2025年 45卷 第2期
显示方式:
2025, 45(2): 021411.
doi: 10.11883/bzycj-2024-0329
摘要:
在锂离子电池的应用中,隔膜的力学性能对电池安全性至关重要。为了系统评估隔膜在应变率和温度耦合条件下的压缩力学行为,在不同应变率和温度条件下进行了准静态和动态压缩测试,并深入分析了温度和应变率的耦合作用对隔膜力学性能的影响。结果表明:隔膜的力学行为对应变率和温度表现出显著的敏感性,在低应变率下,隔膜主要经历塑性变形,而在高应变率下则可能出现复杂的动态失效模式,温度升高导致隔膜的弹性模量和屈服应力降低;温度与应变率的耦合作用通过改变隔膜的失效模式,进一步影响其压缩强度。基于实验数据,进一步建立了考虑温度和应变率耦合效应的电池隔膜非线性黏弹性本构模型,为锂离子电池的安全设计和性能优化提供参考依据。
在锂离子电池的应用中,隔膜的力学性能对电池安全性至关重要。为了系统评估隔膜在应变率和温度耦合条件下的压缩力学行为,在不同应变率和温度条件下进行了准静态和动态压缩测试,并深入分析了温度和应变率的耦合作用对隔膜力学性能的影响。结果表明:隔膜的力学行为对应变率和温度表现出显著的敏感性,在低应变率下,隔膜主要经历塑性变形,而在高应变率下则可能出现复杂的动态失效模式,温度升高导致隔膜的弹性模量和屈服应力降低;温度与应变率的耦合作用通过改变隔膜的失效模式,进一步影响其压缩强度。基于实验数据,进一步建立了考虑温度和应变率耦合效应的电池隔膜非线性黏弹性本构模型,为锂离子电池的安全设计和性能优化提供参考依据。
2025, 45(2): 021412.
doi: 10.11883/bzycj-2024-0339
摘要:
锂离子电池遭受外部冲击时内部隔膜的形变和失效是引发内部短路的关键因素之一。电池电极表面通常并不平整,易造成隔膜应力集中,影响电池的机械稳定性。因此,基于数值模拟和理论分析,针对电池隔膜在非平整表面压缩条件下的力学行为及其短路安全边界进行了深入探讨。选取包括一段宽度为50 μm的隔膜及其附近的正负极涂层区域作为代表性单胞,进行二维有限元建模与数值计算。通过分析隔膜等效应力-应变曲线,发现受到不平整表面压缩的隔膜相比于理想平面压缩表现出“软化现象”,随着加载的进行,加载面和隔膜之间的空隙逐渐被填充,非平整面和平整面压缩的载荷差异逐渐减小。通过对隔膜失效应力的参数化分析,发现随着颗粒直径的增大或隔膜厚度的减小,隔膜表现出平均应力降低、屈服点后移等行为,短路失效应力也随之降低。通过对不同加载速率分析,发现隔膜的短路失效应力呈现先增大后减小的趋势,进一步通过建立隔膜在非平整表面压缩下的等效压缩本构模型,从理论上解释了粗糙度对失效应力的影响,并推导出了两者的定量关系。
锂离子电池遭受外部冲击时内部隔膜的形变和失效是引发内部短路的关键因素之一。电池电极表面通常并不平整,易造成隔膜应力集中,影响电池的机械稳定性。因此,基于数值模拟和理论分析,针对电池隔膜在非平整表面压缩条件下的力学行为及其短路安全边界进行了深入探讨。选取包括一段宽度为50 μm的隔膜及其附近的正负极涂层区域作为代表性单胞,进行二维有限元建模与数值计算。通过分析隔膜等效应力-应变曲线,发现受到不平整表面压缩的隔膜相比于理想平面压缩表现出“软化现象”,随着加载的进行,加载面和隔膜之间的空隙逐渐被填充,非平整面和平整面压缩的载荷差异逐渐减小。通过对隔膜失效应力的参数化分析,发现随着颗粒直径的增大或隔膜厚度的减小,隔膜表现出平均应力降低、屈服点后移等行为,短路失效应力也随之降低。通过对不同加载速率分析,发现隔膜的短路失效应力呈现先增大后减小的趋势,进一步通过建立隔膜在非平整表面压缩下的等效压缩本构模型,从理论上解释了粗糙度对失效应力的影响,并推导出了两者的定量关系。
2025, 45(2): 021421.
