2019年 39卷 第9期
2019, 39(9): 092101.
doi: 10.11883/bzycj-2018-0208
摘要:
旋转爆轰发动机具有比传统航空航天发动机更高的燃烧效率,近年来引起人们的关注。其中,点火启动过程尤为重要。为达到一次点火就能在燃烧室内建立稳定旋转爆轰波的目的,本文提出通过控制点火前燃料初始分布来建立稳定旋转爆轰波的方法,并基于纳维-斯托克斯方程与10组分27可逆反应基元化学反应模型的数值模拟验证了该方法的可行性。对旋转爆轰波传播特性的研究表明,燃料在发动机燃烧室中的分布是影响旋转爆轰波建立的关键。在燃料喷注压力较低时此影响尤为明显,它决定了爆轰波发展第一周期内波前燃料层厚度。而波前燃料层与波的稳定传播密切相关。基于该方法,本文对燃烧室初始流速为360 m/s,喷注总压0.4 MPa的旋转爆轰发动机实现了点火至稳定爆轰,得到的爆轰波传播平均速度为1 604 m/s,频率为5 347.6 Hz。此外,燃料初始填充率作为燃料初始分布的量化指标,文中给出了它建立稳定旋转爆轰时的临界范围。
旋转爆轰发动机具有比传统航空航天发动机更高的燃烧效率,近年来引起人们的关注。其中,点火启动过程尤为重要。为达到一次点火就能在燃烧室内建立稳定旋转爆轰波的目的,本文提出通过控制点火前燃料初始分布来建立稳定旋转爆轰波的方法,并基于纳维-斯托克斯方程与10组分27可逆反应基元化学反应模型的数值模拟验证了该方法的可行性。对旋转爆轰波传播特性的研究表明,燃料在发动机燃烧室中的分布是影响旋转爆轰波建立的关键。在燃料喷注压力较低时此影响尤为明显,它决定了爆轰波发展第一周期内波前燃料层厚度。而波前燃料层与波的稳定传播密切相关。基于该方法,本文对燃烧室初始流速为360 m/s,喷注总压0.4 MPa的旋转爆轰发动机实现了点火至稳定爆轰,得到的爆轰波传播平均速度为1 604 m/s,频率为5 347.6 Hz。此外,燃料初始填充率作为燃料初始分布的量化指标,文中给出了它建立稳定旋转爆轰时的临界范围。
2019, 39(9): 092102.
doi: 10.11883/bzycj-2018-0183
摘要:
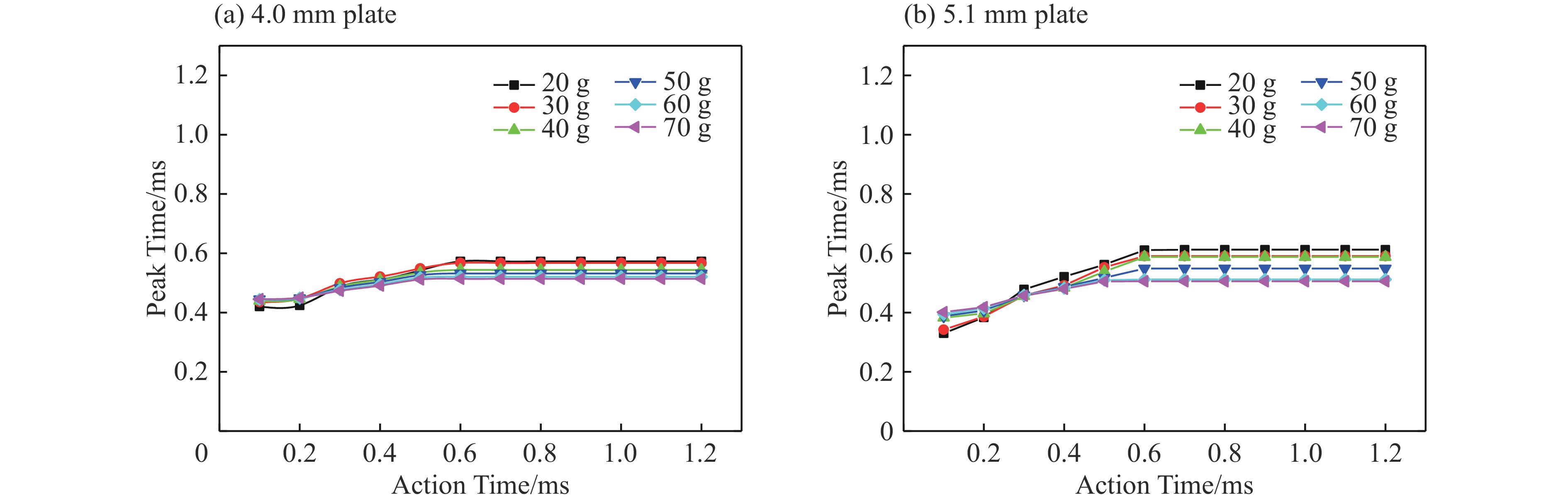
针对舱内爆炸载荷形式复杂、作用时间长、缺乏有效的简化描述方法的问题,首先采用显式动力学计算程序开展了内爆载荷作用下钢板动态响应的数值计算,在与试验结果对比验证的基础上分析了金属板的内爆载荷饱和冲量。通过对216种不同爆炸载荷加载时长与金属板响应关系的分析,提出了内爆炸载荷作用下结构最大变形所对应的饱和时间计算经验公式,并给出了饱和时间的无量纲系数建议值。考虑到内爆载荷初始冲击波的影响,结合爆炸载荷饱和作用时间的规律,提出了封闭空间爆炸载荷的矩形载荷等效方法,对比了18组简化载荷与耦合载荷分别作用下钢板的动力响应,验证了等效方法的有效性。
针对舱内爆炸载荷形式复杂、作用时间长、缺乏有效的简化描述方法的问题,首先采用显式动力学计算程序开展了内爆载荷作用下钢板动态响应的数值计算,在与试验结果对比验证的基础上分析了金属板的内爆载荷饱和冲量。通过对216种不同爆炸载荷加载时长与金属板响应关系的分析,提出了内爆炸载荷作用下结构最大变形所对应的饱和时间计算经验公式,并给出了饱和时间的无量纲系数建议值。考虑到内爆载荷初始冲击波的影响,结合爆炸载荷饱和作用时间的规律,提出了封闭空间爆炸载荷的矩形载荷等效方法,对比了18组简化载荷与耦合载荷分别作用下钢板的动力响应,验证了等效方法的有效性。
2019, 39(9): 092201.
doi: 10.11883/bzycj-2018-0210
摘要:
由于水下爆炸过程中爆轰产物的信息以水中压缩波形式向外传递,本文旨在探讨如何利用水下爆炸试验数据确定爆轰产物的状态方程。相较于常规圆筒试验,水下爆炸试验具有装置简单成本低、装药尺寸限制少、测定压力范围更广的特点,更适用于大药量或非理想炸药的现场测试。本文从水中冲击波轨迹和波后压力时程曲线出发,发展了由冲击波及其波后流场还原水气界面的逆特征线算法,以及根据水气界面确定爆轰产物状态方程的遗传算法。与水下爆炸正演结果对比,发现逆特征线法可以较准确地还原水气界面的位置和压力参数,有效压力下限可达2 MPa,远低于圆筒试验的测试下限0.1 GPa。根据水气界面的反演结果,遗传算法也能稳定地优化JWL方程参数,8种常用炸药的等熵衰减压力误差在爆压至0.01 GPa的区间内都小于3%。结果表明,利用本文的逆特征线算法和遗传算法,理论上可以反演出压力范围较宽、准确性较高的爆轰产物状态方程。
由于水下爆炸过程中爆轰产物的信息以水中压缩波形式向外传递,本文旨在探讨如何利用水下爆炸试验数据确定爆轰产物的状态方程。相较于常规圆筒试验,水下爆炸试验具有装置简单成本低、装药尺寸限制少、测定压力范围更广的特点,更适用于大药量或非理想炸药的现场测试。本文从水中冲击波轨迹和波后压力时程曲线出发,发展了由冲击波及其波后流场还原水气界面的逆特征线算法,以及根据水气界面确定爆轰产物状态方程的遗传算法。与水下爆炸正演结果对比,发现逆特征线法可以较准确地还原水气界面的位置和压力参数,有效压力下限可达2 MPa,远低于圆筒试验的测试下限0.1 GPa。根据水气界面的反演结果,遗传算法也能稳定地优化JWL方程参数,8种常用炸药的等熵衰减压力误差在爆压至0.01 GPa的区间内都小于3%。结果表明,利用本文的逆特征线算法和遗传算法,理论上可以反演出压力范围较宽、准确性较高的爆轰产物状态方程。
2019, 39(9): 092202.
doi: 10.11883/bzycj-2018-0255
摘要:
针对战场损伤试验中弹药费用高、使用风险系数大的问题,采用量纲分析的方法对圆柱形弹药相似性模型的建立方法进行分析,研究原型同相似性模型之间冲击波峰值压力的关系,利用有限元仿真软件AUTODYN对冲击波传播过程进行数值仿真,并结合实弹试验数据对相似模型的有效性进行验证。研究结果表明,AUTODYN仿真结果同量纲分析结果一致,同时与实弹试验结果也吻合较好,说明在实际试验中可以使用缩比模型替代原型进行试验。该研究为弹药缩比模型在战场损伤试验中的使用提供了理论基础,具有一定的工程价值。
针对战场损伤试验中弹药费用高、使用风险系数大的问题,采用量纲分析的方法对圆柱形弹药相似性模型的建立方法进行分析,研究原型同相似性模型之间冲击波峰值压力的关系,利用有限元仿真软件AUTODYN对冲击波传播过程进行数值仿真,并结合实弹试验数据对相似模型的有效性进行验证。研究结果表明,AUTODYN仿真结果同量纲分析结果一致,同时与实弹试验结果也吻合较好,说明在实际试验中可以使用缩比模型替代原型进行试验。该研究为弹药缩比模型在战场损伤试验中的使用提供了理论基础,具有一定的工程价值。
2019, 39(9): 092301.
doi: 10.11883/bzycj-2018-0256
摘要:
采用混合压制烧结法制备了4种不同TiH2含量的铝/氢化钛/聚四氟乙烯(Al/TiH2/PTFE)试件,并基于分离式霍普金森杆和落锤冲击实验,对反应材料的动态压缩力学性能、撞击感度及反应特性进行了研究。实验结果表明,4种材料均存在应变硬化和应变率硬化效应,随加载应变率的提高,材料屈服强度和硬化模量增大。相同加载应变率下,材料屈服强度随TiH2含量的增加而增高,材料压缩强度则先增高后降低,TiH2质量分数为5%时材料压缩强度达到最大值166.4 MPa,比Al/PTFE强度提高6.8%。在一定含量范围内(小于5%),加入TiH2有助于提高Al/PTFE材料撞击感度和能量释放水平,而TiH2质量分数大于10%时,材料撞击感度和反应剧烈程度则逐渐降低。与Al/PTFE相比,含TiH2试件反应火光周围有明显的火星喷溅现象,且此现象TiH2含量越高越显著。
采用混合压制烧结法制备了4种不同TiH2含量的铝/氢化钛/聚四氟乙烯(Al/TiH2/PTFE)试件,并基于分离式霍普金森杆和落锤冲击实验,对反应材料的动态压缩力学性能、撞击感度及反应特性进行了研究。实验结果表明,4种材料均存在应变硬化和应变率硬化效应,随加载应变率的提高,材料屈服强度和硬化模量增大。相同加载应变率下,材料屈服强度随TiH2含量的增加而增高,材料压缩强度则先增高后降低,TiH2质量分数为5%时材料压缩强度达到最大值166.4 MPa,比Al/PTFE强度提高6.8%。在一定含量范围内(小于5%),加入TiH2有助于提高Al/PTFE材料撞击感度和能量释放水平,而TiH2质量分数大于10%时,材料撞击感度和反应剧烈程度则逐渐降低。与Al/PTFE相比,含TiH2试件反应火光周围有明显的火星喷溅现象,且此现象TiH2含量越高越显著。
2019, 39(9): 093101.
doi: 10.11883/bzycj-2018-0193
摘要:
本文针对单向增强玻璃钢复合材料,进行了一系列静/动态拉伸试验,利用高速摄影与DIC相结合的方法,获得了材料不同方向、不同应变率的应力-应变曲线以及材料在不同方向上的动态失效应变,精确地描述了材料的静/动态拉伸及失效行为。实验结果表明,纤维增强方向在不同应变率(10−3、10、102 s−1)拉伸应力-应变曲线均存在一个刚度减小的刚度变化点N,变化后的Echanged分别为初始弹性模量Einitial的67.5%、39.0%、21.4%。此材料在不同应变率(10−3、10、102 s−1)拉伸情况下,纤维增强的方向1上强度最高(分别为608、967、1 123 MPa),方向2强度最低(分别为75、67、58 MPa),方向3强度较低(分别为90、151、221 MPa)。利用高速摄影与DIC相结合的方法,获得了100 s−1应变率下,不同铺层方向破坏时刻的动态失效参数(方向1~3的动态失效应变分别为0.267、0.078、0.099),可以更加精确地描述此单向增强玻璃钢复合材料的动态失效行为。
本文针对单向增强玻璃钢复合材料,进行了一系列静/动态拉伸试验,利用高速摄影与DIC相结合的方法,获得了材料不同方向、不同应变率的应力-应变曲线以及材料在不同方向上的动态失效应变,精确地描述了材料的静/动态拉伸及失效行为。实验结果表明,纤维增强方向在不同应变率(10−3、10、102 s−1)拉伸应力-应变曲线均存在一个刚度减小的刚度变化点N,变化后的Echanged分别为初始弹性模量Einitial的67.5%、39.0%、21.4%。此材料在不同应变率(10−3、10、102 s−1)拉伸情况下,纤维增强的方向1上强度最高(分别为608、967、1 123 MPa),方向2强度最低(分别为75、67、58 MPa),方向3强度较低(分别为90、151、221 MPa)。利用高速摄影与DIC相结合的方法,获得了100 s−1应变率下,不同铺层方向破坏时刻的动态失效参数(方向1~3的动态失效应变分别为0.267、0.078、0.099),可以更加精确地描述此单向增强玻璃钢复合材料的动态失效行为。
2019, 39(9): 093102.
doi: 10.11883/bzycj-2018-0191
摘要:
为了探究冲击荷载与火灾联合作用下钢纤维混凝土(steel fiber reinforced concrete, SFRC)梁的力学性能,联合应用高性能落锤试验系统、四点弯曲实验装置与装配式电炉开展了4根SFRC梁的冲击实验与高温恒载实验,观察了其破坏模式并记录了跨中位移和钢筋应变的时程曲线,探讨了冲击损伤SFRC梁的抗火性能。此外,在实验研究的基础上,考虑材料的应变率强化效应及温度软化效应,建立数值模型,首先对梁进行冲击加载模拟,并以冲击模拟结果为初始状态,采用热-力“顺序”耦合方法,对冲击加载与高温恒载联合作用下SFRC梁的力学行为进行了三维宏观有限元数值模拟。同时,考虑混凝土内部结构非均质性的影响,采用类似步骤,开展了细观模拟。宏/细观模拟结果与实验结果的良好吻合验证了本文数值方法的合理性与有效性,并体现了细观方法的优越性。研究发现,冲击能量较小时,SFRC梁在冲击荷载作用下,尽管局部混凝土开裂,梁整体残余变形较小,抗火性能有一定程度的下降;随着钢纤维掺量增大,混凝土基体抗剪强度增大,SFRC梁在冲击荷载作用下的开裂形态由弯剪裂缝并存向以弯曲裂缝为主转变;冲击损伤SFRC梁在高温恒载作用下裂缝分布较为集中,且发生脆性破坏。
为了探究冲击荷载与火灾联合作用下钢纤维混凝土(steel fiber reinforced concrete, SFRC)梁的力学性能,联合应用高性能落锤试验系统、四点弯曲实验装置与装配式电炉开展了4根SFRC梁的冲击实验与高温恒载实验,观察了其破坏模式并记录了跨中位移和钢筋应变的时程曲线,探讨了冲击损伤SFRC梁的抗火性能。此外,在实验研究的基础上,考虑材料的应变率强化效应及温度软化效应,建立数值模型,首先对梁进行冲击加载模拟,并以冲击模拟结果为初始状态,采用热-力“顺序”耦合方法,对冲击加载与高温恒载联合作用下SFRC梁的力学行为进行了三维宏观有限元数值模拟。同时,考虑混凝土内部结构非均质性的影响,采用类似步骤,开展了细观模拟。宏/细观模拟结果与实验结果的良好吻合验证了本文数值方法的合理性与有效性,并体现了细观方法的优越性。研究发现,冲击能量较小时,SFRC梁在冲击荷载作用下,尽管局部混凝土开裂,梁整体残余变形较小,抗火性能有一定程度的下降;随着钢纤维掺量增大,混凝土基体抗剪强度增大,SFRC梁在冲击荷载作用下的开裂形态由弯剪裂缝并存向以弯曲裂缝为主转变;冲击损伤SFRC梁在高温恒载作用下裂缝分布较为集中,且发生脆性破坏。
2019, 39(9): 093103.
doi: 10.11883/bzycj-2018-0270
摘要:
通过采用大热惯性试件快速加载技术和波形整形技术,对3种冰材料在−18 ℃下的动态压缩性能进行测试,实验中试件达到了应力均衡和近似恒应变率加载等条件。通过实验波形对比分析,解释了反射波和透射波中的“双峰现象”。在700~2 700 s−1的应变率范围内,纯冰试件的压缩强度为14.5~49.3 MPa,相比于准静态结果表现出明显的动态增强效应。含有杂质的冰试件总体峰值应力相比于纯水冰试件有较大提升,而峰值应力对应的平均应变在减小,这表明添加了杂质的冰试件动态模量增大,冰材料变得更硬,其抵抗变形的能力更强。b型试件所表现出的强度(41.3~51.6 MPa)较a、c型试件均有提高并且分散性较小,说明该试件中杂质与冰晶体之间的结合力较强,抑制了微裂纹的萌生、扩展、成核等过程。
通过采用大热惯性试件快速加载技术和波形整形技术,对3种冰材料在−18 ℃下的动态压缩性能进行测试,实验中试件达到了应力均衡和近似恒应变率加载等条件。通过实验波形对比分析,解释了反射波和透射波中的“双峰现象”。在700~2 700 s−1的应变率范围内,纯冰试件的压缩强度为14.5~49.3 MPa,相比于准静态结果表现出明显的动态增强效应。含有杂质的冰试件总体峰值应力相比于纯水冰试件有较大提升,而峰值应力对应的平均应变在减小,这表明添加了杂质的冰试件动态模量增大,冰材料变得更硬,其抵抗变形的能力更强。b型试件所表现出的强度(41.3~51.6 MPa)较a、c型试件均有提高并且分散性较小,说明该试件中杂质与冰晶体之间的结合力较强,抑制了微裂纹的萌生、扩展、成核等过程。
2019, 39(9): 093104.
doi: 10.11883/bzycj-2018-0221
摘要:
为了更好的进行ZrCuNiAlAg块体非晶合金药型罩的爆炸成形及侵彻仿真研究,首要就是建立其材料模型。本文结合ZrCuNiAlAg块体非晶合金力学性能试验结果计算得到了材料的JH-2模型参数,研究确定了ZrCuNiAlAg块体非晶合金JH-2模型。为了验证ZrCuNiAlAg块体非晶合金JH-2模型的准确性,采用Autodyn建立了平板撞击试验有限元模型,模拟了ZrCuNiAlAg块体非晶合金材料在高压、高应变率等环境条件下的变形过程,仿真计算得到的靶板背面自由面粒子速度与试验结果相比,速度平均偏差均在3%以内,表明ZrCuNiAlAg块体非晶合金JH-2模型能很好的描述该材料在大变形、高应变率、高压等环境条件下的力学行为,验证了ZrCuNiAlAg块体非晶合金JH-2模型准确性。
为了更好的进行ZrCuNiAlAg块体非晶合金药型罩的爆炸成形及侵彻仿真研究,首要就是建立其材料模型。本文结合ZrCuNiAlAg块体非晶合金力学性能试验结果计算得到了材料的JH-2模型参数,研究确定了ZrCuNiAlAg块体非晶合金JH-2模型。为了验证ZrCuNiAlAg块体非晶合金JH-2模型的准确性,采用Autodyn建立了平板撞击试验有限元模型,模拟了ZrCuNiAlAg块体非晶合金材料在高压、高应变率等环境条件下的变形过程,仿真计算得到的靶板背面自由面粒子速度与试验结果相比,速度平均偏差均在3%以内,表明ZrCuNiAlAg块体非晶合金JH-2模型能很好的描述该材料在大变形、高应变率、高压等环境条件下的力学行为,验证了ZrCuNiAlAg块体非晶合金JH-2模型准确性。
2019, 39(9): 093201.
doi: 10.11883/bzycj-2018-0212
摘要:
基于LS-DYNA软件中的ALE算法,对近水面水下爆炸气泡脉动过程进行数值模拟并与实验结果进行对比,验证了近水面近壁面混合边界有限元模型和参数设置的正确性。设置不同爆炸工况,对气泡及其破碎兴波对浮动冲击平台影响进行探究,结果表明:在水下爆炸过程中,气泡、自由面、浮动冲击平台会发生强烈的耦合作用,在气泡脉动阶段,气泡会诱导出涌流和水冢效应,影响浮动冲击平台的安全性和使用性;冲击波是影响浮动冲击平台冲击环境的主要因素,由于气泡的低频性,气泡脉动及水冢对浮动冲击平台的直接冲击作用,会小幅度增加浮动冲击平台冲击环境的谱速度值、谱位移值,对谱加速度值几乎无影响;水冢抨击水面所形成的波浪和气泡破碎兴波,对浮动冲击平台造成的激励载荷呈周期性,其周期与波浪周期相同。波浪的激励载荷仅通过激励其对应频率的浮动冲击平台共振来改变平台的冲击环境。波浪载荷很小,对浮动冲击平台的冲击环境影响较小。
基于LS-DYNA软件中的ALE算法,对近水面水下爆炸气泡脉动过程进行数值模拟并与实验结果进行对比,验证了近水面近壁面混合边界有限元模型和参数设置的正确性。设置不同爆炸工况,对气泡及其破碎兴波对浮动冲击平台影响进行探究,结果表明:在水下爆炸过程中,气泡、自由面、浮动冲击平台会发生强烈的耦合作用,在气泡脉动阶段,气泡会诱导出涌流和水冢效应,影响浮动冲击平台的安全性和使用性;冲击波是影响浮动冲击平台冲击环境的主要因素,由于气泡的低频性,气泡脉动及水冢对浮动冲击平台的直接冲击作用,会小幅度增加浮动冲击平台冲击环境的谱速度值、谱位移值,对谱加速度值几乎无影响;水冢抨击水面所形成的波浪和气泡破碎兴波,对浮动冲击平台造成的激励载荷呈周期性,其周期与波浪周期相同。波浪的激励载荷仅通过激励其对应频率的浮动冲击平台共振来改变平台的冲击环境。波浪载荷很小,对浮动冲击平台的冲击环境影响较小。
2019, 39(9): 093301.
doi: 10.11883/bzycj-2018-0242
摘要:
为了给侵彻引信抗高过载优化设计提供准确的力学输入,将机械振动理论引入侵彻过程建模领域,提出了一种侵彻战斗部刚体运动与一阶轴向振动相结合的垂直侵彻弹靶作用模型。在垂直侵彻过程受力分析的基础上,基于牛顿第二定律建立了战斗部刚体运动模型,基于单自由度弹簧-质量-阻尼系统建立了战斗部一阶轴向振动模型,并采用数值积分的方法获得了垂直侵彻过程中各物理量的变化规律。和火炮试验实测加速度信号的对比分析结果表明:考虑战斗部一阶轴向振动后的垂直侵彻弹靶作用模型能更准确地描述侵彻过程,能更有效地指导侵彻引信的抗高过载优化设计。
为了给侵彻引信抗高过载优化设计提供准确的力学输入,将机械振动理论引入侵彻过程建模领域,提出了一种侵彻战斗部刚体运动与一阶轴向振动相结合的垂直侵彻弹靶作用模型。在垂直侵彻过程受力分析的基础上,基于牛顿第二定律建立了战斗部刚体运动模型,基于单自由度弹簧-质量-阻尼系统建立了战斗部一阶轴向振动模型,并采用数值积分的方法获得了垂直侵彻过程中各物理量的变化规律。和火炮试验实测加速度信号的对比分析结果表明:考虑战斗部一阶轴向振动后的垂直侵彻弹靶作用模型能更准确地描述侵彻过程,能更有效地指导侵彻引信的抗高过载优化设计。
2019, 39(9): 094101.
doi: 10.11883/bzycj-2018-0175
摘要:
为提高静爆试验中破片初速和速度衰减系数解算的可信度,提出了基于高速摄影视觉测量的静爆破片运动参数测试方法,该方法主要包括高速摄像机数据采集、视觉测量解算破片轨迹、基于运动模型拟合求解三个步骤。试验证明,该方法能够准确获取各破片的初速和速度衰减系数,可信度高,是一种有效的静爆试验破片运动参数测试方法。
为提高静爆试验中破片初速和速度衰减系数解算的可信度,提出了基于高速摄影视觉测量的静爆破片运动参数测试方法,该方法主要包括高速摄像机数据采集、视觉测量解算破片轨迹、基于运动模型拟合求解三个步骤。试验证明,该方法能够准确获取各破片的初速和速度衰减系数,可信度高,是一种有效的静爆试验破片运动参数测试方法。
2019, 39(9): 094201.
doi: 10.11883/bzycj-2018-0312
摘要:
为了更精确地获得爆炸激波管内瓦斯/空气预混气体爆燃过程中,激波形成过程、压力和火焰传播速度以及火焰与惰性阻燃剂相互作用的流场演化图像。通过分析激波管测试系统中多个目标的时间响应特征及控制方式,利用超高速相机、光电倍增管、时间延时器、固态继电器、电荷放大器和数据采集系统等设备,设计实验方案,分别对激波管中瓦斯/空气预混气体爆燃高压点火系统的响应时间和惰性介质阻燃剂喷射系统的响应时间进行测试。实验结果表明电火花点火的响应时间为微秒量级,而阻燃剂喷射系统的响应时间为毫秒量级,以响应时间为依据,通过设置精确的延迟时间实现多目标同步控制,为完成激波管内瓦斯/空气预混气体爆燃过程的微观流场显示奠定基础。
为了更精确地获得爆炸激波管内瓦斯/空气预混气体爆燃过程中,激波形成过程、压力和火焰传播速度以及火焰与惰性阻燃剂相互作用的流场演化图像。通过分析激波管测试系统中多个目标的时间响应特征及控制方式,利用超高速相机、光电倍增管、时间延时器、固态继电器、电荷放大器和数据采集系统等设备,设计实验方案,分别对激波管中瓦斯/空气预混气体爆燃高压点火系统的响应时间和惰性介质阻燃剂喷射系统的响应时间进行测试。实验结果表明电火花点火的响应时间为微秒量级,而阻燃剂喷射系统的响应时间为毫秒量级,以响应时间为依据,通过设置精确的延迟时间实现多目标同步控制,为完成激波管内瓦斯/空气预混气体爆燃过程的微观流场显示奠定基础。
2019, 39(9): 095101.
doi: 10.11883/bzycj-2018-0073
摘要:
为了开展在不同冲击载荷作用下巷道围岩内裂纹的起裂、扩展及止裂等问题,以可调速冲击试验机进行动态加载试验,采用致密青砂岩制作裂纹巷道模型试件,并利用裂纹扩展计分别记录了动态起裂、扩展、止裂等时刻,对裂纹扩展速度的变化规律进行分析;随后采用AUTODYN有限差分法软件进行相应的数值模拟,数值模拟得到的裂纹扩展路径与试验结果基本一致。经过两者对比分析可知:随着冲击载荷作用的增加,裂纹平均扩展速度逐渐增大,随后趋于稳定值;预制裂纹的起裂时间随着冲击速度载荷的增加而逐渐降低,并在稳定值上下波动;随着冲击速度载荷的增加,裂纹扩展路径过程中的止裂时段逐渐变短。
为了开展在不同冲击载荷作用下巷道围岩内裂纹的起裂、扩展及止裂等问题,以可调速冲击试验机进行动态加载试验,采用致密青砂岩制作裂纹巷道模型试件,并利用裂纹扩展计分别记录了动态起裂、扩展、止裂等时刻,对裂纹扩展速度的变化规律进行分析;随后采用AUTODYN有限差分法软件进行相应的数值模拟,数值模拟得到的裂纹扩展路径与试验结果基本一致。经过两者对比分析可知:随着冲击载荷作用的增加,裂纹平均扩展速度逐渐增大,随后趋于稳定值;预制裂纹的起裂时间随着冲击速度载荷的增加而逐渐降低,并在稳定值上下波动;随着冲击速度载荷的增加,裂纹扩展路径过程中的止裂时段逐渐变短。
2019, 39(9): 095401.
doi: 10.11883/bzycj-2018-0249
摘要:
为研究不同约束端面下甲烷的爆炸特性,利用自行搭建的实验平台完成了多种约束端面下不同浓度甲烷的爆炸实验。研究表明:约束端面的性质对甲烷的爆炸特性有显著影响,约束端面的承压强度越高,甲烷的爆炸超压越大。单层PVC薄膜作用下,薄膜破裂,不会引起火焰与超压的振荡;而纸膜破裂后,管道内外气流的高速泄放和回流则会引起超压振荡,使火焰前锋波动并发生扭曲变形;两者共同作用时,PVC薄膜会阻碍气流的泄放与回流,加速超压衰减,抑制火焰和超压的振荡。然而,随着纸膜层数增加,破膜时管道内外形成的巨大压差会使约束端面完全破裂,降低PVC薄膜的抑制作用。当破膜难度达到一定程度时,约束端面作用下的泄压峰值成为不同浓度甲烷爆炸的最大超压峰值,且泄爆压力并不随甲烷浓度的改变而改变,因此不同浓度甲烷的爆炸超压在较高的泄爆压力下相同;此时,相同约束端面下不同浓度甲烷的压力振荡曲线在压力衰减的前半个周期内完全重合,管道内外的压差成为主导超压振荡的重要因素,而不同浓度甲烷的燃烧速率对超压振荡的影响则可以忽略不计。
为研究不同约束端面下甲烷的爆炸特性,利用自行搭建的实验平台完成了多种约束端面下不同浓度甲烷的爆炸实验。研究表明:约束端面的性质对甲烷的爆炸特性有显著影响,约束端面的承压强度越高,甲烷的爆炸超压越大。单层PVC薄膜作用下,薄膜破裂,不会引起火焰与超压的振荡;而纸膜破裂后,管道内外气流的高速泄放和回流则会引起超压振荡,使火焰前锋波动并发生扭曲变形;两者共同作用时,PVC薄膜会阻碍气流的泄放与回流,加速超压衰减,抑制火焰和超压的振荡。然而,随着纸膜层数增加,破膜时管道内外形成的巨大压差会使约束端面完全破裂,降低PVC薄膜的抑制作用。当破膜难度达到一定程度时,约束端面作用下的泄压峰值成为不同浓度甲烷爆炸的最大超压峰值,且泄爆压力并不随甲烷浓度的改变而改变,因此不同浓度甲烷的爆炸超压在较高的泄爆压力下相同;此时,相同约束端面下不同浓度甲烷的压力振荡曲线在压力衰减的前半个周期内完全重合,管道内外的压差成为主导超压振荡的重要因素,而不同浓度甲烷的燃烧速率对超压振荡的影响则可以忽略不计。
2019, 39(9): 095402.
doi: 10.11883/bzycj-2018-0121
摘要:
采用20 L球形喷雾爆炸实验系统,探究甲醇在不同环境温度、物料温度及喷雾浓度下的爆炸特性规律。结果表明:20 L爆炸球内甲醇喷雾液滴爆炸极限范围为118.8~594.0 g/cm3,与纯气相爆炸极限范围(78.6~628.6 g/cm3)相比,甲醇喷雾液滴爆炸极限范围较窄,喷雾液滴的爆炸敏感性比纯气相甲醇蒸汽低。随着爆炸球内环境温度的升高,甲醇喷雾爆炸极限范围变宽,受限空间内甲醇气液喷雾点火成功概率增大。当甲醇物料自身温度或爆炸容器内环境温度保持不变时,相应爆炸特性参数在Φ=1.8拐点处均呈现先增大后减小的趋势。当Φ=1.8时,甲醇喷雾爆炸存在最大超压峰值。环境温度、物料温度的升高可以提高雾化质量,促进扩散燃烧。但是环境温度的变化较之物料温度的改变对于甲醇液滴喷雾爆炸特性参数的影响更为显著。环境温度和化学当量比二元变量共同影响着甲醇喷雾爆炸强度值,当Φ=1.8,环境温度为303.15 K时,甲醇的喷雾爆炸强度大于甲烷气体爆炸的爆炸强度。
采用20 L球形喷雾爆炸实验系统,探究甲醇在不同环境温度、物料温度及喷雾浓度下的爆炸特性规律。结果表明:20 L爆炸球内甲醇喷雾液滴爆炸极限范围为118.8~594.0 g/cm3,与纯气相爆炸极限范围(78.6~628.6 g/cm3)相比,甲醇喷雾液滴爆炸极限范围较窄,喷雾液滴的爆炸敏感性比纯气相甲醇蒸汽低。随着爆炸球内环境温度的升高,甲醇喷雾爆炸极限范围变宽,受限空间内甲醇气液喷雾点火成功概率增大。当甲醇物料自身温度或爆炸容器内环境温度保持不变时,相应爆炸特性参数在Φ=1.8拐点处均呈现先增大后减小的趋势。当Φ=1.8时,甲醇喷雾爆炸存在最大超压峰值。环境温度、物料温度的升高可以提高雾化质量,促进扩散燃烧。但是环境温度的变化较之物料温度的改变对于甲醇液滴喷雾爆炸特性参数的影响更为显著。环境温度和化学当量比二元变量共同影响着甲醇喷雾爆炸强度值,当Φ=1.8,环境温度为303.15 K时,甲醇的喷雾爆炸强度大于甲烷气体爆炸的爆炸强度。
2019, 39(9): 095403.
doi: 10.11883/bzycj-2018-0265
摘要:
为研究不同变质程度煤尘爆炸压力特性变化规律,以最大压力pmax和最大压力上升速率(dp/dt)max表征压力特性,使用近球形煤尘爆炸装置对褐煤、长焰煤、不黏煤和气煤的爆炸压力特性变化规律展开分析。研究发现:在4种煤尘样品中,褐煤的pmax和(dp/dt)max均最大,分别达0.71 MPa和65.69 MPa/s。随变质程度增大,长焰煤、不黏煤和气煤的pmax和(dp/dt)max均明显减小,说明以爆炸压力特性为标准,4种煤尘爆炸强度由高到低依次是褐煤、长焰煤、不黏煤和气煤。通过对比爆炸前后煤尘挥发分含量,得出参与爆炸的挥发分含量所占质量分数为46.28%~68.19%。在喷尘压力p0=2.0 MPa,点火延迟时间t0=100 ms时,4种煤尘pmax值均达最大,分别为0.71、0.60、0.55和0.47 MPa。褐煤、不黏煤和气煤在p0=2.0 MPa,t0=80 ms时(dp/dt)max达最大,而长焰煤则在p0=2.0 MPa,t0=100 ms时(dp/dt)max达到最大。
为研究不同变质程度煤尘爆炸压力特性变化规律,以最大压力pmax和最大压力上升速率(dp/dt)max表征压力特性,使用近球形煤尘爆炸装置对褐煤、长焰煤、不黏煤和气煤的爆炸压力特性变化规律展开分析。研究发现:在4种煤尘样品中,褐煤的pmax和(dp/dt)max均最大,分别达0.71 MPa和65.69 MPa/s。随变质程度增大,长焰煤、不黏煤和气煤的pmax和(dp/dt)max均明显减小,说明以爆炸压力特性为标准,4种煤尘爆炸强度由高到低依次是褐煤、长焰煤、不黏煤和气煤。通过对比爆炸前后煤尘挥发分含量,得出参与爆炸的挥发分含量所占质量分数为46.28%~68.19%。在喷尘压力p0=2.0 MPa,点火延迟时间t0=100 ms时,4种煤尘pmax值均达最大,分别为0.71、0.60、0.55和0.47 MPa。褐煤、不黏煤和气煤在p0=2.0 MPa,t0=80 ms时(dp/dt)max达最大,而长焰煤则在p0=2.0 MPa,t0=100 ms时(dp/dt)max达到最大。


在线阅读
PDF
本文被引