2019 Vol. 39, No. 10
Display Method:
2019, 39(10): 102201.
doi: 10.11883/bzycj-2018-0303
Abstract:
In this paper, we investigated the ground vibration effect caused by high pressure gas pipeline explosion using field experiment and numerical simulation. We found out about the magnitude range and attenuation mechanism of the ground vibration of high-pressure gas pipelines by conducting a full-scale explosion experiment of natural gas pipelines. According to the data analysis, the ground vibration caused by the explosion of the buried natural gas pipeline mainly occurred in the physical explosion process, and the subsequent natural gas deflagration process did not produce obvious ground vibration. Based on the LS-Dyna software, we established a high-pressure gas pipeline blasting experiment model, verified the rationality of the model parameter design by comparing the experimental results with the simulation results, and analyzed the process of the gas-pipe-wall-soil interaction, stress distribution and crack propagation in the pipeline explosion. We found that the pipe cracking was caused by the high-pressure gas pushing the pipe wall to the sides to form a stress concentration at the crack tip, that the pipe wall squeezed the soil at a peak speed of 50 m/s, and that the plastic state generated by the impact gradually attenuated to the elastic stress wave, forming the ground vibration effect. We also revealed the main causes of ground vibration by pipeline explosion. Our study can provide theoretical reference and technical support for the prevention of vibration-related accidents.
In this paper, we investigated the ground vibration effect caused by high pressure gas pipeline explosion using field experiment and numerical simulation. We found out about the magnitude range and attenuation mechanism of the ground vibration of high-pressure gas pipelines by conducting a full-scale explosion experiment of natural gas pipelines. According to the data analysis, the ground vibration caused by the explosion of the buried natural gas pipeline mainly occurred in the physical explosion process, and the subsequent natural gas deflagration process did not produce obvious ground vibration. Based on the LS-Dyna software, we established a high-pressure gas pipeline blasting experiment model, verified the rationality of the model parameter design by comparing the experimental results with the simulation results, and analyzed the process of the gas-pipe-wall-soil interaction, stress distribution and crack propagation in the pipeline explosion. We found that the pipe cracking was caused by the high-pressure gas pushing the pipe wall to the sides to form a stress concentration at the crack tip, that the pipe wall squeezed the soil at a peak speed of 50 m/s, and that the plastic state generated by the impact gradually attenuated to the elastic stress wave, forming the ground vibration effect. We also revealed the main causes of ground vibration by pipeline explosion. Our study can provide theoretical reference and technical support for the prevention of vibration-related accidents.
2019, 39(10): 102202.
doi: 10.11883/bzycj-2018-0327
Abstract:
In order to study explosion pressure load distribution characteristics in closed environment, a TNT charge internal explosion experiment of cylinder apparatus with an aspect ratio of 2∶1 was carried out. Pressure load data of the cylinder wall and cover plate were obtained, and the pressure load characteristics and distribution laws of the wall and cover plate were analyzed combining the simulation results. The model of peak pressure load was established and validated. The results show that the pressure load waveforms of the cylinder wall and cover plate are not exactly identical, and the cylinder wall pressure load changes from obvious single wave peak to multiple peak values as the distance to explosion center increasing. The attenuation characteristics of pressure load in the near-field area were similar to that of a free ground blast wave with certain explosion height. The pressure load of the cover plate shows a characteristic of multiple wave peaks, of which, the maximum peak of the pressure load in the central area is 3 times larger than the first peak value, and the corner part is 6 times larger than the first peak value. The maximum peak of the pressure load on the cylinder wall shows a concave distribution. The results of this study can provide reference for the analysis of the internal explosion pressure load and evaluation of the structure damage.
In order to study explosion pressure load distribution characteristics in closed environment, a TNT charge internal explosion experiment of cylinder apparatus with an aspect ratio of 2∶1 was carried out. Pressure load data of the cylinder wall and cover plate were obtained, and the pressure load characteristics and distribution laws of the wall and cover plate were analyzed combining the simulation results. The model of peak pressure load was established and validated. The results show that the pressure load waveforms of the cylinder wall and cover plate are not exactly identical, and the cylinder wall pressure load changes from obvious single wave peak to multiple peak values as the distance to explosion center increasing. The attenuation characteristics of pressure load in the near-field area were similar to that of a free ground blast wave with certain explosion height. The pressure load of the cover plate shows a characteristic of multiple wave peaks, of which, the maximum peak of the pressure load in the central area is 3 times larger than the first peak value, and the corner part is 6 times larger than the first peak value. The maximum peak of the pressure load on the cylinder wall shows a concave distribution. The results of this study can provide reference for the analysis of the internal explosion pressure load and evaluation of the structure damage.
