2019 Vol. 39, No. 7
Display Method:
2019, 39(7): 071101.
doi: 10.11883/bzycj-2019-0034
Abstract:
In this study we developed a hydraulic servo control system for experimental study on concrete penetration under triaxial stress for independently-controlled triaxial confinement on cubic specimens, and launched bullets to penetrate concrete specimens with high pressure, using the strain gauges to record the dynamic compression signals and side friction signals on the six bars of six surfaces of the specimens. Taking the concrete specimens as an example, we investigated the cubic specimens’ penetration performance under different stress states based on the independently-controlled triaxial confinement of 0-100 MPa, and obtained their penetration differences under unilateral, unilateral and bidirectional lateral confinements, revealing the effect of the stress state on penetration performance.
In this study we developed a hydraulic servo control system for experimental study on concrete penetration under triaxial stress for independently-controlled triaxial confinement on cubic specimens, and launched bullets to penetrate concrete specimens with high pressure, using the strain gauges to record the dynamic compression signals and side friction signals on the six bars of six surfaces of the specimens. Taking the concrete specimens as an example, we investigated the cubic specimens’ penetration performance under different stress states based on the independently-controlled triaxial confinement of 0-100 MPa, and obtained their penetration differences under unilateral, unilateral and bidirectional lateral confinements, revealing the effect of the stress state on penetration performance.
2019, 39(7): 072101.
doi: 10.11883/bzycj-2018-0215
Abstract:
When the oil depot is in fire, a large amount of gasoline vapor is formed by the heat absorption of oil in an adjacent gasoline tank with a fixed top. The gasoline vapor is ignited after mixing with air, which is likely to cause combustion and explosion accidents. In this paper, the gasoline vapor leaked from a tank of 5 000 m3 (\begin{document}$ \varnothing$\end{document} ![]()
![]()
22 m×13 m) is taken as the research object, the law of gas vapor leakage and explosion is researched by numerical simulation. It is found that the area beyond 50 m away from the tank center is safe at 1 m above the ground if there is no wind and the gasoline vapor leakage velocity is 0.25 m/s. It is not easy to accumulate into the flammable gasoline vapor as the gasoline vapor leakage velocity from the breathing valve is 0.25 m/s, and the wind speed reaches 5.0 m/s and above. As there is no wind and the gasoline vapor leakage velocity from the breathing valve is increased by 1 order of magnitude, the time to half of the lower flammability limit is reduced by 2 orders of magnitude. When the wind speed is 3.0 m/s, the gasoline vapor leaking velocity is 0.25 m/s, and the leakage time is 200 s, the peak overpressure is reduced by 1−2 orders of magnitude if the distance to the ignition source is increased by 1 order of magnitude.
When the oil depot is in fire, a large amount of gasoline vapor is formed by the heat absorption of oil in an adjacent gasoline tank with a fixed top. The gasoline vapor is ignited after mixing with air, which is likely to cause combustion and explosion accidents. In this paper, the gasoline vapor leaked from a tank of 5 000 m3 (
2019, 39(7): 072201.
doi: 10.11883/bzycj-2018-0179
Abstract:
In order to study the dynamic response behavior of a sand wall in the process of the shock-sand wall interaction, experiments are carried out in a horizontal shock tube. A high-speed schlieren imaging system is used to capture the instantaneous structures of shock wave and moving process of the sand wall in the flow field. The incident shock Mach number ranges from 1.827 to 2.413, and the incident shock strength ranges from 0.378 MPa to 0.724 MPa. Three different kinds of sand walls are constructed using well-size-distributed iron sand, bauxite sand and quartz sand, the corresponding porosities of these sand walls are 56.6%, 69.3% and 56.6%, respectively. High-speed schlieren photographs show that regular reflection occurs when the incident shock wave impacts the sand wall. Moreover, the sand wall does not move significantly until the hundreds of microseconds after the onset of the interaction, indicating that the dynamic response behavior of the sand wall is similar to that of a rigid body. Basing on the shock wave theory, the Hugoniot relations for sand walls made from three different materials are established. The bulk elastic moduli of iron-, bauxite- and quartz-sand walls are 0.913, 0.478, and 0.225 GPa, respectively. The constant λ in the Hugoniot relations is on the order of 100. It is concluded that the relatively low shock impacting majorly leads to the volume deformation of the sand wall, and the heat effect of the sand wall caused by shock loading may be unimportant.
In order to study the dynamic response behavior of a sand wall in the process of the shock-sand wall interaction, experiments are carried out in a horizontal shock tube. A high-speed schlieren imaging system is used to capture the instantaneous structures of shock wave and moving process of the sand wall in the flow field. The incident shock Mach number ranges from 1.827 to 2.413, and the incident shock strength ranges from 0.378 MPa to 0.724 MPa. Three different kinds of sand walls are constructed using well-size-distributed iron sand, bauxite sand and quartz sand, the corresponding porosities of these sand walls are 56.6%, 69.3% and 56.6%, respectively. High-speed schlieren photographs show that regular reflection occurs when the incident shock wave impacts the sand wall. Moreover, the sand wall does not move significantly until the hundreds of microseconds after the onset of the interaction, indicating that the dynamic response behavior of the sand wall is similar to that of a rigid body. Basing on the shock wave theory, the Hugoniot relations for sand walls made from three different materials are established. The bulk elastic moduli of iron-, bauxite- and quartz-sand walls are 0.913, 0.478, and 0.225 GPa, respectively. The constant λ in the Hugoniot relations is on the order of 100. It is concluded that the relatively low shock impacting majorly leads to the volume deformation of the sand wall, and the heat effect of the sand wall caused by shock loading may be unimportant.
2019, 39(7): 072202.
doi: 10.11883/bzycj-2018-0132
Abstract:
In this work we carried out vented explosion experiments with different pressure relief membrane material and layers and different venting locations in the square flame propagation test pipeline and investigated the influence of pressure relief membrane constraints on explosion pressure’s characteristics of premixed methane/air gas using the pressure sensor to measure the peak overpressure under various experimental conditions in the pipeline and comparing their venting effects. The results showed that there is a linear relationship between the maximum explosion pressure and the number of relief membrane layers made of the same material. The maximum explosion pressure in the pipeline increased by 11.2% and 12.3% respectively for each additional pressure relief membrane layer of kraft paper and polypropylene film. As the venting location approached the ignition end, the maximum explosion pressure in the pipeline showed a " Z” pattern with different pressure relief membrane strengths. When the venting location was set at 0.25 m from the trailing end, the minimum value was observed for each curve. When the venting location was set at 0.50 m from the trailing end, each curve reached its maximum value.
In this work we carried out vented explosion experiments with different pressure relief membrane material and layers and different venting locations in the square flame propagation test pipeline and investigated the influence of pressure relief membrane constraints on explosion pressure’s characteristics of premixed methane/air gas using the pressure sensor to measure the peak overpressure under various experimental conditions in the pipeline and comparing their venting effects. The results showed that there is a linear relationship between the maximum explosion pressure and the number of relief membrane layers made of the same material. The maximum explosion pressure in the pipeline increased by 11.2% and 12.3% respectively for each additional pressure relief membrane layer of kraft paper and polypropylene film. As the venting location approached the ignition end, the maximum explosion pressure in the pipeline showed a " Z” pattern with different pressure relief membrane strengths. When the venting location was set at 0.25 m from the trailing end, the minimum value was observed for each curve. When the venting location was set at 0.50 m from the trailing end, each curve reached its maximum value.
2019, 39(7): 072301.
doi: 10.11883/bzycj-2018-0398
Abstract:
The mechanical behavior of PBX has an important impact on its safety. In order to study the mechanical properties of PBX-1, the quasi-static mechanical experiments and SHPB (split-Hopkinson pressure bar) experiments were conducted. The results showed that the crack direction was the direction of maximum shear stress, which was about 45° to the loading direction in the quasi static compression tests. In the SHPB tests, the dynamic yield strength, dynamic compression strength and failure strain of PBX-1 explosive were continuously improved with the improvement of strain rate in the range of 100−1 500 s−1.The dynamic yield strength gradually increased from the static 2.77 MPa to 16.1 MPa. The compression strength increased from 7.46 MPa to 16.1 MPa, and the failure strain increased from 6.23% to 26.4%. At the same time, based on the Z-W-T model, a dynamic viscoelastic constitutive model with damage was established. It has a high accuracy in the range of 330−1 500 s−1 strain rate, and could be used to describe the dynamic mechanical behavior of PBX-1 before failure.
The mechanical behavior of PBX has an important impact on its safety. In order to study the mechanical properties of PBX-1, the quasi-static mechanical experiments and SHPB (split-Hopkinson pressure bar) experiments were conducted. The results showed that the crack direction was the direction of maximum shear stress, which was about 45° to the loading direction in the quasi static compression tests. In the SHPB tests, the dynamic yield strength, dynamic compression strength and failure strain of PBX-1 explosive were continuously improved with the improvement of strain rate in the range of 100−1 500 s−1.The dynamic yield strength gradually increased from the static 2.77 MPa to 16.1 MPa. The compression strength increased from 7.46 MPa to 16.1 MPa, and the failure strain increased from 6.23% to 26.4%. At the same time, based on the Z-W-T model, a dynamic viscoelastic constitutive model with damage was established. It has a high accuracy in the range of 330−1 500 s−1 strain rate, and could be used to describe the dynamic mechanical behavior of PBX-1 before failure.
2019, 39(7): 072302.
doi: 10.11883/bzycj-2018-0226
Abstract:
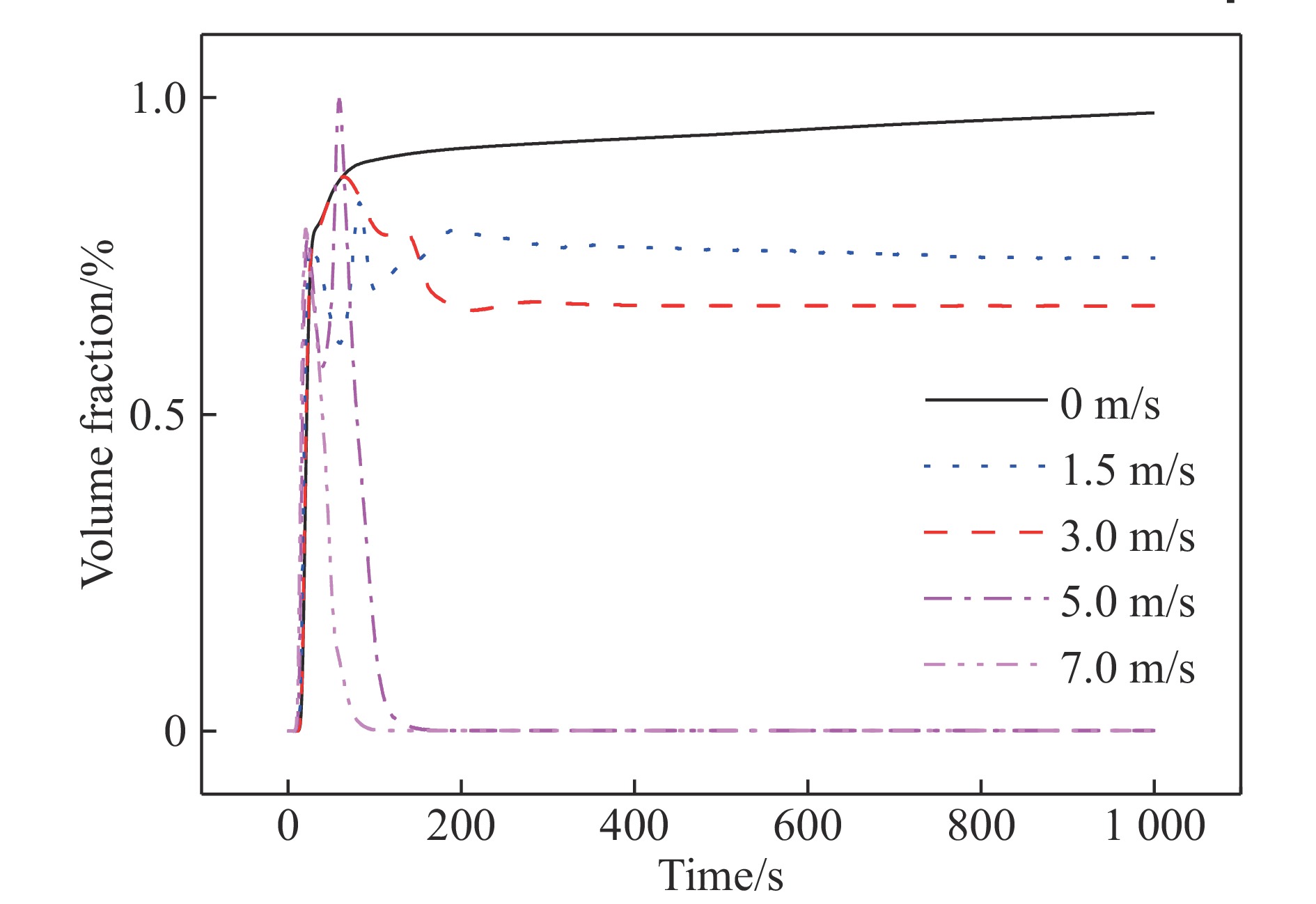
To investigate the influence of the porosity (charge density) on the shock initiation and detonation of polymer bonded explosives (PBXes), a one-dimensional Lagrangian experimental testing system is adopted to measure the pressure-time histories at different Lagrangian locations of PBXC03 (87% HMX, 7% TATB, 6% binder by weight) with three different porosities (or charge densities), in which, an explosive plane-wave lens is used to generate a high-pressure planar detonation wave loading, and the Manganin piezoresistive pressure gauge measurement technique and the attenuation technique by both air-gap and Al-gap are used. The experimental results show that the detonation grows the fastest in the explosive with a moderate porosity. This work provides more detailed experimental data for the further development of mesoscopic reaction rate models for shock initiation of heterogeneous explosives.
To investigate the influence of the porosity (charge density) on the shock initiation and detonation of polymer bonded explosives (PBXes), a one-dimensional Lagrangian experimental testing system is adopted to measure the pressure-time histories at different Lagrangian locations of PBXC03 (87% HMX, 7% TATB, 6% binder by weight) with three different porosities (or charge densities), in which, an explosive plane-wave lens is used to generate a high-pressure planar detonation wave loading, and the Manganin piezoresistive pressure gauge measurement technique and the attenuation technique by both air-gap and Al-gap are used. The experimental results show that the detonation grows the fastest in the explosive with a moderate porosity. This work provides more detailed experimental data for the further development of mesoscopic reaction rate models for shock initiation of heterogeneous explosives.
2019, 39(7): 073101.
doi: 10.11883/bzycj-2019-0015
Abstract:
Samples for uniaxial tension and spallation experiments of GP1 stainless steel were produced by selective laser melting (SLM). The microstructure of SLM GP1 was characterized by using the optical metallography and electron-backscatter diffraction (EBSD). The tensile mechanical behavior of SLM GP1 as a function of strain rate was studied by using a Zwick-HTM5020 high-speed tensile testing machine and the digital image correlation (DIC) full-field strain measurement method. Significant austenite-to-martensite phase transformation was observed during tensile loading with accompanied plastic strain hardening. Yield stress increases exponentially with strain rate, but at high strain rates (40 and 600 s−1), the yield stress rapidly increases, while the fracture strain decreases significantly. The spallation response of SLM GP1 was investigated by using plate impact experiments. Based on the free-surface particle velocity profiles measured by a displacement interferometer system for any reflector (DISAR), the spall strength of SLM GP1 was found to decrease with increasing flyer impact velocity. Fractography revealed the variation of the fracture mode and fracture mechanism of SLM GP1 as a function of strain rate. Damage nucleates easily at the intersection of the laser melting pool boundary line and grows along the laser pool boundary line. Fracture dimple morphology of the spalled samples is obviously different from that of the samples under the uniaxial tensile loading.
Samples for uniaxial tension and spallation experiments of GP1 stainless steel were produced by selective laser melting (SLM). The microstructure of SLM GP1 was characterized by using the optical metallography and electron-backscatter diffraction (EBSD). The tensile mechanical behavior of SLM GP1 as a function of strain rate was studied by using a Zwick-HTM5020 high-speed tensile testing machine and the digital image correlation (DIC) full-field strain measurement method. Significant austenite-to-martensite phase transformation was observed during tensile loading with accompanied plastic strain hardening. Yield stress increases exponentially with strain rate, but at high strain rates (40 and 600 s−1), the yield stress rapidly increases, while the fracture strain decreases significantly. The spallation response of SLM GP1 was investigated by using plate impact experiments. Based on the free-surface particle velocity profiles measured by a displacement interferometer system for any reflector (DISAR), the spall strength of SLM GP1 was found to decrease with increasing flyer impact velocity. Fractography revealed the variation of the fracture mode and fracture mechanism of SLM GP1 as a function of strain rate. Damage nucleates easily at the intersection of the laser melting pool boundary line and grows along the laser pool boundary line. Fracture dimple morphology of the spalled samples is obviously different from that of the samples under the uniaxial tensile loading.
2019, 39(7): 073102.
doi: 10.11883/bzycj-2018-0068
Abstract:
The extreme local interaction between the projectile and target will cause mass erosion of the projectile during high-speed penetrating, and then decreases penetration performance of the penetrator. Aggregates in the concrete target will affect mass loss of the projectile obviously. Analysis about the experimental data is conducted to further discuss the effect of concrete aggregate on mass loss of the residual projectile after high speed penetration into concrete target. By assuming the concrete as a two-phase composite composed of mortar and aggregate and introducing the volume fraction and shear strength of aggregate instead of the aggregate Moh’s hardness, a modified engineering model is presented to predict the mass loss of projectile by giving a dimensionless modified factor β affected by aggregate. The modified model is in good agreement with available experimental data and can better characterize the effect of aggregate on the mass abrasion of penetrator into concrete target.
The extreme local interaction between the projectile and target will cause mass erosion of the projectile during high-speed penetrating, and then decreases penetration performance of the penetrator. Aggregates in the concrete target will affect mass loss of the projectile obviously. Analysis about the experimental data is conducted to further discuss the effect of concrete aggregate on mass loss of the residual projectile after high speed penetration into concrete target. By assuming the concrete as a two-phase composite composed of mortar and aggregate and introducing the volume fraction and shear strength of aggregate instead of the aggregate Moh’s hardness, a modified engineering model is presented to predict the mass loss of projectile by giving a dimensionless modified factor β affected by aggregate. The modified model is in good agreement with available experimental data and can better characterize the effect of aggregate on the mass abrasion of penetrator into concrete target.
2019, 39(7): 073103.
doi: 10.11883/bzycj-2018-0141
Abstract:
Ice breaking by blasting is a complex process in underwater explosion engineering. In this study we examined the fragmentation characteristics of ice cover with underwater explosion shock wave and simulated the process of underwater explosion breaking ice process using LS-DYNA. We also compared the simulation result with the experimental data and found the min good agreement. Based on this we verified the simulation model and calculated different conditions. Then, keeping the test environment unchanged, we set different detonation distances, and calculated the radius of the ice breaking hole; varying the charge dosage, the detonation distance and the ice thickness, we designed nine group simulation conditions by the orthogonal design method, and analyzed the gray relational degrees and gray incidence coefficients between radius of breaking ice hole and different factors at different levels using the gray system theory. The analytical results showed that, at 100 g of the dosage, the ice thickness is 29 cm, the water depth is 2.9 m, the detonation distance range is 0.3−1.5 m, the radius range of breaking ice hole is 0−1.1 m, and the best detonation distance is between 0.3−0.45 m. According to the analysis of the above nine simulation conditions, the influencing factors that matter most remarkably in underwater ice breaking are the detonation distance (0.3, 0.6, 0.9 m), the dosage (100, 200, 300 g), and the ice thickness (24, 28, 32 cm), in order of their importance.
Ice breaking by blasting is a complex process in underwater explosion engineering. In this study we examined the fragmentation characteristics of ice cover with underwater explosion shock wave and simulated the process of underwater explosion breaking ice process using LS-DYNA. We also compared the simulation result with the experimental data and found the min good agreement. Based on this we verified the simulation model and calculated different conditions. Then, keeping the test environment unchanged, we set different detonation distances, and calculated the radius of the ice breaking hole; varying the charge dosage, the detonation distance and the ice thickness, we designed nine group simulation conditions by the orthogonal design method, and analyzed the gray relational degrees and gray incidence coefficients between radius of breaking ice hole and different factors at different levels using the gray system theory. The analytical results showed that, at 100 g of the dosage, the ice thickness is 29 cm, the water depth is 2.9 m, the detonation distance range is 0.3−1.5 m, the radius range of breaking ice hole is 0−1.1 m, and the best detonation distance is between 0.3−0.45 m. According to the analysis of the above nine simulation conditions, the influencing factors that matter most remarkably in underwater ice breaking are the detonation distance (0.3, 0.6, 0.9 m), the dosage (100, 200, 300 g), and the ice thickness (24, 28, 32 cm), in order of their importance.
2019, 39(7): 073301.
doi: 10.11883/bzycj-2018-0230
Abstract:
Model experiments of hypervelocity penetration of steel rods at about Mach 10 into four types of layered geological material targets were conducted with a two-stage light gas gun, and the effects of the mortar position and the air-layer set on penetration were emphasized. The results show that, under certain conditions, both adding an air layer between the shielding layer and the lower structure layer and setting a mortar layer at the upper surface of the whole structure can promote the projectiles broken, decrease the penetration depth into the structural layer, but in the mean time intensify the cratering effect of the shielding layer. For reducing the penetration depth of the structural layer, the soft-hard-soft-hard layering set is feasible to optimize the anti-penetration performance against hypervelocity projectiles, in which the first soft layer is the surface layer made of porous materials with low sound impedance, the first hard layer is the shielding layer made of materials with high strength and hardness, and the second soft layer is the distribution layer and the second hard layer is the structural layer.
Model experiments of hypervelocity penetration of steel rods at about Mach 10 into four types of layered geological material targets were conducted with a two-stage light gas gun, and the effects of the mortar position and the air-layer set on penetration were emphasized. The results show that, under certain conditions, both adding an air layer between the shielding layer and the lower structure layer and setting a mortar layer at the upper surface of the whole structure can promote the projectiles broken, decrease the penetration depth into the structural layer, but in the mean time intensify the cratering effect of the shielding layer. For reducing the penetration depth of the structural layer, the soft-hard-soft-hard layering set is feasible to optimize the anti-penetration performance against hypervelocity projectiles, in which the first soft layer is the surface layer made of porous materials with low sound impedance, the first hard layer is the shielding layer made of materials with high strength and hardness, and the second soft layer is the distribution layer and the second hard layer is the structural layer.
2019, 39(7): 074101.
doi: 10.11883/bzycj-2018-0160
Abstract:
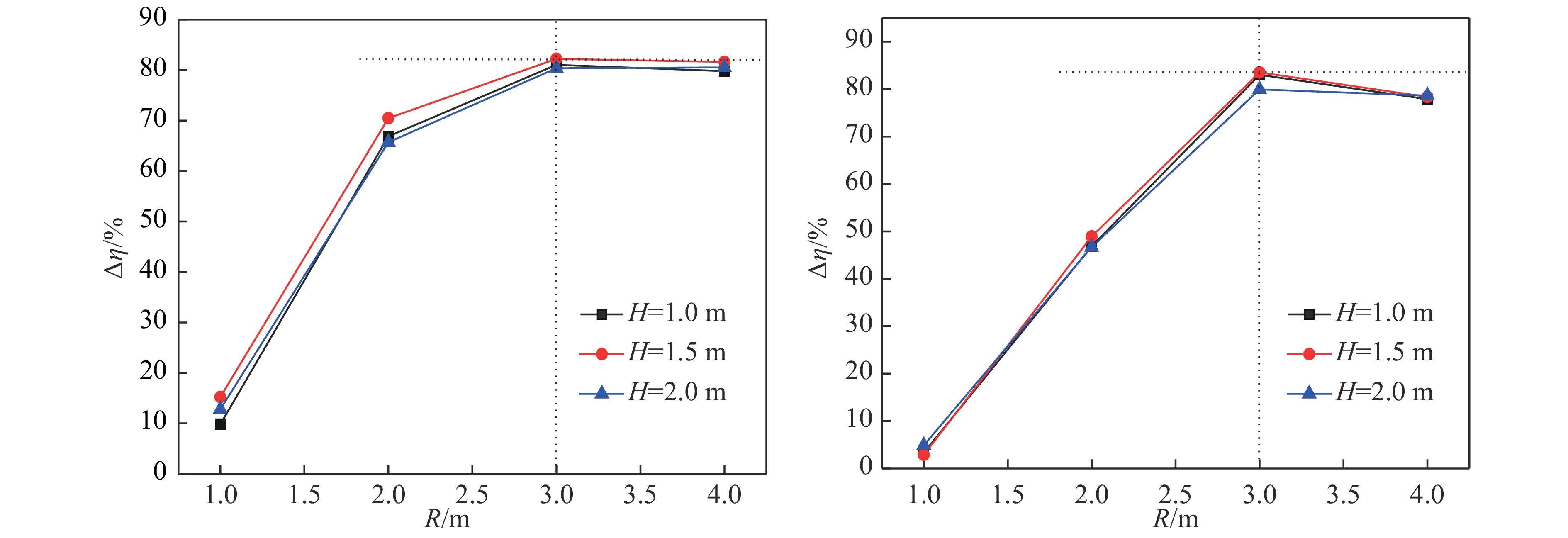
Based on the similarity theory, the heavy ball landing experiments were conducted to simulate the collapse of the goaf in order to provide guidance for the goaf disposal. The particle peak vibration velocities corresponding to the balls with the mass 4 kg and 10 kg dropping from 1.0, 1.5 and 2.0 m respectively were measured experimentally on the basis of characteristics analysis of vibration wave. For the first time, the concepts of cumulative attenuation rate of vibration velocity and relative energy ratio were proposed. The collapse vibration velocity of the goaf was analyzed with the help of the Protodyakonov’s arch theory. The study shows that the mass and dropping height of the heavy ball are positively related to the vibration velocity, and the former has greater influence on the cumulative attenuation rate than that of the latter. With the increase of measuring distance, the overall vibration velocity shows an attenuation trend. The accumulative decay rates for 4 kg and 10 kg heavy balls at 3.0 m are 79.79%−81.61% and 79.95%−83.52%, respectively. Reflections and refractions at the interface of different media can cause a small " jump increase” in vibration velocity. The mass has a significant effect on vibration energy attenuation: the greater the mass, the slower the energy attenuation in the near area. The goaf collapsed mass is 582.5 t to 5 926.5 t and it causes the particle vibration velocity to be much larger than that of the safety allowable value. With the comprehensive treatment plan of " roof caving+slope slope cutting”, the slope safety factor can reach 1.26, completely eliminating the hidden dangers in the goaf area.
Based on the similarity theory, the heavy ball landing experiments were conducted to simulate the collapse of the goaf in order to provide guidance for the goaf disposal. The particle peak vibration velocities corresponding to the balls with the mass 4 kg and 10 kg dropping from 1.0, 1.5 and 2.0 m respectively were measured experimentally on the basis of characteristics analysis of vibration wave. For the first time, the concepts of cumulative attenuation rate of vibration velocity and relative energy ratio were proposed. The collapse vibration velocity of the goaf was analyzed with the help of the Protodyakonov’s arch theory. The study shows that the mass and dropping height of the heavy ball are positively related to the vibration velocity, and the former has greater influence on the cumulative attenuation rate than that of the latter. With the increase of measuring distance, the overall vibration velocity shows an attenuation trend. The accumulative decay rates for 4 kg and 10 kg heavy balls at 3.0 m are 79.79%−81.61% and 79.95%−83.52%, respectively. Reflections and refractions at the interface of different media can cause a small " jump increase” in vibration velocity. The mass has a significant effect on vibration energy attenuation: the greater the mass, the slower the energy attenuation in the near area. The goaf collapsed mass is 582.5 t to 5 926.5 t and it causes the particle vibration velocity to be much larger than that of the safety allowable value. With the comprehensive treatment plan of " roof caving+slope slope cutting”, the slope safety factor can reach 1.26, completely eliminating the hidden dangers in the goaf area.
2019, 39(7): 074201.
doi: 10.11883/bzycj-2018-0143
Abstract:
In order to simplify the evaluation of the anti-collision performance after structural fatigue damage, an equivalent stress-strain curve method based on strain equivalence was proposed in the same way as the isochronous stress-strain curve in structural creep analysis. And compared with the general analysis, the results of comparative analysis show that the maximum damage reaction force from the equivalence analysis method is almost the same as that from the general analysis method, and the relative error of the structural failure energy simulated by the two methods is relatively small. It validates the effectiveness of the equivalence analysis method. And the equivalence analysis method is more friendly to model and evaluate rapidly the anti-collision performance over the entire life of a ship.
In order to simplify the evaluation of the anti-collision performance after structural fatigue damage, an equivalent stress-strain curve method based on strain equivalence was proposed in the same way as the isochronous stress-strain curve in structural creep analysis. And compared with the general analysis, the results of comparative analysis show that the maximum damage reaction force from the equivalence analysis method is almost the same as that from the general analysis method, and the relative error of the structural failure energy simulated by the two methods is relatively small. It validates the effectiveness of the equivalence analysis method. And the equivalence analysis method is more friendly to model and evaluate rapidly the anti-collision performance over the entire life of a ship.
2019, 39(7): 074102.
doi: 10.11883/bzycj-2018-0104
Abstract:
There is a lack in technology that is suitable for characterizing the shock-induced micro-jetting of metal sample with complex configuration. In this work, step signal electric probe is developed to characterize micro-jetting. The probe is designed by numerical simulation and the discharging mechanism (K+RX model) of probe caused by micro-jetting is also verified by simulation. Quasi-continuous micro-jetting region can be directly observed on the probed signal and two kinds of dynamic processes exist: density increasing and pulling-extending to discrete state. The mass in quasi-continuous micro-jetting region is described by micro-jetting model, the equivalent size of micro-jetting is calculated based on the equivalent resistance that is obtained from the voltage signal. Thus the density of the quasi-continuous micro-jetting is obtained.
There is a lack in technology that is suitable for characterizing the shock-induced micro-jetting of metal sample with complex configuration. In this work, step signal electric probe is developed to characterize micro-jetting. The probe is designed by numerical simulation and the discharging mechanism (K+RX model) of probe caused by micro-jetting is also verified by simulation. Quasi-continuous micro-jetting region can be directly observed on the probed signal and two kinds of dynamic processes exist: density increasing and pulling-extending to discrete state. The mass in quasi-continuous micro-jetting region is described by micro-jetting model, the equivalent size of micro-jetting is calculated based on the equivalent resistance that is obtained from the voltage signal. Thus the density of the quasi-continuous micro-jetting is obtained.
2019, 39(7): 074202.
doi: 10.11883/bzycj-2018-0187
Abstract:
The function of an explosively-formed projectile (EFP) is not only penetrating the armor but also destroying the equipment behind the armor by behind-armor debris (BAD). It is necessary to predict the mass of BAD since the mass distribution of BAD is an important measurement to evaluate the level of destruction caused by BAD. A mass model for BAD generated by normal penetration of an EFP into an armor steel plate was improved by considering the variable cross-section characteristic of the EFP, basing on Bernoulli's equation of the flowing fluid and adiabatic shear theory. The accuracy of the model was validated by the experimental data and numerical simulation results. Therefore, the influences of the thickness of the target and the impact velocity of the EFP on the mass of BAD generated by the target and EFP were investigated. The results indicate: (1) compared with the previous model, the improved model can more accurately explain the mass variation of BAD generated by the target and EFP with the thickness of the target and the impact velocity of the EFP; (2) as the impact velocity of the EFP is 1 650 m/s, with the thickness of the target increasing from 30 mm to 70 mm, the effect of the variable cross-section characteristics on the mass of BAD generated by the target and EFP is constantly increasing; (3) as the thickness of the target is 40 mm, with the increase of the initial velocity of the EFP from 1 650 m/s to 1 860 m/s, the effect of the variable cross-section characteristics on the mass of BAD generated by the target and EFP is constantly decreasing.
The function of an explosively-formed projectile (EFP) is not only penetrating the armor but also destroying the equipment behind the armor by behind-armor debris (BAD). It is necessary to predict the mass of BAD since the mass distribution of BAD is an important measurement to evaluate the level of destruction caused by BAD. A mass model for BAD generated by normal penetration of an EFP into an armor steel plate was improved by considering the variable cross-section characteristic of the EFP, basing on Bernoulli's equation of the flowing fluid and adiabatic shear theory. The accuracy of the model was validated by the experimental data and numerical simulation results. Therefore, the influences of the thickness of the target and the impact velocity of the EFP on the mass of BAD generated by the target and EFP were investigated. The results indicate: (1) compared with the previous model, the improved model can more accurately explain the mass variation of BAD generated by the target and EFP with the thickness of the target and the impact velocity of the EFP; (2) as the impact velocity of the EFP is 1 650 m/s, with the thickness of the target increasing from 30 mm to 70 mm, the effect of the variable cross-section characteristics on the mass of BAD generated by the target and EFP is constantly increasing; (3) as the thickness of the target is 40 mm, with the increase of the initial velocity of the EFP from 1 650 m/s to 1 860 m/s, the effect of the variable cross-section characteristics on the mass of BAD generated by the target and EFP is constantly decreasing.
2019, 39(7): 075101.
doi: 10.11883/bzycj-2018-0146
Abstract:
The shear pin is a key component of an explosive-actuated device. It must be cut by explosive force and guarantee regular work under mechanical environment in reliability analysis. The mechanical model of the shear pin constrained by the mechanical boundary is built based on the polynomial chaos expansion (PCE) method. Then, the sequential optimization and reliability assessment (SORA) method is adopted to promote a reliability-based design optimization (RBDO) for the shear pin. An explosive-actuated device is selected as an application example of reliability analysis and design, which is based on the idea proposed in this paper. Through the parametric sensitivity analysis of the shear pin, the relationship between designing parameters and mechanical environments is revealed and the effective factors on its reliability are obtained. At last, the explosive-actuated device is manufactured with optimal parameters and works normally under mechanical environment. It is proved that the promoted idea is accurate and useful for the reliability design and optimization of the shear pin under mechanical environments.
The shear pin is a key component of an explosive-actuated device. It must be cut by explosive force and guarantee regular work under mechanical environment in reliability analysis. The mechanical model of the shear pin constrained by the mechanical boundary is built based on the polynomial chaos expansion (PCE) method. Then, the sequential optimization and reliability assessment (SORA) method is adopted to promote a reliability-based design optimization (RBDO) for the shear pin. An explosive-actuated device is selected as an application example of reliability analysis and design, which is based on the idea proposed in this paper. Through the parametric sensitivity analysis of the shear pin, the relationship between designing parameters and mechanical environments is revealed and the effective factors on its reliability are obtained. At last, the explosive-actuated device is manufactured with optimal parameters and works normally under mechanical environment. It is proved that the promoted idea is accurate and useful for the reliability design and optimization of the shear pin under mechanical environments.
2019, 39(7): 075102.
doi: 10.11883/bzycj-2018-0064
Abstract:
Aiming at the high-g launching overload of the guided ammunition, the semi-strapdown stabilization platform in the shell is easily damaged when only the bearing bears axial high overload, the " counter-top hemisphere” structure was designed. Based on the analysis of the working principle and anti-overload design requirements of the semi-strapdown stabilization platform, this study analyzed the forces situation of " counter-top hemisphere” structure, the materials used were selected, and the finite element simulation analysis was performed. Finally, the structure was manufactured, and it was verified by semi-physical test. It was shown that when the semi-strapdown stabilization platform is subjected to high overload, the structure can play an effective protective role, when projectile and the internal semi-strapdown stabilization platform is under high overload condition, and provides the foundation forattitude measurement of theprojectile. The anti-high-overload buffer structure supports a stable and reliable working environment for the inertial measurement system, which has engineering application value. The inertial measurement system can still work stably and reliably when overload reaches 11 000g. The design has engineering application value.
Aiming at the high-g launching overload of the guided ammunition, the semi-strapdown stabilization platform in the shell is easily damaged when only the bearing bears axial high overload, the " counter-top hemisphere” structure was designed. Based on the analysis of the working principle and anti-overload design requirements of the semi-strapdown stabilization platform, this study analyzed the forces situation of " counter-top hemisphere” structure, the materials used were selected, and the finite element simulation analysis was performed. Finally, the structure was manufactured, and it was verified by semi-physical test. It was shown that when the semi-strapdown stabilization platform is subjected to high overload, the structure can play an effective protective role, when projectile and the internal semi-strapdown stabilization platform is under high overload condition, and provides the foundation forattitude measurement of theprojectile. The anti-high-overload buffer structure supports a stable and reliable working environment for the inertial measurement system, which has engineering application value. The inertial measurement system can still work stably and reliably when overload reaches 11 000g. The design has engineering application value.
2019, 39(7): 075103.
doi: 10.11883/bzycj-2018-0119
Abstract:
By comparing with their solid reinforced concrete columns counterparts, the inner hollow reinforced concrete columns are widely used as piers because of their advantages including light weight and good section extension. These piers will inevitably be hit by ships. In this paper, dynamic response experiments of six inner octagonal hollow reinforced concrete columns with and without steel tube are carried out. The failure mode, the impact force- versus-time curves and trans-middle displacement-versus-time curves were recorded. The impact resistance of the component is obtained by analysis of the impact height, the condition of the boundary and the thickness of the steel tube The experimental results show that failure modes of inner octagonal hollow reinforced concrete columns under lateral impact load can be divided into two categories: local failure (type I) and global failure (type II). As the height of impact increases, the damage seriousness of the component increases. Fixing two endings of the component can improve its impact resistance. The thickness of the steel tube has an obvious effect on the impact resistance of the component.
By comparing with their solid reinforced concrete columns counterparts, the inner hollow reinforced concrete columns are widely used as piers because of their advantages including light weight and good section extension. These piers will inevitably be hit by ships. In this paper, dynamic response experiments of six inner octagonal hollow reinforced concrete columns with and without steel tube are carried out. The failure mode, the impact force- versus-time curves and trans-middle displacement-versus-time curves were recorded. The impact resistance of the component is obtained by analysis of the impact height, the condition of the boundary and the thickness of the steel tube The experimental results show that failure modes of inner octagonal hollow reinforced concrete columns under lateral impact load can be divided into two categories: local failure (type I) and global failure (type II). As the height of impact increases, the damage seriousness of the component increases. Fixing two endings of the component can improve its impact resistance. The thickness of the steel tube has an obvious effect on the impact resistance of the component.
2019, 39(7): 075201.
doi: 10.11883/bzycj-2018-0122
Abstract:
The distribution of cracks around the rock hole after perforation has a great influence on the subsequent fracturing. A cross-section of the target is selected as the researching object. The process of three-dimensional penetration is simplified into a two-dimensional reaming process. In terms of the mesoscopic heterogeneity of the rock, the strength parameters of meso-units are set to obey the Weibull probability distribution. The tensile failure criteria and the Mohr-Coulomb compression shear failure criteria are applied, and modulus reduction method is applied to deal with cracking. Then FEPG software is used to achieve a finite element method (FEM) simulation. The simulation results show that according to the causes and distribution of cracks, the perforated rock can be divided into four regions from the inside to the outside: compression shear damage zone, tensile damage concentration zone, tensile damage propagation zone and undamaged zone. The variations of crack distribution under different loading and confining pressure conditions are analyzed. Compared with the results of laboratory simulation experiments, the validity of the model is preliminarily verified. The research results lay the foundation for subsequent research work.
The distribution of cracks around the rock hole after perforation has a great influence on the subsequent fracturing. A cross-section of the target is selected as the researching object. The process of three-dimensional penetration is simplified into a two-dimensional reaming process. In terms of the mesoscopic heterogeneity of the rock, the strength parameters of meso-units are set to obey the Weibull probability distribution. The tensile failure criteria and the Mohr-Coulomb compression shear failure criteria are applied, and modulus reduction method is applied to deal with cracking. Then FEPG software is used to achieve a finite element method (FEM) simulation. The simulation results show that according to the causes and distribution of cracks, the perforated rock can be divided into four regions from the inside to the outside: compression shear damage zone, tensile damage concentration zone, tensile damage propagation zone and undamaged zone. The variations of crack distribution under different loading and confining pressure conditions are analyzed. Compared with the results of laboratory simulation experiments, the validity of the model is preliminarily verified. The research results lay the foundation for subsequent research work.


Read OL
PDF
Cited by