• ISSN 1001-1455  CN 51-1148/O3
  • EI、Scopus、CA、JST、EBSCO、DOAJ收录
  • 力学类中文核心期刊
  • 中国科技核心期刊、CSCD统计源期刊

含改性氯化合物对N2/细水雾抑制LPG爆炸影响研究

裴蓓 胡紫维 韩谕良 徐梦娇 陈立伟 邵翔宇

裴蓓, 胡紫维, 韩谕良, 徐梦娇, 陈立伟, 邵翔宇. 含改性氯化合物对N2/细水雾抑制LPG爆炸影响研究[J]. 爆炸与冲击, 2024, 44(11): 115401. doi: 10.11883/bzycj-2023-0340
引用本文: 裴蓓, 胡紫维, 韩谕良, 徐梦娇, 陈立伟, 邵翔宇. 含改性氯化合物对N2/细水雾抑制LPG爆炸影响研究[J]. 爆炸与冲击, 2024, 44(11): 115401. doi: 10.11883/bzycj-2023-0340
PEI Bei, HU Ziwei, HAN Yuliang, XU Mengjiao, CHEN Liwei, SHAO Xiangyu. Study on influence of modified chlorine-containing compounds on N2/water mist to suppress LPG explosion[J]. Explosion And Shock Waves, 2024, 44(11): 115401. doi: 10.11883/bzycj-2023-0340
Citation: PEI Bei, HU Ziwei, HAN Yuliang, XU Mengjiao, CHEN Liwei, SHAO Xiangyu. Study on influence of modified chlorine-containing compounds on N2/water mist to suppress LPG explosion[J]. Explosion And Shock Waves, 2024, 44(11): 115401. doi: 10.11883/bzycj-2023-0340

含改性氯化合物对N2/细水雾抑制LPG爆炸影响研究

doi: 10.11883/bzycj-2023-0340
基金项目: 河南省高校科技创新人才支持计划项目(22HASTIT027);河南省科技攻关计划项目(222102320142);河南省高校基本科研业务费专项(NSFRF210344)。
详细信息
    作者简介:

    裴蓓(1982- ),女,博士,副教授,smart128@126.com

  • 中图分类号: O389; TD712

Study on influence of modified chlorine-containing compounds on N2/water mist to suppress LPG explosion

  • 摘要: 为了提高对液化石油气( liquefied petroleum gas, LPG)的抑爆效能,采用自主设计的半开式有机玻璃管道搭建了N2/细水雾抑爆实验平台,从爆炸超压、火焰传播速度及其峰值来临时间、火焰结构等4个方面分析含改性氯化合物N2/细水雾抑爆效果。结果表明:含氯化合物对表面活性剂具有选择性,KCl、NaCl和NH4Cl与脂肪醇聚氧乙烯醚(AeO9)、有机硅表面活性剂(Sicare2235)等2种表面活性剂之间的协同增效效果更优,爆炸超压峰值、火焰传播速度峰值均明显降低,且峰值来临时间明显延长;十二烷基硫酸钠(sodium dodecyl sulfate,SDS)仅与NaCl共同作用时抑爆效果有明显提升,与其他3种氯盐共同作用时没有增效效果甚至产生促爆现象;FeCl2与表面活性剂协同时会出现爆炸增强现象;含氯化合物与表面活性剂共同作用时,复合溶液的表面张力存在最佳值,即表面张力在20 mN/m时,抑爆效能最佳。化学动力学数值模拟结果表明:含改性氯化合物N2/细水雾能够有效降低绝热火焰温度,消耗关键自由基,中断燃烧链式反应,其抑爆的协同增效机理主要体现在N2惰化稀释、表面活性剂调控水雾粒径增加冷却效应和抑制链式反应3个方面。
  • 图  1  含添加剂N2/双流体细水雾抑制管道LPG爆炸实验系统

    Figure  1.  LPG explosion inhibition pipeline experimental system with N2/twin fluid water mist containing additives

    图  2  6% LPG/空气混合气体爆炸火焰传播与超压的耦合作用

    Figure  2.  Coupling effect of flame propagation and overpressure of 6% LPG/air mixture explosion

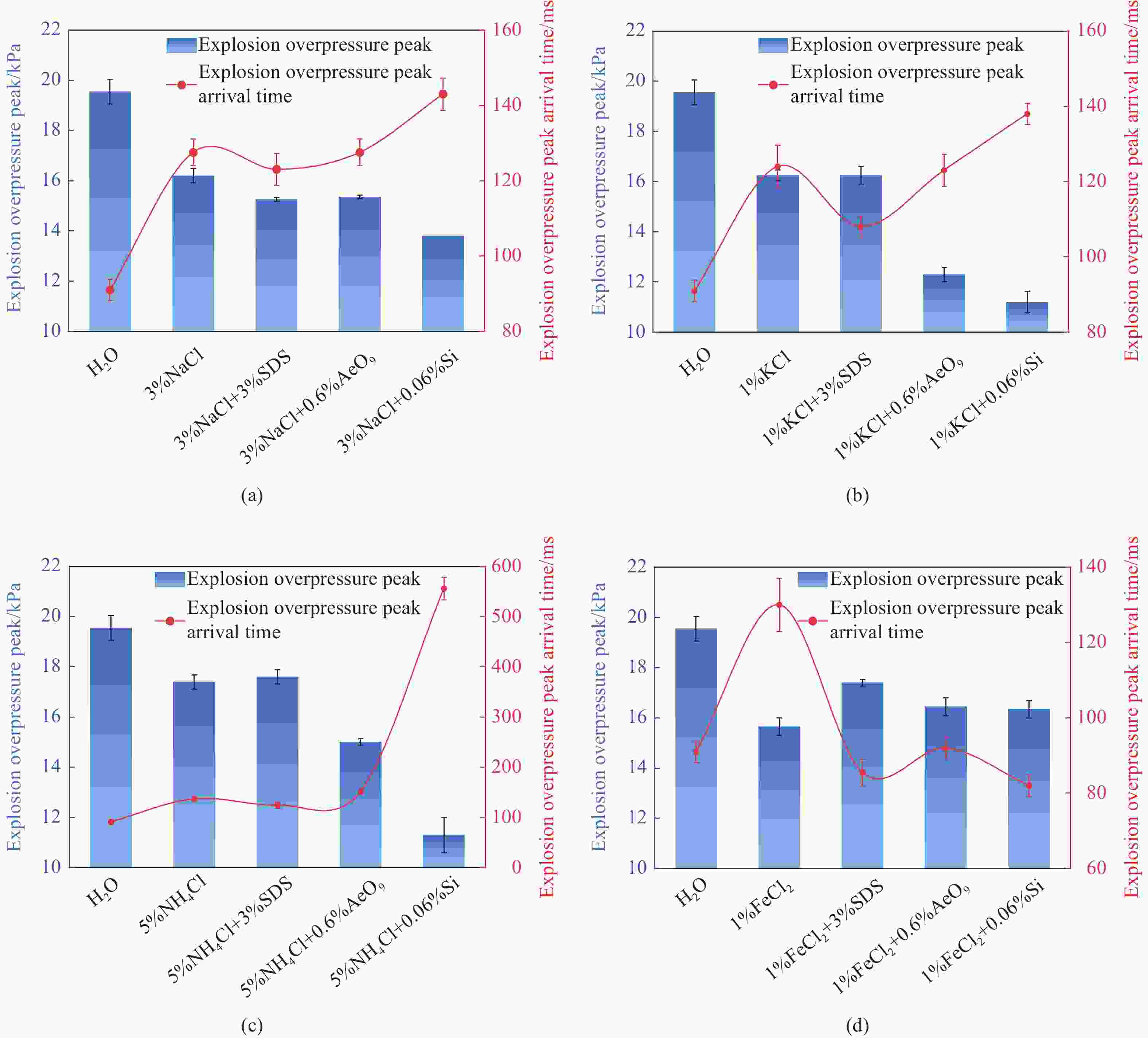
    图  3  含氯化合物与不同表面活性剂复合溶液N2/细水雾对爆炸超压峰值及其来临时间的影响

    Figure  3.  Effect of N2/water mist containing chloride compounds and different surfactants composite solution on the maximum overpressure and its arrival time

    图  4  不同表面活性剂对复合溶液表面张力的影响

    Figure  4.  Effect of different surfactants on surface tension of composite solution

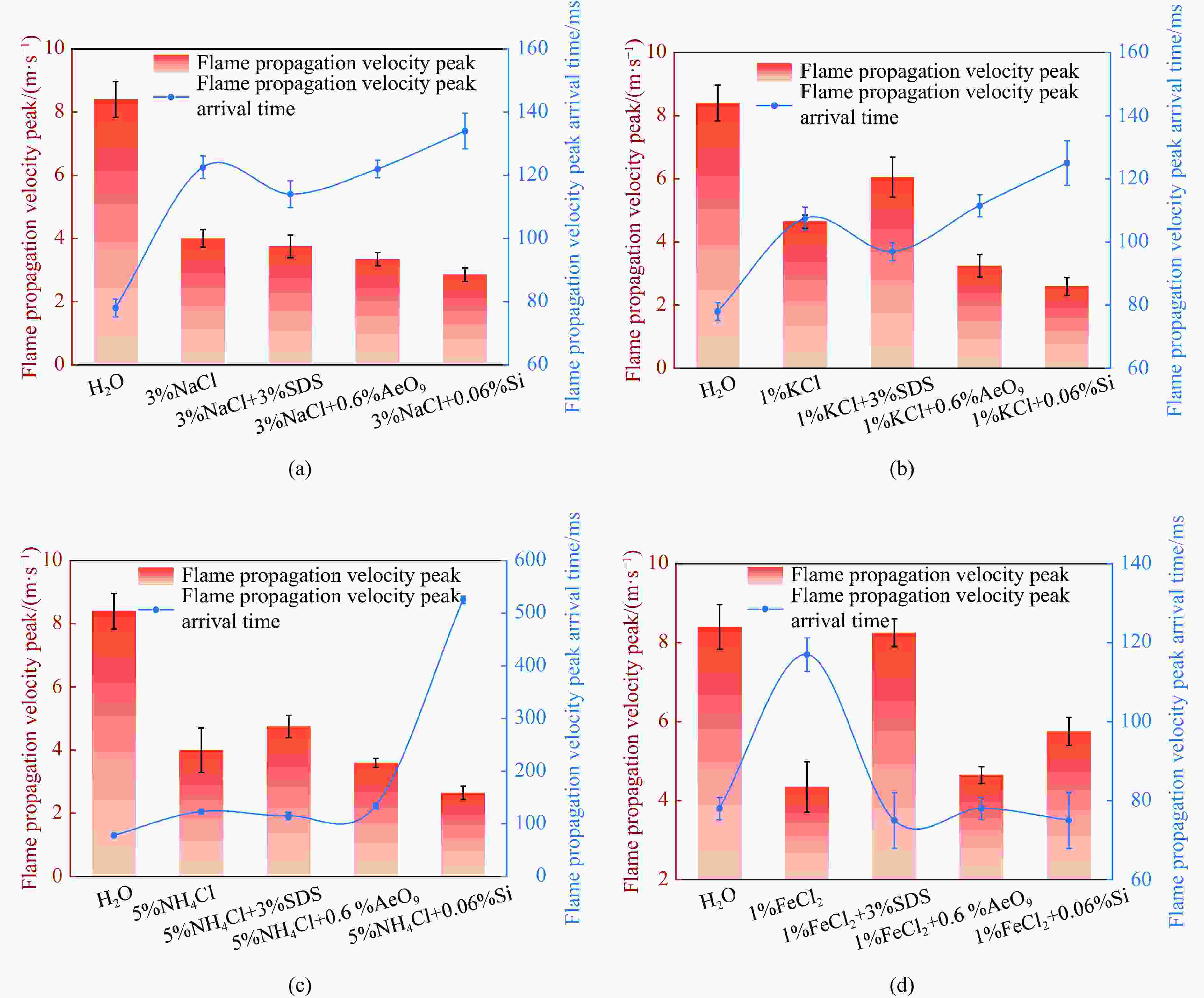
    图  5  含氯化合物与不同表面活性剂复合溶液N2/细水雾对火焰速度峰值及其来临时间的影响

    Figure  5.  Effect of N2/water mist containing chloride compounds and different surfactants composite solution on maximum flame velocity and its arrival time

    图  6  含5%NH4Cl与不同表面活性剂复合溶液N2/细水雾对6%LPG/空气预混气爆炸火焰结构演化过程的影响

    Figure  6.  Effect of N2/water mist containing 5% NH4Cl and different surfactants composite solution on the flame structure of 6% LPG/air mixture explosion

    图  7  含改性KCl复合溶液N2/细水雾抑制LPG/空气预混气爆炸机理

    Figure  7.  Suppression mechanism diagram of N2/water mist containing modified KCl additive on LPG/air mixture explosion

    图  8  不同抑制工况下LPG/空气爆炸的绝热火焰温度

    Figure  8.  Adiabatic flame temperature of LPG/air explosion under different inhibition conditions

    图  9  不同工况下O+H+OH的摩尔分数变化

    Figure  9.  Change of mole fraction of O, H and OH under different working conditions

  • [1] 孔得朋, 张红杰, 何旭. 油罐火灾及细水雾灭火教学实验平台 [J]. 实验技术与管理, 2021, 38(1): 105–108. DOI: 10.16791/j.cnki.sjg.2021.01.022.

    KONG D P, ZHANG H J, HE X. Oil tank fire and water mist fire extinguishing teaching experiment platform [J]. Experimental technology and management, 2021, 38(1): 105–108. DOI: 10.16791/j.cnki.sjg.2021.01.022.
    [2] SHAO J, ZHU Z, XU B, et al. Triage and evaluation of blast-injured patients in wenling liquefied petroleum gas tanker explosion[J]. Journal of Burn Care & Research: Official Publication of the American Burn Association, 2023, 44(6): 1492–1501. DOI: 10.1093/JBCR/IRAD068.
    [3] JIN R, YANG M, WENG T, et al. Epidemiology and early bacteriology of extremely severe burns from an lpg tanker explosion in eastern China [J]. Journal of epidemiology and global health, 2022, 12(4): 478–485. DOI: 10.1007/S44197-022-00066-0.
    [4] SHARMA A, PARIKH J, SINGH C. Transition to LPG for cooking: A case study from two states of India [J]. Energy for Sustainable Development, 2019(51):63–72.
    [5] LYU S, ZHANG S, HUANG X, etal. Investigation and modeling of the LPG tank truck accident in Wenling, China [J]. Process Safety and Environmental Protection, 2022, 157: 493–508. DOI: 10.1016/J.PSEP.2021.10.022.
    [6] ZHU C L, ZHU J Y, WANG L, et al. Lessons learned from analyzing a VCE accident at a chemical plant [J]. Journal of Loss Prevention in the Process Industries, 2017, 50: 397–402. DOI: 10.1016/j.jlp.2017.11.004.
    [7] LIANG H, WANG T, LUO Z, et al. Risk assessment of liquefied petroleum gas explosion in a limited space [J]. ACS Omega, 2021, 6(38): 24683–24692. DOI: 10.1021/ACSOMEGA.1C03430.
    [8] 罗振敏, 梁鹤, 王涛, 等. 初始压力和温度对有限空间中液化石油气爆炸特性的影响[C]// 中国职业安全健康协会2020年学术年会. 山东, 烟台, 2020. DOI: 10.26914/c.cnkihy.2020.028748.

    LUO Z M, LIANG H, WANG T, et al. The influence of initial pressure and temperature on the explosion characteristics of liquefied petroleum gas in limited space [C]// China Occupational Safety and Health Association 2020 Academic Annual Meeting. Yantai, Shandong, 2020. DOI: 10.26914/c.cnkihy.2020.028748.
    [9] 蔡运雄, 杜扬, 王世茂, 等. 封闭管道油气爆炸超压及火焰传播特性 [J]. 中国安全生产科学技术, 2019, 15(6): 61–66.

    CAI Y X, DU Y, WANG S M, et al. Characteristics of overpressure and flame propagation of oil and gas explosion in closed pipelines [J]. Science and Technology for Safe Production in China, 2019, 15(6): 61–66.
    [10] 邵辉, 段国宁, 邵峰, 等. 液化石油气点火能试验及爆炸火焰传播分析 [J]. 中国安全科学学报, 2011, 21(8): 54–60. DOI: 10.16265/j.cnki.issn1003-3033.2011.08.017.

    SHAO H, DUAN G N, SHAO F, et al. Liquefied petroleum gas ignition energy test and explosion flame propagation analysis [J]. Chinese Journal of Safety Science, 2011, 21(8): 54–60. DOI: 10.16265/j.cnki.issn1003-3033.2011.08.017.
    [11] 张志斌, 叶继红. 高速路上LPG罐车泄漏爆炸危险性分析 [J]. 工业安全与环保, 2023, 49(4): 5–10. DOI: 10.3969/j.issn.1001-425X.2023.04.002.

    ZHANG Z B, YE J H. Risk analysis of LPG tank car leakage and explosion on expressway [J]. Industrial Safety and Environmental Protection, 2023, 49(4): 5–10. DOI: 10.3969/j.issn.1001-425X.2023.04.002.
    [12] 余爽. 基于ALOHA的LPG槽罐车火灾爆炸事故模拟 [J]. 消防科学与技术, 2016, 35(9): 1347–1349. DOI: 10.3969/j.issn.1009-0029.2016.09.048.

    YU S. Fire and explosion accident simulation of LPG tanker based on ALOHA [J]. Fire Science and Technology, 2016, 35(9): 1347–1349. DOI: 10.3969/j.issn.1009-0029.2016.09.048.
    [13] 罗振敏, 解超, 王九柱, 等. N2和CO2对液化石油气(LPG)惰化抑爆效能对比分析 [J]. 化工进展, 2019, 38(6): 2574–2580. DOI: 10.16085/j.issn.1000-6613.2018-1788.

    LUO Z M, XIE C, WANG J Z, et al. Comparative analysis of inerting and explosion suppression efficiency of N2 and CO2 on liquefied petroleum gas (LPG) [J]. Chemical Progress, 2019, 38(6): 2574–2580. DOI: 10.16085/j.issn.1000-6613.2018-1788.
    [14] 周宁, 李海涛, 任常兴, 等. 氮气、二氧化碳对液化石油气的惰化抑爆研究 [J]. 消防科学与技术, 2016, 35(6): 733–737.

    ZHOU N, LI H T, REN C X, et al. Study on the inerting and explosion suppression of liquefied petroleum gas by nitrogen and carbon dioxide [J]. Fire Science and Technology, 2016, 35(6): 733–737.
    [15] 何昆. 二氧化碳对液化石油气抑爆实验研究 [J]. 消防科学与技术, 2015, 34(7): 841–843.

    HE K. Experimental study on explosion suppression of liquefied petroleum gas by carbon dioxide [J]. Fire Science and Technology, 2015, 34(7): 841–843.
    [16] WANG J, LIANG Y, ZHAO Z. Effect of N2 and CO2 on explosion behavior of H2-liquefied petroleum gas-air mixtures in a confined space [J]. International Journal of Hydrogen Energy, 2022, 47(56):23887–23897. DOI: 10.1016/J.IJHYDENE.2022.05.152.
    [17] 夏远辰, 张彬, 王博乔, 等. 超细水雾对氢气-甲烷预混气体爆燃的抑制机理实验研究 [J]. 大连海事大学学报, 2022(4): 127–134. DOI: 10.16411/j.cnki.issn1006-7736.2022.04.015.

    XIA Y C, ZHANG B, WANG B Q et al. Experimental study on the inhibition mechanism of ultrafine water mist on hydrogen-methane premixed gas deflagration [J]. Journal of Dalian Maritime University, 2022(4): 127–134. DOI: 10.16411/j.cnki.issn1006-7736.2022.04.015.
    [18] SONG Y, ZHANG Q. Quantitative research on gas explosion inhibition by water mist [J]. Journal of Hazardous Materials, 2019, 363: 16–25. DOI: 10.1016/j.jhazmat.2018.09.059.
    [19] 常新明, 张红军, 魏垂胜, 等. 细水雾粒径对管内瓦斯爆炸特性的影响机理研究 [J]. 河南理工大学学报(自然科学版), 2021, 40(5): 8–15. DOI: 10.16186/j.cnki.1673-9787.2020110078.

    CHANG X M, ZHANG H J, WEI C S, et al. Study on the influence mechanism of water mist particle size on gas explosion characteristics in pipe [J]. Journal of Henan Polytechnic University (Natural Science Edition), 2021, 40(5): 8–15. DOI: 10.16186/j.cnki.1673-9787.2020110078.
    [20] 裴蓓, 韦双明, 陈立伟, 等. CO2-超细水雾对CH4/Air初期爆炸特性的影响 [J]. 爆炸与冲击, 2019, 39(2): 025402. DOI: 10.11883/bzycj-2018-0147.

    PEI B, WEI S M, CHEN L W, et al. Effect of CO2-ultrafine water mist on the initial explosion characteristics of CH4/air [J]. Explosion and shock, 2019, 39(2): 025402. DOI: 10.11883/bzycj-2018-0147.
    [21] 陈晓坤, 林滢, 罗振敏, 等. 水系抑制剂控制瓦斯爆炸的实验研究 [J]. 煤炭学报, 2006(5): 603–606. DOI: 10.11731/j.issn.1673-193x.2019.06.010.

    CHEN X K, LIN Y, LUO Z M, et al. Experimental study on gas explosion control by water system inhibitors [J]. Acta Coale Sinica, 2006(5): 603–606. DOI: 10.11731/j.issn.1673-193x.2019.06.010.
    [22] CAO X Y, BI M S, REN J J, et al. Experimental research on explosion suppression affected by ultrafine water mist containing different additives [J]. Journal of Hazardous Materials, 2019, 368: 613–620. DOI: 10.1016/j.jhazmat.2019.01.006.
    [23] BADHUK P, RAVIKRISHNA R V. Flame inhibition by aqueous solution of Alkali salts in methane and LPG laminar diffusion flames [J]. Fire Safety Journal, 2022, 130: 103586. DOI: 10.1016/j.firesaf.2022.103586.
    [24] 杨克, 周越, 周扬, 等. 含PPFBS超细水雾抑制甲烷爆燃的实验研究 [J]. 安全与环境工程, 2020, 27(6): 174–180. DOI: 10.13578/j.cnki.issn.1671-1556.2020.06.025.

    YANG K, ZHOU Y, ZHOU Y, et al. Experimental study on the suppression of methane deflagration by ultrafine water mist containing PPFBS [J]. Safety and Environmental Engineering, 2020, 27(6): 174–180. DOI: 10.13578/j.cnki.issn.1671-1556.2020.06.025.
    [25] 裴蓓, 杨双杰, 陆丁连, 等. 含复合添加剂N2-双流体细水雾抑制乙醇火焰强化研究 [J]. 工程热物理学报, 2021, 42(1): 260–267.

    PEI B, YANG S J, LU D L, et al. Study on the inhibition of ethanol flame enhancement by N2-two-fluid water mist containing composite additive [J]. Engineering Thermophysics, 2021, 42(1): 260–267.
    [26] 吴楠, 曹青, 张连超. 有机硅/碳氢表面活性剂对水成膜灭火剂性能的影响 [J]. 消防科学与技术, 2020, 39(7): 997–1000. DOI: 10.3969/j.issn.1009-0029.2020.07.030.

    WU N, CAO Q, ZHANG L C. Effects of silicone/hydrocarbon surfactants on the performance of aqueous film-forming extinguishing agents [J]. Fire Science and Technology, 2020, 39(7): 997–1000. DOI: 10.3969/j.issn.1009-0029.2020.07.030.
    [27] WANG T, YANG P, YI W, et al. Effect of obstacle shape on the deflagration characteristics of premixed LPG-air mixtures in a closed tube [J]. Process Safety and Environmental Protection, 2022, 168: 248–256. DOI: 10.1016/j.psep.2022.09.079.
    [28] IBRAHIM S S, MASRI B. The effects of obstructions on overpressure resulting from premixed flame deflagration [J]. Journal of Loss Prevention in the Process Industries, 2001, 14(3). DOI: 10.1016/S0950-4230(00)00024-3.
    [29] TRAN M V, WON S S, JEONG P, OH B K et al. Effects of hydrocarbon addition on cellular instabilities in expanding syngas-air spherical premixed flames [J]. International Journal of Hydrogen Energy, 2009, 34(16): 6961–6969. DOI: 10.1016/j.ijhydene.2009.06.067.
    [30] CAO X, WANG Z, LU Y, et al. Numerical simulation of methane explosion suppression by ultrafine water mist in a confined space [J]. Tunnelling and Underground Space Technology Incorporating Trenchless Technology Research, 2021, 109:103777. DOI: 10.1016/J.TUST.2020.103777.
    [31] PEI B, LI S, YANG S, et al. Flame propagation inhibition study on methane/air explosion using CO2 twin-fluid water mist containing potassium salt additives [J]. Journal of Loss Prevention in the Process Industries, 2022, 78: 104817. DOI: 10.1016/j.jlp.2022.104817.
    [32] LIU F, KARATAS A E, GUIDER Ö L, et al. Numerical and experimental study of the influence of CO2 and N2 dilution on soot formation in laminar coflow C2H4/air diffusion flames at pressures between 5 and 20 atm [J]. Combustion and Flame, 2015, 162(5): 2231–2247. DOI: 10.1016/j.combustflame.2015.01.020.
    [33] 贺元骅, 郭君, 王海斌, 等. 低压双流体细水雾抑制锂离子电池热失控研究 [J]. 消防科学与技术, 2020, 39(2): 223–227.

    HE Y H, GUO J, WANG H B, et al. Study on thermal runaway suppression of lithium-ion batteries by low-pressure two-fluid water mist [J]. Fire Science and Technology, 2020, 39(2): 223–227.
    [34] 刘中麟. 新型水基添加剂灭火有效性研究[D]. 郑州: 郑州大学, 2015: 98–99.

    LIU Z L. Study on fire extinguishing effectiveness of new water-based additives [D]. Zhengzhou: Zhengzhou University, 2015: 98–99.
    [35] ZHANG T W, HAO L, HAN Z Y, et al. Experimental study on the synergistic effect of fire extinguishing by water and potassium salts [J]. Journal of Thermal Analysis and Calorimetry, 2019, 138(1): 857–867. DOI: 10.1007/s10973-019-08234-4.
  • 加载中
图(9)
计量
  • 文章访问数:  209
  • HTML全文浏览量:  104
  • PDF下载量:  32
  • 被引次数: 0
出版历程
  • 收稿日期:  2023-09-25
  • 修回日期:  2024-01-19
  • 网络出版日期:  2024-09-05
  • 刊出日期:  2024-11-15

目录

    /

    返回文章
    返回