• ISSN 1001-1455  CN 51-1148/O3
  • EI、Scopus、CA、JST、EBSCO、DOAJ收录
  • 力学类中文核心期刊
  • 中国科技核心期刊、CSCD统计源期刊

典型金属飞机机身下部结构坠撞的吸能特性与吸能设计

张欣玥 惠旭龙 刘小川 白春玉 李肖成 牟让科

张欣玥, 惠旭龙, 刘小川, 白春玉, 李肖成, 牟让科. 典型金属飞机机身下部结构坠撞的吸能特性与吸能设计[J]. 爆炸与冲击, 2025, 45(7): 071001. doi: 10.11883/bzycj-2024-0500
引用本文: 张欣玥, 惠旭龙, 刘小川, 白春玉, 李肖成, 牟让科. 典型金属飞机机身下部结构坠撞的吸能特性与吸能设计[J]. 爆炸与冲击, 2025, 45(7): 071001. doi: 10.11883/bzycj-2024-0500
ZHANG Xinyue, HUI Xulong, LIU Xiaochuan, BAI Chunyu, LI Xiaocheng, MU Rangke. Energy absorption characteristics and crashworthiness designs for typical metal aircraft fuselage substructure[J]. Explosion And Shock Waves, 2025, 45(7): 071001. doi: 10.11883/bzycj-2024-0500
Citation: ZHANG Xinyue, HUI Xulong, LIU Xiaochuan, BAI Chunyu, LI Xiaocheng, MU Rangke. Energy absorption characteristics and crashworthiness designs for typical metal aircraft fuselage substructure[J]. Explosion And Shock Waves, 2025, 45(7): 071001. doi: 10.11883/bzycj-2024-0500

典型金属飞机机身下部结构坠撞的吸能特性与吸能设计

doi: 10.11883/bzycj-2024-0500
详细信息
    作者简介:

    张欣玥(1994- ),女,硕士,工程师,nwpuzhangxinyue@163.com

    通讯作者:

    刘小川(1983- ),男,博士,研究员,liuxiaochuan@cae.ac.cn

  • 中图分类号: O389; V271.1

Energy absorption characteristics and crashworthiness designs for typical metal aircraft fuselage substructure

  • 摘要: 为研究飞机机身下部结构的坠撞吸能特性并进行吸能设计,以典型民机金属机身的下部结构为对象,首先开展了典型机身下部结构的坠撞实验,基于实验和仿真结果,对机身下部结构的吸能特性进行了评估;在此基础上,开展了机身下部结构的坠撞吸能设计,并采用仿真手段研究了新型机身下部结构的布局参数对结构坠撞响应的影响。结果表明:在坠撞过程中,原构型机身下部结构的立柱均在连接处附近弯折并断裂,而立柱的其他区域几乎未发生塑性变形;在机身结构总质量基本不变的情况下,与原构型相比,新型机身下部结构变形更加充分,可显著降低飞机坠撞前期的载荷和加速度峰值,机身框和下部吸能结构的吸能占比明显增大;相较于原构型,优化后的新型机身结构的平均过载下降了30.8%,客舱地板上2个质量点的平均加速度分别下降了25.0%和37.6%。
  • 图  1  实验件示意图

    Figure  1.  Diagram of experiment piece

    图  2  夹具及配重座椅示意图

    Figure  2.  Diagram of experiment fixture and counterweight seats

    图  3  实验系统

    Figure  3.  System of crash experiment

    图  4  坠撞过程中实验件的变形情况

    Figure  4.  Deformation of test piece during crash

    图  5  机身下部结构坠撞的有限元模型

    Figure  5.  Finite element analysis model of fuselage substructure crash

    图  6  机身结构的变形情况

    Figure  6.  Deformation of fuselage structural

    图  7  夹具横梁中心点位移及速度曲线

    Figure  7.  Displacement and velocity curves of center on fixture beam

    图  8  配重座椅上的加速度曲线对比

    Figure  8.  Comparison of acceleration curves at counterweight seat

    图  9  典型机身下部结构坠撞过程中的应力云图

    Figure  9.  Stress nephogram during the crash of the typical fuselage substructure

    图  10  仿真分析

    Figure  10.  Simulation analysis

    图  11  机身下部结构的布局

    Figure  11.  Layout of fuselage substructure

    图  12  新型机身下部结构的吸能分区

    Figure  12.  Energy absorption partition of new fuselage substructure

    图  13  新型机身下部结构坠撞有限元模型

    Figure  13.  Finite element analysis model of new fuselage substructure crash

    图  14  新型机身下部结构在坠撞过程中的应力云图

    Figure  14.  Stress nephogram during the crash of the new fuselage substructure

    图  15  新型机身下部结构布局参数示意图

    Figure  15.  Finite element analysis model of new fuselage section

    图  16  不同横梁高度下机身下部结构的变形

    Figure  16.  Deformation of the fuselage substructure with different beam heights