2019, 39(10): 103101.
doi: 10.11883/bzycj-2018-0295
Abstract:
In this paper we investigated the dynamic response of thin-wall circular tubes under lateral blast loading based on experimental research, theoretical analysis and finite element simulation. We studied the dynamic responses of the tubes under explosion using the ballistic pendulum system and analyzed the deformation modes of the thin-wall tubes, and based on the foundation beam model, established a theoretical model of the mid-span deflection of the circular tube under lateral blast loading and made it dimensionless. We also analyzed the influence of the geometric parameters of the circular tube on its deformation mode and mid-span deflection using finite element simulation and compared it with the theoretical prediction. The results show that the deformed area and the mid-span deflection of the circular tube increase with the increase of the TNT mass. The length-to-diameter ratio, wall-thickness of the circular tube and the loading impulse all have a great influence on the mid-span deflection of the circular tube. The theoretical prediction and the numerical results are both in good agreement with the experimental results.
In this paper we investigated the dynamic response of thin-wall circular tubes under lateral blast loading based on experimental research, theoretical analysis and finite element simulation. We studied the dynamic responses of the tubes under explosion using the ballistic pendulum system and analyzed the deformation modes of the thin-wall tubes, and based on the foundation beam model, established a theoretical model of the mid-span deflection of the circular tube under lateral blast loading and made it dimensionless. We also analyzed the influence of the geometric parameters of the circular tube on its deformation mode and mid-span deflection using finite element simulation and compared it with the theoretical prediction. The results show that the deformed area and the mid-span deflection of the circular tube increase with the increase of the TNT mass. The length-to-diameter ratio, wall-thickness of the circular tube and the loading impulse all have a great influence on the mid-span deflection of the circular tube. The theoretical prediction and the numerical results are both in good agreement with the experimental results.
2019, 39(10): 103102.
doi: 10.11883/bzycj-2018-0308
Abstract:
In this paper, the digital image correlation method is used to test the tip position of the brittle material in the explosion loading strip, the stress intensity factor calculation considering the inertia effect and the crack propagation law. Firstly, the symmetry experimental model is used to realize the intuitive positioning of the crack tip, and the more accurate full-field strain and displacement information is recorded. By analyzing the main strain field at the crack tip, the maximum strain point cannot be used as the crack tip. Judgments based. Secondly, based on the fracture dynamics, the crack propagation length, the crack propagation velocity and the displacement information of the data points in a certain area of the tip are obtained according to the crack tip position. The differential principle and the least squares Newton iteration method are used to calculate the inertial effect. The stress intensity factor of the I-II hybrid crack, wherein the KI maximum is 2.63 MPa·m1/2 and the minimum value is 0.89 MPa·m1/2. The overall trend of KII has remained basically the same, but due to the complexity of the late stage of the model, the crack propagation direction changes and the mutation occurs; Then, the overall trend of the stress intensity factor shows that the crack propagation of the brittle material develops in a cyclically decreasing manner with the energy accumulation and release under explosive loading conditions, but the variation range is relatively large when crack initiation and crack arrest occur, and in the test. The late expansion crack is an I-II hybrid type. Finally, the crack propagation length and stress intensity factor change trend are compared with the actual test results. The two are basically the same, which indicates that the test method and the theoretical calculation result can be well matched, and the experimental precision is high, which is feasible.
In this paper, the digital image correlation method is used to test the tip position of the brittle material in the explosion loading strip, the stress intensity factor calculation considering the inertia effect and the crack propagation law. Firstly, the symmetry experimental model is used to realize the intuitive positioning of the crack tip, and the more accurate full-field strain and displacement information is recorded. By analyzing the main strain field at the crack tip, the maximum strain point cannot be used as the crack tip. Judgments based. Secondly, based on the fracture dynamics, the crack propagation length, the crack propagation velocity and the displacement information of the data points in a certain area of the tip are obtained according to the crack tip position. The differential principle and the least squares Newton iteration method are used to calculate the inertial effect. The stress intensity factor of the I-II hybrid crack, wherein the KI maximum is 2.63 MPa·m1/2 and the minimum value is 0.89 MPa·m1/2. The overall trend of KII has remained basically the same, but due to the complexity of the late stage of the model, the crack propagation direction changes and the mutation occurs; Then, the overall trend of the stress intensity factor shows that the crack propagation of the brittle material develops in a cyclically decreasing manner with the energy accumulation and release under explosive loading conditions, but the variation range is relatively large when crack initiation and crack arrest occur, and in the test. The late expansion crack is an I-II hybrid type. Finally, the crack propagation length and stress intensity factor change trend are compared with the actual test results. The two are basically the same, which indicates that the test method and the theoretical calculation result can be well matched, and the experimental precision is high, which is feasible.