doi: 10.11883/bzycj-2024-0312
摘要:
为探究小能量冲击对锂离子电池安全的影响,通过冲击-压缩顺序加载实验对受动态荷载后未失效的软包锂离子电池二次受载时的力学响应及失效行为进行评估,结合电性能测试与内部结构损伤分析,探究较弱冲击荷载下电池性能的劣化行为,并据此提出弱冲击后电池状态量化评估方法。结果表明:3、5和7 J的冲击能量下,锂离子电池即使未失效,其内部机械完整性也已经受到一定的损伤,再次受载时失效位移相比新电池分别约降低18%、21%和34%;失效对应的变形能分别下降40%、47%和67%,且电性能劣化现象明显,容量分别变为新电池的99.4%、93.6%和87.9%;内阻分别上升4.2%、16.2%和28.7%。二次承载能力下降和电性能劣化程度与冲击能量呈正相关。揭示了电极的冲击变形损伤与电池整体力电性能变化的联系。
为探究小能量冲击对锂离子电池安全的影响,通过冲击-压缩顺序加载实验对受动态荷载后未失效的软包锂离子电池二次受载时的力学响应及失效行为进行评估,结合电性能测试与内部结构损伤分析,探究较弱冲击荷载下电池性能的劣化行为,并据此提出弱冲击后电池状态量化评估方法。结果表明:3、5和7 J的冲击能量下,锂离子电池即使未失效,其内部机械完整性也已经受到一定的损伤,再次受载时失效位移相比新电池分别约降低18%、21%和34%;失效对应的变形能分别下降40%、47%和67%,且电性能劣化现象明显,容量分别变为新电池的99.4%、93.6%和87.9%;内阻分别上升4.2%、16.2%和28.7%。二次承载能力下降和电性能劣化程度与冲击能量呈正相关。揭示了电极的冲击变形损伤与电池整体力电性能变化的联系。
2025, 45(2): 021422.
doi: 10.11883/bzycj-2024-0368
摘要:
不可避免的碰撞会导致电动汽车锂离子电池出现缺陷,为了确认碰撞后的缺陷电池能否继续使用,重点研究了缺陷电池的机械性能、电化学性能、安全边界及衰退机理。首先,使用不同的压头通过准静态加载和落锤冲击对选用的电池样品分别预制了3种典型的缺陷,即压痕、50%偏置压缩缺陷和平板压缩缺陷。随后,分别通过准静态平板压缩和充电/放电循环评估其机械和电化学响应。结果发现,缺陷电池的机械性能显著下降,包括内部短路位移、短路载荷和能量吸收能力下降。相较于无缺陷电池,缺陷电池还表现出明显的电化学性能退化,包括更严重的容量衰退。此外,通过拆解电池解释了其降解机制,基于隔膜厚度提出了电池的机械失效标准。最后,讨论了预制缺陷时的加载速度和缺陷类型对缺陷电池性能的影响。预制缺陷时的加载速度越高,缺陷电池的性能退化越严重,这与惯性效应有关。不同类型的缺陷会导致隔膜厚度和石墨脱粘的变化,从而造成电池性能不同程度的退化。
不可避免的碰撞会导致电动汽车锂离子电池出现缺陷,为了确认碰撞后的缺陷电池能否继续使用,重点研究了缺陷电池的机械性能、电化学性能、安全边界及衰退机理。首先,使用不同的压头通过准静态加载和落锤冲击对选用的电池样品分别预制了3种典型的缺陷,即压痕、50%偏置压缩缺陷和平板压缩缺陷。随后,分别通过准静态平板压缩和充电/放电循环评估其机械和电化学响应。结果发现,缺陷电池的机械性能显著下降,包括内部短路位移、短路载荷和能量吸收能力下降。相较于无缺陷电池,缺陷电池还表现出明显的电化学性能退化,包括更严重的容量衰退。此外,通过拆解电池解释了其降解机制,基于隔膜厚度提出了电池的机械失效标准。最后,讨论了预制缺陷时的加载速度和缺陷类型对缺陷电池性能的影响。预制缺陷时的加载速度越高,缺陷电池的性能退化越严重,这与惯性效应有关。不同类型的缺陷会导致隔膜厚度和石墨脱粘的变化,从而造成电池性能不同程度的退化。
2025, 45(2): 021423.
doi: 10.11883/bzycj-2024-0316
摘要:
电动汽车在运行过程中容易发生碰撞事故,动力锂离子电池不可避免会受到冲击作用,导致电池不同程度的损伤,而损伤程度的判断对电池的安全使用至关重要。基于上述背景,开展了不同冲击质量对方形锂离子电池动态冲击响应和失效行为影响的研究。首先,开展了准静态压缩试验,采用6种不同的进给速度对锂离子电池进行了挤压测试。试验结果显示,随着进给速度的递增,锂离子电池达到硬短路失效所需的峰值载荷持续减小。这表明,准静态条件下,锂离子电池的短路失效载荷主要由挤压速度决定。然后,开展了落锤冲击试验,通过调控冲头的质量和冲击速度,系统模拟了锂离子电池可能遭遇的多种冲击工况。研究结果表明,冲击质量和冲击速度是决定锂离子电池动态失效行为的关键因素。在冲击能量恒定的条件下,相较于高速、小质量的冲击条件,低速、大质量的冲头冲击对电芯内部造成的损伤更明显;当冲头质量不变时,提高冲击速度则会提前触发锂离子电池的内短路。
电动汽车在运行过程中容易发生碰撞事故,动力锂离子电池不可避免会受到冲击作用,导致电池不同程度的损伤,而损伤程度的判断对电池的安全使用至关重要。基于上述背景,开展了不同冲击质量对方形锂离子电池动态冲击响应和失效行为影响的研究。首先,开展了准静态压缩试验,采用6种不同的进给速度对锂离子电池进行了挤压测试。试验结果显示,随着进给速度的递增,锂离子电池达到硬短路失效所需的峰值载荷持续减小。这表明,准静态条件下,锂离子电池的短路失效载荷主要由挤压速度决定。然后,开展了落锤冲击试验,通过调控冲头的质量和冲击速度,系统模拟了锂离子电池可能遭遇的多种冲击工况。研究结果表明,冲击质量和冲击速度是决定锂离子电池动态失效行为的关键因素。在冲击能量恒定的条件下,相较于高速、小质量的冲击条件,低速、大质量的冲头冲击对电芯内部造成的损伤更明显;当冲头质量不变时,提高冲击速度则会提前触发锂离子电池的内短路。
2025, 45(2): 021424.
doi: 10.11883/bzycj-2024-0320
摘要:
为研究轻型消费级无人机锂离子电池在高能量冲击下的动响应模式及爆炸着火特性,评估锂离子电池在动态冲击时的安全性能,以某轻型消费级无人机软包锂离子电池为研究对象,采用落锤冲击及气炮冲击实验方法,结合轻型无人机实际应用场景,分别开展了软包电池组落锤冲击及电池高速冲击铝板测试实验,探讨了不同电池电量的软包电池组在受冲击后的变形模式及着火情况,结合电池的机械变形响应及其着火演化特性分析了软包锂离子电池的冲击安全性。研究结果表明,轻型消费级无人机软包锂离子电池在常规电池外壳防护条件下受面外方向载荷冲击后的着火风险高于面内方向载荷冲击后的着火风险;锂离子电池着火风险与电池电量、冲击速度等具有明显相关性,锂离子电池本身的力学响应主要受自身材料及结构的影响,电池电量并不会影响电池的机械力学碰撞响应;本研究中所采用的锂离子电池样品在电池电量为 100% 时以 50 m/s 的速度撞击铝板,以及电池电量为 50% 以下时以 85 m/s 的速度撞击铝板后的燃烧风险均相对较低。
为研究轻型消费级无人机锂离子电池在高能量冲击下的动响应模式及爆炸着火特性,评估锂离子电池在动态冲击时的安全性能,以某轻型消费级无人机软包锂离子电池为研究对象,采用落锤冲击及气炮冲击实验方法,结合轻型无人机实际应用场景,分别开展了软包电池组落锤冲击及电池高速冲击铝板测试实验,探讨了不同电池电量的软包电池组在受冲击后的变形模式及着火情况,结合电池的机械变形响应及其着火演化特性分析了软包锂离子电池的冲击安全性。研究结果表明,轻型消费级无人机软包锂离子电池在常规电池外壳防护条件下受面外方向载荷冲击后的着火风险高于面内方向载荷冲击后的着火风险;锂离子电池着火风险与电池电量、冲击速度等具有明显相关性,锂离子电池本身的力学响应主要受自身材料及结构的影响,电池电量并不会影响电池的机械力学碰撞响应;本研究中所采用的锂离子电池样品在电池电量为 100% 时以 50 m/s 的速度撞击铝板,以及电池电量为 50% 以下时以 85 m/s 的速度撞击铝板后的燃烧风险均相对较低。
2025, 45(2): 021425.
doi: 10.11883/bzycj-2024-0321
摘要:
为厘清放电状态对锂离子电池动态力学响应和失效模式的影响规律,系统地开展了锂离子电池在不同放电状态下的准静态压缩特性及其安全性的实验分析。通过预设电池至特定的放电电量,并在放电过程中、放电后静置1和24 h的时间节点上实施压缩测试,深入探究了电池的力-位移响应特性、最大承载力及安全性表现。实验结果显示,相较于其他状态,放电状态下的电池展现出较低的力-位移曲线,表明其刚度在静置之后相比于放电过程中有所提升。此外,放电状态下的电池展现出显著高于静置后状态的最大承载力,且在放电过程中进行压缩测试更容易使电池发生爆炸,而静置后的电池则表现出显著提升的安全性。借助扫描电子显微镜分析,进一步确认了放电状态下电池内部电极颗粒的破损程度更剧烈,观测到的现象被归因于放电过程中产生的扩散诱导应力,该应力在电池内部累积,加剧了电池在机械压缩下的损伤风险。
为厘清放电状态对锂离子电池动态力学响应和失效模式的影响规律,系统地开展了锂离子电池在不同放电状态下的准静态压缩特性及其安全性的实验分析。通过预设电池至特定的放电电量,并在放电过程中、放电后静置1和24 h的时间节点上实施压缩测试,深入探究了电池的力-位移响应特性、最大承载力及安全性表现。实验结果显示,相较于其他状态,放电状态下的电池展现出较低的力-位移曲线,表明其刚度在静置之后相比于放电过程中有所提升。此外,放电状态下的电池展现出显著高于静置后状态的最大承载力,且在放电过程中进行压缩测试更容易使电池发生爆炸,而静置后的电池则表现出显著提升的安全性。借助扫描电子显微镜分析,进一步确认了放电状态下电池内部电极颗粒的破损程度更剧烈,观测到的现象被归因于放电过程中产生的扩散诱导应力,该应力在电池内部累积,加剧了电池在机械压缩下的损伤风险。
2025, 45(2): 021431.
doi: 10.11883/bzycj-2024-0175
摘要:
动力锂离子电池的安全问题是制约电动航空器运行与适航取证的技术瓶颈问题,影响全球电动航空的发展。由锂离子电池热失控引发的燃烧、爆炸等失效事件会造成机毁人亡的灾难性后果。旨在为相关研究人员介绍锂离子电池热失控爆炸特性的研究现状,从锂离子电池热失控燃爆行为、热失控气体爆炸极限和热失控气体爆炸危险性评估3个方面进行阐述:在锂离子电池热失控燃爆行为方面,介绍了锂离子电池热失控发展过程,分析了热失控冲击特征参数测定方法,总结了热射流演变机制及射流火焰的模拟仿真与实验方法;针对热失控气体的爆炸极限,对比国内外气体爆炸极限测试标准,总结了热失控气体爆炸极限理论计算方法,并介绍了原位检测爆炸极限的创新方法;在热失控气体爆炸危险性评估方面,介绍了老化锂离子电池危险性评估方法,以及爆炸危险性参数指标。提出未来的研究将侧重于先进诊断技术、增强电解质稳定性、多尺度建模、先进抑制技术以及建立标准化测试流程和技术法规等领域。
动力锂离子电池的安全问题是制约电动航空器运行与适航取证的技术瓶颈问题,影响全球电动航空的发展。由锂离子电池热失控引发的燃烧、爆炸等失效事件会造成机毁人亡的灾难性后果。旨在为相关研究人员介绍锂离子电池热失控爆炸特性的研究现状,从锂离子电池热失控燃爆行为、热失控气体爆炸极限和热失控气体爆炸危险性评估3个方面进行阐述:在锂离子电池热失控燃爆行为方面,介绍了锂离子电池热失控发展过程,分析了热失控冲击特征参数测定方法,总结了热射流演变机制及射流火焰的模拟仿真与实验方法;针对热失控气体的爆炸极限,对比国内外气体爆炸极限测试标准,总结了热失控气体爆炸极限理论计算方法,并介绍了原位检测爆炸极限的创新方法;在热失控气体爆炸危险性评估方面,介绍了老化锂离子电池危险性评估方法,以及爆炸危险性参数指标。提出未来的研究将侧重于先进诊断技术、增强电解质稳定性、多尺度建模、先进抑制技术以及建立标准化测试流程和技术法规等领域。
2025, 45(2): 021432.
doi: 10.11883/bzycj-2024-0352
摘要:
鉴于全寿命周期内循环老化后航空锂离子电池热失控反应较新电池有显著差异,且低温环境对锂离子电池系统重大失效危险性影响更加贴近低空实际飞行场景,自主搭建了锂离子电池热失控及气体爆炸测试平台,采用锂离子电池的热失控时间、表面峰值温度和热失控超压及热失控气体的爆炸极限、压力及温度为关键参数,探讨低温(−10 ℃)循环老化对锂离子电池热失控爆炸危险性的影响。实验结果显示,常温循环老化锂离子电池较新电池热失控时间明显提前和电池安全阀开启到完全热失控的时间间隔明显增长,分别为559.86和122.56 s,且热失控气体爆炸下限升高30.95%,气体爆炸压力降低至258.6 kPa;低温环境因素则会使老化锂离子电池热失控的爆炸危险性发生显著变化,导致热失控时间提前至412.38 s,安全阀打开到完全热失控的时间间隔缩短至56.66 s,并使热失控气体爆炸下限降低20.49%,爆炸压力高达319.5 kPa。
鉴于全寿命周期内循环老化后航空锂离子电池热失控反应较新电池有显著差异,且低温环境对锂离子电池系统重大失效危险性影响更加贴近低空实际飞行场景,自主搭建了锂离子电池热失控及气体爆炸测试平台,采用锂离子电池的热失控时间、表面峰值温度和热失控超压及热失控气体的爆炸极限、压力及温度为关键参数,探讨低温(−10 ℃)循环老化对锂离子电池热失控爆炸危险性的影响。实验结果显示,常温循环老化锂离子电池较新电池热失控时间明显提前和电池安全阀开启到完全热失控的时间间隔明显增长,分别为559.86和122.56 s,且热失控气体爆炸下限升高30.95%,气体爆炸压力降低至258.6 kPa;低温环境因素则会使老化锂离子电池热失控的爆炸危险性发生显著变化,导致热失控时间提前至412.38 s,安全阀打开到完全热失控的时间间隔缩短至56.66 s,并使热失控气体爆炸下限降低20.49%,爆炸压力高达319.5 kPa。
2025, 45(2): 021433.
doi: 10.11883/bzycj-2024-0240
摘要:
锂离子电池热失控造成的热冲击将损坏安装结构,对周围人员和设备安全构成威胁,是限制其在航空领域应用的关键问题。通过自主搭建的锂离子电池热失控高温冲击实验平台研究发现,单节电池热冲击对电池包顶板的冲击压力高达13.23 kPa,致使其外表面温度高达274 ℃。为了有效包容锂离子电池热失控造成的高温冲击危害,提出了电池包顶板涂敷防火涂层的被动防护方法。通过实验研究发现,环氧树脂基膨胀型防火涂层可通过膨胀有效阻隔锂离子电池热失控冲击压力的影响,通过吸收热量降低并延缓电池包顶板的温度上升。分析锂离子电池热失控包容性验证实验结果可知,1.0 mm厚的E80S20涂层和E85S15B3涂层分别使电池包顶板最高温度下降52.16%和55.80%,结构最高形变分别降低72.2%和44.4%。研究结果表明,防火涂层被动防护技术能够有效提升电池舱体对热失控高温和冲击危害的包容性,可作为航空动力锂离子电池系统安全性设计的有效措施。
锂离子电池热失控造成的热冲击将损坏安装结构,对周围人员和设备安全构成威胁,是限制其在航空领域应用的关键问题。通过自主搭建的锂离子电池热失控高温冲击实验平台研究发现,单节电池热冲击对电池包顶板的冲击压力高达13.23 kPa,致使其外表面温度高达274 ℃。为了有效包容锂离子电池热失控造成的高温冲击危害,提出了电池包顶板涂敷防火涂层的被动防护方法。通过实验研究发现,环氧树脂基膨胀型防火涂层可通过膨胀有效阻隔锂离子电池热失控冲击压力的影响,通过吸收热量降低并延缓电池包顶板的温度上升。分析锂离子电池热失控包容性验证实验结果可知,1.0 mm厚的E80S20涂层和E85S15B3涂层分别使电池包顶板最高温度下降52.16%和55.80%,结构最高形变分别降低72.2%和44.4%。研究结果表明,防火涂层被动防护技术能够有效提升电池舱体对热失控高温和冲击危害的包容性,可作为航空动力锂离子电池系统安全性设计的有效措施。
2025, 45(2): 021434.
doi: 10.11883/bzycj-2023-0452
摘要:
为准确预测磷酸铁锂电池热失控产物的爆炸下限,在密闭压力容器内开展了磷酸铁锂电池热失控实验,结合热失控特性和气相色谱-质谱联用技术,计算了热失控产物气体组分,基于能量守恒方程和绝热火焰温度,建立了磷酸铁锂电池热失控产物爆炸下限的预测模型,并验证了绝热火焰温度法、Le Chatelier法和Jones法的准确性,考察了电解液蒸气对热失控产物爆炸下限的影响。结果表明,常温下采用Le Chatelier法计算得到的爆炸下限偏差最小,为1.14%;采用绝热火焰温度法计算结果偏差最大,为10.02%。在60%~100%荷电状态(state of charge, SOC)范围内,磷酸铁锂电池热失控气体的爆炸下限先升后降。当热失控产物考虑电解液蒸气时,60% SOC磷酸铁锂电池热失控产物爆炸下限仅为3.93%,较未考虑电解液蒸气热失控气体的爆炸下限降低了22.49%,这说明电解液蒸气提高了磷酸铁锂电池热失控产物的爆炸风险。
为准确预测磷酸铁锂电池热失控产物的爆炸下限,在密闭压力容器内开展了磷酸铁锂电池热失控实验,结合热失控特性和气相色谱-质谱联用技术,计算了热失控产物气体组分,基于能量守恒方程和绝热火焰温度,建立了磷酸铁锂电池热失控产物爆炸下限的预测模型,并验证了绝热火焰温度法、Le Chatelier法和Jones法的准确性,考察了电解液蒸气对热失控产物爆炸下限的影响。结果表明,常温下采用Le Chatelier法计算得到的爆炸下限偏差最小,为1.14%;采用绝热火焰温度法计算结果偏差最大,为10.02%。在60%~100%荷电状态(state of charge, SOC)范围内,磷酸铁锂电池热失控气体的爆炸下限先升后降。当热失控产物考虑电解液蒸气时,60% SOC磷酸铁锂电池热失控产物爆炸下限仅为3.93%,较未考虑电解液蒸气热失控气体的爆炸下限降低了22.49%,这说明电解液蒸气提高了磷酸铁锂电池热失控产物的爆炸风险。
2025, 45(2): 021441.
doi: 10.11883/bzycj-2024-0318
摘要:
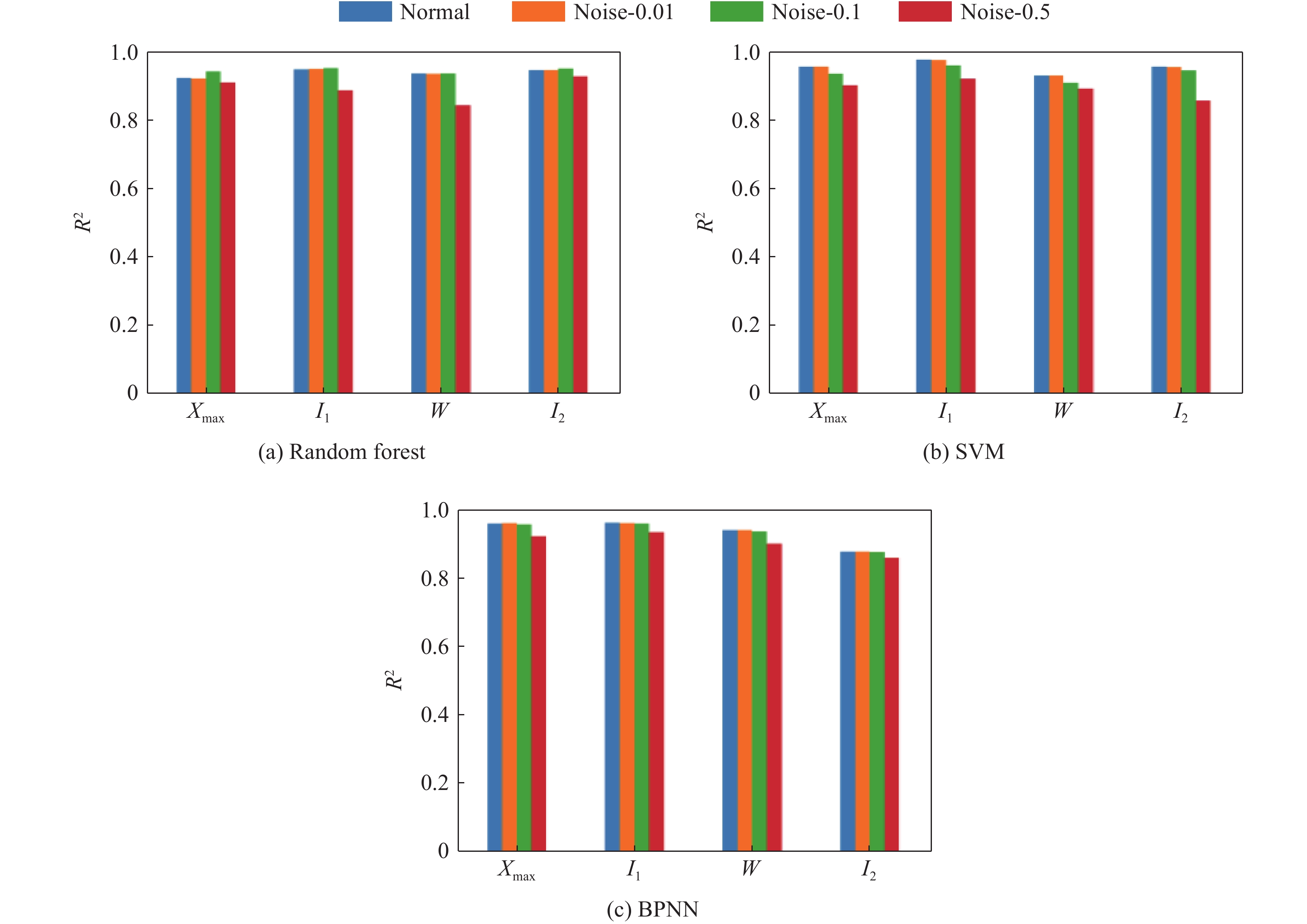
电动汽车电池包在侧面柱碰撞下极易失效并可能发生着火。为准确、快速地评估电池包在侧面柱碰撞下安全性,采用区域细化的电池包模型,在不同的碰撞速度、碰撞角度、碰撞位置和车辆装载状态下开展了仿真分析,采用优化拉丁超立方采样策略设计了仿真矩阵,并通过图像识别的方法批量提取电池包碰撞响应生成数据集。对研究参数进行组合生成了新特征,并对参数进行相关性分析,确定了模型训练的输入特征。采用支持向量机、随机森林方法和反向传播神经网络(back propagation neural network, BPNN)机器学习方法建立了数据驱动的预测模型。结果表明,支持向量机模型性能最优,模型预测参数的平均决定系数R2为0.96。在训练数据集中引入标准差不同的高斯噪声,对模型的鲁棒性进行了检验,BPNN机器学习方法的鲁棒性较优。采用建立的数据驱动模型能够预测电池包侧面柱碰撞下的变形情况,评估电池包的碰撞安全性。
电动汽车电池包在侧面柱碰撞下极易失效并可能发生着火。为准确、快速地评估电池包在侧面柱碰撞下安全性,采用区域细化的电池包模型,在不同的碰撞速度、碰撞角度、碰撞位置和车辆装载状态下开展了仿真分析,采用优化拉丁超立方采样策略设计了仿真矩阵,并通过图像识别的方法批量提取电池包碰撞响应生成数据集。对研究参数进行组合生成了新特征,并对参数进行相关性分析,确定了模型训练的输入特征。采用支持向量机、随机森林方法和反向传播神经网络(back propagation neural network, BPNN)机器学习方法建立了数据驱动的预测模型。结果表明,支持向量机模型性能最优,模型预测参数的平均决定系数R2为0.96。在训练数据集中引入标准差不同的高斯噪声,对模型的鲁棒性进行了检验,BPNN机器学习方法的鲁棒性较优。采用建立的数据驱动模型能够预测电池包侧面柱碰撞下的变形情况,评估电池包的碰撞安全性。
2025, 45(2): 021442.
doi: 10.11883/bzycj-2024-0351
摘要:
针对电池发生碰撞后的未知变形,目前仅通过电压、温度、电流等物理信号感知异常电池,缺乏直接的电池形变监测手段。为了弥补这一不足,利用小型压电片,基于超声导波,实现对锂离子电池形变和碰撞的监测。首先,搭建了针对锂离子电池不同加载的实验平台,开展了准静态、微碰撞实验;然后,对实验结果进行了讨论,阐明了在不同加载下超声信号的变化规律。结果表明:在电池准静态实验中,超声幅值信号与电池变形程度负相关;在电池落球冲击实验中,碰撞冲击会改变超声的幅值与能量积分,可以以此为依据来判断电池是否发生碰撞。最后,建立了大变形下超声与电池变形失效监测的映射关系,提出了碰撞变形下基于超声传感器的判定方法。
针对电池发生碰撞后的未知变形,目前仅通过电压、温度、电流等物理信号感知异常电池,缺乏直接的电池形变监测手段。为了弥补这一不足,利用小型压电片,基于超声导波,实现对锂离子电池形变和碰撞的监测。首先,搭建了针对锂离子电池不同加载的实验平台,开展了准静态、微碰撞实验;然后,对实验结果进行了讨论,阐明了在不同加载下超声信号的变化规律。结果表明:在电池准静态实验中,超声幅值信号与电池变形程度负相关;在电池落球冲击实验中,碰撞冲击会改变超声的幅值与能量积分,可以以此为依据来判断电池是否发生碰撞。最后,建立了大变形下超声与电池变形失效监测的映射关系,提出了碰撞变形下基于超声传感器的判定方法。
2025, 45(2): 021443.
doi: 10.11883/bzycj-2024-0188
摘要:
为提高径向冲击载荷下圆柱形锂离子电池的安全性,基于膜力因子法研究了大变形下电池的动态响应特性。将电池首先简化为包括内芯和外壳的夹层梁结构,根据抗拉屈服强度建立了电池横截面的塑性屈服准则和膜力因子,进一步将膜力因子引入运动方程实现了大变形下动态响应的求解。此外,基于拉压试验测定了电池构件的力学性能,进一步建立了电池整体有限元模型。研究表明:电池位移响应和速度响应的理论结果和有限元结果具有一致性;冲击载荷下电池初始速度越高,轴力效应对动态响应的影响越大;电池最大挠度随初始速度近似线性增加,且实际的响应时间具有饱和性;电池最大挠度随内芯和外壳屈服强度之比的减小而增大,电池外壳越薄,屈服强度的影响越显著;电池最大挠度随外壳厚度的增大而减小,屈服强度比越大,外壳厚度的影响越显著。
为提高径向冲击载荷下圆柱形锂离子电池的安全性,基于膜力因子法研究了大变形下电池的动态响应特性。将电池首先简化为包括内芯和外壳的夹层梁结构,根据抗拉屈服强度建立了电池横截面的塑性屈服准则和膜力因子,进一步将膜力因子引入运动方程实现了大变形下动态响应的求解。此外,基于拉压试验测定了电池构件的力学性能,进一步建立了电池整体有限元模型。研究表明:电池位移响应和速度响应的理论结果和有限元结果具有一致性;冲击载荷下电池初始速度越高,轴力效应对动态响应的影响越大;电池最大挠度随初始速度近似线性增加,且实际的响应时间具有饱和性;电池最大挠度随内芯和外壳屈服强度之比的减小而增大,电池外壳越薄,屈服强度的影响越显著;电池最大挠度随外壳厚度的增大而减小,屈服强度比越大,外壳厚度的影响越显著。


PDF
本文被引
在线阅读