2021年 41卷 第6期
2021, 41(6): 062201.
doi: 10.11883/bzycj-2020-0381
摘要:
不耦合装药爆破可有效降低孔壁峰值压力,改善爆破效果。针对不同耦合介质爆破时爆炸能量的传递问题,考虑岩体应变率效应,理论分析了爆炸作用下岩体变形及破坏特征,得到不同耦合介质爆破时理论爆炸能量的传递效率,并结合数值模拟研究了岩体性质、炸药类别及不耦合装药系数对不同耦合介质爆破时爆炸能量传递效率差异的影响。研究结果表明,爆炸能量传递效率与耦合介质相关,装药结构相同时,水耦合爆破比空气耦合爆破爆炸能量传递效率高;不同耦合介质爆破爆炸能量传递效率的差异受爆破岩体、炸药性质及不耦合装药系数等因素影响;装药系数相同耦合介质不同的爆破,岩体强度越高,不同耦合介质爆炸能量传递效率差别越大;岩体性质相同时,不同耦合介质爆破间能量传递效率差异随不耦合装药系数的增大而增大,对于乳化炸药在粉砂岩中的爆破,不耦合装药系数由1.28增至3.44时,水耦合爆破传递入周围岩体的能量由空气耦合爆破的1.45倍增至6.52倍。研究结果可对优化爆破设计、改善爆炸能量分布提供参考。
不耦合装药爆破可有效降低孔壁峰值压力,改善爆破效果。针对不同耦合介质爆破时爆炸能量的传递问题,考虑岩体应变率效应,理论分析了爆炸作用下岩体变形及破坏特征,得到不同耦合介质爆破时理论爆炸能量的传递效率,并结合数值模拟研究了岩体性质、炸药类别及不耦合装药系数对不同耦合介质爆破时爆炸能量传递效率差异的影响。研究结果表明,爆炸能量传递效率与耦合介质相关,装药结构相同时,水耦合爆破比空气耦合爆破爆炸能量传递效率高;不同耦合介质爆破爆炸能量传递效率的差异受爆破岩体、炸药性质及不耦合装药系数等因素影响;装药系数相同耦合介质不同的爆破,岩体强度越高,不同耦合介质爆炸能量传递效率差别越大;岩体性质相同时,不同耦合介质爆破间能量传递效率差异随不耦合装药系数的增大而增大,对于乳化炸药在粉砂岩中的爆破,不耦合装药系数由1.28增至3.44时,水耦合爆破传递入周围岩体的能量由空气耦合爆破的1.45倍增至6.52倍。研究结果可对优化爆破设计、改善爆炸能量分布提供参考。
2021, 41(6): 062301.
doi: 10.11883/bzycj-2020-0157
摘要:
为了揭示发射装药破碎引起的膛炸现象,急需进行相应装药结构下发射装药挤压破碎数值模拟研究。以硝胺花边十九孔发射药为研究对象,基于离散单元法建立了发射装药挤压破碎模拟系统,同时进行了发射装药动态挤压破碎实验,通过数值模拟与实验获得了不同冲击载荷下的破碎发射装药和挤压应力;分别对获得的破碎发射装药进行了密闭爆发器数值模拟和实验。结果表明:模拟与实验获得的发射装药挤压应力时间历程、密闭爆发器压力时间曲线和起始动态活度比的一致性较好,实验验证了发射装药挤压破碎模拟系统的有效性及合理性。该模拟系统具有重大工程应用价值,为高能发射装药冲击破碎过程和发射装药发射安全性研究奠定了基础。
为了揭示发射装药破碎引起的膛炸现象,急需进行相应装药结构下发射装药挤压破碎数值模拟研究。以硝胺花边十九孔发射药为研究对象,基于离散单元法建立了发射装药挤压破碎模拟系统,同时进行了发射装药动态挤压破碎实验,通过数值模拟与实验获得了不同冲击载荷下的破碎发射装药和挤压应力;分别对获得的破碎发射装药进行了密闭爆发器数值模拟和实验。结果表明:模拟与实验获得的发射装药挤压应力时间历程、密闭爆发器压力时间曲线和起始动态活度比的一致性较好,实验验证了发射装药挤压破碎模拟系统的有效性及合理性。该模拟系统具有重大工程应用价值,为高能发射装药冲击破碎过程和发射装药发射安全性研究奠定了基础。
2021, 41(6): 062901.