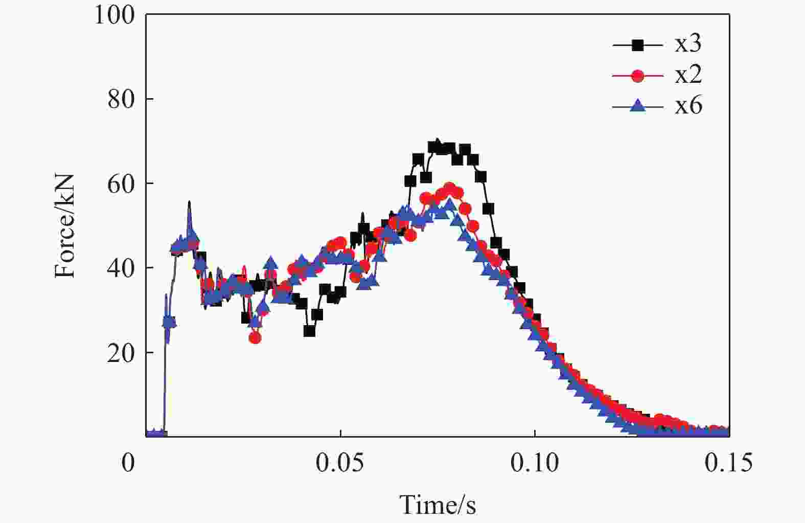
    图  17  不同横梁高度下机身下部结构的撞击载荷-时间曲线

    Figure  17.  Impact force-time curves of the fuselage substructure with different beam heights

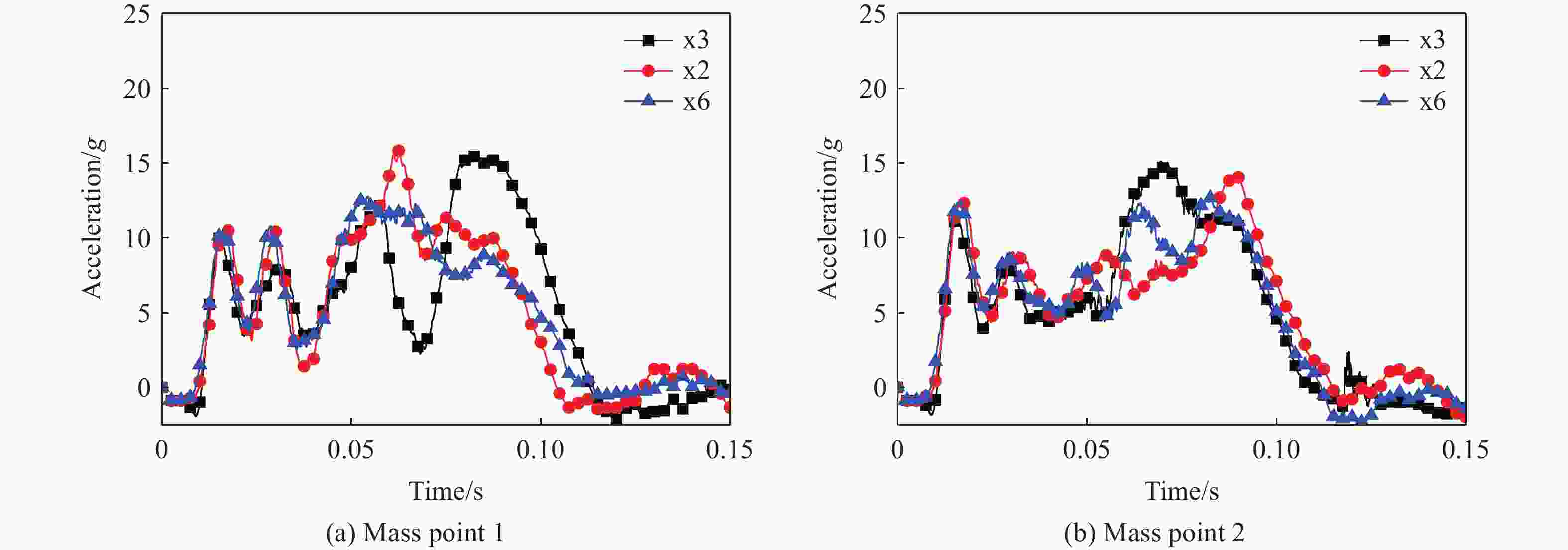
    图  18  不同横梁高度下质量点的加速度-时间曲线

    Figure  18.  Acceleration-time curves of the mass points with different beam heights

    图  19  不同横梁高度下机身下部结构各部件的吸能占比

    Figure  19.  Energy ratio of each part of the fuselage substructure with different beam heights

    图  20  不同斜撑距离下机身下部结构的变形

    Figure  20.  Deformation of the fuselage substructure with different inclined strut distances

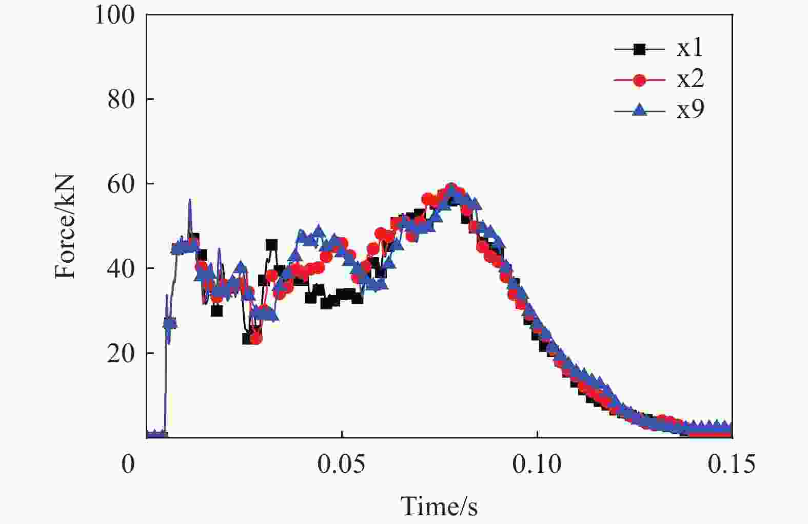
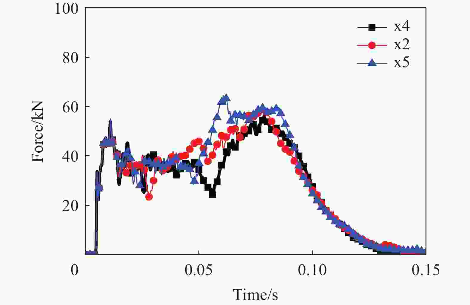
    图  21  不同斜撑距离下机身下部结构的撞击载荷-时间曲线

    Figure  21.  Impact force-time curves of the fuselage substructure with different inclined strut distances

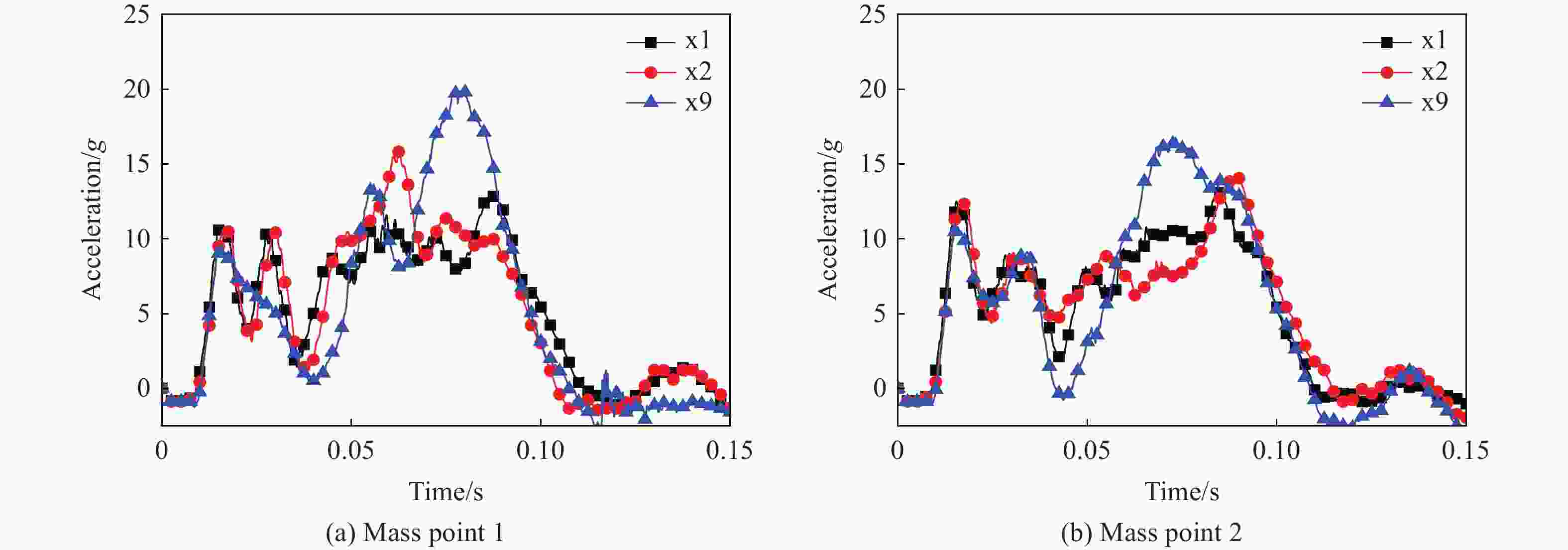
    图  22  不同斜撑距离下质量点的加速度-时间曲线

    Figure  22.  Acceleration-time curves of the mass points with different inclined strut distances

    图  23  不同斜撑距离下机身下部结构各部件的吸能占比

    Figure  23.  Energy ratio of each part of the fuselage substructure with different inclined strut distances

    图  24  不同斜撑与横梁夹角下机身下部结构的变形

    Figure  24.  Deformation of fuselage substructure with different angles between inclined strut and beam

    图  25  不同斜撑与横梁夹角下机身下部结构的撞击载荷-时间曲线

    Figure  25.  Impact force-time curves of the fuselage substructure with different angles between inclined strut and beam

    图  26  不同斜撑与横梁夹角下质量点的加速度-时间曲线

    Figure  26.  Acceleration-time curves of the mass points with different angles between inclined strut and beam

    图  27  不同斜撑与横梁夹角的机身下部结构各部件吸能占比

    Figure  27.  Energy ratio of each part of the fuselage substructure with different angles between inclined strut and beam

    图  28  不同立柱高度下机身下部结构的变形

    Figure  28.  Deformation of of the fuselage substructure with different column heights

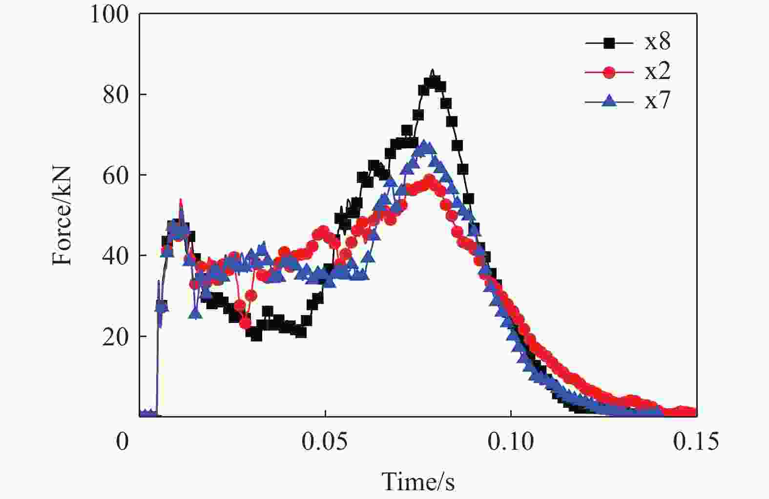
    图  29  不同立柱高度下机身下部结构的撞击载荷-时间曲线

    Figure  29.  Impact force-time curves of the fuselage substructure with different column heights

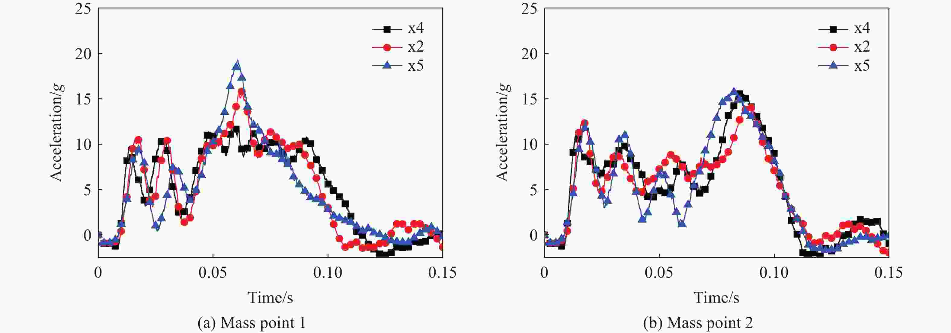
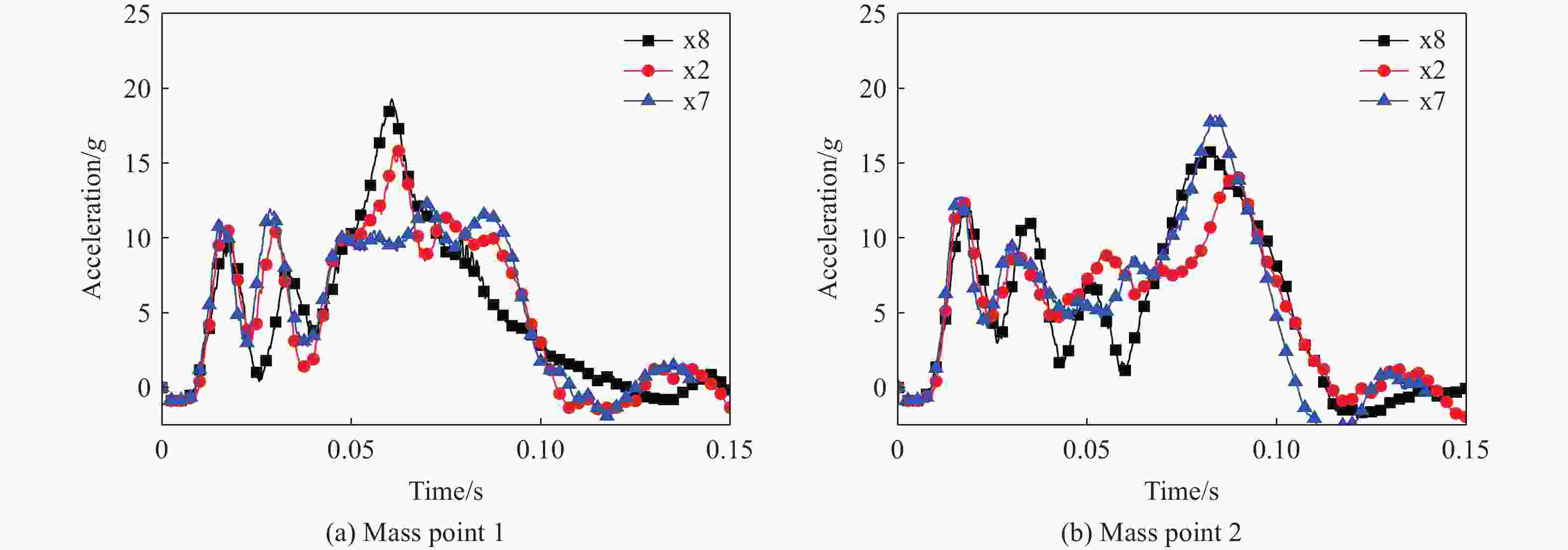
    图  30  不同立柱高度下质量点的加速度-时间曲线

    Figure  30.  Acceleration-time curves of the mass points with different column heights

    图  31  不同立柱高度的机身结构各部件吸能占比

    Figure  31.  Energy ratio of each part of the fuselage with different column heights

    表  1  机身段结构的材料参数[33]

    Table  1.   Material parameters of the fuselage section[33]

    材料 部位 密度/(kg·m−3) 弹性模量/GPa 泊松比 屈服应力/MPa 硬化模量/MPa 失效应变
    7075 框、角片 2 796 70 0.33 418 680 0.056
    7050 角片 2 830 72 0.33 441 950 0.050
    7150 长桁、横梁、滑轨、立柱 2 823 76 0.33 690 400 0.060
    2524 蒙皮 2 768 72 0.35 328 920 0.150
    下载: 导出CSV

    表  2  新型机身下部吸能结构的材料参数

    Table  2.   Material parameters of the new fuselage energy absorbing substructure

    材料 部位 密度/(kg·m−3) 弹性模量/GPa 泊松比 屈服应力/MPa 硬化模量/MPa 失效应变
    2024 横梁、斜撑、立柱 2760 71 0.33 369 850 0.15
    下载: 导出CSV

    表  3  布局参数

    Table  3.   Layout parameters

    编号 h1/mm l/mm α/(˚) h2/mm
    x1 50 250 25 135
    x2 50 300 25 135
    x3 50 300 20 135
    x4 50 300 25 100
    x5 50 300 25 170
    x6 50 300 30 135
    x7 80 300 25 135
    x8 20 300 25 135
    x9 50 350 25 135
    下载: 导出CSV

    表  4  不同布局参数下机身结构的平均加速度

    Table  4.   Average acceleration of fuselage structure with different layout parameters

    编号 质量/kg $ \bar a $/g $ {\bar a_1} $/g $ {\bar a_2} $/g
    原构型 452.275 12.27 9.60 10.94
    x1 452.350 8.79 6.99 7.10
    x2 452.300 9.15 7.56 6.65
    x3 452.307 9.55 6.64 7.36
    x4 452.323 8.49 7.20 6.83
    x5 452.316 9.49 7.60 6.59
    x6 452.329 8.88 7.20 7.13
    x7 452.364 9.11 7.43 7.15
    x8 452.249 9.34 7.60 6.48
    x9 452.181 9.14 7.98 7.50
    下载: 导出CSV

    表  5  不同布局参数下机身结构的吸能占比

    Table  5.   Energy absorption ratio of the fuselage structure with different layout parameters

    编号 蒙皮/% 机身框/% 客舱地板横梁/% 下部吸能结构/%
    原构型 23.13 23.33 10.50 6.54
    x1 23.90 30.01 2.54 10.89
    x2 23.94 28.21 3.00 10.59
    x3 22.04 28.18 2.64 11.93
    x4 23.85 31.90 3.33 9.26
    x5 22.46 26.21 2.18 14.46
    x6 23.37 28.80 5.40 11.21
    x7 25.28 29.59 1.79 10.46
    x8 19.90 32.12 3.94 9.84
    x9 25.73 28.08 3.09 10.05
    下载: 导出CSV
  • [1] 刘小川, 郭军, 孙侠生, 等. 民机机身段和舱内设施坠撞试验及结构适坠性评估 [J]. 航空学报, 2013, 34(9): 2130–2140. DOI: 10.7527/S1000-6893.2013.0182.

    LIU X C, GUO J, SUN X S, et al. Drop test and structure crashworthiness evaluation of civil airplane fuselage section with cabin interiors [J]. Acta Aeronautica et Astronautica Sinica, 2013, 34(9): 2130–2140. DOI: 10.7527/S1000-6893.2013.0182.
    [2] 刘小川, 白春玉, 惠旭龙, 等. 民机机身结构耐撞性研究的进展与挑战 [J]. 固体力学学报, 2020, 41(4): 293–323. DOI: 10.19636/j.cnki.cjsm42-1250/o3.2020.035.

    LIU X C, BAI C Y, XI X L, et al. Progress and challenge of research on crashworthiness of civil airplane fuselage structures [J]. Chinese Journal of Solid Mechanics, 2020, 41(4): 293–323. DOI: 10.19636/j.cnki.cjsm42-1250/o3.2020.035.
    [3] 中国民用航空局. 中国民用航空规章: 第25部运输类飞机适航标准 CCAR-25-R4 [S]. 北京: 中国民用航空局, 2011.

    Civil Aviation Administration of China. China civil aviation regulations: part 25-transport aircraft airworthiness standards CCAR-25-R4 [S]. Beijing: CAAC, 2011.
    [4] LIU X C, GUO J, BAI C Y, et al. Drop test and crash simulation of a civil airplane fuselage section [J]. Chinese Journal of Aeronautics, 2015, 28(2): 447–456. DOI: 10.1016/j.cja.2015.01.007.
    [5] 张欣玥, 惠旭龙, 刘小川, 等. 典型金属民机机身结构坠撞特性试验 [J]. 航空学报, 2022, 43(6): 526234. DOI: 10.7527/S1000-6893.2022.26234.

    ZHANG X Y, XI X L, LIU X C, et al. Experimental study on crash characteristics of typical metal civil aircraft fuselage structure [J]. Acta Aeronautica et Astronautica Sinica, 2022, 43(6): 526234. DOI: 10.7527/S1000-6893.2022.26234.
    [6] 刘小川, 惠旭龙, 张欣玥, 等. 典型民用飞机全机坠撞实验研究 [J]. 航空学报, 2024, 45(5): 529664. DOI: 10.7527/S1000-6893.2023.29664.

    LIU X C, XI X L, ZHANG X Y, et al. Full-scale crash experimental study of typical civil aircraft [J]. Acta Aeronautica et Astronautica Sinica, 2024, 45(5): 529664. DOI: 10.7527/S1000-6893.2023.29664.
    [7] 冯振宇, 程坤, 赵一帆, 等. 运输类飞机典型货舱地板下部结构冲击吸能特性 [J]. 航空学报, 2019, 40(9): 222907. DOI: 10.7527/S1000-6893.2019.22907.

    FENG Z Y, CHENG K, ZHAO Y F, et al. Energy-absorbing characteristics of a typical sub-cargo fuselage section of a transport category aircraft [J]. Acta Aeronautica et Astronautica Sinica, 2019, 40(9): 222907. DOI: 10.7527/S1000-6893.2019.22907.
    [8] 牟浩蕾, 谢威威, 解江, 等. 坠撞环境下乘员伤害分析及飞机适坠性评估 [J]. 航空学报, 2024, 45(3): 228786. DOI: 10.7527/S1000-6893.2023.28786.

    MOU H L, XIE W W, XIE J, et al. Occupant injury analysis and aircraft crashworthiness evaluation under crash scenarios [J]. Acta Aeronautica et Astronautica Sinica, 2024, 45(3): 228786. DOI: 10.7527/S1000-6893.2023.28786.
    [9] 彭亮. 基于乘员生存性的机身结构适坠性设计与评价方法研究 [D]. 西安: 西北工业大学, 2018. DOI: 10.27406/d.cnki.gxbgu.2018.000284.

    PENG L. Research on design and evaluation method of airframe structural crashworthiness based on occupants survivability [D]. Xi’an: Northwestern Polytechnical University, 2018. DOI: 10.27406/d.cnki.gxbgu.2018.000284.
    [10] DEEPAK S. Crashworthy design and analysis of aircraft structures [D]. Philadelphia: Drexel University, 2013.
    [11] JACKSON K E. Finite element simulations of two vertical drop tests of F-28 fuselage sections [M]. Virginia: National Aeronautics and Space Administration, 2018.
    [12] FASANELLA E L, JACKSON K E. Crash simulation of a vertical drop test of a B737 fuselage section with auxiliary fuel tank: 23681-0001 [R]. Hampton: US Army Research Laboratory, Vehicle Technology Directorate, NASA Langley Research Center, 2002.
    [13] JACKSON K E, FASANELLA E L. Crash simulation of vertical drop tests of two Boeing 737 fuselage sections [R]. Washington: Office of Aviation Research, 2002.
    [14] 冯振宇, 张晓敏, 牟浩蕾, 等. 不同冲击条件对机身结构适坠性的影响 [J]. 机械科学与技术, 2013, 32(3): 353–357. DOI: 10.13433/j.cnki.1003-8728.2013.03.023.

    FENG Z Y, ZHANG X M, MOU H L, et al. Influences of different impact conditions on aircraft fuselage crashworthiness [J]. Mechanical Science and Technology for Aerospace Engineering, 2013, 32(3): 353–357. DOI: 10.13433/j.cnki.1003-8728.2013.03.023.
    [15] 邹田春, 牟浩蕾, 任健, 等. 滚转角度对民机机身结构耐撞性能的影响 [J]. 机械强度, 2014, 36(1): 139–143. DOI: 10.16579/j.issn.1001.9669.2014.01.022.

    ZOU T C, MOU H L, REN J, et al. Effects of roll angles on civil aircraft fuselage crashworthiness [J]. Journal of Mechanical Strength, 2014, 36(1): 139–143. DOI: 10.16579/j.issn.1001.9669.2014.01.022.
    [16] RICCIO A, RAIMONDO A, DI CAPRIO F, et al. Experimental and numerical investigation on the crashworthiness of a composite fuselage sub-floor support system [J]. Composites Part B: Engineering, 2018, 150: 93–103. DOI: 10.1016/j.compositesb.2018.05.044.
    [17] RICCIO A, SAPUTO S, SELLITTO A, et al. On the crashworthiness behaviour of a composite fuselage sub-floor component [J]. Composite Structures, 2020, 234: 111662. DOI: 10.1016/j.compstruct.2019.111662.
    [18] PAZ J, DÍAZ J, ROMERA L, et al. Optimisation of thin-walled hybrid vertical struts for crashworthy aircraft designs [J]. Structural and Multidisciplinary Optimization, 2020, 61(1): 141–158. DOI: 10.1007/s00158-019-02350-3.
    [19] FERABOLI P. Development of a corrugated test specimen for composite materials energy absorption [J]. Journal of Composite Materials, 2008, 42(3): 229–256. DOI: 10.1177/0021998307086202.
    [20] SCHATROW P, WAIMER M. Crash concept for composite transport aircraft using mainly tensile and compressive absorption mechanisms [J]. CEAS Aeronautical Journal, 2016, 7(3): 471–482. DOI: 10.1007/s13272-016-0203-6.
    [21] WAIMER M, KOHLGRÜBER D, KECK R, et al. Contribution to an improved crash design for a composite transport aircraft fuselage: development of a kinematics model and an experimental component test setup [J]. CEAS Aeronautical Journal, 2013, 4(3): 265–275. DOI: 10.1007/s13272-013-0070-3.
    [22] WAIMER M, KOHLGRÜBER D, HACHENBERG D, et al. Experimental study of CFRP components subjected to dynamic crash loads [J]. Composite Structures, 2013, 105: 288–299. DOI: 10.1016/j.compstruct.2013.05.030.
    [23] DELSART D, PORTEMONT G, WAIMER M. Crash testing of a CFRP commercial aircraft sub-cargo fuselage section [J]. Procedia Structural Integrity, 2016, 2: 2198–2205. DOI: 10.1016/j.prostr.2016.06.275.
    [24] HEIMBS S, STROBL F, MIDDENDORF P, et al. Composite crash absorber for aircraft fuselage applications [J]. WIT Transactions on the Built Environment, 2010, 113(12): 3–14. DOI: 10.2495/SU100011.
    [25] REN Y R, XIANG J W, MENG S H, et al. Crashworthiness of civil aircraft subject to soft soil and concrete impact surface [J]. Procedia Engineering, 2014, 80: 193–201. DOI: 10.1016/j.proeng.2014.09.074.
    [26] JIANG H Y, REN Y R, GAO B H, et al. Design of novel plug-type triggers for composite square tubes: enhancement of energy-absorption capacity and inducing failure mechanisms [J]. International Journal of Mechanical Sciences, 2017, 131/132: 113–136. DOI: 10.1016/j.ijmecsci.2017.06.050.
    [27] 谭丽辉, 徐涛, 崔晓梅, 等. 带有圆弧形凹槽金属薄壁圆管抗撞性优化设计 [J]. 爆炸与冲击, 2014, 34(5): 547–553. DOI: 10.11883/1001-1455(2014)05-0547-07.

    TAN L H, XU T, CUI X M, et al. Design optimization for crashworthiness of metal thin-walled cylinders with circular arc indentations [J]. Explosion and Shock Waves, 2014, 34(5): 547–553. DOI: 10.11883/1001-1455(2014)05-0547-07.
    [28] 张欣玥, 惠旭龙, 葛宇静, 等. 中低速压缩加载下不同截面构型复合材料薄壁结构吸能特性及失效分析 [J]. 爆炸与冲击, 2022, 42(6): 063102. DOI: 10.11883/bzycj-2021-0347.

    ZHANG X Y, XI X L, GE Y J, et al. Energy absorption characteristics and failure analysis of composite thin-walled structures with different cross-sectional configurations under medium- and low-speed compression loading [J]. Explosion and Shock Waves, 2022, 42(6): 063102. DOI: 10.11883/bzycj-2021-0347.
    [29] JIANG H Y, REN Y R, GAO B H. Research on the progressive damage model and trigger geometry of composite waved beam to improve crashworthiness [J]. Thin-Walled Structures, 2017, 119: 531–543. DOI: 10.1016/j.tws.2017.07.004.
    [30] 汪洋, 吴志斌, 刘富. 复合材料货舱地板立柱压溃响应试验 [J]. 复合材料学报, 2020, 37(9): 2200–2206. DOI: 10.13801/j.cnki.fhclxb.20200111.001.

    WANG Y, WU Z B, LIU F. Crush experiment of composite cargo floor stanchions [J]. Acta Materiae Compositae Sinica, 2020, 37(9): 2200–2206. DOI: 10.13801/j.cnki.fhclxb.20200111.001.
    [31] REN Y R, XIANG J W. Improvement of aircraft crashworthy performance using inversion failure strut system [J]. Aircraft Engineering and Aerospace Technology, 2017, 89(2): 330–337. DOI: 10.1108/AEAT-09-2015-0205.
    [32] REN Y R, ZHANG H Y, XIANG J W. A novel aircraft energy absorption strut system with corrugated composite plate to improve crashworthiness [J]. International Journal of Crashworthiness, 2018, 23(1): 1–10. DOI: 10.1080/13588265.2017.1301082.
    [33] 《飞机设计手册》总编委会. 飞机设计手册 第3册 材料 [M]. 北京: 航空工业出版社, 1997: 186–260.

    General Editorial Board of Aircraft Design Manual. Aircraft design manual volume 3: materials [M]. Beijing: Aviation Industry Press, 1997: 186–260.
  • 加载中
图(31) / 表(5)
计量
  • 文章访问数:  169
  • HTML全文浏览量:  107
  • PDF下载量:  76
  • 被引次数: 0
出版历程
  • 收稿日期:  2024-12-23
  • 修回日期:  2025-04-22
  • 网络出版日期:  2025-04-24
  • 刊出日期:  2025-07-01

目录

    /

    返回文章
    返回