2025年 45卷 第1期
			            2025, 45(1): 011001.
			             
		            	doi: 10.11883/bzycj-2024-0097 
    					
						
			        
						摘要: 
为了研究高温混凝土在不同冷却方式下的动态力学特性,通过\begin{document}$\varnothing $\end{document} ![]()
![]()
			   
			        
			        
			        
				  
				为了研究高温混凝土在不同冷却方式下的动态力学特性,通过
			            2025, 45(1): 011101.
			             
		            	doi: 10.11883/bzycj-2023-0463 
    					
						
			        
						摘要: 
为明确泡沫混凝土厚度和强度对组合式防护结构抗爆性能的影响,充分发挥和合理利用泡沫混凝土良好的消波特性,首先通过试验及数值模拟探讨不同泡沫混凝土厚度和强度对组合式防护结构抗爆性能的影响,并分析分层梯度泡沫混凝土在爆炸波作用下的消波特性。然后将组合式防护结构与采用中粗砂为分配层的传统成层式结构进行对比分析验证其优越性,在此基础上,总结凝练出组合式防护结构的主体结构荷载可控的设计理念。结果表明,利用泡沫混凝土材料较长的屈服平台和较低的波阻抗,以泡沫混凝土作为能量调控层,通过设计泡沫混凝土强度等级(密度等级)和厚度以及采用多层梯度泡沫混凝土,可使得作用于主体结构上的爆炸荷载峰值恰为泡沫混凝土屈服强度,实现对主体结构上荷载的可控设计,有效解决了中粗砂为分配层的传统成层式结构不易控制作用于主体结构上荷载的问题。研究结果可为抗新型钻地弹的防护设计提供重要参考。
			   
			        
			        
			        
				  
				为明确泡沫混凝土厚度和强度对组合式防护结构抗爆性能的影响,充分发挥和合理利用泡沫混凝土良好的消波特性,首先通过试验及数值模拟探讨不同泡沫混凝土厚度和强度对组合式防护结构抗爆性能的影响,并分析分层梯度泡沫混凝土在爆炸波作用下的消波特性。然后将组合式防护结构与采用中粗砂为分配层的传统成层式结构进行对比分析验证其优越性,在此基础上,总结凝练出组合式防护结构的主体结构荷载可控的设计理念。结果表明,利用泡沫混凝土材料较长的屈服平台和较低的波阻抗,以泡沫混凝土作为能量调控层,通过设计泡沫混凝土强度等级(密度等级)和厚度以及采用多层梯度泡沫混凝土,可使得作用于主体结构上的爆炸荷载峰值恰为泡沫混凝土屈服强度,实现对主体结构上荷载的可控设计,有效解决了中粗砂为分配层的传统成层式结构不易控制作用于主体结构上荷载的问题。研究结果可为抗新型钻地弹的防护设计提供重要参考。
			            2025, 45(1): 012101.
			             
		            	doi: 10.11883/bzycj-2024-0130 
    					
						
			        
						摘要: 
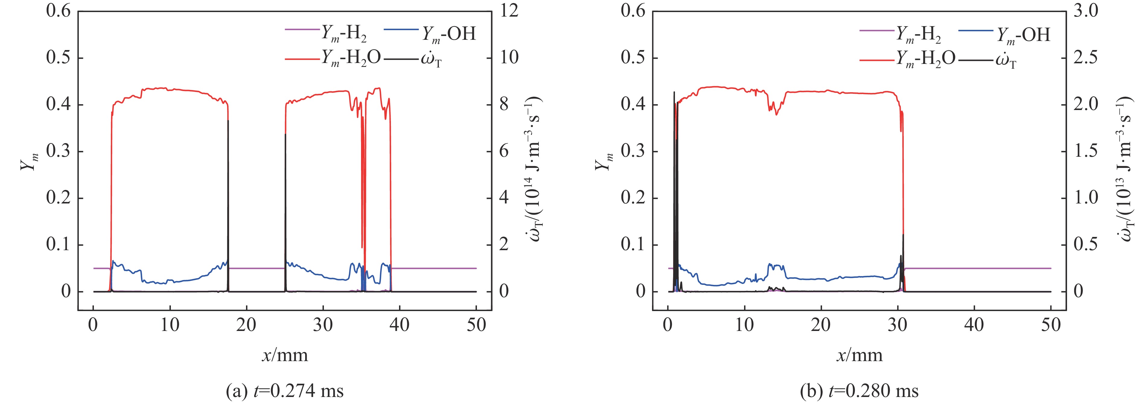
氢氧的高反应活性给旋转爆轰波的稳定传播带来了巨大的挑战,为研究氢氧旋转爆轰波传播不稳定性,通过改变当量比对小尺寸模型下二维氢氧旋转爆轰波进行数值模拟研究,揭示了氢氧旋转爆轰波复杂多变的传播特性,并分析了典型流场结构,探讨了传播模态的不稳定性以及爆轰波湮灭和再起爆机制。结果表明:随着当量比的提高,流场内分别呈现熄爆、单波、单双波混合3种传播模态,且爆轰波的传播速度随当量比的增大几乎呈线性提高,速度亏损为5%~8%。激波的扰动使得爆燃面失稳产生明显的扭曲和褶皱,氢氧的高反应活性让爆燃面明显分层且在2个分界面上呈现不同的不稳定性,上分界面为Kelvin-Helmholtz (K-H)不稳定性,下分界面为Rayleigh-Taylor (R-T)不稳定性。单双波混合模态下爆轰波极不稳定,保持湮灭、单波、双波对撞3种状态之间循环。爆轰波有2种湮灭方式:一是双波对撞导致爆轰波湮灭,二是爆燃面燃烧加剧使得爆燃面下移导致爆轰波湮灭。再起爆的主要原因是:R-T不稳定性诱导爆轰产物与新鲜预混气在爆燃面上相互挤压产生尖峰和气泡结构,增强爆燃面上的反应放热,产生了局部热点并逐渐增强为爆轰波,实现爆燃转爆轰。
			   
			        
			        
			        
				  
				氢氧的高反应活性给旋转爆轰波的稳定传播带来了巨大的挑战,为研究氢氧旋转爆轰波传播不稳定性,通过改变当量比对小尺寸模型下二维氢氧旋转爆轰波进行数值模拟研究,揭示了氢氧旋转爆轰波复杂多变的传播特性,并分析了典型流场结构,探讨了传播模态的不稳定性以及爆轰波湮灭和再起爆机制。结果表明:随着当量比的提高,流场内分别呈现熄爆、单波、单双波混合3种传播模态,且爆轰波的传播速度随当量比的增大几乎呈线性提高,速度亏损为5%~8%。激波的扰动使得爆燃面失稳产生明显的扭曲和褶皱,氢氧的高反应活性让爆燃面明显分层且在2个分界面上呈现不同的不稳定性,上分界面为Kelvin-Helmholtz (K-H)不稳定性,下分界面为Rayleigh-Taylor (R-T)不稳定性。单双波混合模态下爆轰波极不稳定,保持湮灭、单波、双波对撞3种状态之间循环。爆轰波有2种湮灭方式:一是双波对撞导致爆轰波湮灭,二是爆燃面燃烧加剧使得爆燃面下移导致爆轰波湮灭。再起爆的主要原因是:R-T不稳定性诱导爆轰产物与新鲜预混气在爆燃面上相互挤压产生尖峰和气泡结构,增强爆燃面上的反应放热,产生了局部热点并逐渐增强为爆轰波,实现爆燃转爆轰。
			            2025, 45(1): 012301.
			             
		            	doi: 10.11883/bzycj-2024-0074 
    					
						
			        
						摘要: 
为减弱中空环形聚能装药形成的中心侵彻体对后级结构的破坏作用,通过改变环锥罩的偏心距离和壁厚,调整了装药和药型罩的质量分布,使之形成准直环形射流,研究了炸高对环形射流侵彻威力的影响规律。数值模拟结果表明:内壳为铝合金时的中心孔平均侵彻深度较内壳为钢时的平均侵彻深度低36.13%;非偏心环锥罩形成的射流存在径向偏移,侵彻能力较弱。当环锥罩顶向外侧偏移0.05d(d为环形装药厚度)时,射流准直性较好,环形射流侵彻深度较大;随着药型罩壁厚的增加,射流头部速度不断减小,当壁厚为0.045d时,偏心环锥罩形成的环形射流侵彻能力较强;环形射流侵彻深度对炸高较为敏感,在炸高为1.12d时,环形射流侵彻深度较大。针对非偏心环锥罩和偏心环锥罩两种药型罩结构开展的静破甲试验表明,环形射流侵彻深度和扩孔直径的试验结果与数值模拟结果误差小于12%,验证了数值模拟模型的可靠性。
			   
			        
			        
			        
				  
				为减弱中空环形聚能装药形成的中心侵彻体对后级结构的破坏作用,通过改变环锥罩的偏心距离和壁厚,调整了装药和药型罩的质量分布,使之形成准直环形射流,研究了炸高对环形射流侵彻威力的影响规律。数值模拟结果表明:内壳为铝合金时的中心孔平均侵彻深度较内壳为钢时的平均侵彻深度低36.13%;非偏心环锥罩形成的射流存在径向偏移,侵彻能力较弱。当环锥罩顶向外侧偏移0.05d(d为环形装药厚度)时,射流准直性较好,环形射流侵彻深度较大;随着药型罩壁厚的增加,射流头部速度不断减小,当壁厚为0.045d时,偏心环锥罩形成的环形射流侵彻能力较强;环形射流侵彻深度对炸高较为敏感,在炸高为1.12d时,环形射流侵彻深度较大。针对非偏心环锥罩和偏心环锥罩两种药型罩结构开展的静破甲试验表明,环形射流侵彻深度和扩孔直径的试验结果与数值模拟结果误差小于12%,验证了数值模拟模型的可靠性。
			            2025, 45(1): 013101.
			             
		            	doi: 10.11883/bzycj-2024-0036 
    					
						
			        
						摘要: 
为研究饱水和初始损伤对冲击荷载下花岗岩宏观和微观破坏特征的影响,开展了X射线衍射、霍普金森和扫描电镜试验,利用分形维数对花岗岩的破碎块度和断口形貌进行了分析,探讨了图像放大倍数对分形维数的影响,分析了冲击荷载下饱水后花岗岩的微观致裂机制。结果表明:饱水后花岗岩中角闪石、钠长石、微斜长石和石英的占比减少,高岭石占比显著提高;随着初始损伤的增大,花岗岩的动态峰值应力逐渐减小,而破碎程度和块度分形维数逐渐增大,且初始损伤对块度分形维数的影响大于饱水的影响;随着初始损伤的增加,断口出现更多的微裂纹和碎屑,断口图像的分形维数也逐渐增加;放大倍数在400~3200 范围内时,断口图像分形维数随着图像放大倍数的增大而增加,超过3200 后,分形维数减小。
			        
			   
			        
			        
			        
				  
				为研究饱水和初始损伤对冲击荷载下花岗岩宏观和微观破坏特征的影响,开展了X射线衍射、霍普金森和扫描电镜试验,利用分形维数对花岗岩的破碎块度和断口形貌进行了分析,探讨了图像放大倍数对分形维数的影响,分析了冲击荷载下饱水后花岗岩的微观致裂机制。结果表明:饱水后花岗岩中角闪石、钠长石、微斜长石和石英的占比减少,高岭石占比显著提高;随着初始损伤的增大,花岗岩的动态峰值应力逐渐减小,而破碎程度和块度分形维数逐渐增大,且初始损伤对块度分形维数的影响大于饱水的影响;随着初始损伤的增加,断口出现更多的微裂纹和碎屑,断口图像的分形维数也逐渐增加;放大倍数在400~
			            2025, 45(1): 013102.
			             
		            	doi: 10.11883/bzycj-2024-0082 
    					
						
			        
						摘要: 
高空强爆炸所产生的X射线辐照至导弹壳体结构时产生的汽化反冲冲量(blow-off impulse,BOI)及热激波,能够引起目标的动响应破坏。现有的Whitener、BBAY和MBBAY理论模型仅能给出一维近似BOI值,无法处理复杂三维情况并给出对应的热激波峰值压力p,因此,对该问题的研究非常依赖数值计算。利用X射线热激波数值计算程序TSHOCK3D对矩形铝靶板在0.1~3.0 keV范围的普朗克黑体温度和220~400 J/cm2辐射能通量下的汽化反冲冲量及峰值压力进行计算,并与理论模型作了对比分析。结果表明,TSHOCK3D程序可以得到可靠的结果,正辐照靶板中心处近似一维工况下的BOI与Whitener、BBAY和MBBAY三个理论模型下的BOI基本相符。通过单变量分析可得,靶板中BOI和峰值压力p均与入射能通量呈近似线性关系;而对于不同的黑体温度,BOI和峰值压力则在1.5~2.0 keV处存在极大值。
			   
			        
			        
			        
				  
				高空强爆炸所产生的X射线辐照至导弹壳体结构时产生的汽化反冲冲量(blow-off impulse,BOI)及热激波,能够引起目标的动响应破坏。现有的Whitener、BBAY和MBBAY理论模型仅能给出一维近似BOI值,无法处理复杂三维情况并给出对应的热激波峰值压力p,因此,对该问题的研究非常依赖数值计算。利用X射线热激波数值计算程序TSHOCK3D对矩形铝靶板在0.1~3.0 keV范围的普朗克黑体温度和220~400 J/cm2辐射能通量下的汽化反冲冲量及峰值压力进行计算,并与理论模型作了对比分析。结果表明,TSHOCK3D程序可以得到可靠的结果,正辐照靶板中心处近似一维工况下的BOI与Whitener、BBAY和MBBAY三个理论模型下的BOI基本相符。通过单变量分析可得,靶板中BOI和峰值压力p均与入射能通量呈近似线性关系;而对于不同的黑体温度,BOI和峰值压力则在1.5~2.0 keV处存在极大值。
			            2025, 45(1): 013103.
			             
		            	doi: 10.11883/bzycj-2024-0095 
    					
						
			        
						摘要: 
将气相二氧化硅颗粒与聚乙二醇溶液混合制备的剪切增稠液(shear-thickening fluid, STF)填充到蜂窝芯层中,制成了STF填充蜂窝夹芯板。通过落锤冲击实验,研究了冲击速度(1.0、1.5、2.0 m/s)、蜂窝孔径(2.0、2.5、3.0 mm)和壁厚(0.04、0.06、0.08 mm)对夹芯板力学性能的影响。利用数字图像相关技术测量了结构的应变历史和后面板挠度场的分布情况,探讨了结构的低速冲击响应过程。实验结果表明,在低速冲击下,未填充STF蜂窝夹芯板的变形模式为后面板中心区域凸起变形,周围区域有明显鼓包变形;填充STF蜂窝夹芯板的变形模式为后面板凸起变形且局部凸起区域较大,周围无鼓包产生。STF的剪切增稠效应可以增加参与能量吸收的蜂窝单元,扩大结构的局部变形区域,减小结构的后面板挠度。提高冲击速度、增大蜂窝孔径或者减小壁厚,都更有利于STF的剪切增稠效应。
			   
			        
			        
			        
				  
				将气相二氧化硅颗粒与聚乙二醇溶液混合制备的剪切增稠液(shear-thickening fluid, STF)填充到蜂窝芯层中,制成了STF填充蜂窝夹芯板。通过落锤冲击实验,研究了冲击速度(1.0、1.5、2.0 m/s)、蜂窝孔径(2.0、2.5、3.0 mm)和壁厚(0.04、0.06、0.08 mm)对夹芯板力学性能的影响。利用数字图像相关技术测量了结构的应变历史和后面板挠度场的分布情况,探讨了结构的低速冲击响应过程。实验结果表明,在低速冲击下,未填充STF蜂窝夹芯板的变形模式为后面板中心区域凸起变形,周围区域有明显鼓包变形;填充STF蜂窝夹芯板的变形模式为后面板凸起变形且局部凸起区域较大,周围无鼓包产生。STF的剪切增稠效应可以增加参与能量吸收的蜂窝单元,扩大结构的局部变形区域,减小结构的后面板挠度。提高冲击速度、增大蜂窝孔径或者减小壁厚,都更有利于STF的剪切增稠效应。
			            2025, 45(1): 013301.
			             
		            	doi: 10.11883/bzycj-2024-0061 
    					
						
			        
						摘要: 
为了准确评估超高性能混凝土(ultra-high performance concrete, UHPC)遮弹层在战斗部侵彻爆炸作用下的损伤破坏并建立可靠的计算方法,首先,开展了UHPC靶体抗105 mm口径弹体侵彻和5 kg TNT炸药爆炸联合作用试验,获取了侵彻作用后以及侵彻与爆炸联合作用后弹靶的损伤破坏数据;然后,建立了UHPC靶体抗弹体侵彻与爆炸作用的有限元模型,通过对上述试验和已有的有限厚UHPC板埋置装药爆炸试验进行数值仿真分析,验证了有限元模型和分析方法的可靠性;最后,对比了SDB、WDU-43/B和BLU-109/B等3种典型原型战斗部侵彻与爆炸联合作用下,UHPC遮弹层和普通混凝土遮弹层的临界贯彻和震塌厚度。结果表明:3种战斗部侵彻爆炸联合作用下,遮弹层的临界贯穿厚度和震塌厚度范围分别为1.30~2.60 m和1.70~5.00 m,相应的临界贯穿系数和震塌系数范围分别为1.81~2.17和2.46~4.17;与普通混凝土遮弹层对比,3种战斗部侵彻爆炸联合作用下UHPC遮弹层的开坑直径减小了34.4%~42.4%,临界贯穿和震塌厚度分别减小了7.1%~31.6%和39.7%~52.8%。研究结果可为UHPC遮弹层的抗力评估和设计提供参考。
			   
			        
			        
			        
				  
				为了准确评估超高性能混凝土(ultra-high performance concrete, UHPC)遮弹层在战斗部侵彻爆炸作用下的损伤破坏并建立可靠的计算方法,首先,开展了UHPC靶体抗105 mm口径弹体侵彻和5 kg TNT炸药爆炸联合作用试验,获取了侵彻作用后以及侵彻与爆炸联合作用后弹靶的损伤破坏数据;然后,建立了UHPC靶体抗弹体侵彻与爆炸作用的有限元模型,通过对上述试验和已有的有限厚UHPC板埋置装药爆炸试验进行数值仿真分析,验证了有限元模型和分析方法的可靠性;最后,对比了SDB、WDU-43/B和BLU-109/B等3种典型原型战斗部侵彻与爆炸联合作用下,UHPC遮弹层和普通混凝土遮弹层的临界贯彻和震塌厚度。结果表明:3种战斗部侵彻爆炸联合作用下,遮弹层的临界贯穿厚度和震塌厚度范围分别为1.30~2.60 m和1.70~5.00 m,相应的临界贯穿系数和震塌系数范围分别为1.81~2.17和2.46~4.17;与普通混凝土遮弹层对比,3种战斗部侵彻爆炸联合作用下UHPC遮弹层的开坑直径减小了34.4%~42.4%,临界贯穿和震塌厚度分别减小了7.1%~31.6%和39.7%~52.8%。研究结果可为UHPC遮弹层的抗力评估和设计提供参考。
			            2025, 45(1): 013302.
			             
		            	doi: 10.11883/bzycj-2024-0145 
    					
						
			        
						摘要: 
为探究弹体斜侵彻花岗岩靶体的结构响应特性,基于30 mm弹道炮平台,开展了弹体斜侵彻花岗岩靶试验,获得了非正侵彻作用下弹体结构破坏参数。在此基础上,结合数值模拟方法研究了弹体斜侵彻花岗岩靶的弹体结构变形及断裂机制,分析了侵彻初始条件对弹体结构响应的影响规律。研究结果表明:弹体非正侵彻花岗岩靶体时,易发生弯曲和断裂;弹体头尾部所受非对称力是影响弹体响应特性的主要因素,弹体的变形破坏程度由弹体头尾部角速度差峰值大小决定;随着攻角的增大,弹体弯曲程度线性增大,攻角增大到8°时,弹体发生断裂;随着着角的增大,弹体弯曲程度先增大后减小再增大,着角为15°时,弹体弯曲程度最小,着角达到30°时,弹体发生断裂;与着角相比,攻角对弹体结构响应行为的影响更显著;攻角与着角联合作用时,着角的引入会增大弹体临界断裂正攻角,负攻角会削弱弹体抵抗弯曲变形和断裂的能力;撞击速度高于1600  m/s时,弹体撞击速度成为弹体产生不同响应行为的主控因素。
			        
			   
			        
			        
			        
				  
				为探究弹体斜侵彻花岗岩靶体的结构响应特性,基于30 mm弹道炮平台,开展了弹体斜侵彻花岗岩靶试验,获得了非正侵彻作用下弹体结构破坏参数。在此基础上,结合数值模拟方法研究了弹体斜侵彻花岗岩靶的弹体结构变形及断裂机制,分析了侵彻初始条件对弹体结构响应的影响规律。研究结果表明:弹体非正侵彻花岗岩靶体时,易发生弯曲和断裂;弹体头尾部所受非对称力是影响弹体响应特性的主要因素,弹体的变形破坏程度由弹体头尾部角速度差峰值大小决定;随着攻角的增大,弹体弯曲程度线性增大,攻角增大到8°时,弹体发生断裂;随着着角的增大,弹体弯曲程度先增大后减小再增大,着角为15°时,弹体弯曲程度最小,着角达到30°时,弹体发生断裂;与着角相比,攻角对弹体结构响应行为的影响更显著;攻角与着角联合作用时,着角的引入会增大弹体临界断裂正攻角,负攻角会削弱弹体抵抗弯曲变形和断裂的能力;撞击速度高于
			            2025, 45(1): 014201.
			             
		            	doi: 10.11883/bzycj-2024-0070 
    					
						
			        
						摘要: 
为了反映爆轰驱动下硅橡胶发生冲击分解反应的物理过程,提出了一种简易的硅橡胶冲击分解模型。基于该模型,对爆轰驱动含硅橡胶夹层钢板实验进行了模拟,并分析解读了钢板的自由面速度。结果表明,实验中硅橡胶发生了冲击分解反应,导致钢板的自由面速度曲线出现了首次起跳中间速度平台及首次起跳速度峰值降低的现象。受硅橡胶冲击分解影响,首次入射波压力将在临界冲击分解压力附近弛豫一段时间,再继续升高至最高压力。该压力波作用于钢板的自由面后,出现了自由面速度在中间速度平台停留一段时间,之后继续升高至速度峰值的现象。硅橡胶冲击分解后的气相物质可压缩性较高,首次加载波内较多的能量被用于压缩气体做功,导致首次波传播至自由面时能量衰减,峰值压力降低,首次起跳速度峰值降低。
			   
			        
			        
			        
				  
				为了反映爆轰驱动下硅橡胶发生冲击分解反应的物理过程,提出了一种简易的硅橡胶冲击分解模型。基于该模型,对爆轰驱动含硅橡胶夹层钢板实验进行了模拟,并分析解读了钢板的自由面速度。结果表明,实验中硅橡胶发生了冲击分解反应,导致钢板的自由面速度曲线出现了首次起跳中间速度平台及首次起跳速度峰值降低的现象。受硅橡胶冲击分解影响,首次入射波压力将在临界冲击分解压力附近弛豫一段时间,再继续升高至最高压力。该压力波作用于钢板的自由面后,出现了自由面速度在中间速度平台停留一段时间,之后继续升高至速度峰值的现象。硅橡胶冲击分解后的气相物质可压缩性较高,首次加载波内较多的能量被用于压缩气体做功,导致首次波传播至自由面时能量衰减,峰值压力降低,首次起跳速度峰值降低。
			            2025, 45(1): 015101.
			             
		            	doi: 10.11883/bzycj-2024-0053 
    					
						
			        
						摘要: 
为综合评估战后建筑结构的毁伤等级,针对爆炸作用下典型地面建筑,即含填充墙钢筋混凝土(reinforced concrete,RC)框架结构,提出了损伤破坏和倒塌的高精度数值仿真分析方法,并通过RC结构爆炸试验、倒塌事故和砌体墙爆炸试验进行了充分验证;开展了典型3层原型RC框架结构在不同爆炸当量(25~200 kg TNT)下的内爆炸数值仿真,定量分析了爆炸冲击波在建筑结构内部的传播、结构损伤破坏和墙体飞散等。爆炸作用下建筑结构的高效毁伤评估流程为:结合镜像爆源和非线性叠加原理确定内爆炸荷载,基于等效单自由度方法评估梁、板、柱及墙体构件的毁伤等级,引入构件重要性系数加权确定房间毁伤等级,考虑房间功能及位置重要性评估整体结构的毁伤等级。高精度数值仿真分析与毁伤评估方法计算的典型RC框架结构的整体毁伤等级一致,即在25、100和200 kg TNT爆炸下RC结构分别呈现轻度、中度和重度毁伤,毁伤评估方法可缩短99%以上的计算耗时,兼具可靠性与时效性。
			   
			        
			        
			        
				  
				为综合评估战后建筑结构的毁伤等级,针对爆炸作用下典型地面建筑,即含填充墙钢筋混凝土(reinforced concrete,RC)框架结构,提出了损伤破坏和倒塌的高精度数值仿真分析方法,并通过RC结构爆炸试验、倒塌事故和砌体墙爆炸试验进行了充分验证;开展了典型3层原型RC框架结构在不同爆炸当量(25~200 kg TNT)下的内爆炸数值仿真,定量分析了爆炸冲击波在建筑结构内部的传播、结构损伤破坏和墙体飞散等。爆炸作用下建筑结构的高效毁伤评估流程为:结合镜像爆源和非线性叠加原理确定内爆炸荷载,基于等效单自由度方法评估梁、板、柱及墙体构件的毁伤等级,引入构件重要性系数加权确定房间毁伤等级,考虑房间功能及位置重要性评估整体结构的毁伤等级。高精度数值仿真分析与毁伤评估方法计算的典型RC框架结构的整体毁伤等级一致,即在25、100和200 kg TNT爆炸下RC结构分别呈现轻度、中度和重度毁伤,毁伤评估方法可缩短99%以上的计算耗时,兼具可靠性与时效性。
			            2025, 45(1): 015201.
			             
		            	doi: 10.11883/bzycj-2024-0023 
    					
						
			        
						摘要: 
混凝土介质中多点同时或彼此微差爆炸可产生复杂的地冲击波叠加聚集效应,从而使特定作用区域内的地冲击波压力显著增强,大大提升爆炸的毁伤威力。为获取多点爆源不同排布方式下爆炸聚集效应及地冲击传播衰减规律,进行了混凝土中单点和七点聚集爆炸的现场和数值模拟试验,基于正交设计方法和灰色系统理论对多点起爆参数进行了优化设计,建立了比例装药间距、比例有源装药高度和比例起爆微差等因素与不同爆心距下峰值压力间的灰色关联度系数及灰色关联度,确定了起爆参数的优选组合,并开展了数值模拟试验检验。分析结果表明:影响地冲击聚集效应的主要因素为比例装药间距,其次为比例起爆微差,最次为比例有源装药高度。在本模拟试验情况下,采用优化的起爆参数时,即在比例装药间距为0.549 m/kg1/3、比例起爆微差为0.239 m/kg1/3和比例有源装药高度为0 m/kg1/3时,地冲击波聚集效应达到最佳,最大可达单点同等装药量产生的地冲击压力的4.7倍。
			   
			        
			        
			        
				  
				混凝土介质中多点同时或彼此微差爆炸可产生复杂的地冲击波叠加聚集效应,从而使特定作用区域内的地冲击波压力显著增强,大大提升爆炸的毁伤威力。为获取多点爆源不同排布方式下爆炸聚集效应及地冲击传播衰减规律,进行了混凝土中单点和七点聚集爆炸的现场和数值模拟试验,基于正交设计方法和灰色系统理论对多点起爆参数进行了优化设计,建立了比例装药间距、比例有源装药高度和比例起爆微差等因素与不同爆心距下峰值压力间的灰色关联度系数及灰色关联度,确定了起爆参数的优选组合,并开展了数值模拟试验检验。分析结果表明:影响地冲击聚集效应的主要因素为比例装药间距,其次为比例起爆微差,最次为比例有源装药高度。在本模拟试验情况下,采用优化的起爆参数时,即在比例装药间距为0.549 m/kg1/3、比例起爆微差为0.239 m/kg1/3和比例有源装药高度为0 m/kg1/3时,地冲击波聚集效应达到最佳,最大可达单点同等装药量产生的地冲击压力的4.7倍。
			            2025, 45(1): 015202.
			             
		            	doi: 10.11883/bzycj-2024-0064 
    					
						
			        
						摘要: 
殉爆现象会影响露天矿台阶爆破作业安全、边坡稳定性和爆破效果。在炸药冲击起爆机理基础上,并结合露天矿实际富水裂隙岩体台阶爆破振动监测结果,通过对比爆破振动信号波动差异来判别殉爆现象。为研究殉爆产生的机理和防殉爆方法,采用数值模拟和现场试验分析主发药量、裂隙宽度及药包之间的距离等参数对被发药包孔壁压力的影响。结果表明:孔壁冲击压力随着装药耦合系数的减小、炮孔间裂隙宽度(0.25~1.00 cm)的增大以及炮孔间距离的减小而提高。在裂隙位置装药使用阻波管、充填岩粉或设置空气间隔器,能显著降低通过富水裂隙传递到被发炮孔的冲击压力,并使其低于乳化炸药的起爆压力临界值。当炮孔内只有单条裂隙时,选择填充岩粉是便捷且有效防殉爆方法;当炮孔内有多条裂隙时,该试验条件下,炮孔内放置厚度为2.6 mm的阻波管是最佳防殉爆方法,并能保证爆破效果。
			   
			        
			        
			        
				  
				殉爆现象会影响露天矿台阶爆破作业安全、边坡稳定性和爆破效果。在炸药冲击起爆机理基础上,并结合露天矿实际富水裂隙岩体台阶爆破振动监测结果,通过对比爆破振动信号波动差异来判别殉爆现象。为研究殉爆产生的机理和防殉爆方法,采用数值模拟和现场试验分析主发药量、裂隙宽度及药包之间的距离等参数对被发药包孔壁压力的影响。结果表明:孔壁冲击压力随着装药耦合系数的减小、炮孔间裂隙宽度(0.25~1.00 cm)的增大以及炮孔间距离的减小而提高。在裂隙位置装药使用阻波管、充填岩粉或设置空气间隔器,能显著降低通过富水裂隙传递到被发炮孔的冲击压力,并使其低于乳化炸药的起爆压力临界值。当炮孔内只有单条裂隙时,选择填充岩粉是便捷且有效防殉爆方法;当炮孔内有多条裂隙时,该试验条件下,炮孔内放置厚度为2.6 mm的阻波管是最佳防殉爆方法,并能保证爆破效果。

 
    						 
	   			
 PDF
PDF  本文被引
本文被引 在线阅读
在线阅读 
    						