2019年 39卷 第12期
2019, 39(12): 121101.
doi: 10.11883/bzycj-2018-0505
摘要:
地下核试验瞬间释放的巨大能量引起地壳能量的连锁反应,产生诱发地震等地球物理现象。本文对20世纪前苏联与美国进行的地下核试验数据进行整理与归纳,给出地下核爆炸试验诱发工程地震的范围以及激活岩块大小等。根据实测数据,指出地下核爆炸诱发工程性地震的力学本质,利用理论公式计算了地下核爆炸产生不可逆位移的临界能量因子范围,为相关研究提供理论基础和场地效应试验数据。
地下核试验瞬间释放的巨大能量引起地壳能量的连锁反应,产生诱发地震等地球物理现象。本文对20世纪前苏联与美国进行的地下核试验数据进行整理与归纳,给出地下核爆炸试验诱发工程地震的范围以及激活岩块大小等。根据实测数据,指出地下核爆炸诱发工程性地震的力学本质,利用理论公式计算了地下核爆炸产生不可逆位移的临界能量因子范围,为相关研究提供理论基础和场地效应试验数据。
2019, 39(12): 122101.
doi: 10.11883/bzycj-2018-0381
摘要:
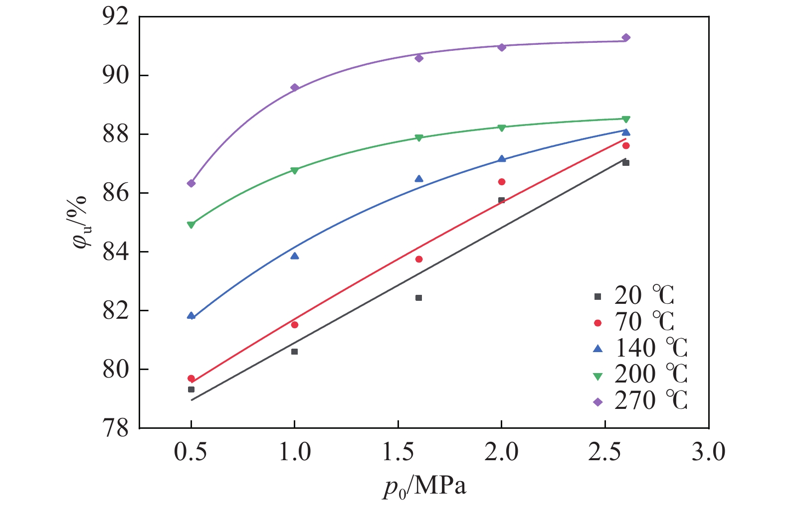
获得高温、高压下可燃介质爆炸极限数值,对完善复杂工况下可燃介质燃爆安全理论、构建可燃介质爆炸防护技术提供支持。搭建了适用于开展高温、高压工况的20 L球形爆炸实验装置,测量了初始温度为20~270 ℃,初始压力为0.5~2.6 MPa下乙烷在氧气中的爆炸极限,分析温度、压力单因素对乙烷在氧气中的爆炸极限的影响以及温度和压力双因素的耦合影响。结果表明,随着初始压力和初始温度的提高,乙烷在氧气中的爆炸极限逐渐扩大。在温度小于140 ℃时,在高压和低压两种情况下,压力对乙烷爆炸上限的影响基本一致。在温度高于140 ℃时,压力的升高使乙烷爆炸上限升高,但其影响的效果逐渐减小。在初始压力小于1.6 MPa时,温度的升高使乙烷的爆炸上限升高,但其影响的效果变化很小。在压力大于1.6 MPa,温度高于140 ℃时,温度的升高使乙烷的爆炸上限升高,且其影响的效果逐渐增大。温度和压力的升高均使乙烷的爆炸下限降低,但其影响较小。初始温度和初始压力对乙烷在氧气中爆炸极限的耦合作用略小于两个因素作用的和,但大于单个因素的作用。通过拟合得到了C2H6/O2爆炸极限随初始压力、初始温度变化的定量规律。
获得高温、高压下可燃介质爆炸极限数值,对完善复杂工况下可燃介质燃爆安全理论、构建可燃介质爆炸防护技术提供支持。搭建了适用于开展高温、高压工况的20 L球形爆炸实验装置,测量了初始温度为20~270 ℃,初始压力为0.5~2.6 MPa下乙烷在氧气中的爆炸极限,分析温度、压力单因素对乙烷在氧气中的爆炸极限的影响以及温度和压力双因素的耦合影响。结果表明,随着初始压力和初始温度的提高,乙烷在氧气中的爆炸极限逐渐扩大。在温度小于140 ℃时,在高压和低压两种情况下,压力对乙烷爆炸上限的影响基本一致。在温度高于140 ℃时,压力的升高使乙烷爆炸上限升高,但其影响的效果逐渐减小。在初始压力小于1.6 MPa时,温度的升高使乙烷的爆炸上限升高,但其影响的效果变化很小。在压力大于1.6 MPa,温度高于140 ℃时,温度的升高使乙烷的爆炸上限升高,且其影响的效果逐渐增大。温度和压力的升高均使乙烷的爆炸下限降低,但其影响较小。初始温度和初始压力对乙烷在氧气中爆炸极限的耦合作用略小于两个因素作用的和,但大于单个因素的作用。通过拟合得到了C2H6/O2爆炸极限随初始压力、初始温度变化的定量规律。
2019, 39(12): 122201.
