2020年 40卷 第9期
2020, 40(9): 092301.
doi: 10.11883/bzycj/2020-0016
摘要:
为了考核大尺寸侵彻弹体的快速烤燃安全特性,利用自行研制的快速烤燃装置开展了实验。将质量为290 kg的侵彻弹体平吊在距航空燃油液面0.4 m的高度进行快速加热,实时采集弹体表面温度并拍摄实验过程,同时测量距弹体质心水平7 m处的反射冲击波超压,最后从加热时间、弹体表面温度、实验后现场破坏情况、反射冲击波超压峰值、反应机理及响应类型等方面对大尺寸侵彻弹体的快速烤燃安全特性进行了详细分析。实验结果表明:侵彻弹体在537 ℃高温中加热16 min 4 s后开始发生剧烈反应,且弹体内腔下方炸药最先响应形成热点,逐渐积聚的高温高压气体将壳体撕裂后快速泄压,在7 m处测量得到的反射冲击波超压峰值为33.622 kPa,远小于该弹体在空气中完全爆轰产生的冲击波超压峰值。综合判断该侵彻弹体的快速烤燃响应类型为爆燃,其安全特性满足要求。
为了考核大尺寸侵彻弹体的快速烤燃安全特性,利用自行研制的快速烤燃装置开展了实验。将质量为290 kg的侵彻弹体平吊在距航空燃油液面0.4 m的高度进行快速加热,实时采集弹体表面温度并拍摄实验过程,同时测量距弹体质心水平7 m处的反射冲击波超压,最后从加热时间、弹体表面温度、实验后现场破坏情况、反射冲击波超压峰值、反应机理及响应类型等方面对大尺寸侵彻弹体的快速烤燃安全特性进行了详细分析。实验结果表明:侵彻弹体在537 ℃高温中加热16 min 4 s后开始发生剧烈反应,且弹体内腔下方炸药最先响应形成热点,逐渐积聚的高温高压气体将壳体撕裂后快速泄压,在7 m处测量得到的反射冲击波超压峰值为33.622 kPa,远小于该弹体在空气中完全爆轰产生的冲击波超压峰值。综合判断该侵彻弹体的快速烤燃响应类型为爆燃,其安全特性满足要求。
2020, 40(9): 092302.
doi: 10.11883/bzycj-2019-0395
摘要:
Nano titanium carbide (TiC) powder was synthesized by detonation shock utilizing octogen (HMX) as high temperature and high pressure source with titanium dioxide (TiO2) and activated carbon (C) as precursors. The samples were characterized by X-ray diffraction (XRD), energy dispersive spectrometer (EDS) and scanning electron microscope (SEM). At the same time, detonation shock synthesis mechanism of nanometer TiC was discussed in this paper. It was concluded that the test results of XRD and EDS were in good agreement with the theoretical values, and the sample contained both TiC and TiCx (x<1). The particle size of both TiC and TiCx (x<1) were less than 50 nm by SEM photos and micron-sized spherical agglomerates were found in the samples. The detonation shock synthesis of TiC belongs to a special solid-phase reaction, and its material diffusion rate and reaction rate are greatly improved.
Nano titanium carbide (TiC) powder was synthesized by detonation shock utilizing octogen (HMX) as high temperature and high pressure source with titanium dioxide (TiO2) and activated carbon (C) as precursors. The samples were characterized by X-ray diffraction (XRD), energy dispersive spectrometer (EDS) and scanning electron microscope (SEM). At the same time, detonation shock synthesis mechanism of nanometer TiC was discussed in this paper. It was concluded that the test results of XRD and EDS were in good agreement with the theoretical values, and the sample contained both TiC and TiCx (x<1). The particle size of both TiC and TiCx (x<1) were less than 50 nm by SEM photos and micron-sized spherical agglomerates were found in the samples. The detonation shock synthesis of TiC belongs to a special solid-phase reaction, and its material diffusion rate and reaction rate are greatly improved.
2020, 40(9): 093101.
doi: 10.11883/bzycj-2020-0015
摘要:
对混凝土材料在高应变率下的动态拉伸实验多以劈裂和层裂的形式进行,然而它们作为间接研究混凝土动态拉伸性能的实验技术具有一定的局限性,亟需使用大直径分离式Hopkinson拉杆(split Hopkinson tensile bar,SHTB)设备对混凝土进行动态直拉实验。因此,运用数值模拟方法对一种新型的霍普金森拉杆的入射波进行了研究,并对设备的局部构件进行改进,使其不仅具有对混凝土试件的胶粘连接方式,也可通过螺纹连接配套夹具以同时兼顾挂接等其他连接方式。针对改进后的SHTB装置,建立了圆环状三维混凝土细观骨料模型。通过数值模拟与实验结果的对比,验证了采用空心圆管式SHTB装置的有效性,并为混凝土细观骨料模型的动态拉伸模拟提供了思路。
对混凝土材料在高应变率下的动态拉伸实验多以劈裂和层裂的形式进行,然而它们作为间接研究混凝土动态拉伸性能的实验技术具有一定的局限性,亟需使用大直径分离式Hopkinson拉杆(split Hopkinson tensile bar,SHTB)设备对混凝土进行动态直拉实验。因此,运用数值模拟方法对一种新型的霍普金森拉杆的入射波进行了研究,并对设备的局部构件进行改进,使其不仅具有对混凝土试件的胶粘连接方式,也可通过螺纹连接配套夹具以同时兼顾挂接等其他连接方式。针对改进后的SHTB装置,建立了圆环状三维混凝土细观骨料模型。通过数值模拟与实验结果的对比,验证了采用空心圆管式SHTB装置的有效性,并为混凝土细观骨料模型的动态拉伸模拟提供了思路。
2020, 40(9): 093102.
doi: 10.11883/bzycj-2019-0432
摘要:
为研究应变率对珊瑚砂力学特性的影响,用直径37 mm的分离式Hopkinson压杆(SHPB)对两类珊瑚砂进行了冲击实验,得到了460~1300 s−1应变率范围内不同密实度的一维应变压缩应力-应变关系;结合准静态(10−4 s−1)压缩的实验结果,发现珊瑚砂存在明显的应变率效应;通过对比两类砂物理特性,认为应变率敏感性与内孔隙和粒间摩擦密切相关;提出了率型本构模型中动态增强系数的计算模型,可为珊瑚砂在冲击下的数值计算提供理论依据。
为研究应变率对珊瑚砂力学特性的影响,用直径37 mm的分离式Hopkinson压杆(SHPB)对两类珊瑚砂进行了冲击实验,得到了460~1300 s−1应变率范围内不同密实度的一维应变压缩应力-应变关系;结合准静态(10−4 s−1)压缩的实验结果,发现珊瑚砂存在明显的应变率效应;通过对比两类砂物理特性,认为应变率敏感性与内孔隙和粒间摩擦密切相关;提出了率型本构模型中动态增强系数的计算模型,可为珊瑚砂在冲击下的数值计算提供理论依据。
2020, 40(9): 093201.
doi: 10.11883/bzycj-2019-0448
摘要:
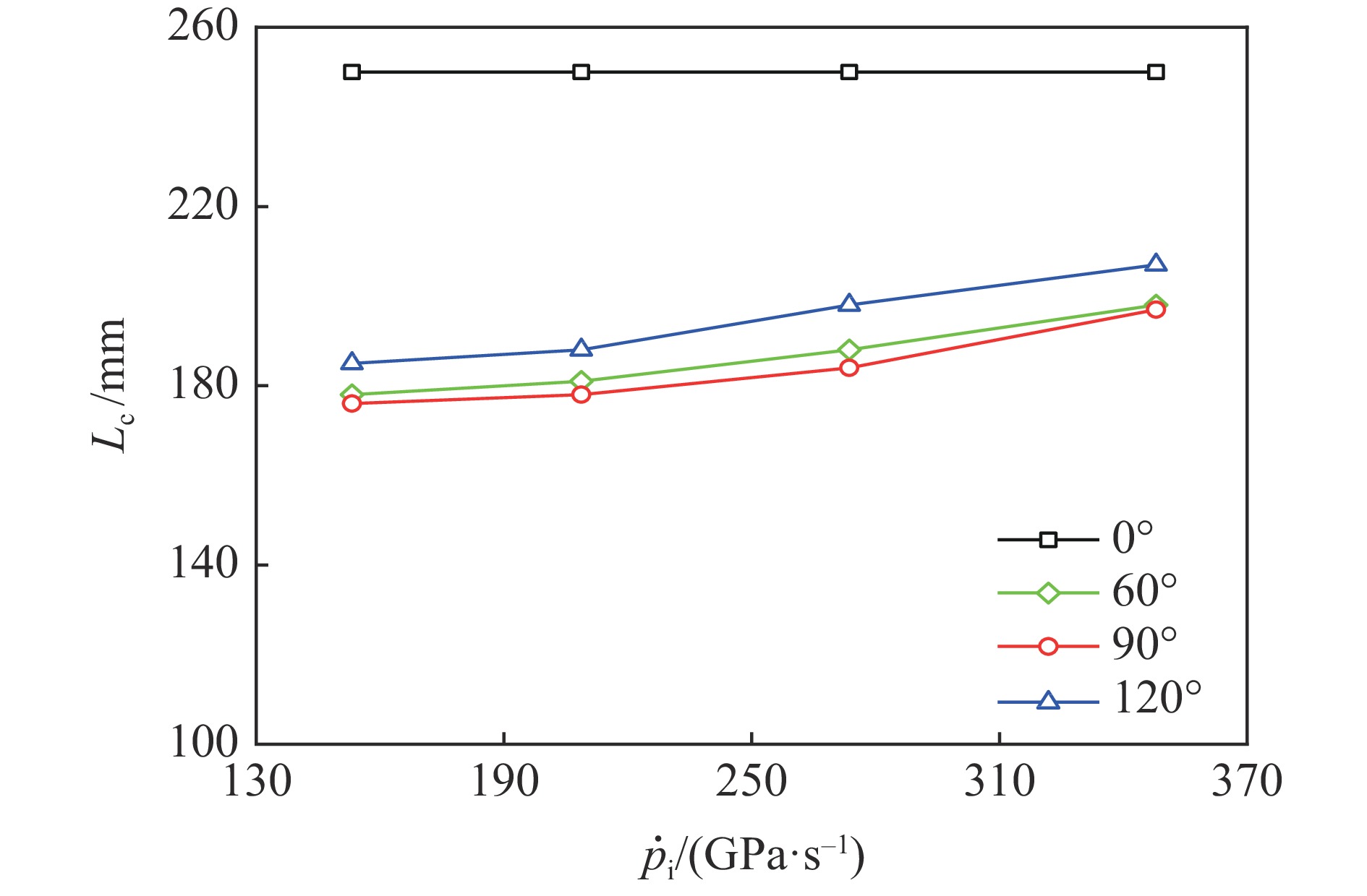
为了研究脆性材料的动态裂纹扩展及止裂规律,设计了一种带圆弧形底边的梯形开口边裂纹(trapezoidal opening crack with arc bottom,TOCAB)构型的试件。在落锤冲击设备加载下,对圆心角为0°、60°、90°和120°的TOCAB试件进行了冲击实验,并采用裂纹扩展计(crack propagation gauge,CPG)监测裂纹起裂和扩展时间,从而获得裂纹扩展速度。采用有限差分软件AUTODYN对落锤冲击设备和试件进行数值模拟,研究了裂纹的动态扩展过程及止裂规律。还基于实验和数值方法,计算了裂纹的临界动态应力强度因子。实验和数值结果均表明:3种弧度的TOCAB试件都可以实现运动裂纹止裂,该构型可用于研究动态裂纹止裂问题;数值计算的裂纹扩展路径与实验结果基本一致,验证了数值模型的有效性;裂纹起裂和止裂时刻的临界动态应力强度因子大于裂纹动态扩展过程中的临界动态应力强度因子。
为了研究脆性材料的动态裂纹扩展及止裂规律,设计了一种带圆弧形底边的梯形开口边裂纹(trapezoidal opening crack with arc bottom,TOCAB)构型的试件。在落锤冲击设备加载下,对圆心角为0°、60°、90°和120°的TOCAB试件进行了冲击实验,并采用裂纹扩展计(crack propagation gauge,CPG)监测裂纹起裂和扩展时间,从而获得裂纹扩展速度。采用有限差分软件AUTODYN对落锤冲击设备和试件进行数值模拟,研究了裂纹的动态扩展过程及止裂规律。还基于实验和数值方法,计算了裂纹的临界动态应力强度因子。实验和数值结果均表明:3种弧度的TOCAB试件都可以实现运动裂纹止裂,该构型可用于研究动态裂纹止裂问题;数值计算的裂纹扩展路径与实验结果基本一致,验证了数值模型的有效性;裂纹起裂和止裂时刻的临界动态应力强度因子大于裂纹动态扩展过程中的临界动态应力强度因子。
2020, 40(9): 093301.
doi: 10.11883/bzycj-2019-0439
摘要:
随着超高速动能武器的发展,长杆弹超高速侵彻混凝土靶机理成为当前的研究热点。为了探究长杆弹超高速侵彻混凝土靶的侵彻机理和开坑规律,本文中开展了TU1铜、Q235钢两类长杆弹以初速度1.8~2.4 km/s正侵彻强度26.5、42.1 MPa混凝土靶的超高速实验。结合文献和本文中的实验数据,对开坑直径和开坑体积进行量纲分析,基于开坑截面的弓形形貌几何关系,得到了开坑深度预测公式。结果表明:靶面开坑尺寸明显大于中低速侵彻时的靶面开坑尺寸,在分析侵彻机理的过程中不能忽略开坑阶段;弹体发生严重的长度缩短,直至最后完全侵蚀,弹洞半径明显大于弹体半径,说明长杆弹超高速侵彻半无限混凝土靶属于半流体侵彻机制。另外,在超高速侵彻条件下:弹体长度是影响侵彻深度的最主要参数;侵彻深度随弹体长度和密度的增大而增大,受弹体强度影响不大。
随着超高速动能武器的发展,长杆弹超高速侵彻混凝土靶机理成为当前的研究热点。为了探究长杆弹超高速侵彻混凝土靶的侵彻机理和开坑规律,本文中开展了TU1铜、Q235钢两类长杆弹以初速度1.8~2.4 km/s正侵彻强度26.5、42.1 MPa混凝土靶的超高速实验。结合文献和本文中的实验数据,对开坑直径和开坑体积进行量纲分析,基于开坑截面的弓形形貌几何关系,得到了开坑深度预测公式。结果表明:靶面开坑尺寸明显大于中低速侵彻时的靶面开坑尺寸,在分析侵彻机理的过程中不能忽略开坑阶段;弹体发生严重的长度缩短,直至最后完全侵蚀,弹洞半径明显大于弹体半径,说明长杆弹超高速侵彻半无限混凝土靶属于半流体侵彻机制。另外,在超高速侵彻条件下:弹体长度是影响侵彻深度的最主要参数;侵彻深度随弹体长度和密度的增大而增大,受弹体强度影响不大。
2020, 40(9): 095101.
doi: 10.11883/bzycj-2020-0011
摘要:
为了深入研究车辆底部防护组件爆炸冲击下的结构响应,提高防护型车辆的抗爆炸冲击性能,建立了某车辆底部防护组件在爆炸冲击下的有限元模型,并进行爆炸冲击台架试验验证了有限元模拟的可靠性;将内凹六边形负泊松比蜂窝材料作为防护组件的夹芯部分,分析负泊松比蜂窝材料在爆炸冲击下的变形模式,并对比了同等质量的其他3种防护组件的抗爆炸冲击性能。结果表明,含有负泊松比蜂窝夹芯的防护组件具有更优的抗爆性能。建立了以内凹六边形负泊松比蜂窝胞元尺寸参数为设计变量的多目标优化问题的数学模型,采用多目标遗传算法获得胞元几何参数的最优方案,有效降低了防护组件基板的最大挠度和最大动能。
为了深入研究车辆底部防护组件爆炸冲击下的结构响应,提高防护型车辆的抗爆炸冲击性能,建立了某车辆底部防护组件在爆炸冲击下的有限元模型,并进行爆炸冲击台架试验验证了有限元模拟的可靠性;将内凹六边形负泊松比蜂窝材料作为防护组件的夹芯部分,分析负泊松比蜂窝材料在爆炸冲击下的变形模式,并对比了同等质量的其他3种防护组件的抗爆炸冲击性能。结果表明,含有负泊松比蜂窝夹芯的防护组件具有更优的抗爆性能。建立了以内凹六边形负泊松比蜂窝胞元尺寸参数为设计变量的多目标优化问题的数学模型,采用多目标遗传算法获得胞元几何参数的最优方案,有效降低了防护组件基板的最大挠度和最大动能。
2020, 40(9): 095201.
doi: 10.11883/bzycj-2019-0471
摘要:
为了解决振动信号经验模态分解(empirical mode decomposition, EMD)滤波去噪效果不佳的问题,提出一种自适应性正交经验模态分解(principal empirical mode decomposition, PEMD)的信号去噪方法。该算法融合了EMD分解的自适应性和主成分分析(principal component analysis,PCA)的完全正交性特点,对信号EMD分解过程中产生的模态混叠现象进行消除,得到了最佳的去噪效果。分析表明:PEMD在仿真模拟试验中相比于传统EMD算法和集总经验模态分解(ensemble empirical mode decomposition, EEMD) 算法,信噪比分别提高了1.15 dB和0.38 dB,且均方根误差最小;频域上PEMD对仿真信号频率(30 Hz)识别的灵敏度最高,30 Hz之外的噪声滤除效果最好。在爆破振动试验中,PEMD和EEMD去除噪声毛刺的效果较为理想,且PEMD在0~300 Hz的中低频振动信号保存效果最好,300 Hz以上的高频噪声滤除效果最好。
为了解决振动信号经验模态分解(empirical mode decomposition, EMD)滤波去噪效果不佳的问题,提出一种自适应性正交经验模态分解(principal empirical mode decomposition, PEMD)的信号去噪方法。该算法融合了EMD分解的自适应性和主成分分析(principal component analysis,PCA)的完全正交性特点,对信号EMD分解过程中产生的模态混叠现象进行消除,得到了最佳的去噪效果。分析表明:PEMD在仿真模拟试验中相比于传统EMD算法和集总经验模态分解(ensemble empirical mode decomposition, EEMD) 算法,信噪比分别提高了1.15 dB和0.38 dB,且均方根误差最小;频域上PEMD对仿真信号频率(30 Hz)识别的灵敏度最高,30 Hz之外的噪声滤除效果最好。在爆破振动试验中,PEMD和EEMD去除噪声毛刺的效果较为理想,且PEMD在0~300 Hz的中低频振动信号保存效果最好,300 Hz以上的高频噪声滤除效果最好。
2020, 40(9): 095202.
doi: 10.11883/bzycj-2020-0003
摘要:
为探究弱动力扰动对岩爆的影响,利用高压伺服动真三轴试验机,对含预制圆形贯穿孔洞的红色中粗晶粒立方体花岗岩试样进行弱动力扰动荷载条件下的岩爆模型试验,模拟隧洞洞壁围岩的岩爆弹射破坏过程,并采用声发射系统和视频观测系统对其进行监测、记录。基于无扰动、高应力下开始施加扰动和低应力下开始施加扰动3种加载路径的试验数据,从岩爆弹射破坏、岩爆坑破坏形态、声发射信号特征及岩爆烈度4个方面,详细分析弱动力扰动条件下的岩爆特征。研究结果表明:弱动力扰动会降低洞壁围岩发生岩爆时所需要的应力水平,增大岩爆破坏发生的范围。高应力下开始施加的扰动荷载会促进最终岩爆快速发生;而在低应力下开始施加的扰动荷载,岩爆的发生过程较为缓慢。相比与静应力条件下的岩爆,高应力下开始施加扰动触发的岩爆更剧烈,低应力下开始施加扰动触发的岩爆剧烈程度较弱。这主要是因为在高应力下开始施加的扰动对能量释放起到了激发和放大的作用,低应力下开始施加的扰动对能量释放仅起到激发的作用。
为探究弱动力扰动对岩爆的影响,利用高压伺服动真三轴试验机,对含预制圆形贯穿孔洞的红色中粗晶粒立方体花岗岩试样进行弱动力扰动荷载条件下的岩爆模型试验,模拟隧洞洞壁围岩的岩爆弹射破坏过程,并采用声发射系统和视频观测系统对其进行监测、记录。基于无扰动、高应力下开始施加扰动和低应力下开始施加扰动3种加载路径的试验数据,从岩爆弹射破坏、岩爆坑破坏形态、声发射信号特征及岩爆烈度4个方面,详细分析弱动力扰动条件下的岩爆特征。研究结果表明:弱动力扰动会降低洞壁围岩发生岩爆时所需要的应力水平,增大岩爆破坏发生的范围。高应力下开始施加的扰动荷载会促进最终岩爆快速发生;而在低应力下开始施加的扰动荷载,岩爆的发生过程较为缓慢。相比与静应力条件下的岩爆,高应力下开始施加扰动触发的岩爆更剧烈,低应力下开始施加扰动触发的岩爆剧烈程度较弱。这主要是因为在高应力下开始施加的扰动对能量释放起到了激发和放大的作用,低应力下开始施加的扰动对能量释放仅起到激发的作用。
2020, 40(9): 095203.
doi: 10.11883/bzycj-2019-0367
摘要:
冻结立井爆破过程中,近区监测信号中含有的基线漂零及噪声成分对其局部特征精细化提取影响显著。在对近区井壁振动信号有效采集基础上,通过互补总体经验模态分解(complementary ensemble empirical mode decomposition, CEEMD)方法、稀疏化基线估计消噪(baseline estimation and de-noising with sparsity, BEADS)方法和隐马尔可夫模型消噪(hidden Markov model de-noising, HMMD)方法等,解决了信号中基线漂移和随机噪声消除难题,并采用交叉小波变换对校正和消噪效果进行了相关性评价。实例分析结果表明:信号中缓变的基线成分遍历信号各个模态分量的整个过程,且主要集中于低频分量中,而噪声则集中在高频分量。组合分析方法对低频基线漂零和高频噪声的处理效果好,是一种高效且相对保幅的信号分析方法,可用于批量信号数据的预处理过程。
冻结立井爆破过程中,近区监测信号中含有的基线漂零及噪声成分对其局部特征精细化提取影响显著。在对近区井壁振动信号有效采集基础上,通过互补总体经验模态分解(complementary ensemble empirical mode decomposition, CEEMD)方法、稀疏化基线估计消噪(baseline estimation and de-noising with sparsity, BEADS)方法和隐马尔可夫模型消噪(hidden Markov model de-noising, HMMD)方法等,解决了信号中基线漂移和随机噪声消除难题,并采用交叉小波变换对校正和消噪效果进行了相关性评价。实例分析结果表明:信号中缓变的基线成分遍历信号各个模态分量的整个过程,且主要集中于低频分量中,而噪声则集中在高频分量。组合分析方法对低频基线漂零和高频噪声的处理效果好,是一种高效且相对保幅的信号分析方法,可用于批量信号数据的预处理过程。
2020, 40(9): 095401.
doi: 10.11883/bzycj-2020-0009
摘要:
为分析多孔材料对预混气体爆炸特性参数的影响效果,采用自主搭建的爆炸实验平台,探究不同孔隙度和厚度的多孔材料对当量比为1的甲烷/空气预混气体爆炸的作用行为。实验研究表明,不同孔隙度的多孔材料对爆炸火焰和超压具有促进或抑制两种不同的影响。孔隙度较小时,爆燃火焰传播速度随着材料厚度的增大而降低,并在厚度较大时,火焰有短暂的传播延时现象。孔隙度较大时,预混火焰冲击多孔材料时发生淬熄,但随后一段时间内,由于负压抽吸作用,在已爆区域一侧的材料表面产生扩散燃烧现象,且扩散燃烧程度与材料厚度成反比关系。多孔材料的固相结构能降低压力的泄放效率,同时可吸收能量,进而提高爆炸超压的上升速率,降低超压峰值。当每英寸长度孔数δ=10的多孔材料促进火焰传播时,与当量比为1的预混气体爆炸相比,超压峰值最大可提高约2倍,造成更严重的后果。火焰冲击δ=20的多孔材料时发生淬熄,最大超压衰减可达47.17%,δ=30时最大超压衰减了24.62%。
为分析多孔材料对预混气体爆炸特性参数的影响效果,采用自主搭建的爆炸实验平台,探究不同孔隙度和厚度的多孔材料对当量比为1的甲烷/空气预混气体爆炸的作用行为。实验研究表明,不同孔隙度的多孔材料对爆炸火焰和超压具有促进或抑制两种不同的影响。孔隙度较小时,爆燃火焰传播速度随着材料厚度的增大而降低,并在厚度较大时,火焰有短暂的传播延时现象。孔隙度较大时,预混火焰冲击多孔材料时发生淬熄,但随后一段时间内,由于负压抽吸作用,在已爆区域一侧的材料表面产生扩散燃烧现象,且扩散燃烧程度与材料厚度成反比关系。多孔材料的固相结构能降低压力的泄放效率,同时可吸收能量,进而提高爆炸超压的上升速率,降低超压峰值。当每英寸长度孔数δ=10的多孔材料促进火焰传播时,与当量比为1的预混气体爆炸相比,超压峰值最大可提高约2倍,造成更严重的后果。火焰冲击δ=20的多孔材料时发生淬熄,最大超压衰减可达47.17%,δ=30时最大超压衰减了24.62%。
2020, 40(9): 095901.
doi: 10.11883/bzycj-2019-0399
摘要:
为研究爆破地震荷载作用下埋地高密度聚乙烯(high-density polyethylene,HDPE)波纹管的动力响应规律,通过现场预埋管道的爆破试验,结合爆破地震与动态应变等测试手段,分析了爆破地震荷载作用下埋地管道的动力响应特征,研究了管道振动速度及动态应变的分布特征,基于von Mises屈服准则分析评价了管道安全性,提出了爆破振动速度控制标准。试验研究结果表明:试验中管道与地表振速以及管道动态应变随爆心距的减少,随炸药量的增加而增大;爆破地震波振动主频高,管道振动主频高于地表;相同爆破工况条件下,管道上方地表振速普遍大于管道振速;管道截面背爆侧峰值轴向应变以拉应变为主,迎爆侧峰值环向应变以压应变为主;本试验管道安全控制振速可取20 cm/s,此时管道处于安全状态。
为研究爆破地震荷载作用下埋地高密度聚乙烯(high-density polyethylene,HDPE)波纹管的动力响应规律,通过现场预埋管道的爆破试验,结合爆破地震与动态应变等测试手段,分析了爆破地震荷载作用下埋地管道的动力响应特征,研究了管道振动速度及动态应变的分布特征,基于von Mises屈服准则分析评价了管道安全性,提出了爆破振动速度控制标准。试验研究结果表明:试验中管道与地表振速以及管道动态应变随爆心距的减少,随炸药量的增加而增大;爆破地震波振动主频高,管道振动主频高于地表;相同爆破工况条件下,管道上方地表振速普遍大于管道振速;管道截面背爆侧峰值轴向应变以拉应变为主,迎爆侧峰值环向应变以压应变为主;本试验管道安全控制振速可取20 cm/s,此时管道处于安全状态。


在线阅读
PDF
本文被引