2019, 39(10): 103103.
doi: 10.11883/bzycj-2018-0311
Abstract:
The drop process of an energy-absorbing container was simulated by air gun impact test, and the forward and 30° oblique impact experiments of the scale model were carried out. The numerical analysis for the model experiments was conducted to obtain the stress distribution and plastic deformation of the energy-absorbing container model in the impact process. And then the calculation and experimental results were compared. The results show that the energy-absorbing container absorbs energy mainly by the plastic deformation of cushion wood and the plastic hinges produced by the buckling of outer steel shell during impact, and its plastic deformation mainly concentrates at the impact end, while no plastic deformation is found far away from the impact end. In simulations, the compressive stress-strain curve of the wood in texture direction can be used to simulate the drop impact process of energy-absorbing container.
The drop process of an energy-absorbing container was simulated by air gun impact test, and the forward and 30° oblique impact experiments of the scale model were carried out. The numerical analysis for the model experiments was conducted to obtain the stress distribution and plastic deformation of the energy-absorbing container model in the impact process. And then the calculation and experimental results were compared. The results show that the energy-absorbing container absorbs energy mainly by the plastic deformation of cushion wood and the plastic hinges produced by the buckling of outer steel shell during impact, and its plastic deformation mainly concentrates at the impact end, while no plastic deformation is found far away from the impact end. In simulations, the compressive stress-strain curve of the wood in texture direction can be used to simulate the drop impact process of energy-absorbing container.
2019, 39(10): 103201.
doi: 10.11883/bzycj-2018-0279
Abstract:
In order to investigate the influence of the muzzle device on the characteristics of muzzle aeroacoustic noise, simulation analysis and experimental research were performed on the jet noise induced by the complex flows discharging from a small caliber rifle with a muzzle brake. A CFD (computational fluid dynamics)-CAA (computational aeroacoustics) hybrid method was applied. The muzzle flow field was calculated by using large eddy simulation and the jet noise was determined by the FW-H (Ffowcs Williams-Hawkings) equation based on the obtained source data. Based on the numerical results, the jet noise directivity was analyzed and the comparison to the experimental results was conducted. Results indicate that the muzzle flow field was changed by the muzzle brake and the directional distribution of the jet noise was also affected. The errors between the calculated and experiment results are less than 9%, therefore the numerical method applied in the paper is feasible. The research result can provide a reference for the prediction of muzzle noise and the design of muzzle brakes.
In order to investigate the influence of the muzzle device on the characteristics of muzzle aeroacoustic noise, simulation analysis and experimental research were performed on the jet noise induced by the complex flows discharging from a small caliber rifle with a muzzle brake. A CFD (computational fluid dynamics)-CAA (computational aeroacoustics) hybrid method was applied. The muzzle flow field was calculated by using large eddy simulation and the jet noise was determined by the FW-H (Ffowcs Williams-Hawkings) equation based on the obtained source data. Based on the numerical results, the jet noise directivity was analyzed and the comparison to the experimental results was conducted. Results indicate that the muzzle flow field was changed by the muzzle brake and the directional distribution of the jet noise was also affected. The errors between the calculated and experiment results are less than 9%, therefore the numerical method applied in the paper is feasible. The research result can provide a reference for the prediction of muzzle noise and the design of muzzle brakes.
2019, 39(10): 103202.
doi: 10.11883/bzycj-2018-0225
Abstract:
To explore the unloading of blasting excavation in highly-stressed rock masses for hydropower stations, an axial loading and unloading test platform was independently developed. The dynamic strain and strain rate data of rock bars during the blasting process were experimentally obtained. The measured data indicate that the strain rates in the rock bars are all above 10−1 s−1 during the blasting loading and unloading and the initial stress unloading near the excavation face. It is verified that the unloading of blasting excavation in the highly-stressed rock mass is a dynamic process. A one-dimensional mechanical model for the initial stress unloading was established, and the propagation mechanism of the unloading wave was revealed. By analyzing the temporal and spatial distribution characteristics of the strain energy density in the blasting unloading process, the relationship between the strain energy density and the strain rate rule in various stages of blasting was established. Based on the measured data, the implicit-explicit sequential solution method was applied to further analyze the variation of strain rate along the rock bar in different stages of the loading and unloading in deep rock mass. The results show that the average strain rate and the decay rate decrease gradually in the loading stage of the blasting. And the average strain rate in the unloading stage of the blasting decreases along the bar, while the strain energy induced by the initial stress can release steadily, and the corresponding average strain rate has no attenuation trend.
To explore the unloading of blasting excavation in highly-stressed rock masses for hydropower stations, an axial loading and unloading test platform was independently developed. The dynamic strain and strain rate data of rock bars during the blasting process were experimentally obtained. The measured data indicate that the strain rates in the rock bars are all above 10−1 s−1 during the blasting loading and unloading and the initial stress unloading near the excavation face. It is verified that the unloading of blasting excavation in the highly-stressed rock mass is a dynamic process. A one-dimensional mechanical model for the initial stress unloading was established, and the propagation mechanism of the unloading wave was revealed. By analyzing the temporal and spatial distribution characteristics of the strain energy density in the blasting unloading process, the relationship between the strain energy density and the strain rate rule in various stages of blasting was established. Based on the measured data, the implicit-explicit sequential solution method was applied to further analyze the variation of strain rate along the rock bar in different stages of the loading and unloading in deep rock mass. The results show that the average strain rate and the decay rate decrease gradually in the loading stage of the blasting. And the average strain rate in the unloading stage of the blasting decreases along the bar, while the strain energy induced by the initial stress can release steadily, and the corresponding average strain rate has no attenuation trend.