doi: 10.11883/bzycj-2020-0193
摘要:
炸药在密闭空间内爆炸时的爆炸载荷与在敞开环境中有很大差异,在密闭空间内,TNT炸药的爆炸产物能够与周围空气充分混合并发生燃烧反应进而释放额外的能量,使密闭空间内的反射冲击波及准静态压力均明显增加。为探究不同气体环境对密闭空间内爆炸载荷的抑制效应,开展了3种不同药量的TNT分别在空气、水雾和氮气环境密闭空间内的爆炸实验研究,通过理论计算和实验对比分析了密闭空间内的爆炸载荷压力、温度及受载钢板试件响应特性。结果表明,水雾和氮气均能有效降低空间内的准静态压力和温度,对准静态压力的平均降幅分别为36.0%和51.7%,对温度的平均降幅分别为42.6%和40.3%;在水雾和氮气环境中的爆炸载荷作用下,钢板试件动态响应较空气环境中显著降低,其中160 g药量下,水雾和氮气环境中钢板试件的最终变形分别减少了15.9%和23.5%,氮气的减弱效果优于水雾;水雾和氮气均能及时有效地抑制封闭空间内的爆炸载荷,降低结构的损伤程度。
炸药在密闭空间内爆炸时的爆炸载荷与在敞开环境中有很大差异,在密闭空间内,TNT炸药的爆炸产物能够与周围空气充分混合并发生燃烧反应进而释放额外的能量,使密闭空间内的反射冲击波及准静态压力均明显增加。为探究不同气体环境对密闭空间内爆炸载荷的抑制效应,开展了3种不同药量的TNT分别在空气、水雾和氮气环境密闭空间内的爆炸实验研究,通过理论计算和实验对比分析了密闭空间内的爆炸载荷压力、温度及受载钢板试件响应特性。结果表明,水雾和氮气均能有效降低空间内的准静态压力和温度,对准静态压力的平均降幅分别为36.0%和51.7%,对温度的平均降幅分别为42.6%和40.3%;在水雾和氮气环境中的爆炸载荷作用下,钢板试件动态响应较空气环境中显著降低,其中160 g药量下,水雾和氮气环境中钢板试件的最终变形分别减少了15.9%和23.5%,氮气的减弱效果优于水雾;水雾和氮气均能及时有效地抑制封闭空间内的爆炸载荷,降低结构的损伤程度。
2021, 41(6): 062902.
doi: 10.11883/bzycj-2020-0200
摘要:
为研究内弹道初始阶段中心点火管燃气在膛内药床中的流动特性和传播规律,设计了可视化点传火实验平台,并进行了膛内假药床的点传火实验。基于加权本质无震荡(weighted essentially non-oscillatory, WENO)格式,构造了膛内轴对称二维内弹道两相流模型,对膛内燃气在假药床中的流动过程进行数值模拟。计算结果与可视化实验结果符合较好,全局压力平均误差为5.35%。表明数值计算准确地描述了燃气流动特性,完整地呈现了点火管燃气在假药床中的发展过程。在点火初始阶段,膛内压力径向效应明显,气相沿径向传播较快,药床药粒基本不会发生运动;随着燃气逐渐在膛内传播,膛内压力呈现径向一致、轴向梯度分布的特征,在压力梯度作用下,气相轴向速度开始占据主导,径向速度在膛底和中部区域减小为零,而固相速度随气相速度变化而变化;气相在到达弹底前,由于固相颗粒的壅塞,会提前出现速度反向波动现象。
为研究内弹道初始阶段中心点火管燃气在膛内药床中的流动特性和传播规律,设计了可视化点传火实验平台,并进行了膛内假药床的点传火实验。基于加权本质无震荡(weighted essentially non-oscillatory, WENO)格式,构造了膛内轴对称二维内弹道两相流模型,对膛内燃气在假药床中的流动过程进行数值模拟。计算结果与可视化实验结果符合较好,全局压力平均误差为5.35%。表明数值计算准确地描述了燃气流动特性,完整地呈现了点火管燃气在假药床中的发展过程。在点火初始阶段,膛内压力径向效应明显,气相沿径向传播较快,药床药粒基本不会发生运动;随着燃气逐渐在膛内传播,膛内压力呈现径向一致、轴向梯度分布的特征,在压力梯度作用下,气相轴向速度开始占据主导,径向速度在膛底和中部区域减小为零,而固相速度随气相速度变化而变化;气相在到达弹底前,由于固相颗粒的壅塞,会提前出现速度反向波动现象。
2021, 41(6): 063101.
doi: 10.11883/bzycj-2020-0269
摘要:
采用含有三角脉冲载荷和准静压载荷的爆炸载荷加载,利用单自由度模型对无限长圆柱壳体(即等效平面应变圆环)的弹性动态响应进行了力学分析,获得了径向位移响应解析解及准静压阶段弹性响应振幅的解析解。基于所得解析解,通过控制变量法分析了载荷压力及载荷分界点时刻(即三角脉冲载荷与准静压载荷作用的分界点时刻)对径向位移最大值、准静压阶段弹性响应振幅的影响规律,更加深入地研究了爆炸载荷对结构响应的影响。本文主要从准静压幅值与三角脉冲峰值的比值以及载荷分界点时刻两个主要特征参数入手,结合结构的呼吸振动频率来研究爆炸载荷对无限长圆柱壳弹性动态响应的影响。在研究中发现存在临界时刻:当载荷分界点时刻早于临界时刻时,径向位移最大值出现在准静压阶段;当载荷分界点时刻晚于临界时刻时,获得了便于直观判断径向位移达到最大值时所处载荷阶段的分区图。基于前述解析解的分析,还获得了不同影响因素导致的振幅变化的单调性分区图,便于判别载荷压力的变化所致的准静压阶段振幅的增减趋势。通过研究获得的爆炸压力载荷对结构响应的影响规律,可为爆炸容器设计以及结构防护基础研究提供参考。
采用含有三角脉冲载荷和准静压载荷的爆炸载荷加载,利用单自由度模型对无限长圆柱壳体(即等效平面应变圆环)的弹性动态响应进行了力学分析,获得了径向位移响应解析解及准静压阶段弹性响应振幅的解析解。基于所得解析解,通过控制变量法分析了载荷压力及载荷分界点时刻(即三角脉冲载荷与准静压载荷作用的分界点时刻)对径向位移最大值、准静压阶段弹性响应振幅的影响规律,更加深入地研究了爆炸载荷对结构响应的影响。本文主要从准静压幅值与三角脉冲峰值的比值以及载荷分界点时刻两个主要特征参数入手,结合结构的呼吸振动频率来研究爆炸载荷对无限长圆柱壳弹性动态响应的影响。在研究中发现存在临界时刻:当载荷分界点时刻早于临界时刻时,径向位移最大值出现在准静压阶段;当载荷分界点时刻晚于临界时刻时,获得了便于直观判断径向位移达到最大值时所处载荷阶段的分区图。基于前述解析解的分析,还获得了不同影响因素导致的振幅变化的单调性分区图,便于判别载荷压力的变化所致的准静压阶段振幅的增减趋势。通过研究获得的爆炸压力载荷对结构响应的影响规律,可为爆炸容器设计以及结构防护基础研究提供参考。
2021, 41(6): 063102.
doi: 10.11883/bzycj-2020-0121
摘要:
动态加载下,混凝土中钢筋的阻裂性能一直是冲击动力学研究领域的难点之一。利用落锤试验机对含缺口的混凝土少筋梁进行三点弯曲试验,分析了不同加载速率下梁的冲击力、跨中挠度、混凝土起裂应变率和钢筋应变。实验结果表明:在一定加载速率范围内(0.885~1.252 m/s),混凝土预制裂缝尖端的裂纹起裂应变率、冲击力最大值、跨中挠度峰值与加载速率呈线性增长关系,当加载速率增至1.771 m/s时,增长趋势减弱;冲击力卸载时,钢筋部分弹性变形恢复导致裂纹产生闭合,裂纹嘴张开位移逐渐减小至恒定值,对裂纹嘴张开位移峰值前的部分曲线进行拟合后得到裂纹嘴张开位移率,结果表明裂纹嘴张开位移率随加载速率的提高而线性增大。
动态加载下,混凝土中钢筋的阻裂性能一直是冲击动力学研究领域的难点之一。利用落锤试验机对含缺口的混凝土少筋梁进行三点弯曲试验,分析了不同加载速率下梁的冲击力、跨中挠度、混凝土起裂应变率和钢筋应变。实验结果表明:在一定加载速率范围内(0.885~1.252 m/s),混凝土预制裂缝尖端的裂纹起裂应变率、冲击力最大值、跨中挠度峰值与加载速率呈线性增长关系,当加载速率增至1.771 m/s时,增长趋势减弱;冲击力卸载时,钢筋部分弹性变形恢复导致裂纹产生闭合,裂纹嘴张开位移逐渐减小至恒定值,对裂纹嘴张开位移峰值前的部分曲线进行拟合后得到裂纹嘴张开位移率,结果表明裂纹嘴张开位移率随加载速率的提高而线性增大。
2021, 41(6): 063301.
doi: 10.11883/bzycj-2020-0165
摘要:
活性粉末混凝土(reactive powder concrete,RPC)具有超高的强度和优异的阻裂性能。为了研究RPC在多次冲击荷载下的损伤规律,采用25 mm口径滑膛炮对直径为600 mm、高600 mm的RPC圆柱形靶体进行了多次侵彻实验,得到了每次侵彻后靶体的破坏数据,并根据实验数据确定了Forrestal经验公式中的相关系数。基于K&C本构模型和现有RPC基本力学性能的实验数据,修正了K&C模型的强度面参数、损伤参数、状态方程参数、损伤演化模型以及应变率效应相关参数,系统地确定了RPC的K&C模型参数。采用LS-DYNA软件中的重启动功能模拟了弹体多次侵彻RPC靶体的破坏结果,模拟结果与实验结果基本一致,验证了模拟方法的有效性。对长2 200 mm、宽2 200 mm、高1 260 mm的RPC靶体抗侵彻实验进行了数值预测,得到了侵彻深度与弹速之间的关系、弹体贯穿靶体时的极限速度以及弹体侵彻过程中的峰值加速度。
活性粉末混凝土(reactive powder concrete,RPC)具有超高的强度和优异的阻裂性能。为了研究RPC在多次冲击荷载下的损伤规律,采用25 mm口径滑膛炮对直径为600 mm、高600 mm的RPC圆柱形靶体进行了多次侵彻实验,得到了每次侵彻后靶体的破坏数据,并根据实验数据确定了Forrestal经验公式中的相关系数。基于K&C本构模型和现有RPC基本力学性能的实验数据,修正了K&C模型的强度面参数、损伤参数、状态方程参数、损伤演化模型以及应变率效应相关参数,系统地确定了RPC的K&C模型参数。采用LS-DYNA软件中的重启动功能模拟了弹体多次侵彻RPC靶体的破坏结果,模拟结果与实验结果基本一致,验证了模拟方法的有效性。对长2 200 mm、宽2 200 mm、高1 260 mm的RPC靶体抗侵彻实验进行了数值预测,得到了侵彻深度与弹速之间的关系、弹体贯穿靶体时的极限速度以及弹体侵彻过程中的峰值加速度。
2021, 41(6): 063302.
doi: 10.11883/bzycj-2020-0309
摘要:
为研究钨球对防弹衣加人体等效靶的侵彻性能,利用12.7 mm弹道枪对钨球侵彻三级软体防弹衣加25 mm厚红松靶开展了实验研究;在此基础上,利用LS-DYNA3D软件对侵彻过程及破坏机理进行了分析,并研究了钨球质量变化对弹道极限及靶板能量吸收的影响;依据量纲分析建立了钨球侵彻防弹衣加红松木复合靶的穿靶能量公式,推导了钨球的弹道极限公式。研究结果表明:0.17、0.21、0.44 g的小钨球侵彻防弹衣加红松木复合靶的弹道极限分别为742.3、692.9、570.1 m/s;侵彻过程中,防弹衣以基体开裂、纤维断裂和拉伸分层破坏为主,纤维层面内出现类似“十”字型的损伤,松木靶以剪切和冲塞剥落破坏为主;随着钨球质量的增加,弹道极限呈幂函数形式降低,靶板的能量吸收率逐渐降低;钨球穿靶能量公式及弹道极限公式的计算结果与实验结果吻合良好,可分别用于计算不同侵彻速度下的穿靶能量和不同质量钨球的弹道极限。
为研究钨球对防弹衣加人体等效靶的侵彻性能,利用12.7 mm弹道枪对钨球侵彻三级软体防弹衣加25 mm厚红松靶开展了实验研究;在此基础上,利用LS-DYNA3D软件对侵彻过程及破坏机理进行了分析,并研究了钨球质量变化对弹道极限及靶板能量吸收的影响;依据量纲分析建立了钨球侵彻防弹衣加红松木复合靶的穿靶能量公式,推导了钨球的弹道极限公式。研究结果表明:0.17、0.21、0.44 g的小钨球侵彻防弹衣加红松木复合靶的弹道极限分别为742.3、692.9、570.1 m/s;侵彻过程中,防弹衣以基体开裂、纤维断裂和拉伸分层破坏为主,纤维层面内出现类似“十”字型的损伤,松木靶以剪切和冲塞剥落破坏为主;随着钨球质量的增加,弹道极限呈幂函数形式降低,靶板的能量吸收率逐渐降低;钨球穿靶能量公式及弹道极限公式的计算结果与实验结果吻合良好,可分别用于计算不同侵彻速度下的穿靶能量和不同质量钨球的弹道极限。
2021, 41(6): 064101.
doi: 10.11883/bzycj-2020-0138
摘要:
基于液压伺服高速加载系统,发展了一种材料双轴拉伸力学性能测试技术。利用锥面接触导向驱动方法,把加载锤竖直方向的驱动力转化为水平方向的双轴驱动力,从而实现对十字形试样平面双轴加载。借助有限元数值模拟手段优化了锥面接触角和十字形试样尺寸。当接触锥角为45°时,既有较好的水平驱动转化效率,同时又保持较小的接触力,确保水平驱动加载各组件在弹性变形范围内,可多次重复使用。确定了加载臂狭缝个数、狭缝与减薄区边缘长度和标距段厚度等试样设计关键参数,在十字形试样测试标距段内实现了均匀变形。设计了测力夹持一体化导杆和非接触光学全场应变测试系统,准确获得了试样的应力和应变。利用此平面双轴拉伸加载装置,开展2024-T351铝合金板单轴拉伸实验和激光探测同步性验证实验,验证装置设计的可行性;开展铝合金板材在不同加载速率下的双轴拉伸实验,得到在双轴加载下铝合金板材应力应变曲线,并与单轴加载下实验结果进行了对比分析。
基于液压伺服高速加载系统,发展了一种材料双轴拉伸力学性能测试技术。利用锥面接触导向驱动方法,把加载锤竖直方向的驱动力转化为水平方向的双轴驱动力,从而实现对十字形试样平面双轴加载。借助有限元数值模拟手段优化了锥面接触角和十字形试样尺寸。当接触锥角为45°时,既有较好的水平驱动转化效率,同时又保持较小的接触力,确保水平驱动加载各组件在弹性变形范围内,可多次重复使用。确定了加载臂狭缝个数、狭缝与减薄区边缘长度和标距段厚度等试样设计关键参数,在十字形试样测试标距段内实现了均匀变形。设计了测力夹持一体化导杆和非接触光学全场应变测试系统,准确获得了试样的应力和应变。利用此平面双轴拉伸加载装置,开展2024-T351铝合金板单轴拉伸实验和激光探测同步性验证实验,验证装置设计的可行性;开展铝合金板材在不同加载速率下的双轴拉伸实验,得到在双轴加载下铝合金板材应力应变曲线,并与单轴加载下实验结果进行了对比分析。
2021, 41(6): 064201.
doi: 10.11883/bzycj-2020-0156
摘要:
简要介绍了Railgun3D程序的主要控制方程,使用Railgun3D程序对串联增强型轨道炮发射过程进行了模拟,详细分析了一复杂构型的电枢在梯形驱动电流加载外轨道/电枢上电磁场的演化过程,对电流涡结构、电流趋肤效应进行了讨论。计算中观察到了不同于普通单轨的现象,由于增强轨道的存在,驱动电流在增强轨道上产生了较大的磁场,由于电磁感应,在内轨道炮口一端上有显著的磁场和电流分布,感应电流的大小依赖于驱动电流的变化率。计算给出了多个时刻电枢附近电流涡结构的演化过程,并在电流下降段,电枢后表面上电流出现反向,指出该效应可能是导致电枢与轨道接触应力不足、甚至出现电枢转捩的重要因素。通过中心对称面上电流密度云图,模拟结果显示出磁扩散与速度趋肤效应在整个过程中的相互竞争决定了电流的分布形态。
简要介绍了Railgun3D程序的主要控制方程,使用Railgun3D程序对串联增强型轨道炮发射过程进行了模拟,详细分析了一复杂构型的电枢在梯形驱动电流加载外轨道/电枢上电磁场的演化过程,对电流涡结构、电流趋肤效应进行了讨论。计算中观察到了不同于普通单轨的现象,由于增强轨道的存在,驱动电流在增强轨道上产生了较大的磁场,由于电磁感应,在内轨道炮口一端上有显著的磁场和电流分布,感应电流的大小依赖于驱动电流的变化率。计算给出了多个时刻电枢附近电流涡结构的演化过程,并在电流下降段,电枢后表面上电流出现反向,指出该效应可能是导致电枢与轨道接触应力不足、甚至出现电枢转捩的重要因素。通过中心对称面上电流密度云图,模拟结果显示出磁扩散与速度趋肤效应在整个过程中的相互竞争决定了电流的分布形态。
2021, 41(6): 064901.
doi: 10.11883/bzcyj-2020-0185
摘要:
基于轮廓爆破孔壁压力峰值计算方法的相关研究,充分考虑空气冲击波的传播与爆轰产物膨胀的过程,理论分析了小不耦合系数装药爆破过程中空气冲击波与炮孔壁的相互作用,建立了三维空气介质径向不耦合装药单孔爆破有限元模型,研究了工程爆破中常用的多种小不耦合系数装药组合工况下,炸药单点起爆后的炮孔壁压力峰值,并获得了相应工况下的孔壁压力峰值较爆生气体准静态等熵膨胀压力的压力增大倍数。结果表明:小不耦合系数装药爆破过程中,爆轰产物参数会对空气冲击波波后物质参数产生显著影响,揭示了小不耦合系数装药爆破与轮廓爆破在孔壁压力峰值计算方法上的本质差异;柱状装药结构爆轰波沿轴向传播使得空气冲击波撞击炮孔壁时存在叠加效应,孔壁压力峰值也相应增大,通过统计分析不同炸药类型、不同岩石类型工况下压力增大倍数与不耦合系数的关系,发现压力增大倍数随不耦合系数的增大近似呈线性增长;基于理论推导结果及常用爆破孔壁压力峰值计算形式,综合考虑炸药性能、孔壁岩石介质条件、不耦合装药系数对空气冲击波撞击炮孔壁后压力增大倍数的影响,提出了不耦合系数较小时爆破孔壁压力峰值计算方法。
基于轮廓爆破孔壁压力峰值计算方法的相关研究,充分考虑空气冲击波的传播与爆轰产物膨胀的过程,理论分析了小不耦合系数装药爆破过程中空气冲击波与炮孔壁的相互作用,建立了三维空气介质径向不耦合装药单孔爆破有限元模型,研究了工程爆破中常用的多种小不耦合系数装药组合工况下,炸药单点起爆后的炮孔壁压力峰值,并获得了相应工况下的孔壁压力峰值较爆生气体准静态等熵膨胀压力的压力增大倍数。结果表明:小不耦合系数装药爆破过程中,爆轰产物参数会对空气冲击波波后物质参数产生显著影响,揭示了小不耦合系数装药爆破与轮廓爆破在孔壁压力峰值计算方法上的本质差异;柱状装药结构爆轰波沿轴向传播使得空气冲击波撞击炮孔壁时存在叠加效应,孔壁压力峰值也相应增大,通过统计分析不同炸药类型、不同岩石类型工况下压力增大倍数与不耦合系数的关系,发现压力增大倍数随不耦合系数的增大近似呈线性增长;基于理论推导结果及常用爆破孔壁压力峰值计算形式,综合考虑炸药性能、孔壁岩石介质条件、不耦合装药系数对空气冲击波撞击炮孔壁后压力增大倍数的影响,提出了不耦合系数较小时爆破孔壁压力峰值计算方法。
2021, 41(6): 064902.
doi: 10.11883/bzycj-2020-0194
摘要:
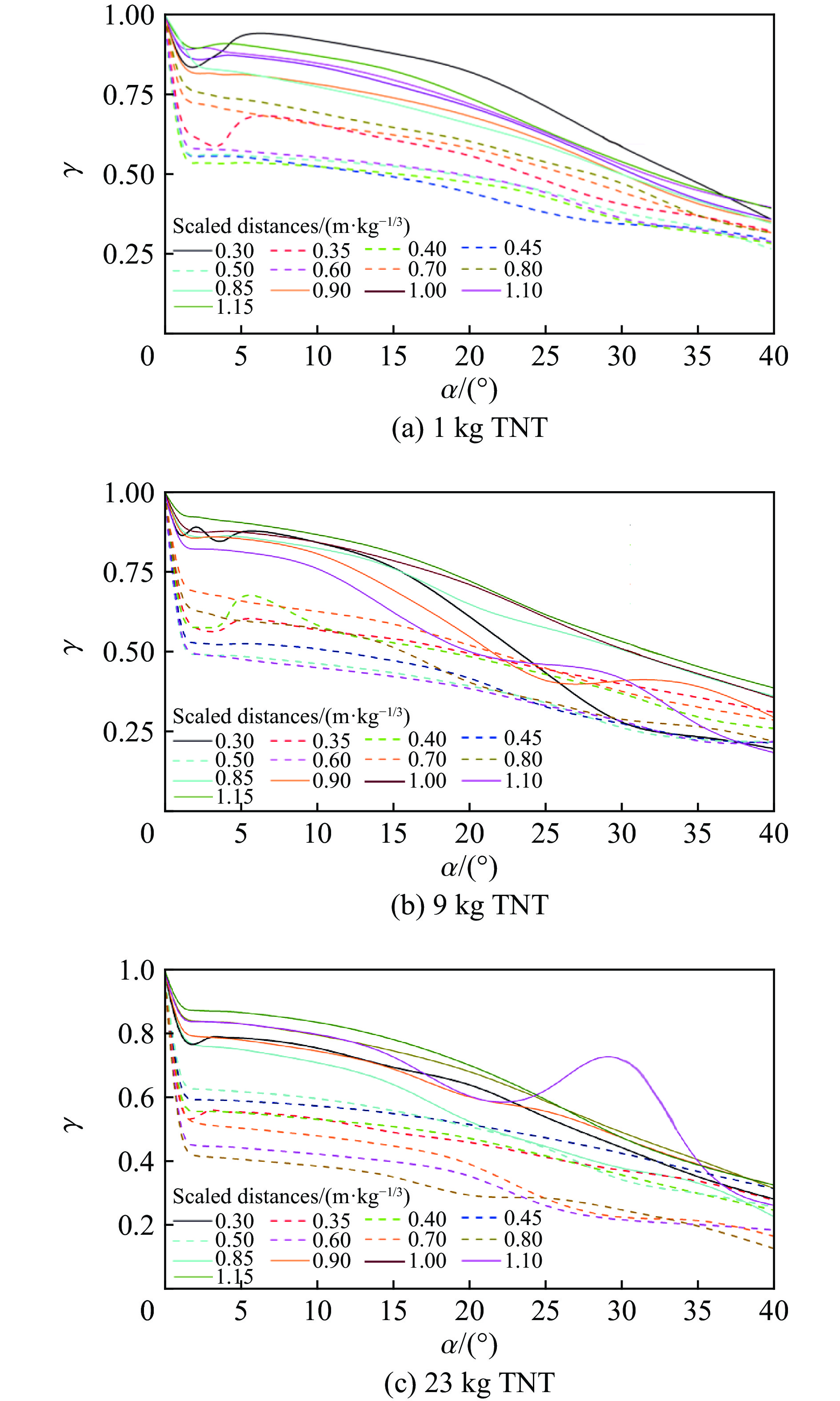
如何准确界定“近距离爆炸(close-in explosion)”一直是防护工程研究领域的热点。本文中基于已被充分验证的精细化有限元模型,研究了TNT球形装药自由场爆炸冲击波传播与爆轰产物高速膨胀共同作用的特点和规律,发现在比例爆距小于0.80 m/kg1/3的范围内,爆轰产物对刚性壁面的爆炸荷载影响显著,提出球形装药近距离爆炸的比例爆距界定标准为0.30~0.80 m/kg1/3。研究发现,在近距离爆炸下,爆炸波在入射角为0°~5°范围内的刚性壁面反射荷载峰值会出现急剧下降的现象,这是由爆轰产物喷射的不均匀性和随机性导致的;近距离爆炸下,刚性壁面反射超压出现了两个峰值的现象,这是由冲击波和爆轰产物分别与刚性壁面相互作用导致的。提出了近距离爆炸情况下两个荷载峰值的计算公式,以及适合工程结构响应计算的简化荷载模型;揭示了近距离爆炸下刚性壁面反射超压的分布规律。
如何准确界定“近距离爆炸(close-in explosion)”一直是防护工程研究领域的热点。本文中基于已被充分验证的精细化有限元模型,研究了TNT球形装药自由场爆炸冲击波传播与爆轰产物高速膨胀共同作用的特点和规律,发现在比例爆距小于0.80 m/kg1/3的范围内,爆轰产物对刚性壁面的爆炸荷载影响显著,提出球形装药近距离爆炸的比例爆距界定标准为0.30~0.80 m/kg1/3。研究发现,在近距离爆炸下,爆炸波在入射角为0°~5°范围内的刚性壁面反射荷载峰值会出现急剧下降的现象,这是由爆轰产物喷射的不均匀性和随机性导致的;近距离爆炸下,刚性壁面反射超压出现了两个峰值的现象,这是由冲击波和爆轰产物分别与刚性壁面相互作用导致的。提出了近距离爆炸情况下两个荷载峰值的计算公式,以及适合工程结构响应计算的简化荷载模型;揭示了近距离爆炸下刚性壁面反射超压的分布规律。
2021, 41(6): 065101.
doi: 10.11883/bzycj-2020-0168
摘要:
针对船舶冰区航行受冰体撞击结构损伤问题,以一种涉冰带船肩处船体板架结构为原型,提出了一种方槽型纵骨船舶抗冰结构型式。利用落锤冲击实验测试系统,对抗冰和原型加筋板架在相同冰体撞击工况下的结构动响应进行了实验研究,采用MSC.Dytran程序对板架受冰体撞击过程开展数值模拟,并与实验结果进行对比。结果表明,相同冰体撞击工况下,抗冰板架结构产生的撞击力比原型板架略大,冰体造成的抗冰板架结构最大凹陷深度小于原型板架。从船体外板结构损伤程度及对船体内部构件、设备防护作用的角度考虑,抗冰结构较原型具有一定的抗冰效果。研究成果可为冰区航行船或破冰船的抗冰结构设计提供参考。
针对船舶冰区航行受冰体撞击结构损伤问题,以一种涉冰带船肩处船体板架结构为原型,提出了一种方槽型纵骨船舶抗冰结构型式。利用落锤冲击实验测试系统,对抗冰和原型加筋板架在相同冰体撞击工况下的结构动响应进行了实验研究,采用MSC.Dytran程序对板架受冰体撞击过程开展数值模拟,并与实验结果进行对比。结果表明,相同冰体撞击工况下,抗冰板架结构产生的撞击力比原型板架略大,冰体造成的抗冰板架结构最大凹陷深度小于原型板架。从船体外板结构损伤程度及对船体内部构件、设备防护作用的角度考虑,抗冰结构较原型具有一定的抗冰效果。研究成果可为冰区航行船或破冰船的抗冰结构设计提供参考。
2021, 41(6): 065102.
doi: 10.11883/bzycj-2020-0170
摘要:
为研究输电线路爆破除冰效果及动态特性,进行了50 m孤立档输电线路爆破除冰模型实验,采用人工覆冰方式,通过引爆预设在输电线下侧的导爆索去除部分线路覆冰,测量了爆破除冰过程中三种输电线档中位移和端部动张力,并将爆破载荷简化为三角波载荷,利用有限元软件ABAQUS对实验工况进行了模拟验证;进一步利用模拟方法研究了爆破除冰量为20%时除冰位置对跳跃幅值和动张力的影响。结果表明:对于雨凇,爆破作用只会引起输电线爆破区域的覆冰脱落;爆破除冰时跳跃幅值和动张力幅值均大于相同位置自然脱冰,而随除冰位置的变化趋势与自然脱冰相似;与导线相比,地线光缆的跳跃幅值受爆破作用影响更显著。
为研究输电线路爆破除冰效果及动态特性,进行了50 m孤立档输电线路爆破除冰模型实验,采用人工覆冰方式,通过引爆预设在输电线下侧的导爆索去除部分线路覆冰,测量了爆破除冰过程中三种输电线档中位移和端部动张力,并将爆破载荷简化为三角波载荷,利用有限元软件ABAQUS对实验工况进行了模拟验证;进一步利用模拟方法研究了爆破除冰量为20%时除冰位置对跳跃幅值和动张力的影响。结果表明:对于雨凇,爆破作用只会引起输电线爆破区域的覆冰脱落;爆破除冰时跳跃幅值和动张力幅值均大于相同位置自然脱冰,而随除冰位置的变化趋势与自然脱冰相似;与导线相比,地线光缆的跳跃幅值受爆破作用影响更显著。


在线阅读
PDF
本文被引