阳, 胡华权, 等. 铝粉在温压炸药爆炸过程中的响应分析 [J]. 火炸药学报, 2013, 36(4): 7–12. DOI: 10.14077/j.issn.1007-7812.2013.04.002.PEI M J, TIAN Z Y, HU H Q, et al. Response analysis of aluminum in the process of thermobaric explosive detonation [J]. Chinese Journal of Explosives & Propellants, 2013, 36(4): 7–12. DOI: 10.14077/j.issn.1007-7812.2013.04.002. [16] 姬建荣, 苏健军, 王胜强. 小型爆炸容器中TNT/Al炸药的后燃烧性能 [J]. 火炸药学报, 2013, 36(3): 46–49. DOI: 10.14077/j.issn.1007-7812.2013.03.011.JI J R, SU J J, WANG S Q. After-burning performances of TNT/Al explosive in small explosion vessel [J]. Chinese Journal of Explosives & Propellants, 2013, 36(3): 46–49. DOI: 10.14077/j.issn.1007-7812.2013.03.011. [17] 卢勇, 王伯良, 何中其, 等. 温压炸药爆炸能量输出的实验研究 [J]. 含能材料, 2014, 22(5): 684–687. DOI: 10.3969/j.issn.1006-9941.2014.05.020.LU Y, WANG B L, HE Z Q, et al. Experimental research on energy output of thermobaric explosive [J]. Chinese Journal of Energetic Materials, 2014, 22(5): 684–687. DOI: 10.3969/j.issn.1006-9941.2014.05.020. [18] 严家佳, 金朋刚, 李鸿宾, 等. 有限空间中温压炸药后燃烧效应的试验研究 [J]. 科学技术与工程, 2015, 15(17): 154–157,163. DOI: 10.3969/j.issn.1671-1815.2015.17.028.YAN J J, JIN P G, LI H B, et al. Experiment investigation of thermobaric explosive afterburn effect in finite space [J]. Science Technology and Engineering, 2015, 15(17): 154–157,163. DOI: 10.3969/j.issn.1671-1815.2015.17.028. [19] FAN X, ZHANG L S, WANG X. Study on theoretical calculation of quasi-static pressure for aluminized explosive in confined space [J]. Journal of Physics: Conference Series, 2021, 1721(1): 012023. DOI: 10.1088/1742-6596/1721/1/012023. [20] 纪玉国, 张国凯, 李干, 等. 坑道内爆炸条件下温压炸药的爆炸特性及其影响因素 [J]. 爆炸与冲击, 2024, 44(3): 032301. DOI: 10.11883/bzycj-2023-0011.JI Y G, ZHANG G K, LI G, et al. Explosion characteristics of thermobaric explosive (TBX) detonated inside a tunnel and the related influential factors [J]. Explosion and Shock Waves, 2024, 44(3): 032301. DOI: 10.11883/bzycj-2023-0011. [21] 张学瑞, 周涛. 密闭空间中复合装药的能量释放特性 [J]. 爆炸与冲击, 2024, 44(6): 062302. DOI: 10.11883/bzycj-2023-0381.ZHANG X R, ZHOU T. Energy release characteristics of composite charge in confined space [J]. Explosion and Shock Waves, 2024, 44(6): 062302. DOI: 10.11883/bzycj-2023-0381. [22] 郑朝民, 严蕊, 刘志伟, 等. 温压炸药耗氧效应的实验研究 [J]. 火炸药学报, 2014, 37(5): 33–36,51. DOI: 10.14077/j.issn.1007-7812.2014.05.026.ZHENG C M, YAN R, LIU Z W, et al. Experimental study on oxygen consumption effect of thermo-baric explosives [J]. Chinese Journal of Explosives & Propellants, 2014, 37(5): 33–36,51. DOI: 10.14077/j.issn.1007-7812.2014.05.026. [23] 施宇成, 孔德仁, 徐春冬, 等. 爆炸场冲击波压力测量及其传感器技术现状分析 [J]. 测控技术, 2022, 41(11): 1–10,34. DOI: 10.19708/j.ckjs.2022.03.240.SHI Y C, KONG D R, XU C D, et al. Status analysis of shock wave pressure measurement and sensor technology in explosion field [J]. Measurement & Control Technology, 2022, 41(11): 1–10,34. DOI: 10.19708/j.ckjs.2022.03.240. [24] ZHAO Y F, LI Y N, HAN Z W, et al. Effects of main components on energy output characteristics of thermobaric explosive — a case study of typical formulations [J]. Defence Technology, 2024, 38: 205–216. DOI: 10.1016/j.dt.2024.03.008. [25] 钟巍, 田宙. 等压假设下考虑化学反应动力学影响的约束爆炸准静态压力的计算 [J]. 