Energy dissipation analysis of elliptical truncated oval rigid projectilepenetrating stiffened plate
2019, 39(10): 103203.
doi: 10.11883/bzycj-2018-0350
Abstract:
In order to obtain the residual velocity of elliptical section truncated oval rigid projectile penetrating stiffened plate, according to the failure characteristics of elliptical section projectile penetrating target plate, it is considered that the main energy dissipation modes of target plate during penetration are plug shear deformation work and kinetic energy, hole expanding plastic deformation work, petal dynamic work and bending deformation work, dishing deformation work and lateral dishing deformation of the stiffened plate. Each energy calculation method is deduced theoretically, and the strain rate effects of target hole enlargement, petal bending and sag deformation are quantitatively considered in the calculation. According to the energy conservation relationship, the prediction formulas of residual velocity and ballistic limit velocity of elliptical cross-section projectiles are obtained, and the model is validated by experimental results. The results show that the penetration model considering the strain hardening and strain rate effect of the target plate can accurately predict the residual velocity of the projectile. With the increase of the ratio of the long axis to the short axis of the elliptical cross-section projectile body, the ballistic limit velocity of the target plate increases approximately linearly. When the ratio of the long axis to the short axis is less than 3, the main energy dissipation of the stiffened plate is the petal bending deformation energy and dishing deformation energy.
In order to obtain the residual velocity of elliptical section truncated oval rigid projectile penetrating stiffened plate, according to the failure characteristics of elliptical section projectile penetrating target plate, it is considered that the main energy dissipation modes of target plate during penetration are plug shear deformation work and kinetic energy, hole expanding plastic deformation work, petal dynamic work and bending deformation work, dishing deformation work and lateral dishing deformation of the stiffened plate. Each energy calculation method is deduced theoretically, and the strain rate effects of target hole enlargement, petal bending and sag deformation are quantitatively considered in the calculation. According to the energy conservation relationship, the prediction formulas of residual velocity and ballistic limit velocity of elliptical cross-section projectiles are obtained, and the model is validated by experimental results. The results show that the penetration model considering the strain hardening and strain rate effect of the target plate can accurately predict the residual velocity of the projectile. With the increase of the ratio of the long axis to the short axis of the elliptical cross-section projectile body, the ballistic limit velocity of the target plate increases approximately linearly. When the ratio of the long axis to the short axis is less than 3, the main energy dissipation of the stiffened plate is the petal bending deformation energy and dishing deformation energy.
2019, 39(10): 103301.
doi: 10.11883/bzycj-2018-0275
Abstract:
In order to obtain the damage data of reinforced concrete targets subjected to high-velocity impact of kinetic-energy projectiles, based on the large-caliber launch platform, penetration experiments were carried out by applying 100-mm-caliber oval projectiles with high velocity penetrating into reinforced concrete targets. The projectile mass is 5.4 kg, and the target dimensions have two kinds: 2 m × 2 m × 1.25 m and 2 m × 2 m × 1.50 m. The compressive strength of the concrete is 50 MPa, and the penetration velocity of the projectile ranges from 1 345 to 1 384 m/s. The penetration depths of the projectiles and the damage data of the reinforced concrete targets were obtained by the experiment. The reinforced concrete target model was established through the reinforced concrete all solid hexahedral separation common node modeling. The numerical simulation was then carried out by this modeling method combined with the Riedel-Hiermaier-Thoma constitutive model. Numerical simulation results display the variation and distribution of the tensile and compressive stresses in the steel bars in the penetration process. The reverse stretching phenomenon of the rebar mesh near the front surface and the tensile phenomenon of the rebar mesh near the rear surface are perfectly simulated by this method. The simulated penetration depth and the damage phenomenon of the reinforced concrete are in good agreement with the experimental results. It proves the reliability of the reinforced concrete all solid hexahedral separation common node modeling.
In order to obtain the damage data of reinforced concrete targets subjected to high-velocity impact of kinetic-energy projectiles, based on the large-caliber launch platform, penetration experiments were carried out by applying 100-mm-caliber oval projectiles with high velocity penetrating into reinforced concrete targets. The projectile mass is 5.4 kg, and the target dimensions have two kinds: 2 m × 2 m × 1.25 m and 2 m × 2 m × 1.50 m. The compressive strength of the concrete is 50 MPa, and the penetration velocity of the projectile ranges from 1 345 to 1 384 m/s. The penetration depths of the projectiles and the damage data of the reinforced concrete targets were obtained by the experiment. The reinforced concrete target model was established through the reinforced concrete all solid hexahedral separation common node modeling. The numerical simulation was then carried out by this modeling method combined with the Riedel-Hiermaier-Thoma constitutive model. Numerical simulation results display the variation and distribution of the tensile and compressive stresses in the steel bars in the penetration process. The reverse stretching phenomenon of the rebar mesh near the front surface and the tensile phenomenon of the rebar mesh near the rear surface are perfectly simulated by this method. The simulated penetration depth and the damage phenomenon of the reinforced concrete are in good agreement with the experimental results. It proves the reliability of the reinforced concrete all solid hexahedral separation common node modeling.
2019, 39(10): 103901.
doi: 10.11883/bzycj-2018-0214
Abstract:
Based on the acoustic coupling method in ABAQUS software, this paper adopts the equipment and platform integration analysis method on the study of medium floating shock platform. Discusses the impact of platform shape structure on platform shock environment, and proposes the design scheme to increase the transverse shock spectrum of the platform. First, the preliminary design of the shape structure is carried out to analyze its influence on the platform shock spectrum, and find the key factors which determine the influence degree. Then, optimize the structure to increase the shock spectrum of the platform. The calculation shows that the vertical shock spectrum of the platform is not significantly affected by the addition of baffle structure below the external platform, but the transverse shock spectrum will be improved. Due to the influence of shock wave diffraction and resistance, installing the vertical baffle at the bottom of the side can’t obviously increase the transverse shock spectral. The streamlined baffle at the bottom can effectively increase the receiving capacity of the platform on the explosive load.And at the same time, it can also reduce the influence of resistance as far as possible, so as to significantly increase the transverse shock spectrum of the platform.
Based on the acoustic coupling method in ABAQUS software, this paper adopts the equipment and platform integration analysis method on the study of medium floating shock platform. Discusses the impact of platform shape structure on platform shock environment, and proposes the design scheme to increase the transverse shock spectrum of the platform. First, the preliminary design of the shape structure is carried out to analyze its influence on the platform shock spectrum, and find the key factors which determine the influence degree. Then, optimize the structure to increase the shock spectrum of the platform. The calculation shows that the vertical shock spectrum of the platform is not significantly affected by the addition of baffle structure below the external platform, but the transverse shock spectrum will be improved. Due to the influence of shock wave diffraction and resistance, installing the vertical baffle at the bottom of the side can’t obviously increase the transverse shock spectral. The streamlined baffle at the bottom can effectively increase the receiving capacity of the platform on the explosive load.And at the same time, it can also reduce the influence of resistance as far as possible, so as to significantly increase the transverse shock spectrum of the platform.
2019, 39(10): 104101.
doi: 10.11883/bzycj-2018-0301
Abstract:
Compared to the split Hopkinson pressure bar (SHPB) technique, the direct impact Hopkinson pressure bar (DIHPB) method can usually obtain a higher strain rate in dynamic tests of material properties. Based on the DIHPB system, a new double shear specimen was used to measure the shear stress-shear strain curves of 603 steel at strain rates ranging from 1 500 s−1 to 33 000 s−1. Through comparison with the testing results achieved in a SHPB system, it is found that the flow stresses determined by the two methods have a good consistency, but a difference exists in the rising parts of the flow stress curves. Numerical simulation was carried out to validate the DIHPB method, and the proper testing condition of this method was analyzed. With this method, it was observed that the flow stress of 603 steel showed an obvious strain rate effect. At higher loading speeds, however, the failure stress of the material presented a decreasing tendency with the increase of the loading speed.
Compared to the split Hopkinson pressure bar (SHPB) technique, the direct impact Hopkinson pressure bar (DIHPB) method can usually obtain a higher strain rate in dynamic tests of material properties. Based on the DIHPB system, a new double shear specimen was used to measure the shear stress-shear strain curves of 603 steel at strain rates ranging from 1 500 s−1 to 33 000 s−1. Through comparison with the testing results achieved in a SHPB system, it is found that the flow stresses determined by the two methods have a good consistency, but a difference exists in the rising parts of the flow stress curves. Numerical simulation was carried out to validate the DIHPB method, and the proper testing condition of this method was analyzed. With this method, it was observed that the flow stress of 603 steel showed an obvious strain rate effect. At higher loading speeds, however, the failure stress of the material presented a decreasing tendency with the increase of the loading speed.
2019, 39(10): 104102.
doi: 10.11883/bzycj-2019-0233
Abstract:
In order to improve the measurement accuracy of shock wave overpressure peak, most scholars focus on the study of high-frequency characteristics of the system for improving the accuracy of peak value measurement by broadening the bandwidth. The other two main parameters of the shock wave, positive pressure action time and specific impulse, are closely related to the low frequency characteristics of the test system. Aimed at the problem that the positive pressure action time of different sensors varies greatly in real explosion, the marginal spectrum analysis of the shock wave signal was carried out, and the low frequency characteristics of the signals were obtained. A first-order parametric model was established to characterize the low-frequency characteristics, and the low-frequency model parameters of seven systems were obtained from the experimental data of shock tube. The low-frequency compensation model was designed by the zero pole configuration method. The results show that the low-frequency characteristics of shock wave testing systems seriously affect the accuracy of positive pressure action time measurement of shock wave signals. The data processing method based on the low-frequency characteristic compensation can effectively improve the measurement accuracy of positive pressure action time and specific impulse of shock wave signals.
In order to improve the measurement accuracy of shock wave overpressure peak, most scholars focus on the study of high-frequency characteristics of the system for improving the accuracy of peak value measurement by broadening the bandwidth. The other two main parameters of the shock wave, positive pressure action time and specific impulse, are closely related to the low frequency characteristics of the test system. Aimed at the problem that the positive pressure action time of different sensors varies greatly in real explosion, the marginal spectrum analysis of the shock wave signal was carried out, and the low frequency characteristics of the signals were obtained. A first-order parametric model was established to characterize the low-frequency characteristics, and the low-frequency model parameters of seven systems were obtained from the experimental data of shock tube. The low-frequency compensation model was designed by the zero pole configuration method. The results show that the low-frequency characteristics of shock wave testing systems seriously affect the accuracy of positive pressure action time measurement of shock wave signals. The data processing method based on the low-frequency characteristic compensation can effectively improve the measurement accuracy of positive pressure action time and specific impulse of shock wave signals.
2019, 39(10): 104103.
doi: 10.11883/bzycj-2018-0371
Abstract:
Compared with the fixed connection methods such as thread and adhesive commonly used in the split Hopkinson tensile bar experiments, the hook-sheet specimen has the advantages of simple connection form and quick assembly process. Aiming at measurement uncertainty caused by structural geometric effect of the hook-sheet specimen during the stretching process, based on the indicators for measurement accuracy of hook-sheet specimen, such as response of stress equilibrium, deformation uniformity, relative deformation of the transition zones and non-axial stress level, this paper adopted the multi-objective intelligent collaborative optimization algorithm which comprises orthogonal experimental design, back propagation (BP) neural network and genetic algorithm to optimize the structural parameters of hook-sheet specimen. The optimal structural parameters for hook-sheet specimen is thus obtained and the validity of the optimal structural parameters is verified by finite element simulations and experiments. The results provide a reference for data reliability analysis of split Hopkinson tensile bar experiments based on hook-joint sheet specimen.
Compared with the fixed connection methods such as thread and adhesive commonly used in the split Hopkinson tensile bar experiments, the hook-sheet specimen has the advantages of simple connection form and quick assembly process. Aiming at measurement uncertainty caused by structural geometric effect of the hook-sheet specimen during the stretching process, based on the indicators for measurement accuracy of hook-sheet specimen, such as response of stress equilibrium, deformation uniformity, relative deformation of the transition zones and non-axial stress level, this paper adopted the multi-objective intelligent collaborative optimization algorithm which comprises orthogonal experimental design, back propagation (BP) neural network and genetic algorithm to optimize the structural parameters of hook-sheet specimen. The optimal structural parameters for hook-sheet specimen is thus obtained and the validity of the optimal structural parameters is verified by finite element simulations and experiments. The results provide a reference for data reliability analysis of split Hopkinson tensile bar experiments based on hook-joint sheet specimen.
2019, 39(10): 104104.
doi: 10.11883/bzycj-2018-0335
Abstract:
To discuss the radial inertia effect of UHPC impact test using SHPB, the numerical simulation and analysis using the software LS-DYNA are conducted by varying the specimen diameter, length-diameter ratio and constant strain rate loading. The dynamic damage behavior of UHPC material is fitted by optimizing the parameters of Karagozian-Case-Concrete (KCC) damage model in LS-DYNA. An impact model of UHPC is established and calibrated by SHPB experiments. The parameters of different UHPC specimens with or without pulse shaper were analyzed, and their effects on the radial inertia effect in SHPB test were discussed. The results show that: (1) to realize one-dimensional stress wave during the loading and stress equilibrium of specimen, the diameter of UHPC specimen is suggested to be 0.90−0.95 times the bar diameter; (2) the limited effect of aspect ratio of UHPC specimen on the stress equilibrium is observed, so the aspect ratio of UHPC specimen is suggested to be 0.35−0.45 for satisfying the uniformity of steel fiber distribution in fabrication and ensuring one-dimensional stress wave propagation; (3) the constant strain rate loading is an important prerequisite for eliminating the radial inertia effect of UHPC materials in SHPB impact test.
To discuss the radial inertia effect of UHPC impact test using SHPB, the numerical simulation and analysis using the software LS-DYNA are conducted by varying the specimen diameter, length-diameter ratio and constant strain rate loading. The dynamic damage behavior of UHPC material is fitted by optimizing the parameters of Karagozian-Case-Concrete (KCC) damage model in LS-DYNA. An impact model of UHPC is established and calibrated by SHPB experiments. The parameters of different UHPC specimens with or without pulse shaper were analyzed, and their effects on the radial inertia effect in SHPB test were discussed. The results show that: (1) to realize one-dimensional stress wave during the loading and stress equilibrium of specimen, the diameter of UHPC specimen is suggested to be 0.90−0.95 times the bar diameter; (2) the limited effect of aspect ratio of UHPC specimen on the stress equilibrium is observed, so the aspect ratio of UHPC specimen is suggested to be 0.35−0.45 for satisfying the uniformity of steel fiber distribution in fabrication and ensuring one-dimensional stress wave propagation; (3) the constant strain rate loading is an important prerequisite for eliminating the radial inertia effect of UHPC materials in SHPB impact test.
Simulation of hypervelocity impact by the material point method coupled with a new equation of state
2019, 39(10): 104201.
doi: 10.11883/bzycj-2018-0261
Abstract:
In the numerical simulation of hypervelocity impact problems, the equation of state (EOS) is used to calculate the pressure of the material. In order to simulate the hypervelocity impact problems more accurately, a new EOS which has a clear expression and the ability to deal with the phase transformation, is established based on the Grover scaling-law EOS and the molecular dynamics (MD) method. The MD method was used to calculate the cold energy and the cold pressure of the material. In this paper, all numerical results are achieved through a cylindrical-coordinate material point method (MPM) calculating program. By comparing the numerical results with the experimental result, the shape and size of the debris cloud calculated with the new EOS are both more similar to the experimental result than the ones calculated with the traditional equations of state. The effectiveness of the new EOS is proven. The new EOS is valuable in the numerical research on hypervelocity impact problems.
In the numerical simulation of hypervelocity impact problems, the equation of state (EOS) is used to calculate the pressure of the material. In order to simulate the hypervelocity impact problems more accurately, a new EOS which has a clear expression and the ability to deal with the phase transformation, is established based on the Grover scaling-law EOS and the molecular dynamics (MD) method. The MD method was used to calculate the cold energy and the cold pressure of the material. In this paper, all numerical results are achieved through a cylindrical-coordinate material point method (MPM) calculating program. By comparing the numerical results with the experimental result, the shape and size of the debris cloud calculated with the new EOS are both more similar to the experimental result than the ones calculated with the traditional equations of state. The effectiveness of the new EOS is proven. The new EOS is valuable in the numerical research on hypervelocity impact problems.
2019, 39(10): 105401.
doi: 10.11883/bzycj-2018-0297
Abstract:
In this paper we established a horizontal pipeline geometric model based on the horizontal pipeline coal dust explosion experimental device to study the characteristics of impinging airflow and CO gas generation during lignite explosion, and constructed the mathematical model of the coal-dust explosion dynamic propagation according to the 1∶1 ratio, with the characteristics of the airflow propagation and CO generation simulated. The results verified the reliability of the simulation by comparing the simulated and measured values of the lignite explosion flame propagation distance at different times. The spatial region is divided by the simulated velocity of the impinging airflow: z=0−0.10 m is the initial dusting zone, z=0.10−0.42 m is the impact airflow velocity jump zone, and z=0.42−0.98 m is the high velocity propagation zone of the impinging airflow. z=0.98−1.40 m is the impinging airflow buffer. The farther away from the centers of the z=0.20 m and z=0.40 m cross-sections, the greater the velocity of the impinging airflow, resulting from the " wall effect” of the fluid flow. The void ratio near the wall is larger than that in the inside of the fluid, and the resistance is weak when flowing. Therefore, the impinging airflow exhibits a relatively greater flow velocity near the wall. The simulation of the formation of CO gas products shows that z=0.30−0.60 m in the tube is the spatial range with the highest CO mass fraction, and the local maximum is 0.024%−0.026%. At z>0.70 m, the particles were subjected to the gravity, and the high-temperature gas generated by the explosion was subjected to the buoyancy, resulting in a tendency of the CO gas product to sink.
In this paper we established a horizontal pipeline geometric model based on the horizontal pipeline coal dust explosion experimental device to study the characteristics of impinging airflow and CO gas generation during lignite explosion, and constructed the mathematical model of the coal-dust explosion dynamic propagation according to the 1∶1 ratio, with the characteristics of the airflow propagation and CO generation simulated. The results verified the reliability of the simulation by comparing the simulated and measured values of the lignite explosion flame propagation distance at different times. The spatial region is divided by the simulated velocity of the impinging airflow: z=0−0.10 m is the initial dusting zone, z=0.10−0.42 m is the impact airflow velocity jump zone, and z=0.42−0.98 m is the high velocity propagation zone of the impinging airflow. z=0.98−1.40 m is the impinging airflow buffer. The farther away from the centers of the z=0.20 m and z=0.40 m cross-sections, the greater the velocity of the impinging airflow, resulting from the " wall effect” of the fluid flow. The void ratio near the wall is larger than that in the inside of the fluid, and the resistance is weak when flowing. Therefore, the impinging airflow exhibits a relatively greater flow velocity near the wall. The simulation of the formation of CO gas products shows that z=0.30−0.60 m in the tube is the spatial range with the highest CO mass fraction, and the local maximum is 0.024%−0.026%. At z>0.70 m, the particles were subjected to the gravity, and the high-temperature gas generated by the explosion was subjected to the buoyancy, resulting in a tendency of the CO gas product to sink.
2019, 39(10): 105402.
doi: 10.11883/bzycj-2019-0006
Abstract:
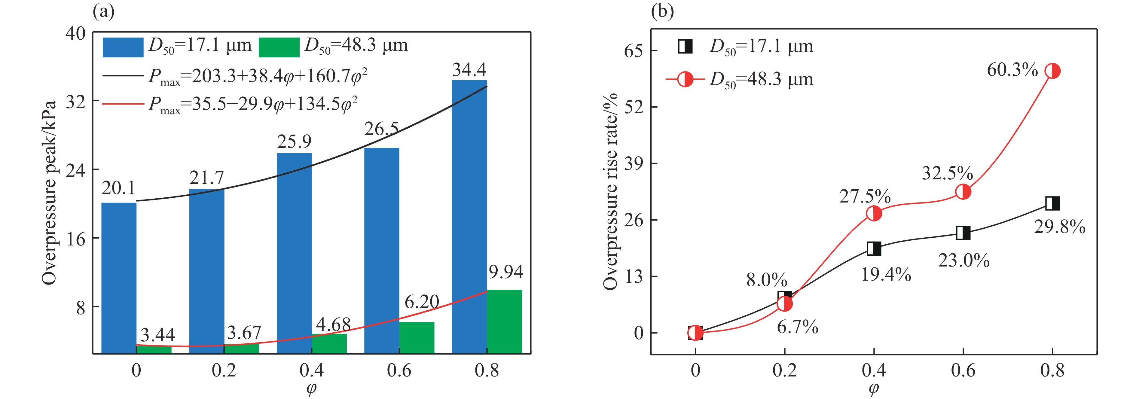
In this work, experimenting on a self-built vertically transparent duct, we investigated the influence of the blocking ratio (φ) for duct-end venting on the explosive characteristics of aluminum dust explosion through analysis of its such characteristics as the flame front evolution and pressure history. The results show that the blocking ratio had a great influence on the flame front structure of aluminum powder of a small particle size. The overpressure in the pipeline exhibited a bimodal waveform and there was an inflection point of the blocking ratio φ=0.4 where the dominance of two overpressure peaks reversed. The first overpressure peak as a function of the blocking ratio was different from that of the second beyond the inflection point. The first overpressure peak increased as did the blocking ratio, and the increase rate rose greatly with φ=0.4 as the turning point. The second overpressure peak first rose and then fell with the increase of the blocking ratio, and reached the maximum at φ=0.4. Both peak values as a function of the blocking ratio for the large particle size were similar to that for the small particle size. However, the inflection point shifted to φ=0.6. The maximum (dominant) overpressure peak increased with the increase of the blocking ratio. A smaller particle size dust is prone to generating a more hazardous overpressure.
In this work, experimenting on a self-built vertically transparent duct, we investigated the influence of the blocking ratio (φ) for duct-end venting on the explosive characteristics of aluminum dust explosion through analysis of its such characteristics as the flame front evolution and pressure history. The results show that the blocking ratio had a great influence on the flame front structure of aluminum powder of a small particle size. The overpressure in the pipeline exhibited a bimodal waveform and there was an inflection point of the blocking ratio φ=0.4 where the dominance of two overpressure peaks reversed. The first overpressure peak as a function of the blocking ratio was different from that of the second beyond the inflection point. The first overpressure peak increased as did the blocking ratio, and the increase rate rose greatly with φ=0.4 as the turning point. The second overpressure peak first rose and then fell with the increase of the blocking ratio, and reached the maximum at φ=0.4. Both peak values as a function of the blocking ratio for the large particle size were similar to that for the small particle size. However, the inflection point shifted to φ=0.6. The maximum (dominant) overpressure peak increased with the increase of the blocking ratio. A smaller particle size dust is prone to generating a more hazardous overpressure.


Read OL
PDF
Cited by