doi: 10.11883/bzycj-2018-0317
摘要:
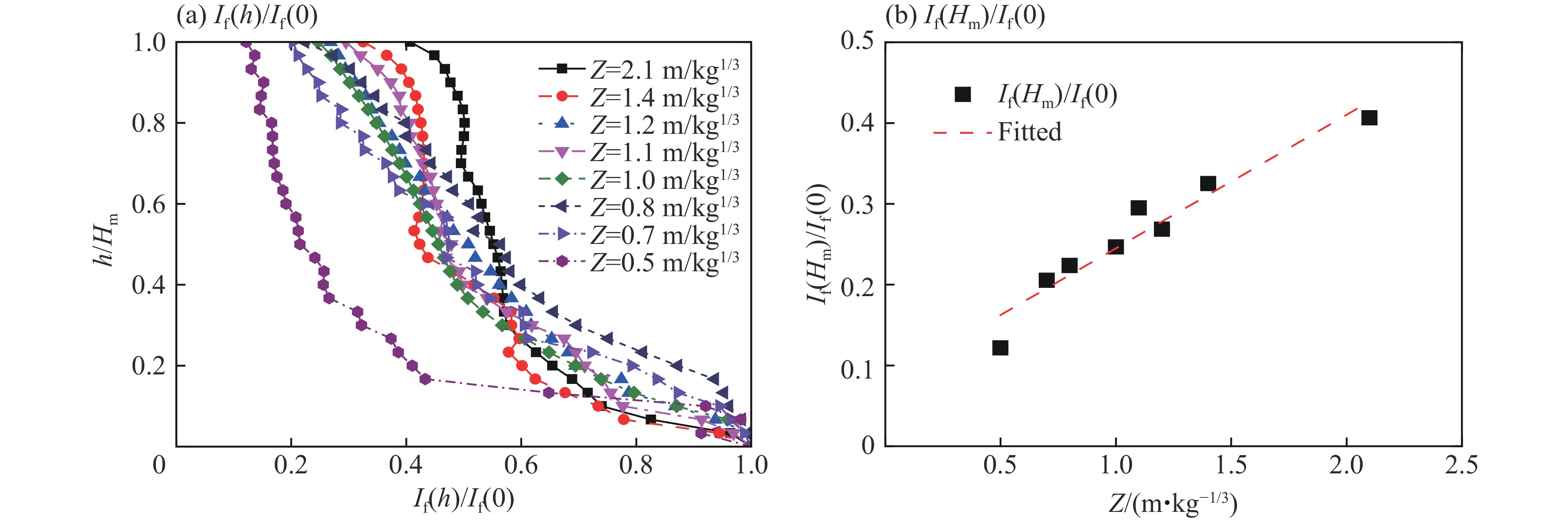
墩柱是桥梁结构的主要承载构件,研究爆炸荷载在墩柱上的分布规律是分析爆炸荷载作用下桥梁结构动态响应的前提。以圆截面桥梁墩柱为研究对象,基于LS-DYNA软件建立了桥梁墩柱的有限元模型,综合考虑炸药当量、爆心高度、爆炸距离和墩柱直径等影响因素,基于数值模拟得到爆心高度低于0.3倍墩柱高度,比例距离为0.5~2.1 m/kg1/3和墩柱直径为0.15~1 m时,爆炸荷载冲量沿墩柱高度和横截面方向上的分布。结果表明:沿墩柱高度方向,地面爆炸或爆心高度为0.1倍柱高时,墩柱前表面冲量近似“单线性”分布,当爆心高度距地面0.2和0.3倍柱高时,墩柱前表面冲量近似“双线性”分布;沿横截面方向的平均净冲量与其前表面冲量之比为常数。基于上述爆炸荷载冲量分布规律,进一步提出了爆炸荷载作用在桥梁墩柱上总净冲量的计算方法,从而为桥梁墩柱抗爆响应分析与设计提供一定的理论基础。
墩柱是桥梁结构的主要承载构件,研究爆炸荷载在墩柱上的分布规律是分析爆炸荷载作用下桥梁结构动态响应的前提。以圆截面桥梁墩柱为研究对象,基于LS-DYNA软件建立了桥梁墩柱的有限元模型,综合考虑炸药当量、爆心高度、爆炸距离和墩柱直径等影响因素,基于数值模拟得到爆心高度低于0.3倍墩柱高度,比例距离为0.5~2.1 m/kg1/3和墩柱直径为0.15~1 m时,爆炸荷载冲量沿墩柱高度和横截面方向上的分布。结果表明:沿墩柱高度方向,地面爆炸或爆心高度为0.1倍柱高时,墩柱前表面冲量近似“单线性”分布,当爆心高度距地面0.2和0.3倍柱高时,墩柱前表面冲量近似“双线性”分布;沿横截面方向的平均净冲量与其前表面冲量之比为常数。基于上述爆炸荷载冲量分布规律,进一步提出了爆炸荷载作用在桥梁墩柱上总净冲量的计算方法,从而为桥梁墩柱抗爆响应分析与设计提供一定的理论基础。
2019, 39(12): 122202.