爆炸与冲击, 2013, 33(4): 375–380. DOI: 10.11883/1001-1455(2013)04-0375-06.Zhong W, Tian Z. Calculation of quasi-static pressures for confined explosions considering chemical reactions under isobaric assumption [J]. Explosion And Shock Waves, 2013, 33(4): 375–380. DOI: 10.11883/1001-1455(2013)04-0375-06. [26] DUAN X Y, GUO X Y, JIAO Q J, et al. Effects of Al/O on pressure properties of confined explosion from aluminized explosives [J]. Defence Technology, 2017, 13(6): 428–433. DOI: 10.1016/j.dt.2017.05.018. [27] TROTT B D, BACKOFEN JR J E, WHITE III J J. Design of explosion blast containment vessels for explosive ordnance disposal units: DAAA21-72-C-0129 [R]. Dover: Picatinny Arsenal, 1975. DOI: 10.21236/ADB016707. [28] LI X Y, HUANG Q H, LUO X G, et al. Thermocouple correction method evaluation for measuring steady high-temperature gas [J]. Applied Thermal Engineering, 2022, 213: 118673. DOI: 10.1016/j.applthermaleng.2022.118673. [29] 胡泽君, 冯运超, 何志成, 等. 微米级铝颗粒在水蒸气和氧气中的点火燃烧特性 [J]. 航空学报, 2023, 44(15): 528866. DOI: 10.7527/S1000-6893.2023.28866.HU Z J, FENG Y C, HE Z C, et al. Ignition and combustion characteristics of micro-sized aluminum particles in H2O and O2 [J]. Acta Aeronautica et Astronautica Sinica, 2023, 44(15): 528866. DOI: 10.7527/S1000-6893.2023.28866. [30] WANG L Q, KONG D R. Mapping function model representing the relationship between explosion shock wave pressure and wavefront temperature [J]. AIP Advances, 2023, 13(6): 065011. DOI: 10.1063/5.0155382. [31] 张德志, 李焰, 王等旺, 等. 球形装药近距离爆炸正反射冲击波实验研究 [J]. 兵工学报, 2009, 30(12): 1663–1667. DOI: 10.3321/j.issn:1000-1093.2009.12.018.ZHANG D Z, LI Y, WANG D W, et al. Experiment investigations on normal reflected blast wave near the spherical explosive [J]. Acta Armamentarii, 2009, 30(12): 1663–1667. DOI: 10.3321/j.issn:1000-1093.2009.12.018. [32] 赵新颖, 王伯良, 李席. 温压炸药在野外近地空爆中的冲击波规律 [J]. 爆炸与冲击, 2016, 36(1): 38–42. DOI: 10.11883/1001-1455(2016)01-0038-05.ZHAO X Y, WANG B L, LI X. Shockwave characteristics of thermobaric explosive in free-field explosion [J]. Explosion and Shock Waves, 2016, 36(1): 38–42. DOI: 10.11883/1001-1455(2016)01-0038-05. [33] 黄寅生. 炸药理论 [M]. 北京: 北京理工大学出版社, 2016.HUANG Y S. Explosives theory [M]. Beijing: Beijing Institute of Technology Press, 2016. [34] 范俊余, 方秦, 张亚栋, 等. 岩石乳化炸药TNT当量系数的试验研究 [J]. 兵工学报, 2011, 32(10): 1243–1249.FAN J Y, FANG Q, ZHANG Y D, et al. Experimental investigation on the TNT equivalence coefficient of a rock emulsion explosive [J]. Acta Armamentarii, 2011, 32(10): 1243–1249. [35] 高金明, 曾丹, 孙磊, 等. 新型发射药爆炸TNT当量系数的实验研究 [J]. 爆炸与冲击, 2021, 41(10): 102101. DOI: 10.11883/bzycj-2020-0432.GAO J M, ZENG D, SUN L, et al. Experimental study on TNT equivalent coefficients for two new kinds of propellants [J]. Explosion and Shock Waves, 2021, 41(10): 102101. DOI: 10.11883/bzycj-2020-0432. [36] XIAO W F, ANDRAE M, GEBBEKEN N. Air blast TNT equivalence factors of high explosive material PETN for bare charges [J]. Journal of Hazardous Materials, 2019, 377: 152–162. DOI: 10.1016/j.jhazmat.2019.05.078. [37] 许珂, 李秀地, 毛怀源, 等. 坑道内温压炸药冲击波传播特性的试验研究 [J]. 爆破, 2018, 35(3): 42–48. DOI: 10.3963/j.issn.1001-487X.2018.03.007.XU K, LI X D, MAO H Y, et al. Experimental study on blast wave characteristic of thermobaric explosive inside tunnel [J]. Blasting, 2018, 35(3): 42–48. DOI: 10.3963/j.issn.1001-487X.2018.03.007. [38] KHRISTOFOROV B D. Effect of properties of the source on the action of explosions in air and water [J]. Combustion, Explosion and Shock Waves, 2004, 40(6): 714–719. DOI: 10.1023/B:CESW.0000048277.31127.06. [39] XU Q P, LI Z R, WANG X J, et al. Experimental performance assessment of thermobaric explosives in free field and internal blast tests [J]. Combustion, Explosion, and Shock Waves, 2022, 58(1): 93–105. DOI: 10.1134/S0010508222010105. [40] 李营, 张磊, 杜志鹏, 等. 舱内爆炸准静态压力形成机理的研究 [J]. 中国造船, 2020, 61(2): 28–34. DOI: 10.3969/j.issn.1000-4882.2020.02.003.LI Y, ZHANG L, DU Z P, et al. Theoretical and experimental study on formation of quasi-static pressure in internal blast [J]. Shipbuilding of China, 2020, 61(2): 28–34. DOI: 10.3969/j.issn.1000-4882.2020.02.003. -


下载: