2021年 41卷 第1期
2021, 41(1): 011401.
doi: 10.11883/bzycj-2020-0415
摘要:
在爆炸/冲击动力学的学习研究过程中,“疑惑”是创新的前奏。本文中,与大家分享了我所经历的若干实例,包括:静力学平衡条件可以用于波传播分析吗?满足屈服条件(σeff=Y)就一定进入塑性了吗?ZWT方程的黏弹性松弛时间θ1和θ2为什么互相无关?有质量就有惯性吗?材料动态本构响应要考虑惯性效应吗?层裂是材料动态响应问题还是结构动态响应?塑性铰分析与波传播分析有相通的内在联系吗?
在爆炸/冲击动力学的学习研究过程中,“疑惑”是创新的前奏。本文中,与大家分享了我所经历的若干实例,包括:静力学平衡条件可以用于波传播分析吗?满足屈服条件(σeff=Y)就一定进入塑性了吗?ZWT方程的黏弹性松弛时间θ1和θ2为什么互相无关?有质量就有惯性吗?材料动态本构响应要考虑惯性效应吗?层裂是材料动态响应问题还是结构动态响应?塑性铰分析与波传播分析有相通的内在联系吗?
2021, 41(1): 011402.
doi: 10.11883/bzycj-2020-0351
摘要:
爆炸加载下金属壳体膨胀断裂过程是武器研制领域关注的重要课题,该过程包含着丰富的力学与材料学基础科学问题,吸引着众多学者的长期关注。本文中通过分析爆炸加载下金属壳体膨胀断裂过程,明确了其中蕴含的3个关键物理问题:材料动态拉伸本构、壳体膨胀断裂机理和破片尺寸控制机理,综合分析了这3个关键物理问题的研究现状与趋势。
爆炸加载下金属壳体膨胀断裂过程是武器研制领域关注的重要课题,该过程包含着丰富的力学与材料学基础科学问题,吸引着众多学者的长期关注。本文中通过分析爆炸加载下金属壳体膨胀断裂过程,明确了其中蕴含的3个关键物理问题:材料动态拉伸本构、壳体膨胀断裂机理和破片尺寸控制机理,综合分析了这3个关键物理问题的研究现状与趋势。
2021, 41(1): 011403.
doi: 10.11883/bzycj-2020-0246
摘要:
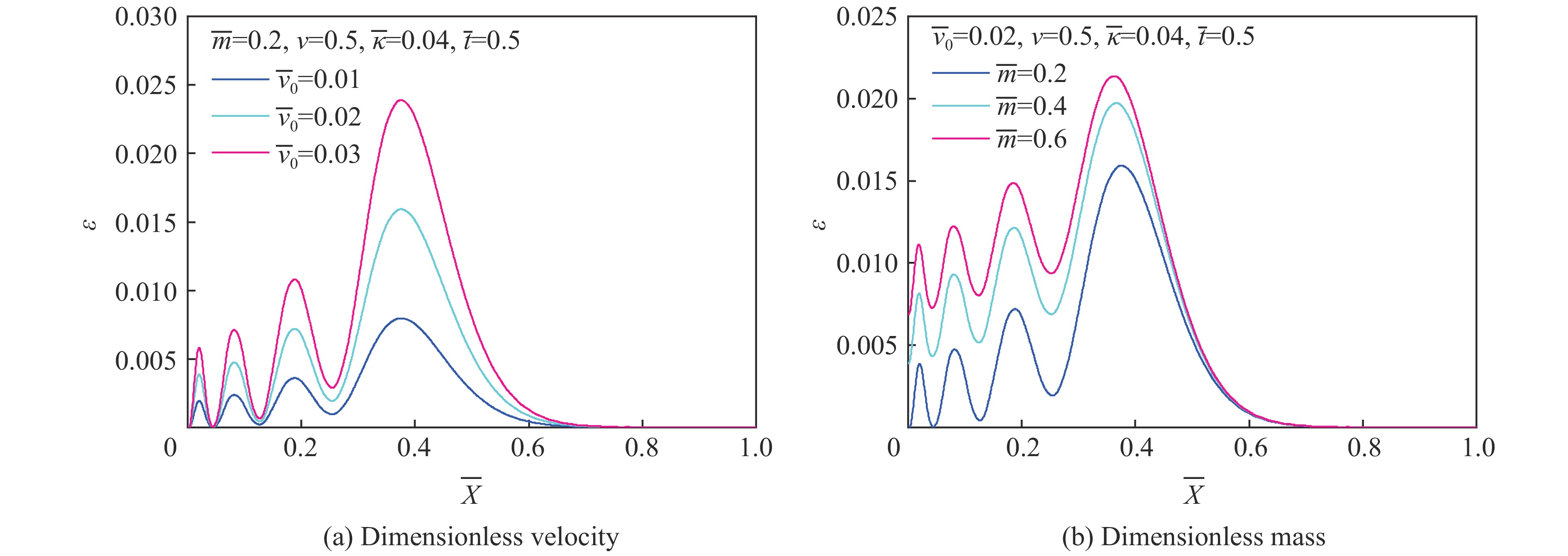
柱壳链能引起波形的弥散,具备操控波形的潜力。建立了柱壳链结构的等效连续介质模型和细观有限元模型,研究了质量块冲击作用下柱壳链中的弹性应力波传播过程及其几何弥散特性。基于考虑横向惯性修正的Rayleigh-Love波动方程,建立了柱壳链在质量块冲击下的控制方程,采用Laplace变换及其逆变换获得了位移场、速度场和应变场的解析解,所得结果与细观有限元模拟结果较好吻合。结果表明,在冲击过程中应变和速度峰值均逐渐减小,应变峰值、振荡幅度和波形前沿宽度与泊松比和惯性半径相关,泊松比和惯性半径越大,应变峰值越小,应变分布振荡越剧烈,波形前沿宽度越宽。
柱壳链能引起波形的弥散,具备操控波形的潜力。建立了柱壳链结构的等效连续介质模型和细观有限元模型,研究了质量块冲击作用下柱壳链中的弹性应力波传播过程及其几何弥散特性。基于考虑横向惯性修正的Rayleigh-Love波动方程,建立了柱壳链在质量块冲击下的控制方程,采用Laplace变换及其逆变换获得了位移场、速度场和应变场的解析解,所得结果与细观有限元模拟结果较好吻合。结果表明,在冲击过程中应变和速度峰值均逐渐减小,应变峰值、振荡幅度和波形前沿宽度与泊松比和惯性半径相关,泊松比和惯性半径越大,应变峰值越小,应变分布振荡越剧烈,波形前沿宽度越宽。
2021, 41(1): 011404.
doi: 10.11883/bzycj-2020-0224
摘要:
绝热剪切带是金属材料在高应变率载荷下常见的一种失效模式。利用霍普金森压杆装置,对双相钢Fe-24.86Ni-5.8Al-0.38C不同微结构的帽形样品施加冲击载荷,研究它的动态剪切变形行为及微结构机理。先通过对固熔处理得到的粗晶态样品进行大应变冷轧获得冷轧态样品,再使用透射电子显微镜和扫描电子显微镜表征两种样品冲击前后微结构的变化差异。结果表明,双相钢FeNiAlC拥有较优异的动态剪切性能,剪切强度达1.3 GPa,均匀剪切应变达1.5。变形前,材料由奥氏体相和马氏体相构成,马氏体体积分数约为20%。变形过程由位错滑移和孪生变形主导,但因应变速率较高致使马氏体相变被抑制。不同微结构样品内均形成绝热剪切带,带内发生动态再结晶,形成超细晶粒,平均晶粒尺寸约300 nm,且剪切带内不发生相变;冷轧态剪切带宽度的实验值(14.6 μm)与理论计算值(12.3 μm)较好吻合,而粗晶态剪切带宽度的实验值(14.6 μm)与理论计算值(30 μm)相差甚远,初步分析可能是因为粗晶态样品应变较大基本不满足完全绝热的理论条件。在变形过程中,粗晶态因塑性变形做功产生的绝热温升高达720 K,而冷轧态的只有190 K。通过实验结果与热塑模型分析,得出绝热温升不是形成绝热剪切带的唯一因素,而应考虑材料的微观结构和局部化变形等的共同影响。
绝热剪切带是金属材料在高应变率载荷下常见的一种失效模式。利用霍普金森压杆装置,对双相钢Fe-24.86Ni-5.8Al-0.38C不同微结构的帽形样品施加冲击载荷,研究它的动态剪切变形行为及微结构机理。先通过对固熔处理得到的粗晶态样品进行大应变冷轧获得冷轧态样品,再使用透射电子显微镜和扫描电子显微镜表征两种样品冲击前后微结构的变化差异。结果表明,双相钢FeNiAlC拥有较优异的动态剪切性能,剪切强度达1.3 GPa,均匀剪切应变达1.5。变形前,材料由奥氏体相和马氏体相构成,马氏体体积分数约为20%。变形过程由位错滑移和孪生变形主导,但因应变速率较高致使马氏体相变被抑制。不同微结构样品内均形成绝热剪切带,带内发生动态再结晶,形成超细晶粒,平均晶粒尺寸约300 nm,且剪切带内不发生相变;冷轧态剪切带宽度的实验值(14.6 μm)与理论计算值(12.3 μm)较好吻合,而粗晶态剪切带宽度的实验值(14.6 μm)与理论计算值(30 μm)相差甚远,初步分析可能是因为粗晶态样品应变较大基本不满足完全绝热的理论条件。在变形过程中,粗晶态因塑性变形做功产生的绝热温升高达720 K,而冷轧态的只有190 K。通过实验结果与热塑模型分析,得出绝热温升不是形成绝热剪切带的唯一因素,而应考虑材料的微观结构和局部化变形等的共同影响。
2021, 41(1): 012101.
doi: 10.11883/bzycj-2020-0054
摘要:
采用高能炸药透过钢板对锡样品开展爆轰加载实验,并通过数值模拟对实验结果进行验证,分析不同间隙对爆轰加载过程的影响。研究结果表明:亚毫米级别的样品间隙能对实验结果会产生显著影响;一方面锡样品与钢层间的间隙将导致冲击波在间隙表面发生强反射,反射稀疏波在钢层与炸药界面再次反射形成较强的后续压缩冲击波,进而导致锡样品的加载压力显著升高,另一方面,金属层间与炸药间的间隙将导致加载压力降低;相较于金属层间与炸药间的间隙,锡样品与钢层间的间隙对加载影响更严重,并且随着间隙尺寸变化,两种情况中间隙影响的变化趋势也有所差异。
采用高能炸药透过钢板对锡样品开展爆轰加载实验,并通过数值模拟对实验结果进行验证,分析不同间隙对爆轰加载过程的影响。研究结果表明:亚毫米级别的样品间隙能对实验结果会产生显著影响;一方面锡样品与钢层间的间隙将导致冲击波在间隙表面发生强反射,反射稀疏波在钢层与炸药界面再次反射形成较强的后续压缩冲击波,进而导致锡样品的加载压力显著升高,另一方面,金属层间与炸药间的间隙将导致加载压力降低;相较于金属层间与炸药间的间隙,锡样品与钢层间的间隙对加载影响更严重,并且随着间隙尺寸变化,两种情况中间隙影响的变化趋势也有所差异。
2021, 41(1): 013201.
doi: 10.11883/bzycj-2020-0108
摘要:
相变可以改变材料的性质,从而严重影响波在介质中传播的结构。采用考虑静水压力和偏应力联合作用的增量型相变本构模型,研究了在拉(压)-扭联合作用下半无限长TiNi合金薄壁管内相变复合波的传播规律。基于广义特征理论分析了相变复合波的特征波速及简单波解的基本性质。利用数值方法研究了两种典型情况下管内相变耦合波传播的规律,管内传播的应力路径和波的结构与初始状态及加载幅值有关,展现出和普通弹塑性材料截然不同的性质。
相变可以改变材料的性质,从而严重影响波在介质中传播的结构。采用考虑静水压力和偏应力联合作用的增量型相变本构模型,研究了在拉(压)-扭联合作用下半无限长TiNi合金薄壁管内相变复合波的传播规律。基于广义特征理论分析了相变复合波的特征波速及简单波解的基本性质。利用数值方法研究了两种典型情况下管内相变耦合波传播的规律,管内传播的应力路径和波的结构与初始状态及加载幅值有关,展现出和普通弹塑性材料截然不同的性质。
2021, 41(1): 013202.
doi: 10.11883/bzycj-2020-0313
摘要:
梯度密度黏弹性材料中波的传播比较复杂。为了研究其在冲击载荷作用下黏弹性响应特征,基于控制方程的Euler形式,利用Laplace变换,得到了这种材料中的波传播规律的一个理论公式;并据此分析了双层周期性黏弹性介质中的应力情况。选择具有梯度密度特性的钛-硼化钛(Ti-TiB2)材料和碳纤维树脂材料,采用不同的叠合方向和方式,利用分离式霍普金森压杆(split Hopkinson pressure bar,SHPB)加载装置进行了动态冲击实验,并用三波法对得到的实验结果进行处理。同时,采用数值Laplace逆变换方法,结合SHPB测得的入射波与透射波数据,使用推导的理论公式计算出理论解,并与实验结果进行了比较。结果表明:(1)梯度钛-硼化钛材料由于内界面和叠层界面的存在,表现出一定的黏性特性;单层Ti-TiB2材料的计算结果和三波法分析得到的结果基本一致,双层Ti-TiB2材料叠合后的计算结果与三波法分析结果存在一定的差异。(2)双层碳纤维树脂材料表现出较强的黏弹性特征,应力波的衰减幅度较大,三波法分析结果与该材料的冲击性能有较大的差异。由此可知,无论是细微观结构特征产生的黏性,还是材料本身的黏性,对材料动力学行为的影响都不可忽略。。
梯度密度黏弹性材料中波的传播比较复杂。为了研究其在冲击载荷作用下黏弹性响应特征,基于控制方程的Euler形式,利用Laplace变换,得到了这种材料中的波传播规律的一个理论公式;并据此分析了双层周期性黏弹性介质中的应力情况。选择具有梯度密度特性的钛-硼化钛(Ti-TiB2)材料和碳纤维树脂材料,采用不同的叠合方向和方式,利用分离式霍普金森压杆(split Hopkinson pressure bar,SHPB)加载装置进行了动态冲击实验,并用三波法对得到的实验结果进行处理。同时,采用数值Laplace逆变换方法,结合SHPB测得的入射波与透射波数据,使用推导的理论公式计算出理论解,并与实验结果进行了比较。结果表明:(1)梯度钛-硼化钛材料由于内界面和叠层界面的存在,表现出一定的黏性特性;单层Ti-TiB2材料的计算结果和三波法分析得到的结果基本一致,双层Ti-TiB2材料叠合后的计算结果与三波法分析结果存在一定的差异。(2)双层碳纤维树脂材料表现出较强的黏弹性特征,应力波的衰减幅度较大,三波法分析结果与该材料的冲击性能有较大的差异。由此可知,无论是细微观结构特征产生的黏性,还是材料本身的黏性,对材料动力学行为的影响都不可忽略。。
2021, 41(1): 013301.
doi: 10.11883/bzycj-2020-0075
摘要:
水面舰船被动防护体系中液舱的主要功能之一是阻止高速弹体(爆炸破片)对内部重要结构、设备和人员的威胁,高速弹体打击液舱的过程包含着复杂的能量传递与耗散。为了分析弹体形状对其在液体介质中运动速度衰减的影响, 开展了一系列不同头形因数的截锥形弹体在不同入水速度下弹体垂直侵彻液体介质过程的数值模拟,得到了垂直侵彻液体介质时弹体速度衰减特性,发现高速弹体在液体介质中运动的阻力因数与弹体形状和无量纲速度有关。基于对系列数值模拟计算结果的拟合分析,提出了计及头形因数的截锥形弹体 垂直侵彻液体介质时的速度衰减经验公式,通过开展数值算例分析验证了公式计算结果的可靠性。本文中提出的经验公式可实现对高速弹体在液体介质中速度衰减的准确快速计算,为舰船防护液舱结构设计提供一定的参考。
水面舰船被动防护体系中液舱的主要功能之一是阻止高速弹体(爆炸破片)对内部重要结构、设备和人员的威胁,高速弹体打击液舱的过程包含着复杂的能量传递与耗散。为了分析弹体形状对其在液体介质中运动速度衰减的影响, 开展了一系列不同头形因数的截锥形弹体在不同入水速度下弹体垂直侵彻液体介质过程的数值模拟,得到了垂直侵彻液体介质时弹体速度衰减特性,发现高速弹体在液体介质中运动的阻力因数与弹体形状和无量纲速度有关。基于对系列数值模拟计算结果的拟合分析,提出了计及头形因数的截锥形弹体 垂直侵彻液体介质时的速度衰减经验公式,通过开展数值算例分析验证了公式计算结果的可靠性。本文中提出的经验公式可实现对高速弹体在液体介质中速度衰减的准确快速计算,为舰船防护液舱结构设计提供一定的参考。
2021, 41(1): 013302.
doi: 10.11883/bzycj-2020-0077
摘要:
为了探讨爆炸载荷下飞机典型加筋结构的响应规律,开展了爆炸实验,获得了飞机典型结构表面的反射超压历程,加筋结构的应变、位移等结构响应数据。并结合实验结果建立了高置信度的有限元模型,研究了所选结构的变形分布规律和塑性毁伤特性。结果表明,对于本文中选取的飞机加筋结构,塑性变形除了会开始于常见的加强筋中点外,还会开始于加强筋与加强筋联结处、加强筋与外框联结处。这主要是受加筋板的双向拉伸变形和应力集中的影响。进一步总结了随冲击波正压时间增长,能够引发加筋结构塑性变形的有效冲量和反射超压峰值阈值。研究结果对飞机气动外形、抗爆能力设计具有重要意义。
为了探讨爆炸载荷下飞机典型加筋结构的响应规律,开展了爆炸实验,获得了飞机典型结构表面的反射超压历程,加筋结构的应变、位移等结构响应数据。并结合实验结果建立了高置信度的有限元模型,研究了所选结构的变形分布规律和塑性毁伤特性。结果表明,对于本文中选取的飞机加筋结构,塑性变形除了会开始于常见的加强筋中点外,还会开始于加强筋与加强筋联结处、加强筋与外框联结处。这主要是受加筋板的双向拉伸变形和应力集中的影响。进一步总结了随冲击波正压时间增长,能够引发加筋结构塑性变形的有效冲量和反射超压峰值阈值。研究结果对飞机气动外形、抗爆能力设计具有重要意义。
2021, 41(1): 014101.
doi: 10.11883/bzycj-2020-0049
摘要:
发展了一种液压冲击脆性膨胀环实验技术,通过可升降的凸台对脆性膨胀环进行精确的对心定位安置,避免偏心膨胀带来的弯曲断裂,通过膨胀环试件上的半导体应变片测量其在拉伸碎裂过程中的应变时程曲线;对典型脆性材料碳化硅(SiC)陶瓷进行了膨胀拉伸碎裂实验研究,获得了其动态拉伸断裂强度和碎片平均尺寸及分布。实验结果表明:(1) 液压冲击膨胀环实验能较好地实现脆性膨胀环的拉伸碎裂,在应变率101 s−1量级下,SiC陶瓷拉伸断裂应变为3.7×10−4~7.4×10−4,平均拉伸断裂应力为206 MPa;(2) SiC陶瓷无量纲化平均碎片尺寸落于多种脆性碎裂预测模型的合理区间内,随着加载应变率的提高,SiC陶瓷的平均碎片尺寸减小;(3) SiC陶瓷拉伸碎裂的碎片分布基本符合Rayleigh分布,但是在细小尺寸上和大尺寸碎片分布上存在一定偏差。
发展了一种液压冲击脆性膨胀环实验技术,通过可升降的凸台对脆性膨胀环进行精确的对心定位安置,避免偏心膨胀带来的弯曲断裂,通过膨胀环试件上的半导体应变片测量其在拉伸碎裂过程中的应变时程曲线;对典型脆性材料碳化硅(SiC)陶瓷进行了膨胀拉伸碎裂实验研究,获得了其动态拉伸断裂强度和碎片平均尺寸及分布。实验结果表明:(1) 液压冲击膨胀环实验能较好地实现脆性膨胀环的拉伸碎裂,在应变率101 s−1量级下,SiC陶瓷拉伸断裂应变为3.7×10−4~7.4×10−4,平均拉伸断裂应力为206 MPa;(2) SiC陶瓷无量纲化平均碎片尺寸落于多种脆性碎裂预测模型的合理区间内,随着加载应变率的提高,SiC陶瓷的平均碎片尺寸减小;(3) SiC陶瓷拉伸碎裂的碎片分布基本符合Rayleigh分布,但是在细小尺寸上和大尺寸碎片分布上存在一定偏差。
2021, 41(1): 014201.
doi: 10.11883/bzycj-2020-0069
摘要:
为了提高小口径穿甲燃烧弹侵彻陶瓷复合装甲和玻璃复合装甲(透明装甲)的仿真分析精度,本文将传统的FEM(finite element method)-SPH(smooth particle hydrodynamics)耦合计算模型中穿甲燃烧弹弹芯的有限元模型和JC(Johnson-Cook)材料模型分别替换为SPH模型和JH2(Johnson-Holmquist-ceramics)材料模型,提出了新型FEM-SPH耦合计算模型。研究表明,新型FEM-SPH耦合计算模型可以有效模拟弹芯碎裂现象,减少SPH粒子和有限元耦合计算量,进而显著提高仿真模型的计算精度和计算效率,并给出了新型FEM-SPH耦合计算模型的有限元/粒子尺度和建模尺寸的优选结果。
为了提高小口径穿甲燃烧弹侵彻陶瓷复合装甲和玻璃复合装甲(透明装甲)的仿真分析精度,本文将传统的FEM(finite element method)-SPH(smooth particle hydrodynamics)耦合计算模型中穿甲燃烧弹弹芯的有限元模型和JC(Johnson-Cook)材料模型分别替换为SPH模型和JH2(Johnson-Holmquist-ceramics)材料模型,提出了新型FEM-SPH耦合计算模型。研究表明,新型FEM-SPH耦合计算模型可以有效模拟弹芯碎裂现象,减少SPH粒子和有限元耦合计算量,进而显著提高仿真模型的计算精度和计算效率,并给出了新型FEM-SPH耦合计算模型的有限元/粒子尺度和建模尺寸的优选结果。
2021, 41(1): 014901.
doi: 10.11883/bzycj-2020-0078
摘要:
为了确保深水爆炸试验容器在服役期间的安全性,提出了一种基于智能预测的随机-区间动态可靠性模型,通过动态测试数据建立了容器响应的广义回归神经网络(general regression neural network,GRNN)预测模型,获得了容器的最大应变区间变量,同时考虑容器结构的随机特性,开展了现役深水爆炸试验容器的可靠性分析,并分别采用3种方法进行了可靠性指标计算。分析结果表明,对于深水爆炸试验容器这类高可靠性且缺乏样本数据的结构,建立基于动态预测的混合可靠性模型,并通过区间计算可靠性指标的方法简便、可行;模型的区间变量随着结构动态测试数据的变化而变化,且对结构的不确定性分析也是动态的,因此得到的容器可靠性也随着其服役过程不断推进,具有动态特性,可以更好地反映容器在服役期间的性能变化,为容器的使用维护提供决策依据。
为了确保深水爆炸试验容器在服役期间的安全性,提出了一种基于智能预测的随机-区间动态可靠性模型,通过动态测试数据建立了容器响应的广义回归神经网络(general regression neural network,GRNN)预测模型,获得了容器的最大应变区间变量,同时考虑容器结构的随机特性,开展了现役深水爆炸试验容器的可靠性分析,并分别采用3种方法进行了可靠性指标计算。分析结果表明,对于深水爆炸试验容器这类高可靠性且缺乏样本数据的结构,建立基于动态预测的混合可靠性模型,并通过区间计算可靠性指标的方法简便、可行;模型的区间变量随着结构动态测试数据的变化而变化,且对结构的不确定性分析也是动态的,因此得到的容器可靠性也随着其服役过程不断推进,具有动态特性,可以更好地反映容器在服役期间的性能变化,为容器的使用维护提供决策依据。
2021, 41(1): 015901.
doi: 10.11883/bzycj-2020-0073
摘要:
针对某军用车辆在1 m高度进行无缓冲平台空投实验,并建立座椅与乘员的模拟模型。利用实验获取的座椅安装点冲击信号作为模拟模型的输入数据,并通过实验结果与模拟结果的对比验证了该模型的可靠性。借鉴航空工程相关研究,提出了一种将各关键损伤指标加以归一化的权重评价指标—加权损伤准则(weighted injury criteria,WIC)。研究了乘员仰卧角度和大小腿夹角两个姿态参数对乘员损伤的影响,并以WIC为优化目标,利用遗传算法完成参数优化工作。研究发现:对乘员小腿运动进行约束能降低乘员整体损伤响应,乘员对抗着陆冲击的最佳姿态为仰卧角47°~56°、大小腿夹角62°~68°。
针对某军用车辆在1 m高度进行无缓冲平台空投实验,并建立座椅与乘员的模拟模型。利用实验获取的座椅安装点冲击信号作为模拟模型的输入数据,并通过实验结果与模拟结果的对比验证了该模型的可靠性。借鉴航空工程相关研究,提出了一种将各关键损伤指标加以归一化的权重评价指标—加权损伤准则(weighted injury criteria,WIC)。研究了乘员仰卧角度和大小腿夹角两个姿态参数对乘员损伤的影响,并以WIC为优化目标,利用遗传算法完成参数优化工作。研究发现:对乘员小腿运动进行约束能降低乘员整体损伤响应,乘员对抗着陆冲击的最佳姿态为仰卧角47°~56°、大小腿夹角62°~68°。
2021, 41(1): 015902.
doi: 10.11883/bzycj-2020-0059
摘要:
为研究爆炸冲击环境下车内乘员小腿和座椅所受垂向冲击时间差对乘员盆骨和腰椎损伤的影响,利用Hyperworks和LS-DYNA进行建模和仿真分析,并结合小腿冲击试验和座椅跌落试验开展研究。分析结果表明:乘员小腿和座椅安装点单独受冲击时盆骨加速度、动态响应指数和腰椎z向力会分别产生正向和负向的峰值,但同时作用并控制冲击时间间隔时并不会出现正负峰值相抵消的现象;小腿和座椅安装点不同时受冲击时会加重乘员盆骨和腰椎损伤,且小腿先受冲击时损伤程度较座椅安装点先受冲击时严重。
为研究爆炸冲击环境下车内乘员小腿和座椅所受垂向冲击时间差对乘员盆骨和腰椎损伤的影响,利用Hyperworks和LS-DYNA进行建模和仿真分析,并结合小腿冲击试验和座椅跌落试验开展研究。分析结果表明:乘员小腿和座椅安装点单独受冲击时盆骨加速度、动态响应指数和腰椎z向力会分别产生正向和负向的峰值,但同时作用并控制冲击时间间隔时并不会出现正负峰值相抵消的现象;小腿和座椅安装点不同时受冲击时会加重乘员盆骨和腰椎损伤,且小腿先受冲击时损伤程度较座椅安装点先受冲击时严重。


在线阅读
PDF
本文被引