Performance testing and preparation methods of similitude materials for explosion modeling in gravelly soil
-
摘要: 超重力离心模型试验是模拟原型爆炸效应的有效手段,其成功应用依赖于能够复现原状土动力响应的相似土样。针对砂砾土爆炸离心模拟中存在的粒径效应和材料相似性难题,建立了一套系统的相似土样配制与验证方法。通过理论分析,将影响爆炸地冲击效应的关键土性参数聚焦于密度和波速(波阻抗),而控制这些参数的核心是土体的级配特征。采用剔除法、等量替代法、相似级配法和混合法4种缩尺方法制备了12种不同最大粒径的相似土样,通过孔隙比试验和有效围压下的弯曲元测试,揭示了砂砾土极孔隙比与细粒含量、平均粒径的量化关系,进而建立了小应变弹性模量的经验预测模型。通过对比模型预测的波速与原位实测数据,结果表明:不均匀系数、细粒含量和平均粒径是实现砂砾土爆炸动力相似的关键控制指标;采用等量替代法配制的最大粒径为10 mm的相似土样,在上述指标上与原状土最等效。基于此相似土样的超重力离心爆炸试验进一步证实,爆源平面内的归一化峰值加速度衰减规律与原位数据高度一致。通过控制关键级配指标并采用等量替代法,可成功配制出在爆炸动力响应上与原状砂砾土等效的相似材料,从而为相关领域的离心机模型试验提供切实可行的技术途径。Abstract: Hypergravity centrifuge model testing serves as an effective method for simulating prototype explosion effects, whose successful application relies on soil simulants capable of replicating the dynamic response of in-situ soil. To address the challenges of particle size effects and material similarity in centrifuge modeling of explosions in sandy gravel, this study aims to establish a systematic methodology for the preparation and validation of such simulants. Through theoretical analysis, the soil key parameters governing ground shock effects under explosions were identified as density and wave velocity (wave impedance), which are fundamentally controlled by the soil’s gradation characteristics. Based on this premise, twelve types of simulants with varying maximum particle sizes were systematically prepared using four scaling methods: the removal method, equal quantity replacement method, similar gradation method, and hybrid method. Through void ratio tests and bender element testing under effective confining pressure, quantitative relationships were revealed between the extreme void ratios of sandy gravel and its fines content and mean particle size. Based on this, an empirical predictive model for the small strain elastic modulus was established. Comparison of the model-predicted wave velocities with in-situ measured data indicates that the coefficient of uniformity, fines content, and mean particle size are the key controlling indices for achieving dynamic similarity in sandy gravel under explosion loading. Among these, the simulant prepared by the equal quantity replacement method, with a maximum particle size of 10 mm, demonstrated the closest equivalence to the in-situ soil in terms of the aforementioned indices. Hypergravity centrifuge explosion tests using this equivalent simulant further verified that the attenuation law of normalized peak accelerations within the source plane corresponds highly consistently with the in-situ data. This research confirms that by controlling key gradation indices and employing the equal quantity replacement method, it is possible to successfully prepare simulants that are equivalent to in-situ sandy gravel in their dynamic response to explosions. This provides a practical and effective technical pathway for centrifuge model testing in related fields.
-
表 1 原状土及相似土参数
Table 1. Parameters of undisturbed soil and similar soil
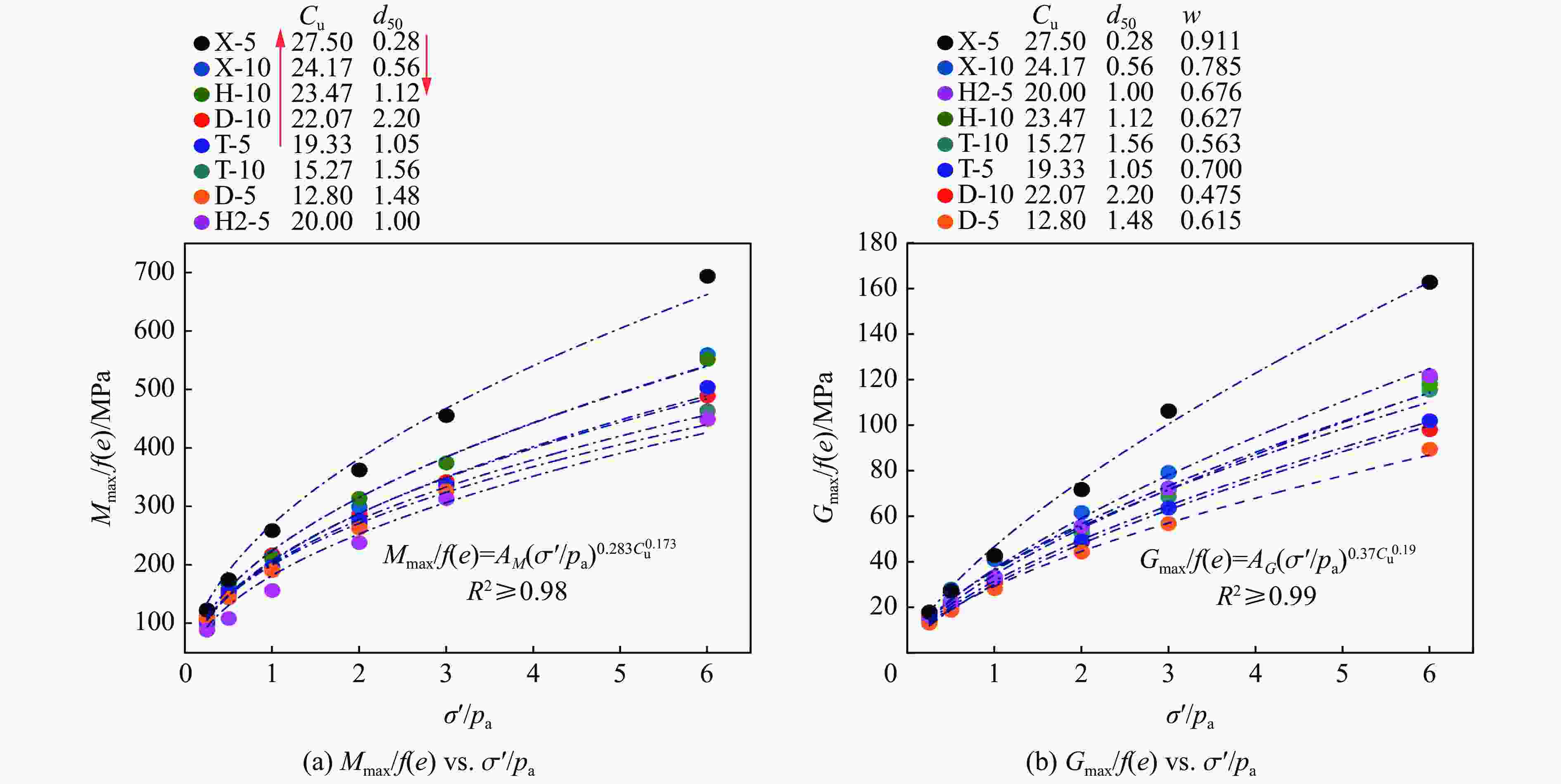
试样 dmax/mm w/% ρmax/(g·cm−3) ρmin/(g·cm−3) d50/mm Cu Cc Dr ρs/(g·cm−3) emax emin e0 YS-40 40 47.50 2.224 1.485 2.45 23.53 1.40 0.83 2.050 0.865 0.246 0.351 T-20 20 50.00 2.236 1.563 2.00 20.40 1.33 0.83 2.084 0.772 0.239 0.329 D-20 20 47.50 2.226 1.560 2.25 23.53 1.40 0.83 2.075 0.776 0.244 0.335 X-20 20 62.70 2.22 1.552 1.13 23.47 1.34 0.83 2.069 0.784 0.248 0.339 T-10 10 56.30 2.233 1.549 1.56 15.27 1.19 0.83 2.077 0.788 0.240 0.334 D-10 10 47.50 2.228 1.562 2.20 22.07 1.46 0.83 2.077 0.774 0.243 0.333 X-10 10 78.50 2.202 1.448 0.56 24.17 1.41 0.83 2.023 0.913 0.258 0.369 H-10 10 62.70 2.245 1.515 1.12 23.47 1.34 0.83 2.075 0.828 0.234 0.335 T-5 5 70.00 2.213 1.491 1.05 19.33 2.03 0.83 2.045 0.858 0.252 0.355 D-5 5 61.50 2.230 1.532 1.48 12.80 2.22 0.83 2.070 0.808 0.242 0.338 X-5 5 91.10 2.110 1.331 0.28 27.50 1.72 0.83 1.919 1.082 0.313 0.444 H1-5 5 65.00 2.213 1.493 1.10 22.13 1.42 0.83 2.045 0.855 0.252 0.354 H2-5 5 67.60 2.218 1.497 1.00 20.00 1.35 0.83 2.050 0.850 0.249 0.351 表 2 不同试样模型参数$A_G $、$A_M $与$R^2 $
Table 2. Model parameters $A_G $, $A_M $ and $R^2 $ of different styles
试样 AG nG R2 AM nM R2 T-10 36.29 0.621 0.99 202.62 0.477 0.99 D-10 30.33 0.666 0.99 206.11 0.490 0.99 X-10 37.15 0.678 0.99 224.62 0.500 0.99 H-10 34.49 0.67 0.99 224.85 0.495 0.99 T-5 31.78 0.641 0.99 207.93 0.486 0.99 D-5 29.45 0.606 0.99 200.15 0.462 0.99 X-5 46.98 0.708 0.99 269.72 0.508 0.99 H2-5 36.72 0.645 0.99 182.22 0.487 0.98 试样 深度/m ρd e w/% d50/mm Cu σ'/kPa G/MPa vs/(m·s−1) vs0/(m·s−1) S2-1a 3.19~3.39 1 500 0.832 100.00 0.16 1.8 49 58.20 196.9 185~211 S1-2a 4.49~4.69 2 340 0.159 65.00 2.00 147.0 69 156.10 258.2 226~263 S1-2c 5.38~5.58 2 450 0.100 40.00 4.00 300.0 88 230.20 328.7 294~327 S2-5a 9.90~10.10 2 240 0.214 57.80 0.94 141.2 137 295.86 363.4 331~400 表 4 离心模型比尺
Table 4. Centrifugal model scales
物理量 量纲 相似比尺(原型/模型) 重力加速度 LT−2 1/N 线性尺寸 L N 应力/压强 ML−1T−2 1 密度 ML−3 1 质量 M N3 能量 ML2T−2 N3 表 5 离心模型试验工况
Table 5. Test conditions of centrifugal model
试验 爆源当量/g 爆源埋深/mm 模型高度/mm 加速度 备注 CE-1 1.0 80 450 100g 浅埋 CE-2 1.0 300 670 100g 深埋 -
[1] 杨峰, 翟红波, 苏健军, 等. 浅埋爆炸下爆坑和冲击波特性研究进展 [J]. 工程爆破, 2023, 29(5): 86–95, 119. DOI: 10.19931/j.eb.20220098.YANG F, ZHAI H B, SU J J, et al. Research progress of crater and shock wave characteristics under shallow buried condition [J]. Engineering Blasting, 2023, 29(5): 86–95, 119. DOI: 10.19931/j.eb.20220098. [2] CHEN Y M, TANG Y, LING D S, et al. Hypergravity experiments on multiphase media evolution [J]. Science China Technological Sciences, 2022, 65(12): 2791–2808. DOI: 10.1007/s11431-022-2125-x. [3] 马立秋, 张建民. 黏性土爆炸成坑和地冲击传播的离心模型试验研究 [J]. 岩石力学与工程学报, 2011, 30(S1): 3172–3178.MA L Q, ZHANG J M. Centrifugal model testing study of explosion-induced craters and propagation of ground shock in clay [J]. Chinese Journal of Rock Mechanics and Engineering, 2011, 30(S1): 3172–3178. [4] 管龙华, 卢强, 赵凤奎, 等. 砂土爆炸成坑离心模型试验相似律研究 [J]. 岩土工程学报, 2024, 46(7): 1462–1470. DOI: 10.11779/CJGE20230751.GUAN L H, LU Q, ZHAO F K, et al. Scaling laws for centrifuge modelling of explosion-induced cratering in sand [J]. Chinese Journal of Geotechnical Engineering, 2024, 46(7): 1462–1470. DOI: 10.11779/CJGE20230751. [5] 岳松林, 邱艳宇, 范鹏贤, 等. 岩石中爆炸成坑效应的模型试验方法及对比分析 [J]. 岩石力学与工程学报, 2014, 33(9): 1925–1931. DOI: 10.13722/j.cnki.jrme.2014.09.024.YUE S L, QIU Y Y, FAN P X, et al. Modeling experiment methods for cratering effects of explosions in rocks and comparative analysis [J]. Chinese Journal of Rock Mechanics and Engineering, 2014, 33(9): 1925–1931. DOI: 10.13722/j.cnki.jrme.2014.09.024. [6] TAYLOR R N. Geotechnical centrifuge technology [M]. London: Blackie Academic & Professional, 1995. [7] 徐光明, 章为民. 离心模型中的粒径效应和边界效应研究 [J]. 岩土工程学报, 1996, 18(3): 80–86. [8] CRAIG W H. Simulation of foundations for offshore structures using centrifuge modelling [M]//BANERJEE P K, BUTTERFIELD R. Developments in Soil Mechanics and Foundation Engineering: Model Studies. London: Applied Science Publishers Ltd., 1983: 1–27. [9] OVESEN N K. The use of physical models in design: the scaling law relationship [C]//Proceedings of the 7th European Conference on Soil Mechanics and Foundation Engineering. 1979, 4: 318–323. [10] 杨俊杰, 柳飞, 丰泽康男, 等. 砂土地基承载力离心模型试验中的粒径效应研究 [J]. 岩土工程学报, 2007, 29(4): 477–483. DOI: 10.3321/j.issn:1000-4548.2007.04.002.YANG J J, LIU F, TOYOSAWA Y, et al. Particle size effects on bearing capacity of sandy ground in centrifugal tests [J]. Chinese Journal of Geotechnical Engineering, 2007, 29(4): 477–483. DOI: 10.3321/j.issn:1000-4548.2007.04.002. [11] 杜延龄, 韩连兵. 土工离心模型试验技术 [M]. 北京: 中国水利水电出版社, 2010. [12] 谢述春, 姜春兰, 王在成, 等. 多层混凝土介质内爆炸相似性分析 [J]. 兵工学报, 2019, 40(6): 1198–1206. DOI: 10.3969/j.issn.1000-1093.2019.06.010.XIE S C, JIANG C L, WANG Z C, et al. Analysis of similarity law of explosion in multi-layer concrete medium [J]. Acta Armamentarii, 2019, 40(6): 1198–1206. DOI: 10.3969/j.issn.1000-1093.2019.06.010. [13] 徐小辉, 邱艳宇, 王明洋, 等. 大当量地下浅埋爆炸真空室模拟相似材料研究 [J]. 岩石力学与工程学报, 2018, 37(S1): 3550–3556. DOI: 10.13722/j.cnki.jrme.2016.1539.XU X H, QIU Y Y, WANG M Y, et al. Similar materials for vacuum chamber model test under large scale throw blasting [J]. Chinese Journal of Rock Mechanics and Engineering, 2018, 37(S1): 3550–3556. DOI: 10.13722/j.cnki.jrme.2016.1539. [14] 中华人民共和国住房和城乡建设部. 土工试验方法标准: GB/T 50123–2019 [S]. 北京: 中国计划出版社, 2019: 317–320.Ministry of Housing and Urban-Rural Development of the Peopleʼs Republic of China. Standard for geotechnical testing method: GB/T 50123–2019 [S]. Beijing: China Planning Press, 2019: 317–320. [15] MENQ F Y. Dynamic properties of sandy and gravelly soils [D]. Austin: University of Texas at Austin, 2003. [16] HASSAN N A, NGUYEN N S, MAROT D, et al. Consequences of scalping and scalping/replacement procedures on strength properties of coarse-grained gap-graded soils [J]. Canadian Geotechnical Journal, 2022, 59(10): 1819–1832. DOI: 10.1139/cgj-2021-0504. [17] SHIN B. Effects of oversized particles on the dynamic properties of sand specimens evaluated by resonant column testing [D]. Austin: University of Texas at Austin, 2014. [18] 胡哲, 朱俊高, 余挺, 等. 粗颗粒土级配混合法缩尺后力学性质变化规律研究 [J]. 能源与环保, 2017, 39(9): 37–41, 46. DOI: 10.19389/j.cnki.1003-0506.2017.09.008.HU Z, ZHU J G, YU T, et al. Changing laws of mechanical properties of coarse grained soil after mixed scaling [J]. China Energy and Environmental Protection, 2017, 39(9): 37–41, 46. DOI: 10.19389/j.cnki.1003-0506.2017.09.008. [19] US Department of the Army. Fundamentals of protective design for conventional weapons: TM 5-855-1 [S]. Washington: US Department of the Army, 1986. [20] 胡恒山. 拉梅常数的力学意义与剪切模量出现于纵波速度公式的原因 [J]. 地球物理学进展, 2018, 33(1): 219–222. DOI: 10.6038/pg2018BB0432.HU H S. Note on the Lamé constant and the reason for the presence of the shear modulus in the compressional wave speed formula [J]. Progress in Geophysics, 2018, 33(1): 219–222. DOI: 10.6038/pg2018BB0432. [21] 顾晓强, 杨峻, 黄茂松, 等. 干砂弹性参数测定的弯曲-伸展元试验 [J]. 岩土力学, 2015, 36(S1): 220–224, 229. DOI: 10.16285/j.rsm.2015.S1.037.GU X Q, YANG J, HUANG M S, et al. Measurement of elastic parameters of dry sand using bender-extender element [J]. Rock and Soil Mechanics, 2015, 36(S1): 220–224, 229. DOI: 10.16285/j.rsm.2015.S1.037. [22] 吴琪, 杨文保, 朱雨萌, 等. 砂-粉混合料小应变剪切模量弯曲元试验研究 [J]. 东南大学学报(自然科学版), 2018, 48(6): 1059–1067. DOI: 10.3969/j.issn.1001-0505.2018.06.011.WU Q, YANG W B, ZHU Y M, et al. Experimental study on small-strain shear modulus of sand-silt mixtures by bender element testing [J]. Journal of Southeast University (Natural Science Edition), 2018, 48(6): 1059–1067. DOI: 10.3969/j.issn.1001-0505.2018.06.011. [23] 梁晓敏, 顾晓强, 翟崇朴, 等. 颗粒材料各向异性弹性波速与微观组构CT试验研究 [J]. 岩土工程学报, 2024, 46(7): 1398–1407. DOI: 10.11779/CJGE20230425.LIANG X M, GU X Q, ZHAI C P, et al. Anisotropic wave velocities of granular materials and microscopic fabric using X-ray computed tomography [J]. Chinese Journal of Geotechnical Engineering, 2024, 46(7): 1398–1407. DOI: 10.11779/CJGE20230425. [24] 陈云敏, 周燕国, 黄博. 利用弯曲元测试砂土剪切模量的国际平行试验 [J]. 岩土工程学报, 2006, 28(7): 874–880. DOI: 10.3321/j.issn:1000-4548.2006.07.013.CHEN Y M, ZHOU Y G, HUANG B. International parallel test on the measurement of shear modulus of sand using bender elements [J]. Chinese Journal of Geotechnical Engineering, 2006, 28(7): 874–880. DOI: 10.3321/j.issn:1000-4548.2006.07.013. [25] 吴琪, 李晓雪, 杨文保, 等. 细粒含量对饱和砂类土小应变剪切模量的影响 [J]. 哈尔滨工程大学学报, 2019, 40(7): 1297–1303. DOI: 10.11990/jheu.201805067.WU Q, LI X X, YANG W B, et al. Influence of the fines content on the small-strain shear modulus characteristics of saturated sandy soils [J]. Journal of Harbin Engineering University, 2019, 40(7): 1297–1303. DOI: 10.11990/jheu.201805067. [26] VIGGIANI G, ATKINSON J H. Interpretation of bender element tests [J]. Géotechnique, 1995, 45(1): 149–154. DOI: 10.1680/geot.1995.45.1.149. [27] JAMIOLKOWSKI M, LEROUEIL S, LO PRESTI D C. Design parameters from theory to practice [C]//Proceedings of the International Conference on Geotechnical Engineering for Coastal Development. Yokohama: Port & Harbour Research Institute, 1991(2): 877–917. [28] HARDIN B O, BLACK W L. Sand stiffness under various triaxial stresses [J]. Journal of the Soil Mechanics and Foundations Division, 1966, 92(2): 27–42. DOI: 10.1061/JSFEAQ.0000865. [29] WICHTMANN T, TRIANTAFYLLIDIS T. Influence of the grain-size distribution curve of quartz sand on the small strain shear modulus Gmax [J]. Journal of Geotechnical and Geoenvironmental Engineering, 2009, 135(10): 1404–1418. DOI: 10.1061/(ASCE)GT.1943-5606.0000096. [30] LIU X, YANG J, WANG G H, et al. Small-strain shear modulus of volcanic granular soil: an experimental investigation [J]. Soil Dynamics and Earthquake Engineering, 2016, 86: 15–24. DOI: 10.1016/j.soildyn.2016.04.005. [31] 卢强, 丁洋, 李进, 等. 冲积土中封闭填实爆炸自由场应力波传播特性的实验研究 [J]. 现代应用物理, 2023, 14(4): 040102. DOI: 10.12061/j.issn.2095-6223.2023.040102.LU Q, DING Y, LI J, et al. Experimental study of free field stress wave propagation in enclosed packed soil [J]. Modern Applied Physics, 2023, 14(4): 040102. DOI: 10.12061/j.issn.2095-6223.2023.040102. [32] 中华人民共和国建设部. 土的工程分类标准: GB/T 50145–2007 [S]. 北京: 中国计划出版社, 2008: 6.Ministry of Construction of the Peopleʼs Republic of China. Standard for engineering classification of soil: GB/T 50145–2007 [S]. Beijing: China Planning Press, 2008: 6. [33] 郭云鹏. 基于剪切波速的粗颗粒土路基填料压实密度研究 [D]. 长沙: 中南大学, 2022. DOI: 10.27661/d.cnki.gzhnu.2022.001034.GUO Y P. Study on compaction density of subgrade filler based on shear wave velocity [D]. Changsha: Central South University, 2022. DOI: 10.27661/d.cnki.gzhnu.2022.001034. [34] CHANG C S, WANG J Y, GE L. Modeling of minimum void ratio for sand-silt mixtures [J]. Engineering Geology, 2015, 196: 293–304. DOI: 10.1016/j.enggeo.2015.07.015. [35] 杭天柱, 郭冰冰, 肖兴, 等. 粗-细粒混合料最小孔隙比的经验预测模型 [J]. 土木工程学报, 2025, 58(9): 131–140. DOI: 10.15951/j.tmgcxb.24010063.HANG T Z, GUO B B, XIAO X, et al. Influential factors and empirical formula for predicting minimum void ratio of fine-coarse mixtures [J]. China Civil Engineering Journal, 2025, 58(9): 131–140. DOI: 10.15951/j.tmgcxb.24010063. [36] KUDO K. Static mechanical properties of gravel ground, part 1. influence of gravel content on mechanical properties [R]. Report of Central Research Institute of Electric Power Industry, 1990. [37] TANAKA Y, KUDO K, NISHI K, et al. Small strain characteristics of soils in Hualien, Taiwan [J]. Soils and Foundations, 2000, 40(3): 111–125. DOI: 10.3208/sandf.40.3_111. [38] 贝克. 爆炸危险性及其评估 [M]. 张国顺, 译. 北京: 群众出版社, 1988.BAKER W E. The hazards of explosion and its assessment [M]. Translated by ZHANG G S. Beijing: Public Press, 1988. -


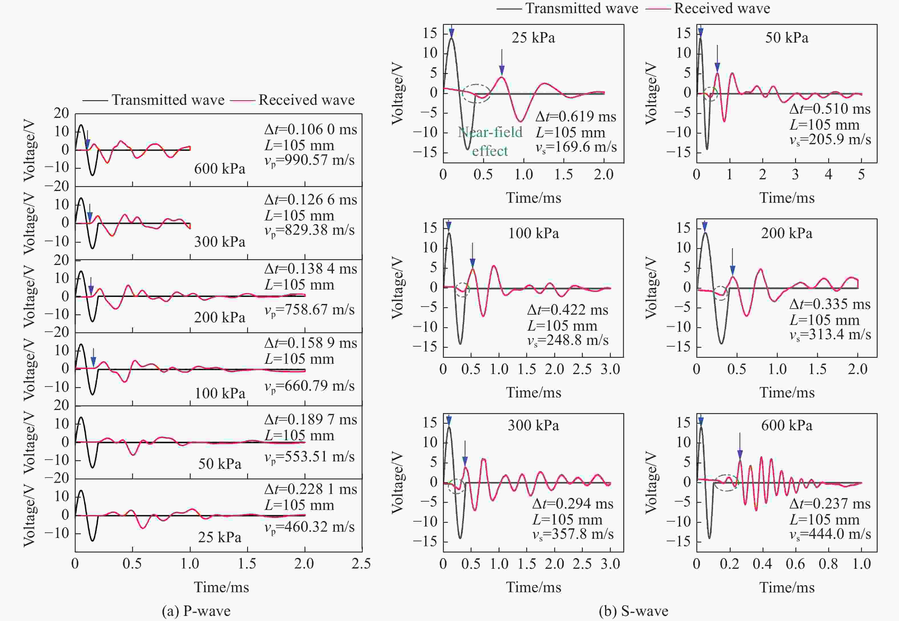
下载: