2024 Vol. 44, No. 1
Display Method:
2024, 44(1): 011001.
doi: 10.11883/bzycj-2023-0414
Abstract:
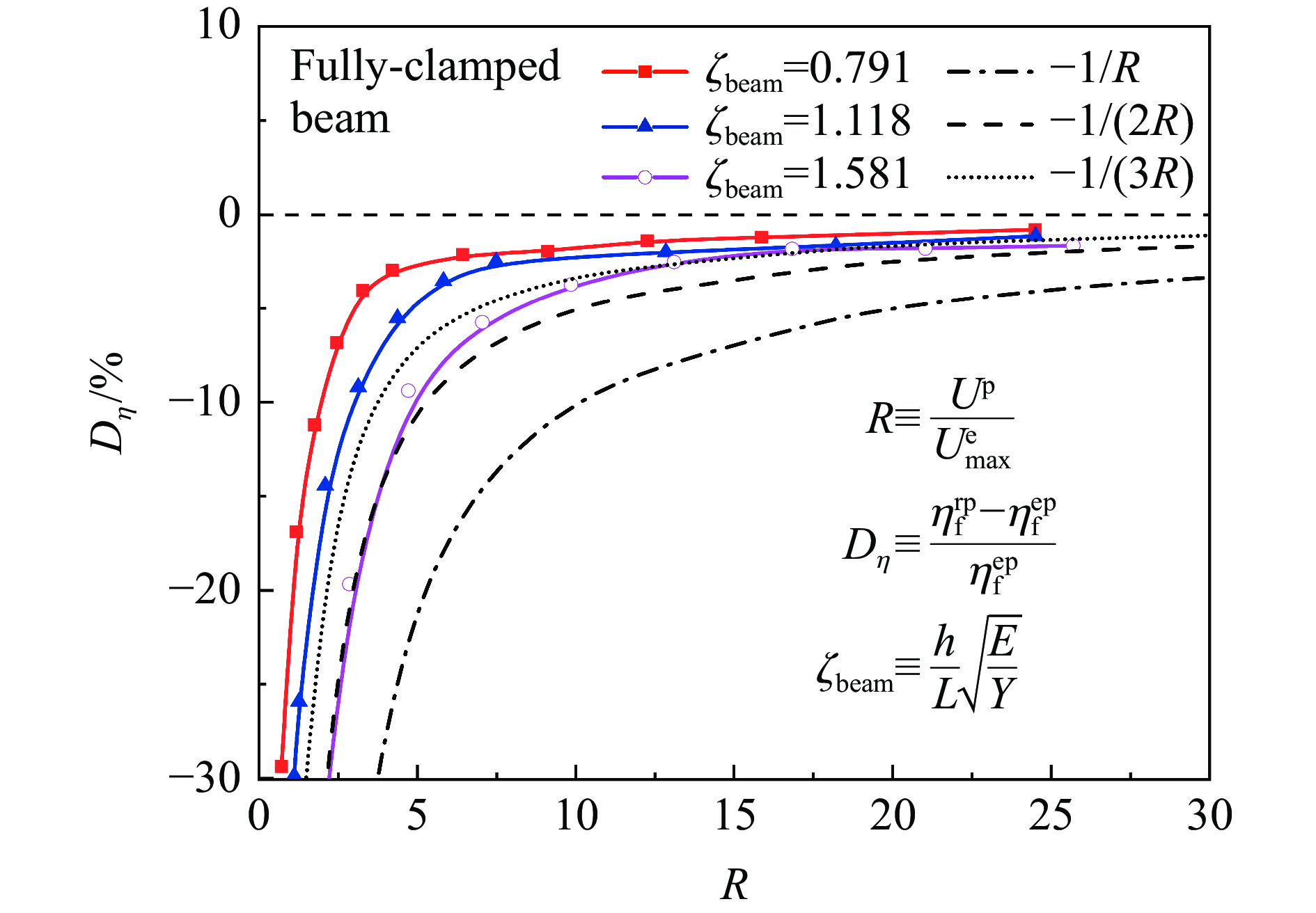
In recent years, by combining membrane factor method (MFM) and saturation analysis (SA) as a powerful theoretical tool, scholars in China have made comprehensive studies on the large dynamic plastic deformation of beams, plates and other structures under pulse loading, leading to the best rigid-plastic predictions for the final deflection of the pulse-loaded structures, which are superior to the previously proposed various approximate rigid-plastic solutions. However, due to the complexity of the dynamic elastic-plastic response of structures used in engineering and the limitations of numerical simulations, it is critical to clarify how large is the error generated from the rigid-plastic solutions in predicting the final deflection of pulse-loaded structures compared to the result that takes the elastic effect of material into consideration. Our preliminary study on this issue, which has been published in leading international journals, reveals the effect of material’s elasticity on the large dynamic plastic deformation of structures under pulse loading, and quantitatively evaluates the discrepancies between the final deflection predicted by the best theoretical rigid-plastic solutions and that extracted from elastic-plastic numerical simulations. On this basis, the present paper proposes a strategy to compensate for elastic effect; that is, (1) adding a compensation term to the final deflection predicted by the existing best rigid-plastic solution; (2) expressing the compensation term as an elemental function of variables separation to respectively represent the effects of the pulse intensity and the structural stiffness; and (3) adopting minimum number of undetermined coefficients (or power) in the fitting function to achieve concise formulae. Meanwhile, the variation ranges of structural stiffness and dimensionless load parameter are investigated with reference to metallic structures used in their main application fields. Finally, by implementing the fitting and compensation for the cases of fully-clamped beams and square plates, simple and engineer-friendly formulae for predicting the final deflection of beams and plates are eventually obtained. With the compensation terms being added, the rigid-plastic-solution-based predictions on the final deflection of beams and plates possess a relative error within the range of 3%, which are appropriate and suitable for applications in the engineering design stage. A table at the end of the paper summarizes the major notations and formulae, as well as the comparison between the results on beams and square plates.
In recent years, by combining membrane factor method (MFM) and saturation analysis (SA) as a powerful theoretical tool, scholars in China have made comprehensive studies on the large dynamic plastic deformation of beams, plates and other structures under pulse loading, leading to the best rigid-plastic predictions for the final deflection of the pulse-loaded structures, which are superior to the previously proposed various approximate rigid-plastic solutions. However, due to the complexity of the dynamic elastic-plastic response of structures used in engineering and the limitations of numerical simulations, it is critical to clarify how large is the error generated from the rigid-plastic solutions in predicting the final deflection of pulse-loaded structures compared to the result that takes the elastic effect of material into consideration. Our preliminary study on this issue, which has been published in leading international journals, reveals the effect of material’s elasticity on the large dynamic plastic deformation of structures under pulse loading, and quantitatively evaluates the discrepancies between the final deflection predicted by the best theoretical rigid-plastic solutions and that extracted from elastic-plastic numerical simulations. On this basis, the present paper proposes a strategy to compensate for elastic effect; that is, (1) adding a compensation term to the final deflection predicted by the existing best rigid-plastic solution; (2) expressing the compensation term as an elemental function of variables separation to respectively represent the effects of the pulse intensity and the structural stiffness; and (3) adopting minimum number of undetermined coefficients (or power) in the fitting function to achieve concise formulae. Meanwhile, the variation ranges of structural stiffness and dimensionless load parameter are investigated with reference to metallic structures used in their main application fields. Finally, by implementing the fitting and compensation for the cases of fully-clamped beams and square plates, simple and engineer-friendly formulae for predicting the final deflection of beams and plates are eventually obtained. With the compensation terms being added, the rigid-plastic-solution-based predictions on the final deflection of beams and plates possess a relative error within the range of 3%, which are appropriate and suitable for applications in the engineering design stage. A table at the end of the paper summarizes the major notations and formulae, as well as the comparison between the results on beams and square plates.
2024, 44(1): 012101.
doi: 10.11883/bzycj-2023-0052
Abstract:
Steel-concrete composite wall (SC wall) has been widely employed as the main structural components in nuclear power plants and high-rise buildings. Its performance under accidental loads is a key index for its utilization. In this paper, the mechanical behaviors of SC walls under coupled fire and impact loads are investigated and corresponding design recommendations are given. Firstly, a finite element (FE) model of SC walls under combined fire and impact loads is developed. After validating the FE model, the response mechanism of SC walls under combined fire and impact loads is analyzed. Afterwards, effects of axial force, fire duration, material strength, impact energy and type of shear connectors on the impact resistance performance of components under fire condition are studied. Finally, simplified formula for predicting the maximum mid-span deflection under coupled fire and impact loadings is proposed. In view of the failure pattern, the outer steel plate on the surface exposed to fire presents wavy buckling. With the increase of fire duration, the deformation mode of SC walls changes from local punching deformation to overall flexural deformation. Under combined fire and impact loads, concrete is observed to be the main energy consumption component within the SC walls. The peak membrane force and the maximum mid-span deflection are employed to analyze the impact resistance of the SC walls. Test results show that the fire duration has a significant effect on the impact resistance. The peak membrane force of the SC walls reduces by approximately 36% under 90 min fire duration, while the maximum mid-span deflection increases by 50%. The concrete strength, axial force and type of shear connectors also obviously affect the impact resistance of the SC walls, while the influence of the yield strength of steel plate is moderate. The proposed formula can reasonably predict the maximum deflection of the SC walls under combined fire and impact loads.
Steel-concrete composite wall (SC wall) has been widely employed as the main structural components in nuclear power plants and high-rise buildings. Its performance under accidental loads is a key index for its utilization. In this paper, the mechanical behaviors of SC walls under coupled fire and impact loads are investigated and corresponding design recommendations are given. Firstly, a finite element (FE) model of SC walls under combined fire and impact loads is developed. After validating the FE model, the response mechanism of SC walls under combined fire and impact loads is analyzed. Afterwards, effects of axial force, fire duration, material strength, impact energy and type of shear connectors on the impact resistance performance of components under fire condition are studied. Finally, simplified formula for predicting the maximum mid-span deflection under coupled fire and impact loadings is proposed. In view of the failure pattern, the outer steel plate on the surface exposed to fire presents wavy buckling. With the increase of fire duration, the deformation mode of SC walls changes from local punching deformation to overall flexural deformation. Under combined fire and impact loads, concrete is observed to be the main energy consumption component within the SC walls. The peak membrane force and the maximum mid-span deflection are employed to analyze the impact resistance of the SC walls. Test results show that the fire duration has a significant effect on the impact resistance. The peak membrane force of the SC walls reduces by approximately 36% under 90 min fire duration, while the maximum mid-span deflection increases by 50%. The concrete strength, axial force and type of shear connectors also obviously affect the impact resistance of the SC walls, while the influence of the yield strength of steel plate is moderate. The proposed formula can reasonably predict the maximum deflection of the SC walls under combined fire and impact loads.
2024, 44(1): 012102.
doi: 10.11883/bzycj-2023-0036
Abstract:
In order to investigate the effect of the pore density of copper foam and hydrogen volume fractions (\begin{document}$\varphi $\end{document} ![]()
![]()
) on the in-air-explosive characteristics of premixed syngas, copper foams with pore densities of 15, 25 and 40 ppi were fixed in a closed pipe (100 mm× 100 mm× 1000 mm) 500 mm from the ignition end. Correspondingly, the premixed syngas-air flame propagates in duct without copper foam was compared. The configuration, tip velocity and overpressure, etc. of the flame were observed by igniting the premixed syngas with equivalence ratio of 1 to the air and a wide range of hydrogen volume fractions (from 10% to 90%). Detailed flame evolution process was visualized by a high-speed camera and the overpressure was recorded by pressure transducer. The results indicates that the copper foam has a significant impact on flame propagation and overpressure-time history. Before the flame reaching the copper foam, its configuration and tip velocity, as well as the overpressure, are only determined by the fuel component, but not the foam, during its formation process to a tulip shape. The pore density and \begin{document}$\varphi $\end{document} ![]()
![]()
affect not only the formation time of tulip flame, but also the appearance of distorted tulip flame. The copper foam could lead to the segmentation of flame front and transform the flame front from laminar to turbulence, resulting in the flame acceleration. This phenomenon becomes more evident with the decreasing of pore density. The presence of copper foam can increase the flame tip speed and overpressure significantly. For the case with a smaller pore density, both the maximum flame tip speed, growth of overpressure and maximum overpressure of premixed syngas-air increase with the \begin{document}$\varphi $\end{document} ![]()
![]()
.
In order to investigate the effect of the pore density of copper foam and hydrogen volume fractions (
2024, 44(1): 012301.
doi: 10.11883/bzycj-2023-0192
Abstract:
1 550 nm photon Doppler velocimetry and terahertz-wave Doppler interferometric velocimetry were used in the initiating and flyer driven experiments to gain data on the temperature effect for the TATB/RDX based explosive. Explosive/window interfacial velocity, run distance to detonation and the velocity of flyer driven by the explosive were measured respectively at different temperature. Experiment results at temperature –45, 20, and 70 ℃ reveal that the run distance to detonation, the reaction zone time width and the detonation phase velocity decrease with temperature. In particular, the run distance to detonation and the reaction zone time width both decrease almost linearly, while the linear coefficient is found to be 0.015 mm/℃ and 0.165 ns/℃, respectively. With the increase of temperature, the detonation phase velocity of TATB/RDX based explosive decreases nonlinearly, which differs from TATB based IHEs, for which it decreases linearly. Four stages obviously exist during the motion of the flyer, i.e., spallation, pursuit, remerging and the united flyer. Divergent or grazing detonation driving condition can be resolved based on the analysis for the spallation duration in big plate driven experiment. The peak velocity and the velocity during spallation for the flyer vary with temperature in the same trend. The velocity at ambient temperature is the highest, hot one is the next and then the cold one. This may be related to the different reaction zone performance at different temperature. When the flyer united as a whole again, the final velocity under cold environment turns to be the highest one, the hot result almost equals to the ambient one, which may be related to the different detonation product performance at different temperature. The metal accelerating behavior at different temperature indicates that the reaction zone and the detonation product for TATB/RDX based explosive vary with temperature with the different path, which need more experiment data and numerical simulation for further investigation.
1 550 nm photon Doppler velocimetry and terahertz-wave Doppler interferometric velocimetry were used in the initiating and flyer driven experiments to gain data on the temperature effect for the TATB/RDX based explosive. Explosive/window interfacial velocity, run distance to detonation and the velocity of flyer driven by the explosive were measured respectively at different temperature. Experiment results at temperature –45, 20, and 70 ℃ reveal that the run distance to detonation, the reaction zone time width and the detonation phase velocity decrease with temperature. In particular, the run distance to detonation and the reaction zone time width both decrease almost linearly, while the linear coefficient is found to be 0.015 mm/℃ and 0.165 ns/℃, respectively. With the increase of temperature, the detonation phase velocity of TATB/RDX based explosive decreases nonlinearly, which differs from TATB based IHEs, for which it decreases linearly. Four stages obviously exist during the motion of the flyer, i.e., spallation, pursuit, remerging and the united flyer. Divergent or grazing detonation driving condition can be resolved based on the analysis for the spallation duration in big plate driven experiment. The peak velocity and the velocity during spallation for the flyer vary with temperature in the same trend. The velocity at ambient temperature is the highest, hot one is the next and then the cold one. This may be related to the different reaction zone performance at different temperature. When the flyer united as a whole again, the final velocity under cold environment turns to be the highest one, the hot result almost equals to the ambient one, which may be related to the different detonation product performance at different temperature. The metal accelerating behavior at different temperature indicates that the reaction zone and the detonation product for TATB/RDX based explosive vary with temperature with the different path, which need more experiment data and numerical simulation for further investigation.
2024, 44(1): 013101.
doi: 10.11883/bzycj-2023-0119
Abstract:
In order to clearly characterize the mechanical behavior of Kevlar29 yarn at different strain rates, this paper reports quasi-static and dynamic tensile tests on Kevlar29 yarn. Combined with the split Hopkinson tensile bar (SHTB) theory and motion target tracking method, the stress-strain curves of Kevlar29 yarn at different strain rates are accurately obtained, and then the deformation and fracture process of yarn dynamic tension are analyzed, revealing the strain rate effect of Kevlar29 yarn mechanical properties. Based on the strain rate effect of yarn, a viscoelastic constitutive equation is obtained through the least squares fitting method, and the differences and applicability between the three-element and five-element constitutive models are analyzed. The results show that when the strain is calculated by identifying the coordinates of the marker points on the yarn by the motion target tracking method, it is more accurate than the strain calculated directly from the waveform measured by SHTB. The quasi-static mechanical properties and dynamic mechanical properties of Kevlar29 yarn differ significantly, e.g., the dynamic tensile modulus and tensile strength are higher than those of quasi-static, and the dynamic fracture strain is smaller than that of quasi-static. In the strain rate range of 0.001–700 s−1, with the increase of strain rate, the breaking strain of Kevlar29 yarn decreases, and the tensile strength, tensile modulus and toughness all increase first, but at higher strain rates, the tensile strength (higher than 497.5 s−1) and toughness (higher than 330.7 s−1) decrease, while the tensile modulus (higher than 330.7 s−1) tends to be stable. The viscoelastic constitutive equation can better characterize the strain rate effect of the mechanical properties of Kevlar29 yarn, but the viscoelastic constitutive model cannot reflect the nonlinear stress-strain relationship of the yarn before fracture. Relatively speaking, the fitting effect of the five-element viscoelastic model is better than that of the three-element viscoelastic model.
In order to clearly characterize the mechanical behavior of Kevlar29 yarn at different strain rates, this paper reports quasi-static and dynamic tensile tests on Kevlar29 yarn. Combined with the split Hopkinson tensile bar (SHTB) theory and motion target tracking method, the stress-strain curves of Kevlar29 yarn at different strain rates are accurately obtained, and then the deformation and fracture process of yarn dynamic tension are analyzed, revealing the strain rate effect of Kevlar29 yarn mechanical properties. Based on the strain rate effect of yarn, a viscoelastic constitutive equation is obtained through the least squares fitting method, and the differences and applicability between the three-element and five-element constitutive models are analyzed. The results show that when the strain is calculated by identifying the coordinates of the marker points on the yarn by the motion target tracking method, it is more accurate than the strain calculated directly from the waveform measured by SHTB. The quasi-static mechanical properties and dynamic mechanical properties of Kevlar29 yarn differ significantly, e.g., the dynamic tensile modulus and tensile strength are higher than those of quasi-static, and the dynamic fracture strain is smaller than that of quasi-static. In the strain rate range of 0.001–700 s−1, with the increase of strain rate, the breaking strain of Kevlar29 yarn decreases, and the tensile strength, tensile modulus and toughness all increase first, but at higher strain rates, the tensile strength (higher than 497.5 s−1) and toughness (higher than 330.7 s−1) decrease, while the tensile modulus (higher than 330.7 s−1) tends to be stable. The viscoelastic constitutive equation can better characterize the strain rate effect of the mechanical properties of Kevlar29 yarn, but the viscoelastic constitutive model cannot reflect the nonlinear stress-strain relationship of the yarn before fracture. Relatively speaking, the fitting effect of the five-element viscoelastic model is better than that of the three-element viscoelastic model.
2024, 44(1): 013102.
doi: 10.11883/bzycj-2023-0237
Abstract:
In order to study the impact failure characteristics of ceramic materials with different microstructures, a constitutive model was constructed based on the Deshpande-Evan model which describes the inelastic deformation and fracture behavior of ceramic materials from the perspective of microstructure and the stress state of the material is calculated without considering the constraint condition. In order to verify the validity of the improved model, VUMAT subroutine programming method was used to combine it with ABAQUS finite element software, and it was applied to the analysis and simulation of the impact failure process of typical ceramic materials (YAG transparent ceramics). The effects of strain rate, stress triaxiality, grain size and crack distribution density on the dynamic mechanical behavior and damage evolution mechanism of YAG transparent ceramics were analyzed by using the improved model. The results show that with the increase of grain size and crack distribution density, the damage degree of YAG transparent ceramics increases, and the area of complete damage area increases. The influence of grain size on the macroscopic failure characteristics of YAG transparent ceramics is greater than that of crack distribution density. The failure strength and fracture strain of YAG transparent ceramics decrease with the increase of grain and crack distribution density. With the increase of the strain rate, the peak stress and fracture strain of YAG transparent ceramics under the influence of different factors (grain size as well as initial defect distribution density) increase. With the increase of grain size, the crack propagation speed of YAG transparent ceramics increases first and then flattens out, which is linearly related to the crack distribution density coefficient. The improved model can describe the influence of YAG transparent ceramic microstructure on its macroscopic failure characteristics, and provide support for further analysis of the influence of microstructure on the macroscopic failure characteristics of ceramic materials.
In order to study the impact failure characteristics of ceramic materials with different microstructures, a constitutive model was constructed based on the Deshpande-Evan model which describes the inelastic deformation and fracture behavior of ceramic materials from the perspective of microstructure and the stress state of the material is calculated without considering the constraint condition. In order to verify the validity of the improved model, VUMAT subroutine programming method was used to combine it with ABAQUS finite element software, and it was applied to the analysis and simulation of the impact failure process of typical ceramic materials (YAG transparent ceramics). The effects of strain rate, stress triaxiality, grain size and crack distribution density on the dynamic mechanical behavior and damage evolution mechanism of YAG transparent ceramics were analyzed by using the improved model. The results show that with the increase of grain size and crack distribution density, the damage degree of YAG transparent ceramics increases, and the area of complete damage area increases. The influence of grain size on the macroscopic failure characteristics of YAG transparent ceramics is greater than that of crack distribution density. The failure strength and fracture strain of YAG transparent ceramics decrease with the increase of grain and crack distribution density. With the increase of the strain rate, the peak stress and fracture strain of YAG transparent ceramics under the influence of different factors (grain size as well as initial defect distribution density) increase. With the increase of grain size, the crack propagation speed of YAG transparent ceramics increases first and then flattens out, which is linearly related to the crack distribution density coefficient. The improved model can describe the influence of YAG transparent ceramic microstructure on its macroscopic failure characteristics, and provide support for further analysis of the influence of microstructure on the macroscopic failure characteristics of ceramic materials.
2024, 44(1): 013103.
doi: 10.11883/bzycj-2023-0073
Abstract:
The fatigue failure behavior of structural materials under repeated impact loads has always attracted much attention. Mastering its damage accumulation process and evolution mechanism at the micro-scale is the fundamental way to understand the impact fatigue failure mechanism. Due to the complexity of the impact fatigue load itself and the limitations of the current experimental equipment, there are still major problems in the study of impact fatigue failure of materials. Therefore, pure titanium was used as the research object and a strain-controlled impact fatigue life test was designed based on the traditional split Hopkinson tension bar system. The strain-controlled impact fatigue life test was achieved by changing the length of the striker, and the amplitude of the incident wave needed to be kept at the same level when using different striker tests. The relationship between strain amplitude and impact fatigue life was analyzed. The impact fatigue interruption experiments of 5 times, 10 times and 20 times were carried out with 100 mm bullets. The microstructure of the samples after different impact times were characterized by electron backscatter diffraction (EBSD) and then the quasi-static mechanical properties were tested. The fracture morphology after impact fatigue failure was observed by scanning electron microscope (SEM). The cyclic hardening/softening law and its microscopic evolution mechanism of pure titanium during impact fatigue failure were studied. The results show that the strain-controlled impact fatigue life test can be realized by changing the striker length. The Manson-Coffin fatigue life model can better reflect the relationship between impact fatigue life and strain amplitude of pure titanium. Moreover, pure titanium exhibits cyclic hardening during impact fatigue failure, which is mainly due to the combined effect of fine grain strengthening caused by twin deformation and strain hardening caused by plastic deformation during fatigue. Finally, the impact fatigue damage of pure titanium is mainly manifested as the loss of deformation ability.
The fatigue failure behavior of structural materials under repeated impact loads has always attracted much attention. Mastering its damage accumulation process and evolution mechanism at the micro-scale is the fundamental way to understand the impact fatigue failure mechanism. Due to the complexity of the impact fatigue load itself and the limitations of the current experimental equipment, there are still major problems in the study of impact fatigue failure of materials. Therefore, pure titanium was used as the research object and a strain-controlled impact fatigue life test was designed based on the traditional split Hopkinson tension bar system. The strain-controlled impact fatigue life test was achieved by changing the length of the striker, and the amplitude of the incident wave needed to be kept at the same level when using different striker tests. The relationship between strain amplitude and impact fatigue life was analyzed. The impact fatigue interruption experiments of 5 times, 10 times and 20 times were carried out with 100 mm bullets. The microstructure of the samples after different impact times were characterized by electron backscatter diffraction (EBSD) and then the quasi-static mechanical properties were tested. The fracture morphology after impact fatigue failure was observed by scanning electron microscope (SEM). The cyclic hardening/softening law and its microscopic evolution mechanism of pure titanium during impact fatigue failure were studied. The results show that the strain-controlled impact fatigue life test can be realized by changing the striker length. The Manson-Coffin fatigue life model can better reflect the relationship between impact fatigue life and strain amplitude of pure titanium. Moreover, pure titanium exhibits cyclic hardening during impact fatigue failure, which is mainly due to the combined effect of fine grain strengthening caused by twin deformation and strain hardening caused by plastic deformation during fatigue. Finally, the impact fatigue damage of pure titanium is mainly manifested as the loss of deformation ability.
2024, 44(1): 013104.
doi: 10.11883/bzycj-2022-0531
Abstract:
In order to study the containment properties of aero-engine casing made of ZL114A (ZAlSi7Mg1A) aluminum alloy under the impact of blade fragments at different temperatures, the material models describing the large deformation and failure behavior of ZL114A aluminum alloy under a large range of temperatures were established. Firstly, quasi-static tensile tests at various temperatures and dynamic compression tests were conducted in the universal testing machine and the split Hopkinson pressure bar (SHPB), respectively. Based on the force-displacement data obtained in tensile tests, the finite element code and optimization algorithm were used to reversely identify the material hardening parameters at temperatures of 25–375°C. In this process, the accuracy of two hardening laws, Ludwik and Hockett/Sherby, describing the plastic flow behavior of ZL114A aluminum alloy under large deformation were compared. Subsequently, combined with the dynamic behavior relation of ZL114A aluminum alloy at strain rates of 1310–5964 s−1, a modified empirical constitutive model incorporating plastic strain, temperature, and strain rate was established, based on the Hockett/Sherby hardening law and Cowper-Symonds model. Further, the tests of notch tension, notch compression and shear were carried out, and the parallel finite element models were numerically calculated. The limitation of failure parameters related to failure criterion by the theoretical formula was analyzed, and the failure parameters are obtained by combining experiment and finite element method. Johnson-Cook failure criterion in branch form was used to describe the relationship between failure strain and stress triaxiality of ZL114A aluminum alloy. Considering the influence of temperature and strain rate, the failure criterion describing the failure behavior of ZL114A aluminum alloy was obtained. Finally, the validity of the fracture criterion and its parameters were verified by the ZL114A aluminum alloy flat plate penetration tests and the numerical simulations at various temperatures. The results show ZL114A aluminum alloy has obvious characteristics of strain hardening, temperature softening, and high strain rate strengthening. The Hockett/Sherby hardening law with stress saturation characteristics more accurately describes the stress flow behavior of ZL114A aluminum alloy than that of Ludwik under large deformation. The modified constitutive relation effectively describes the stress flow behavior of ZL114A aluminum alloy to a certain degree under large strain, wide temperature, and high strain rate. At the same time, the fracture criterion in branch form has good applicability to predict the impact failure behavior of flat plates at different temperatures.
In order to study the containment properties of aero-engine casing made of ZL114A (ZAlSi7Mg1A) aluminum alloy under the impact of blade fragments at different temperatures, the material models describing the large deformation and failure behavior of ZL114A aluminum alloy under a large range of temperatures were established. Firstly, quasi-static tensile tests at various temperatures and dynamic compression tests were conducted in the universal testing machine and the split Hopkinson pressure bar (SHPB), respectively. Based on the force-displacement data obtained in tensile tests, the finite element code and optimization algorithm were used to reversely identify the material hardening parameters at temperatures of 25–375°C. In this process, the accuracy of two hardening laws, Ludwik and Hockett/Sherby, describing the plastic flow behavior of ZL114A aluminum alloy under large deformation were compared. Subsequently, combined with the dynamic behavior relation of ZL114A aluminum alloy at strain rates of 1310–5964 s−1, a modified empirical constitutive model incorporating plastic strain, temperature, and strain rate was established, based on the Hockett/Sherby hardening law and Cowper-Symonds model. Further, the tests of notch tension, notch compression and shear were carried out, and the parallel finite element models were numerically calculated. The limitation of failure parameters related to failure criterion by the theoretical formula was analyzed, and the failure parameters are obtained by combining experiment and finite element method. Johnson-Cook failure criterion in branch form was used to describe the relationship between failure strain and stress triaxiality of ZL114A aluminum alloy. Considering the influence of temperature and strain rate, the failure criterion describing the failure behavior of ZL114A aluminum alloy was obtained. Finally, the validity of the fracture criterion and its parameters were verified by the ZL114A aluminum alloy flat plate penetration tests and the numerical simulations at various temperatures. The results show ZL114A aluminum alloy has obvious characteristics of strain hardening, temperature softening, and high strain rate strengthening. The Hockett/Sherby hardening law with stress saturation characteristics more accurately describes the stress flow behavior of ZL114A aluminum alloy than that of Ludwik under large deformation. The modified constitutive relation effectively describes the stress flow behavior of ZL114A aluminum alloy to a certain degree under large strain, wide temperature, and high strain rate. At the same time, the fracture criterion in branch form has good applicability to predict the impact failure behavior of flat plates at different temperatures.
2024, 44(1): 013105.
doi: 10.11883/bzycj-2023-0128
Abstract:
In order to explore the dynamic behavior of metallic foams under the stretch of constant high strian rate, a few numerical simulations were conducted to explore the effects of both the height of specimen and the tensile velocity on the stress uniformity and deformation uniformity as well as the failure position of the specimen under dynamic tensile loading. And then, a feasible numerical simulation scheme was proposed to obtain dynamic tensile properties of metallic foams under dynamic tension loading with constant strain rates. According to this scheme, the max strain rate reaches 5000 s−1 by means of both decreasing the height of specimen to 1.55 times of the cells’ equivalent diameter and stretching the specimen in two opposite directions with the same velocity. The scheme was verified to be rational by these four main requirements: the stress uniformity and deformation uniformity of the specimen, the acceptable failure position of the specimen and good repeatability. Employing this scheme, a series of dynamic tensile simulations were carried out to investigate the effect of the strain rate on the dynamic tensile mechanical properties of metallic foams. Results show that the failure strain of metallic foams is almost independent of the strain rate in the range from 0.5 s−1 to 5000 s−1, and the failure stress of metallic foams is slightly affected by strain rate in the range from 0.5 s−1 to 500 s−1, but increases linearly with the strain rate in the range from 500 s−1 to 5000 s−1.
In order to explore the dynamic behavior of metallic foams under the stretch of constant high strian rate, a few numerical simulations were conducted to explore the effects of both the height of specimen and the tensile velocity on the stress uniformity and deformation uniformity as well as the failure position of the specimen under dynamic tensile loading. And then, a feasible numerical simulation scheme was proposed to obtain dynamic tensile properties of metallic foams under dynamic tension loading with constant strain rates. According to this scheme, the max strain rate reaches 5000 s−1 by means of both decreasing the height of specimen to 1.55 times of the cells’ equivalent diameter and stretching the specimen in two opposite directions with the same velocity. The scheme was verified to be rational by these four main requirements: the stress uniformity and deformation uniformity of the specimen, the acceptable failure position of the specimen and good repeatability. Employing this scheme, a series of dynamic tensile simulations were carried out to investigate the effect of the strain rate on the dynamic tensile mechanical properties of metallic foams. Results show that the failure strain of metallic foams is almost independent of the strain rate in the range from 0.5 s−1 to 5000 s−1, and the failure stress of metallic foams is slightly affected by strain rate in the range from 0.5 s−1 to 500 s−1, but increases linearly with the strain rate in the range from 500 s−1 to 5000 s−1.
2024, 44(1): 013301.
doi: 10.11883/bzycj-2023-0156
Abstract:
To analyze the mechanism and characteristics of high-speed water entry of hollow projectiles, a numerical simulation study of the high-speed water entry of the hollow projectiles was carried out based on the Reynolds average Navier-Stokes equation (RANS), the volume of fluid (VOF) multi-phase flow model, the realizable k-ε flux model, the Schnerr and Sauer aeration model, the six-degrees-freedom (6-DOF) motion simulation method, and the overlapping grid technology. The effects of through-hole aperture and head shape on the cavitation characteristics, cavity morphology, and water entry kinematic properties of the hollow projectile were obtained. The effectiveness of the calculation method was verified by comparing it with the water entry experiment. The results show that the numerically calculated cavity morphology and water entry velocity and displacement curves are in good agreement with the experimental results, which verify the effectiveness of the numerical simulation method. When the through-hole aperture is different, the larger the through-hole aperture, the more pronounced the cavitation phenomenon and the longer the through-hole jet, but the effect on the radius of the cavity is not significant. The smaller the through-hole aperture, the earlier the closure time, the higher the peak drag coefficient resulting from impact with the water surface, and the greater the drag coefficient after the hollow projectile has stabilized in the water. The movement of the hollow projectile is most stable when the dimensionless diameter is between 0.575 and 0.600. When the head cone angle is varied, the larger the head cone angle, the larger the diameter of the cavity, and the later the cavitation phenomenon begins, but the faster the cavitation is generated. As the head cone angle increases, the drag coefficient becomes larger and the velocity of the hollow projectile decays faster, moving a shorter distance at the same time. However, the larger the head cone angle, the smaller the change in pitch angle and the more stable the motion of the hollow projectile.
To analyze the mechanism and characteristics of high-speed water entry of hollow projectiles, a numerical simulation study of the high-speed water entry of the hollow projectiles was carried out based on the Reynolds average Navier-Stokes equation (RANS), the volume of fluid (VOF) multi-phase flow model, the realizable k-ε flux model, the Schnerr and Sauer aeration model, the six-degrees-freedom (6-DOF) motion simulation method, and the overlapping grid technology. The effects of through-hole aperture and head shape on the cavitation characteristics, cavity morphology, and water entry kinematic properties of the hollow projectile were obtained. The effectiveness of the calculation method was verified by comparing it with the water entry experiment. The results show that the numerically calculated cavity morphology and water entry velocity and displacement curves are in good agreement with the experimental results, which verify the effectiveness of the numerical simulation method. When the through-hole aperture is different, the larger the through-hole aperture, the more pronounced the cavitation phenomenon and the longer the through-hole jet, but the effect on the radius of the cavity is not significant. The smaller the through-hole aperture, the earlier the closure time, the higher the peak drag coefficient resulting from impact with the water surface, and the greater the drag coefficient after the hollow projectile has stabilized in the water. The movement of the hollow projectile is most stable when the dimensionless diameter is between 0.575 and 0.600. When the head cone angle is varied, the larger the head cone angle, the larger the diameter of the cavity, and the later the cavitation phenomenon begins, but the faster the cavitation is generated. As the head cone angle increases, the drag coefficient becomes larger and the velocity of the hollow projectile decays faster, moving a shorter distance at the same time. However, the larger the head cone angle, the smaller the change in pitch angle and the more stable the motion of the hollow projectile.
2024, 44(1): 015101.
doi: 10.11883/bzycj-2023-0102
Abstract:
By changing the main influencing factors such as structural configuration and impact energy, the impact dynamic response and failure mode of reinforced concrete beams would change. Drop hammer impact tests of reinforced concrete beams with different configurations were conducted, and the parameters of impact force, support reaction, reinforcement and concrete strain, impact local deformation and overall structural deformation of the structure were obtained by comprehensive measurements. The influence law of different concrete strength, different longitudinal reinforcement/stirrup configuration, and different impact velocity on the dynamic response and failure mode of reinforced concrete beams was thoroughly analyzed. The result of the experiment proves that the peak displacement and residual displacement of reinforced concrete beams under low-velocity impact increase with the improvement of impact velocity. Moreover, the peak displacement and residual displacement are approximately linearly related to the ratio of impact kinetic energy to static ultimate load. The higher the concrete strength and the greater the longitudinal reinforcement ratio are, the larger the peak impact force on the beam is under the equal impact conditions, whereas the smaller the overall displacement response is. Changing the stirrup ratio has little effect on the local response and the overall response of the structure. When the structure is impacted, the shear effect occurs first, the bending effect occurs last, and the oblique crack appears before the vertical crack. Four failure modes of a beam under impact are assessed in accordance with the failure limit state of the structure: bending failure, bending-shear failure, shear failure, and punching failure. According to the test results, with the improvement of the impact velocity, the reinforced concrete beam changes from bending failure to bending shear failure, shear failure and punching failure under the same structural arrangement. By increasing the concrete strength and stirrup ratio or decreasing the longitudinal reinforcement ratio, the failure mode of the beam gradually changes from punching failure to bending failure under the same impact velocity. The impact failure mode and its transformation law can provide important reference for anti-collision design and protection of structures.
By changing the main influencing factors such as structural configuration and impact energy, the impact dynamic response and failure mode of reinforced concrete beams would change. Drop hammer impact tests of reinforced concrete beams with different configurations were conducted, and the parameters of impact force, support reaction, reinforcement and concrete strain, impact local deformation and overall structural deformation of the structure were obtained by comprehensive measurements. The influence law of different concrete strength, different longitudinal reinforcement/stirrup configuration, and different impact velocity on the dynamic response and failure mode of reinforced concrete beams was thoroughly analyzed. The result of the experiment proves that the peak displacement and residual displacement of reinforced concrete beams under low-velocity impact increase with the improvement of impact velocity. Moreover, the peak displacement and residual displacement are approximately linearly related to the ratio of impact kinetic energy to static ultimate load. The higher the concrete strength and the greater the longitudinal reinforcement ratio are, the larger the peak impact force on the beam is under the equal impact conditions, whereas the smaller the overall displacement response is. Changing the stirrup ratio has little effect on the local response and the overall response of the structure. When the structure is impacted, the shear effect occurs first, the bending effect occurs last, and the oblique crack appears before the vertical crack. Four failure modes of a beam under impact are assessed in accordance with the failure limit state of the structure: bending failure, bending-shear failure, shear failure, and punching failure. According to the test results, with the improvement of the impact velocity, the reinforced concrete beam changes from bending failure to bending shear failure, shear failure and punching failure under the same structural arrangement. By increasing the concrete strength and stirrup ratio or decreasing the longitudinal reinforcement ratio, the failure mode of the beam gradually changes from punching failure to bending failure under the same impact velocity. The impact failure mode and its transformation law can provide important reference for anti-collision design and protection of structures.
2024, 44(1): 015102.
doi: 10.11883/bzycj-2023-0003
Abstract:
Based on the large caliber launch platform, the experiment of 155 mm high explosive bomb damaging steel fiber reinforced concrete structure was carried out, and the damage feature of the structure being struck at different positions was obtained. Combined with LS-DYNA numerical simulation, the damage effects of steel fiber reinforced concrete structures under different impact positions and different hit speeds are analyzed, and the damage process and failure modes of steel fiber reinforced concrete structures under the combined action of penetration and explosion are discussed. The results show that under the action of 155 mm high explosive bomb, the roof and side wall of steel fiber reinforced concrete structure have a relatively light explosion pit damage, and the front wall without reinforcement has a serious explosion collapse damage. SPG (smooth particle Galerkin method)-structured ALE (arbitrary Lagrange-Euler) (S-ALE) fluid-structure coupling algorithm can effectively predict the damage development process and failure mode of reinforced concrete structures under the combined action of penetration and explosion. The acceleration time-history curve of large caliber projectile penetrating finite boundary targets is characterized by sudden increase and sudden decrease of single peak, and the projectile velocity is characterized by rapid decrease at first and then slow decrease. The main failure modes of the target under the explosion based on penetration damage are massive collapse and crack growth of concrete blocks. With the increase of penetration speed, the damage caused by explosion develops from local damage to overall failure of the structure. In the concrete crushing zone, the reinforcement perpendicular to the projectile body will yield under the penetration effect, and the reinforcement at the top and bottom of the plate will yield under the explosion.
Based on the large caliber launch platform, the experiment of 155 mm high explosive bomb damaging steel fiber reinforced concrete structure was carried out, and the damage feature of the structure being struck at different positions was obtained. Combined with LS-DYNA numerical simulation, the damage effects of steel fiber reinforced concrete structures under different impact positions and different hit speeds are analyzed, and the damage process and failure modes of steel fiber reinforced concrete structures under the combined action of penetration and explosion are discussed. The results show that under the action of 155 mm high explosive bomb, the roof and side wall of steel fiber reinforced concrete structure have a relatively light explosion pit damage, and the front wall without reinforcement has a serious explosion collapse damage. SPG (smooth particle Galerkin method)-structured ALE (arbitrary Lagrange-Euler) (S-ALE) fluid-structure coupling algorithm can effectively predict the damage development process and failure mode of reinforced concrete structures under the combined action of penetration and explosion. The acceleration time-history curve of large caliber projectile penetrating finite boundary targets is characterized by sudden increase and sudden decrease of single peak, and the projectile velocity is characterized by rapid decrease at first and then slow decrease. The main failure modes of the target under the explosion based on penetration damage are massive collapse and crack growth of concrete blocks. With the increase of penetration speed, the damage caused by explosion develops from local damage to overall failure of the structure. In the concrete crushing zone, the reinforcement perpendicular to the projectile body will yield under the penetration effect, and the reinforcement at the top and bottom of the plate will yield under the explosion.
2024, 44(1): 015201.
doi: 10.11883/bzycj-2022-0366
Abstract:
To rapidly assess the dynamic responses and failure modes of the building columns under near-field near-ground explosions, in this paper numerical simulation method is employed to investigate the distribution pattern of the shock waves that are applied on the front face of building columns under near-field near-ground blast scenarios, and a corresponding simplified blast load model is proposed. To this end, firstly, the existing experimental data of overpressure and impulse were selected to validate the numerical model for blast load. Then, a typical numerical model under near-field near-ground blast scenarios was established to study the effects of the scaled distance and the scaled height of spherical charges on the characteristic values of the shock waves acting at the building columns. Finally, formulae for the maximum reflected impulse and the representative value of the positive overpressure duration were derived based on nonlinear regression analysis, and the blast load at each location of the column front face was represented by an equivalent triangular load model. The results indicate that when the scaled height of the charge is less than 0.3 m/kg1/3, the distribution of the maximum reflected impulse along the column length can be represented as a trilinear model and a bilinear model for the scaled distance of 0.4−0.6 m/kg1/3 and 0.6−1.4 m/kg1/3, respectively. In comparison, the distribution of the shock waves in the transverse direction of a column section was approximately uniform. Moreover, under a given scaled distance and a scaled height, the peak reflected overpressure remains constant as the charge weight increases, but the maximum reflected impulse is proportional to the cubic root of the charge weight at the locations with the identical scaled height of the column.
To rapidly assess the dynamic responses and failure modes of the building columns under near-field near-ground explosions, in this paper numerical simulation method is employed to investigate the distribution pattern of the shock waves that are applied on the front face of building columns under near-field near-ground blast scenarios, and a corresponding simplified blast load model is proposed. To this end, firstly, the existing experimental data of overpressure and impulse were selected to validate the numerical model for blast load. Then, a typical numerical model under near-field near-ground blast scenarios was established to study the effects of the scaled distance and the scaled height of spherical charges on the characteristic values of the shock waves acting at the building columns. Finally, formulae for the maximum reflected impulse and the representative value of the positive overpressure duration were derived based on nonlinear regression analysis, and the blast load at each location of the column front face was represented by an equivalent triangular load model. The results indicate that when the scaled height of the charge is less than 0.3 m/kg1/3, the distribution of the maximum reflected impulse along the column length can be represented as a trilinear model and a bilinear model for the scaled distance of 0.4−0.6 m/kg1/3 and 0.6−1.4 m/kg1/3, respectively. In comparison, the distribution of the shock waves in the transverse direction of a column section was approximately uniform. Moreover, under a given scaled distance and a scaled height, the peak reflected overpressure remains constant as the charge weight increases, but the maximum reflected impulse is proportional to the cubic root of the charge weight at the locations with the identical scaled height of the column.
2024, 44(1): 015901.
doi: 10.11883/bzycj-2023-0020
Abstract:
Photovoltaic cells have been widely used in desert areas and other solar-rich environments due to the relatively high solar energy to electricity conversion efficiency. Under the long-term dust impact condition in the desert dust environment, the internal structures of photovoltaic cells are prone to damage, resulting in a significant deterioration of photoelectric conversion efficiency. Therefore, it is of great significance to understand the photoelectric response of photovoltaic cells subjected to massive particles impact. Firstly, a millimeter-scale high-speed particle impact experimental method was developed based on split Hopkinson pressure bar (SHPB) facility. The experimental results showed that the damage of the photovoltaic cell was mainly caused by the first impact, leading to the damage characteristics including shear microcracking, brittle fracture and delamination. Then, the critical stresses corresponding to the three failure modes were analyzed in terms of the initial impact kinetic energy. The first failure mode assumes that high-speed particles behave as fluids, so impulsive compressive stresses are used in the model. The damage in the second failure mode comes from high contact stresses on the impacted surface. The damage in the third mode of failure comes from bending stresses. The photovoltaic performance degradation of the photovoltaic cells after impact under different particle velocities, diameters, and number densities were investigated, showing that the photoelectric conversion efficiency of the photovoltaic cells decreased significantly with the increase of the particle size, the impact velocity, and the number density. Finally, a damage-induced photovoltaic performance degradation (DPPD) model under sand and gravel impact conditions is established to quantitatively describe the influence of impact parameters on the photovoltaic conversion efficiency, in which the two-dimensional damage factor D is proposed to represent the average damage level of the damaged area. The results of the DPPD model are in agreement with the experimental results, validating the applicability of the model for predicting accurately the photovoltaic cell photovoltaic performance under massive sand and gravel impact environment.
Photovoltaic cells have been widely used in desert areas and other solar-rich environments due to the relatively high solar energy to electricity conversion efficiency. Under the long-term dust impact condition in the desert dust environment, the internal structures of photovoltaic cells are prone to damage, resulting in a significant deterioration of photoelectric conversion efficiency. Therefore, it is of great significance to understand the photoelectric response of photovoltaic cells subjected to massive particles impact. Firstly, a millimeter-scale high-speed particle impact experimental method was developed based on split Hopkinson pressure bar (SHPB) facility. The experimental results showed that the damage of the photovoltaic cell was mainly caused by the first impact, leading to the damage characteristics including shear microcracking, brittle fracture and delamination. Then, the critical stresses corresponding to the three failure modes were analyzed in terms of the initial impact kinetic energy. The first failure mode assumes that high-speed particles behave as fluids, so impulsive compressive stresses are used in the model. The damage in the second failure mode comes from high contact stresses on the impacted surface. The damage in the third mode of failure comes from bending stresses. The photovoltaic performance degradation of the photovoltaic cells after impact under different particle velocities, diameters, and number densities were investigated, showing that the photoelectric conversion efficiency of the photovoltaic cells decreased significantly with the increase of the particle size, the impact velocity, and the number density. Finally, a damage-induced photovoltaic performance degradation (DPPD) model under sand and gravel impact conditions is established to quantitatively describe the influence of impact parameters on the photovoltaic conversion efficiency, in which the two-dimensional damage factor D is proposed to represent the average damage level of the damaged area. The results of the DPPD model are in agreement with the experimental results, validating the applicability of the model for predicting accurately the photovoltaic cell photovoltaic performance under massive sand and gravel impact environment.


PDF
Cited by
Read OL