doi: 10.11883/bzycj-2018-0510
摘要:
围绕竖直平面激波与固壁附近水平热层作用问题,提出了流动进入准自相似阶段后固壁附近流场参量的理论计算方法。与已有的Mirels方法相比,本文的方法在下列三个方面进行了改进:(1)舍弃“热层内激波速度与入射激波速度相等”的假定,分析了热层内激波的传播过程,并基于几何激波动力学理论计算热层内激波强度;(2)假定在与入射激波后流体而非入射激波阵面固连的坐标系中,波后流体在定常等熵波作用下,形成沿固壁运动的“活塞”,驱动其前方的热层气体运动;(3)“活塞”内流体与其毗邻的热层气体满足压力和速度连续,不再引入速度比例系数。利用改进后的方法,对于马赫数为2.00的竖直平面激波,在不同热层密度条件下进行计算。本文方法得到的热层内激波强度以及物质界面处的压力、速度和密度等参量,与数值模拟结果偏差均小于10%,优于Shreffler和Mirels计算方法。对于马赫数为1.36的竖直平面激波,当其传播速度小于热层内气体声速时,Shreffler和Mirels计算方法不再适用,而本文中提出的方法得到的计算结果与数值模拟结果和已有实验数据基本吻合,最大偏差约20%。上述结果表明,本文中提出的理论计算方法提高了现有方法的合理性,扩大了适用范围。
围绕竖直平面激波与固壁附近水平热层作用问题,提出了流动进入准自相似阶段后固壁附近流场参量的理论计算方法。与已有的Mirels方法相比,本文的方法在下列三个方面进行了改进:(1)舍弃“热层内激波速度与入射激波速度相等”的假定,分析了热层内激波的传播过程,并基于几何激波动力学理论计算热层内激波强度;(2)假定在与入射激波后流体而非入射激波阵面固连的坐标系中,波后流体在定常等熵波作用下,形成沿固壁运动的“活塞”,驱动其前方的热层气体运动;(3)“活塞”内流体与其毗邻的热层气体满足压力和速度连续,不再引入速度比例系数。利用改进后的方法,对于马赫数为2.00的竖直平面激波,在不同热层密度条件下进行计算。本文方法得到的热层内激波强度以及物质界面处的压力、速度和密度等参量,与数值模拟结果偏差均小于10%,优于Shreffler和Mirels计算方法。对于马赫数为1.36的竖直平面激波,当其传播速度小于热层内气体声速时,Shreffler和Mirels计算方法不再适用,而本文中提出的方法得到的计算结果与数值模拟结果和已有实验数据基本吻合,最大偏差约20%。上述结果表明,本文中提出的理论计算方法提高了现有方法的合理性,扩大了适用范围。
2019, 39(12): 123101.
doi: 10.11883/bzycj-2018-0483
摘要:
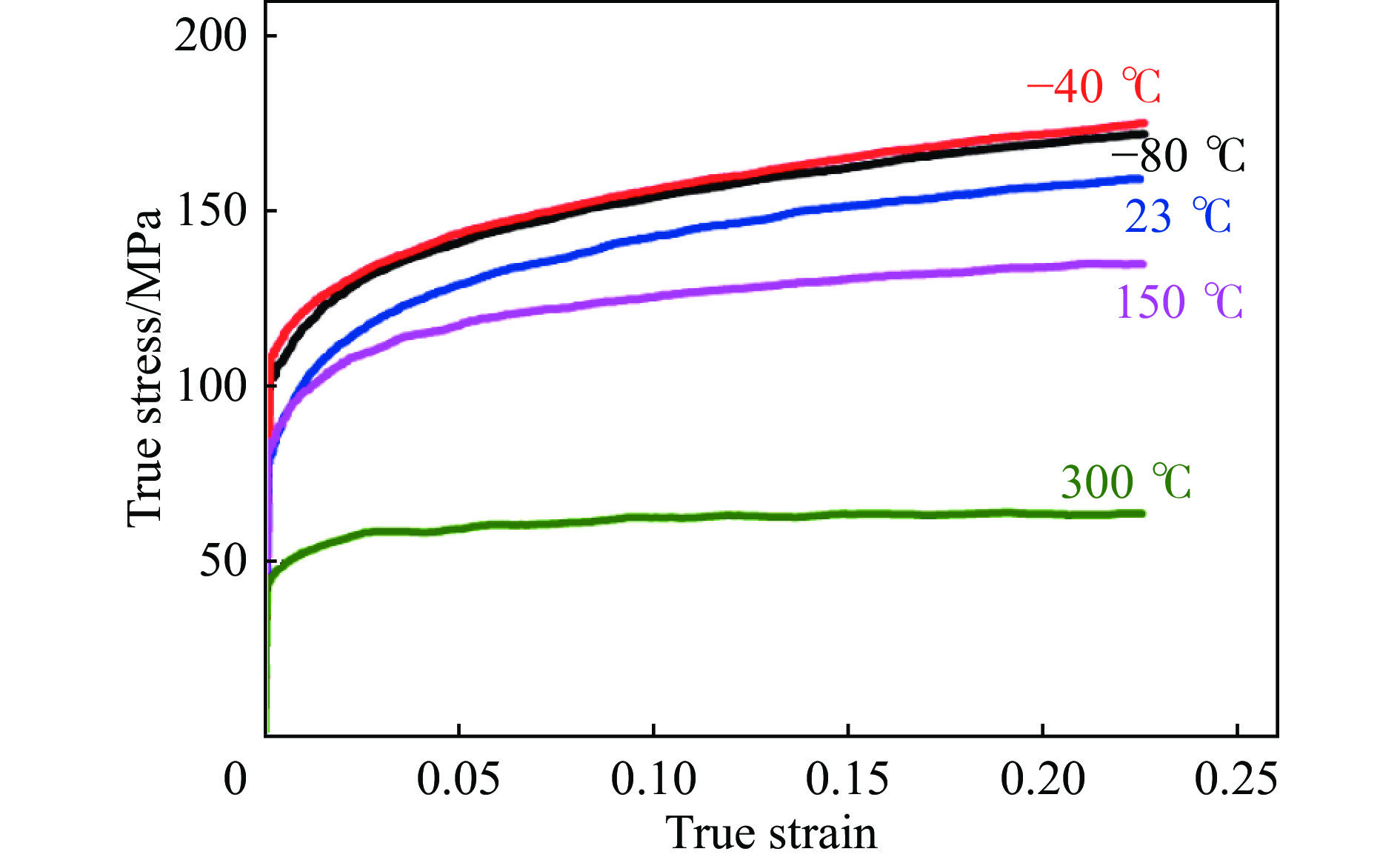
利用材料试验机及分离式霍普金森压杆装置,开展长期中子辐照后的Al-Mg-Si合金(反应堆内实际服役近30年的LT21铝合金)在不同温度和应变率下压缩力学行为的实验研究,获得了实验温度、应变率对其屈服强度及流动应力的影响规律。结果表明:材料在一定的温度区间(−40~300 ℃)和应变率区间(0.001~3 000 s−1)内,分别呈现出较为明显的温度效应与正应变率效应;其中在较低的温度(−80~−40 ℃)和较高的应变率(3 000~5 000 s−1)区间力学性能受温度和应变率变化的影响较小;当温度升至300 ℃时,材料的塑性变形行为已趋于理想塑性流动。根据前述实验结果,计及材料内部的微观辐照缺陷对力学性能的影响,建立了考虑辐照损伤的Zerilli-Armstrong本构模型,模型的计算结果与前述实验结果吻合较好。结合文献中高纯铝的微观辐照缺陷的演化数据,对不同快中子辐照剂量LT21铝合金的屈服强度,以及另两个来自反应堆内不同受辐照区域试样在不同应变率和温度下的屈服强度进行了计算。上述研究表明,本文建立的考虑辐照损伤的Z-A本构方程不仅能较好地反映长期中子辐照后的Al-Mg-Si合金宏观应力和应变、应变率、温度等参数的关系,也能针对位错运动及辐照硬化机制进行较好地描述,并且能够为反应堆内相应结构元件的设计、运行和安全评估提供一定的参考。
利用材料试验机及分离式霍普金森压杆装置,开展长期中子辐照后的Al-Mg-Si合金(反应堆内实际服役近30年的LT21铝合金)在不同温度和应变率下压缩力学行为的实验研究,获得了实验温度、应变率对其屈服强度及流动应力的影响规律。结果表明:材料在一定的温度区间(−40~300 ℃)和应变率区间(0.001~3 000 s−1)内,分别呈现出较为明显的温度效应与正应变率效应;其中在较低的温度(−80~−40 ℃)和较高的应变率(3 000~5 000 s−1)区间力学性能受温度和应变率变化的影响较小;当温度升至300 ℃时,材料的塑性变形行为已趋于理想塑性流动。根据前述实验结果,计及材料内部的微观辐照缺陷对力学性能的影响,建立了考虑辐照损伤的Zerilli-Armstrong本构模型,模型的计算结果与前述实验结果吻合较好。结合文献中高纯铝的微观辐照缺陷的演化数据,对不同快中子辐照剂量LT21铝合金的屈服强度,以及另两个来自反应堆内不同受辐照区域试样在不同应变率和温度下的屈服强度进行了计算。上述研究表明,本文建立的考虑辐照损伤的Z-A本构方程不仅能较好地反映长期中子辐照后的Al-Mg-Si合金宏观应力和应变、应变率、温度等参数的关系,也能针对位错运动及辐照硬化机制进行较好地描述,并且能够为反应堆内相应结构元件的设计、运行和安全评估提供一定的参考。
2019, 39(12): 123102.
doi: 10.11883/bzycj-2018-0462
摘要:
碳化硼陶瓷具有高硬度、低密度的特性,在装甲防护领域有广泛的应用前景,碳化硼陶瓷及其复合靶的冲击破坏特性是装甲防护领域近期的焦点问题之一。本文中基于剩余穿深方法,开展了碳化硼及复合靶抗12.7 mm穿甲燃烧弹侵彻的试验研究。建立了碳化硼陶瓷复合靶抗弹数值模拟模型,根据试验研究结果验证数值模拟方法的可靠性。在此基础上,开展了12.7 mm穿甲燃烧弹侵彻碳化硼陶瓷复合靶的数值模拟研究,重点研究了靶板配置、背板厚度及种类对复合靶抗弹性能的影响。结果表明:靶板面密度相同的情况下,随着陶瓷厚度的增大,陶瓷复合靶的抗弹性能提高;陶瓷厚度相同时,陶瓷复合靶抗弹性能提升的效率随其面密度的增大而下降。陶瓷/PE (polyethylene)结构适合抵抗低速弹体的侵彻破坏,陶瓷/铝结构适合抵抗高速弹体的侵彻破坏。
碳化硼陶瓷具有高硬度、低密度的特性,在装甲防护领域有广泛的应用前景,碳化硼陶瓷及其复合靶的冲击破坏特性是装甲防护领域近期的焦点问题之一。本文中基于剩余穿深方法,开展了碳化硼及复合靶抗12.7 mm穿甲燃烧弹侵彻的试验研究。建立了碳化硼陶瓷复合靶抗弹数值模拟模型,根据试验研究结果验证数值模拟方法的可靠性。在此基础上,开展了12.7 mm穿甲燃烧弹侵彻碳化硼陶瓷复合靶的数值模拟研究,重点研究了靶板配置、背板厚度及种类对复合靶抗弹性能的影响。结果表明:靶板面密度相同的情况下,随着陶瓷厚度的增大,陶瓷复合靶的抗弹性能提高;陶瓷厚度相同时,陶瓷复合靶抗弹性能提升的效率随其面密度的增大而下降。陶瓷/PE (polyethylene)结构适合抵抗低速弹体的侵彻破坏,陶瓷/铝结构适合抵抗高速弹体的侵彻破坏。
2019, 39(12): 123103.
doi: 10.11883/bzycj-2018-0419
摘要:
为探究晶粒尺寸对硬脆性岩石岩爆的影响,利用真三轴岩爆试验系统,对细中、中粗两种不同晶粒尺寸的含预制圆孔花岗岩开展了岩爆模拟试验。试验结果表明:在相同的加载过程中,细中晶粒花岗岩出现板裂静态脆性破坏,而中粗晶粒花岗岩出现岩爆动力破坏;细中晶粒花岗岩早期声发射活动较弱,大破裂、低主频事件在时空分布上较集中,特征应力较大,而中粗晶粒花岗岩早期声发射活动较活跃,大破裂、低主频事件在时空分布上较离散,特征应力较小,碎屑破碎程度更高。晶粒尺寸对花岗岩的岩爆倾向性具有重要影响,晶粒尺寸较大的硬脆性岩石的岩爆倾向性更强。深部地下岩体工程的岩爆倾向性评价中,除强度和脆性外,晶粒尺寸也是需要考虑的重要因素。
为探究晶粒尺寸对硬脆性岩石岩爆的影响,利用真三轴岩爆试验系统,对细中、中粗两种不同晶粒尺寸的含预制圆孔花岗岩开展了岩爆模拟试验。试验结果表明:在相同的加载过程中,细中晶粒花岗岩出现板裂静态脆性破坏,而中粗晶粒花岗岩出现岩爆动力破坏;细中晶粒花岗岩早期声发射活动较弱,大破裂、低主频事件在时空分布上较集中,特征应力较大,而中粗晶粒花岗岩早期声发射活动较活跃,大破裂、低主频事件在时空分布上较离散,特征应力较小,碎屑破碎程度更高。晶粒尺寸对花岗岩的岩爆倾向性具有重要影响,晶粒尺寸较大的硬脆性岩石的岩爆倾向性更强。深部地下岩体工程的岩爆倾向性评价中,除强度和脆性外,晶粒尺寸也是需要考虑的重要因素。
2019, 39(12): 123301.
doi: 10.11883/bzycj-2018-0425
摘要:
通过弹道枪实验对斜置角度为0°~60°的陶瓷复合装甲进行了弹道极限测试,分析了靶板斜置角度对穿燃弹的弹道极限和钢芯质量变化、破坏形态的影响。利用数值模拟的方法对上述实验结果进行验证计算,鉴于数值计算结果与实验结果较好的一致性,进一步研究了陶瓷复合靶板斜置角度对穿燃弹钢芯穿靶偏移角和等效Q235钢靶厚度的影响。结果表明,随陶瓷复合靶板斜置角度的增大:弹道极限近似指数型提高;在相同弹道极限速度下,穿燃弹对Q235钢靶板的极限穿深和对斜置陶瓷复合靶板的极限穿深的等效厚度的比也随之增大;同时,钢芯完整度逐渐降低,穿靶偏移角反向增大。
通过弹道枪实验对斜置角度为0°~60°的陶瓷复合装甲进行了弹道极限测试,分析了靶板斜置角度对穿燃弹的弹道极限和钢芯质量变化、破坏形态的影响。利用数值模拟的方法对上述实验结果进行验证计算,鉴于数值计算结果与实验结果较好的一致性,进一步研究了陶瓷复合靶板斜置角度对穿燃弹钢芯穿靶偏移角和等效Q235钢靶厚度的影响。结果表明,随陶瓷复合靶板斜置角度的增大:弹道极限近似指数型提高;在相同弹道极限速度下,穿燃弹对Q235钢靶板的极限穿深和对斜置陶瓷复合靶板的极限穿深的等效厚度的比也随之增大;同时,钢芯完整度逐渐降低,穿靶偏移角反向增大。
2019, 39(12): 123901.
doi: 10.11883/bzycj-2018-0415
摘要:
为了探究表面粗糙度对球体入水空泡演变及运动特性的影响,基于实验室开放水槽试验系统,选取了5种表面粗糙度的球体,使用高速摄像机记录入水过程,并得到了各个球体的入水空泡、喷溅的演变过程以及运动特性的变化。发现入水空泡和喷溅的闭合都会给球体一个负方向的加速度。通过对比不同表面粗糙度球体的位移、速度、加速度曲线,发现表面粗糙度最大的球体在砰击阶段结束后,其速度会明显小于其他球体,并且表面粗糙度对球体运动的影响主要体现在入水早期。分析了上述各球体的入水空泡闭合后,与自由面相连的空泡的收缩运动,发现其收缩速度和加速度曲线均会出现极大值点,呈现出球体表面粗糙度越大出现得越早的趋势。
为了探究表面粗糙度对球体入水空泡演变及运动特性的影响,基于实验室开放水槽试验系统,选取了5种表面粗糙度的球体,使用高速摄像机记录入水过程,并得到了各个球体的入水空泡、喷溅的演变过程以及运动特性的变化。发现入水空泡和喷溅的闭合都会给球体一个负方向的加速度。通过对比不同表面粗糙度球体的位移、速度、加速度曲线,发现表面粗糙度最大的球体在砰击阶段结束后,其速度会明显小于其他球体,并且表面粗糙度对球体运动的影响主要体现在入水早期。分析了上述各球体的入水空泡闭合后,与自由面相连的空泡的收缩运动,发现其收缩速度和加速度曲线均会出现极大值点,呈现出球体表面粗糙度越大出现得越早的趋势。
2019, 39(12): 124201.
doi: 10.11883/bzycj-2018-0416
摘要:
为计算柱形药包土中爆腔尺寸,提出了一种有限长柱形药包在土中爆炸的特征尺寸近似计算方法,该方法利用球形药包爆腔膨胀准静态模型叠加的方式,给出了长径比较大情况下柱形药包爆腔特征尺寸及塑性区半径。与数值模拟对比表明,该方法的误差随长径比的增大而减小,当球形药包数量N=n、长径比在10及以上时,误差在12.2%以内,表明该方法能够较准确地预测有限长柱形药包爆腔的特征尺寸。
为计算柱形药包土中爆腔尺寸,提出了一种有限长柱形药包在土中爆炸的特征尺寸近似计算方法,该方法利用球形药包爆腔膨胀准静态模型叠加的方式,给出了长径比较大情况下柱形药包爆腔特征尺寸及塑性区半径。与数值模拟对比表明,该方法的误差随长径比的增大而减小,当球形药包数量N=n、长径比在10及以上时,误差在12.2%以内,表明该方法能够较准确地预测有限长柱形药包爆腔的特征尺寸。
2019, 39(12): 125101.
doi: 10.11883/bzycj-2018-0461
摘要:
波阻抗梯度材料加强型Whipple结构具有优异的防护性能。本文的目的是研究Al/Mg波阻抗梯度材料加强型Whipple结构在5.0 km/s撞击速度下的超高速撞击特性,以及除具有高阻抗的迎撞击面在弹丸中产生更高的冲击压力和温升外,影响波阻抗梯度材料防护性能的主要因素。本文中提出一种由铝合金表层和镁合金基底组成的面密度等效于1.5 mm厚铝合金的新型波阻抗梯度防护屏,采用二级轻气炮在5.0 km/s的撞击速度下对Al/Mg波阻抗梯度材料加强型和铝合金Whipple结构进行了初步超高速撞击对比实验,研究了超高速撞击防护屏穿孔、碎片云和后墙损伤特性。与铝合金防护结构相比,Al/Mg防护结构具有防护屏穿孔翻边更明显、后墙损伤较轻微、碎片云扩散半角大和撞击坑细化程度高4个主要特征。本文中开展了理论分析与计算,研究了冲击耦合过程、波传播特性和热力学状态等。结果表明:不受面密度影响,Al/Mg防护屏能改变冲击波在靶中的传播特征,使弹丸破碎程度更高,并且提升了防护屏中的内能转化率,具有优异的动能耗散特性。因此,与同等面密度的铝合金Whipple结构相比,Al/Mg结构具有更优异的防护性能。
波阻抗梯度材料加强型Whipple结构具有优异的防护性能。本文的目的是研究Al/Mg波阻抗梯度材料加强型Whipple结构在5.0 km/s撞击速度下的超高速撞击特性,以及除具有高阻抗的迎撞击面在弹丸中产生更高的冲击压力和温升外,影响波阻抗梯度材料防护性能的主要因素。本文中提出一种由铝合金表层和镁合金基底组成的面密度等效于1.5 mm厚铝合金的新型波阻抗梯度防护屏,采用二级轻气炮在5.0 km/s的撞击速度下对Al/Mg波阻抗梯度材料加强型和铝合金Whipple结构进行了初步超高速撞击对比实验,研究了超高速撞击防护屏穿孔、碎片云和后墙损伤特性。与铝合金防护结构相比,Al/Mg防护结构具有防护屏穿孔翻边更明显、后墙损伤较轻微、碎片云扩散半角大和撞击坑细化程度高4个主要特征。本文中开展了理论分析与计算,研究了冲击耦合过程、波传播特性和热力学状态等。结果表明:不受面密度影响,Al/Mg防护屏能改变冲击波在靶中的传播特征,使弹丸破碎程度更高,并且提升了防护屏中的内能转化率,具有优异的动能耗散特性。因此,与同等面密度的铝合金Whipple结构相比,Al/Mg结构具有更优异的防护性能。
2019, 39(12): 125102.
doi: 10.11883/bzycj-2018-0418
摘要:
为了给弹载记录仪的防护设计提供依据,从机械振动的角度揭示了高冲击载荷作用下弹载记录仪防护系统的动力学响应机理。在分析弹载记录仪内部载荷传递关系的基础上,基于双自由度弹簧-质量-阻尼系统建立了一种简化的防护系统动力学响应模型,并开展了数值模拟,通过脉冲响应分析和谐响应分析辨识了模型参数。理论计算与数值模拟的对比分析结果表明:建立的动力学响应模型能较准确地预测高冲击载荷作用下弹载记录仪防护系统的动力学响应特性。在此基础上,以模型的幅频响应特性为依据,分析了防护系统动力学响应特性随各种参数的变化规律。研究结果可为更有效地指导弹载记录仪的防护设计提供依据。
为了给弹载记录仪的防护设计提供依据,从机械振动的角度揭示了高冲击载荷作用下弹载记录仪防护系统的动力学响应机理。在分析弹载记录仪内部载荷传递关系的基础上,基于双自由度弹簧-质量-阻尼系统建立了一种简化的防护系统动力学响应模型,并开展了数值模拟,通过脉冲响应分析和谐响应分析辨识了模型参数。理论计算与数值模拟的对比分析结果表明:建立的动力学响应模型能较准确地预测高冲击载荷作用下弹载记录仪防护系统的动力学响应特性。在此基础上,以模型的幅频响应特性为依据,分析了防护系统动力学响应特性随各种参数的变化规律。研究结果可为更有效地指导弹载记录仪的防护设计提供依据。
2019, 39(12): 125103.
doi: 10.11883/bzycj-2018-0414
摘要:
针对大当量成型弹药破片毁伤威力试验风险系数大、试验效能低的问题,提出采用带水墙靶板的方式对破片毁伤参数进行测定的新方法。应用动力学模拟软件AUTODYN,对破片侵彻带水墙靶板及无水墙靶板的过程进行了有限元数值模拟,分析了水墙厚度和破片入射角度对破片侵彻能力的影响规律,通过实弹试验的方式对带水墙靶板的实用效果进行了验证。计算结果表明,带水墙靶板相比无水墙靶板,能够大大降低破片的侵彻能力,同时与实弹试验效果也能较好吻合,说明在实际试验中使用带水墙靶板收集破片毁伤参数的方法是可行的。
针对大当量成型弹药破片毁伤威力试验风险系数大、试验效能低的问题,提出采用带水墙靶板的方式对破片毁伤参数进行测定的新方法。应用动力学模拟软件AUTODYN,对破片侵彻带水墙靶板及无水墙靶板的过程进行了有限元数值模拟,分析了水墙厚度和破片入射角度对破片侵彻能力的影响规律,通过实弹试验的方式对带水墙靶板的实用效果进行了验证。计算结果表明,带水墙靶板相比无水墙靶板,能够大大降低破片的侵彻能力,同时与实弹试验效果也能较好吻合,说明在实际试验中使用带水墙靶板收集破片毁伤参数的方法是可行的。
2019, 39(12): 125104.
doi: 10.11883/bzycj-2019-0270
摘要:
采用由厚度为8 mm的前置钛合金板、面密度为60 kg/m2的高强聚乙烯纤维增强复合材料层合板抗弹芯层、厚度为8 mm的后置钢板构成的夹芯式复合装甲,模拟舰船舷侧复合夹芯舱壁结构。根据面板与芯层间是否设置20 mm的间隙,将复合装甲结构定义为无间隙式、后间隙式及前后间隙式。为研究以上3种结构在55 g圆柱体弹高速冲击下的抗弹性能及破坏机理,开展了系列弹道实验,分析了钛合金板、高强聚乙烯纤维增强复合材料层合板芯层及钢质面板的破坏模式,探讨了结构间隙对复合装甲结构抗弹性能的影响。结果表明:前置钛合金板的破坏模式为剪切冲塞,靶板背弹面产生脆性断裂并伴随碎块崩落现象;聚乙烯纤维增强复合材料板的破坏模式及钢质背板的变形范围受间隙的影响较大,前置钛合金板受间隙影响较小;相同载荷侵彻下,间隙的存在有利于提高复合装甲结构的抗弹性能。
采用由厚度为8 mm的前置钛合金板、面密度为60 kg/m2的高强聚乙烯纤维增强复合材料层合板抗弹芯层、厚度为8 mm的后置钢板构成的夹芯式复合装甲,模拟舰船舷侧复合夹芯舱壁结构。根据面板与芯层间是否设置20 mm的间隙,将复合装甲结构定义为无间隙式、后间隙式及前后间隙式。为研究以上3种结构在55 g圆柱体弹高速冲击下的抗弹性能及破坏机理,开展了系列弹道实验,分析了钛合金板、高强聚乙烯纤维增强复合材料层合板芯层及钢质面板的破坏模式,探讨了结构间隙对复合装甲结构抗弹性能的影响。结果表明:前置钛合金板的破坏模式为剪切冲塞,靶板背弹面产生脆性断裂并伴随碎块崩落现象;聚乙烯纤维增强复合材料板的破坏模式及钢质背板的变形范围受间隙的影响较大,前置钛合金板受间隙影响较小;相同载荷侵彻下,间隙的存在有利于提高复合装甲结构的抗弹性能。


在线阅读
PDF
本文被引